Net Global Warming Potential of Spring Wheat Cropping Systems in a Semiarid Region
Abstract
1. Introduction
2. Materials and Methods
2.1. Site Description
2.2. Description of Cropping Systems
2.3. Gas Flux Measurements
2.4. Supplementary Measurements
2.5. Soil Carbon Determination
2.6. Estimation of Global Warming Potential
2.7. Data Analyses
3. Results
3.1. Weather Conditions and Soil Attributes
3.1.1. Precipitation, Air Temperature and Solar Radiation
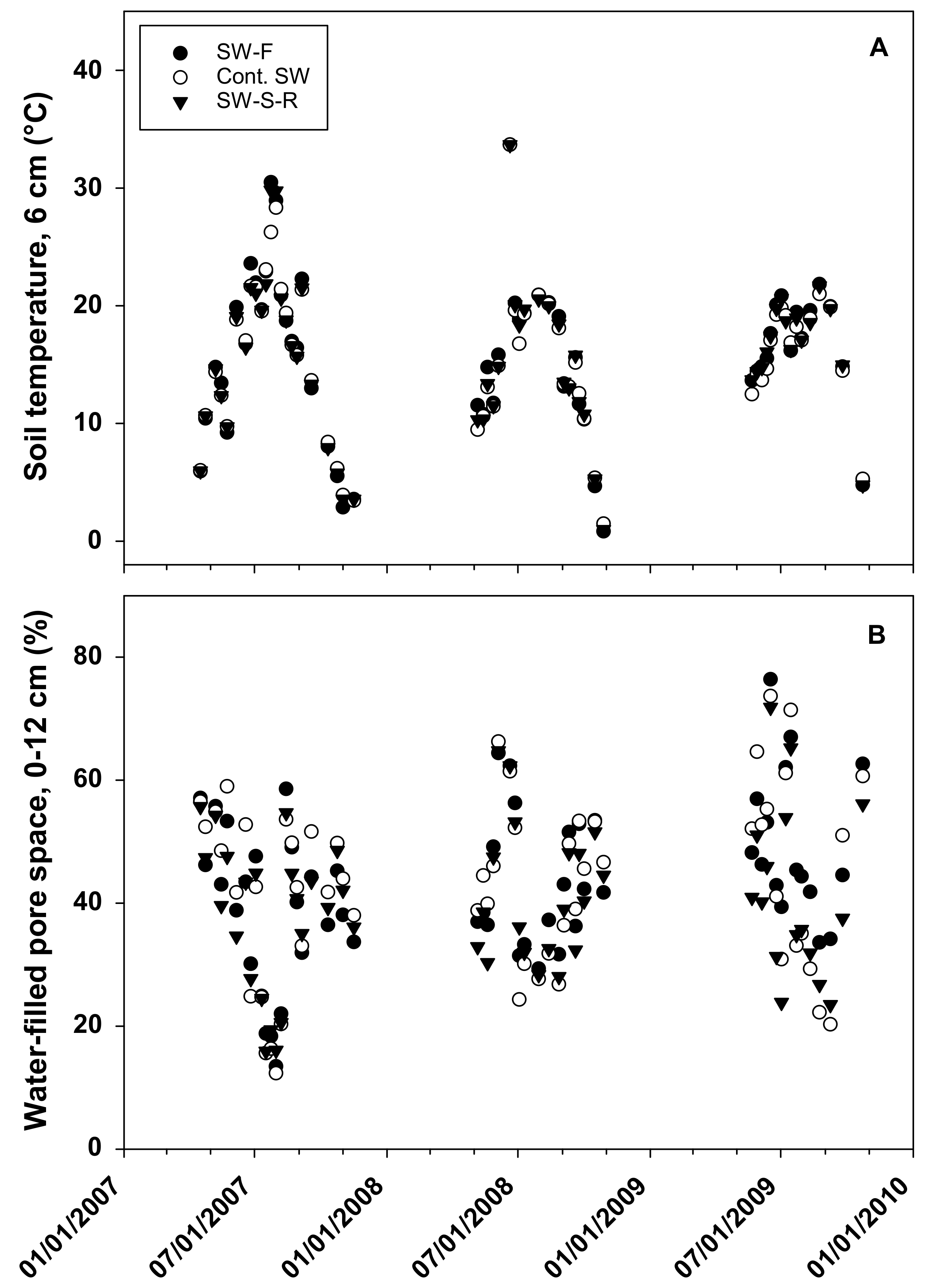
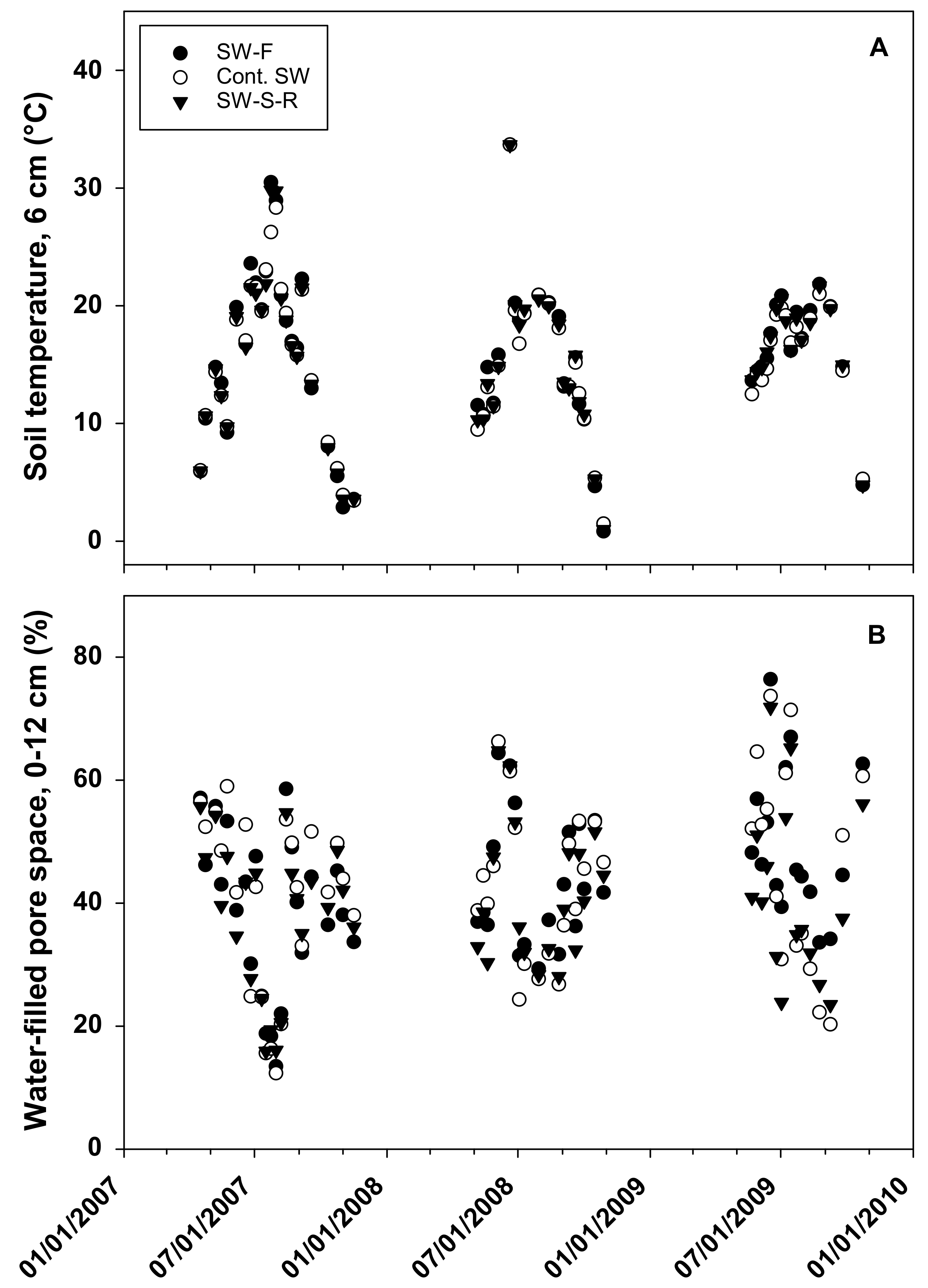
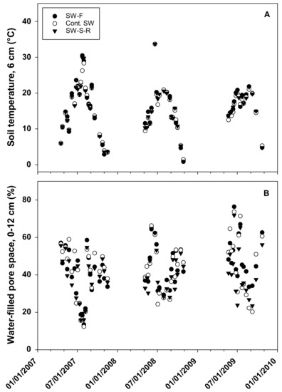
3.1.2. Soil Temperature and Water-Filled Pore Space
3.2. Crop Yield
3.3. Factors Contributing to GWP
3.3.1. Input Production and Field Operations
3.3.2. Soil Organic Carbon
3.3.3. CH4 Flux
3.3.4. N2O Flux
3.4. Net GWP and GHGI
4. Discussion
5. Conclusions
Supplementary Materials
Author Contributions
Funding
Acknowledgments
Conflicts of Interest
References
- Robertson, G.P.; Paul, E.A.; Harwood, R.R. Greenhouse Gases in Intensive Agriculture: Contributions of Individual Gases to the Radiative Forcing of the Atmosphere. Science 2000, 289, 1922–1925. [Google Scholar] [CrossRef]
- Mosier, A.R.; Halvorson, A.D.; Peterson, G.A.; Robertson, G.P.; Sherrod, L. Measurement of Net Global Warming Potential in Three Agroecosystems. Nutr. Cycl. Agroecosyst. 2005, 72, 67–76. [Google Scholar] [CrossRef]
- West, T.O.; Marland, G. A Synthesis of Carbon Sequestration, Carbon Emissions and Net Carbon Flux in Agriculture: Comparing Tillage Practices in the United States. Agric. Ecosys. Environ. 2002, 91, 217–232. [Google Scholar] [CrossRef]
- Sainju, U.M. A Global Meta-Analysis on the Impact of Management Practices on Net Global Warming Potential and Greenhouse Gas Intensity from Cropland Soils. Plos ONE 2016, 11, Article. [Google Scholar] [CrossRef] [PubMed]
- Huang, J.; Ji, M.; Xie, Y.; Shanshan, W.; He, Y.; Ran, J. Global Semi-Arid Climate Change Over Last 60 Years. Clim. Dyn. 2016, 46, 1131. [Google Scholar] [CrossRef]
- Biswas, W.K.; Barton, L.; Carter, L. Global Warming Potential of Wheat Production in Western Australia: a Life Cycle Assessment. Water Environ. J. 2008, 22, 206–216. [Google Scholar] [CrossRef]
- Wagner-Riddle, C.; Furon, A.; McLaughlin, N.L.; Lee, I.; Barbeau, J.; Jayasundara, S.; Parkin, G.; von Bertoldi, P.; Warland, J. Intensive Measurement of Nitrous Oxide Emissions from A Corn-Soybean-Wheat Rotation under Two Contrasting Management Systems Over 5 Years. Global Change Biol. 2007, 13, 1722–1736. [Google Scholar] [CrossRef]
- Mikha, M.M.; Vigil, M.F.; Liebig, M.A.; Bowman, R.A.; McConkey, B.; Deibert, E.J.; Pikul Jr, J.L. Cropping System Influences on Soil Chemical Properties and Soil Quality in the Great Plains. Renew. Agric. Food Sys. 2006, 21, 26–35. [Google Scholar] [CrossRef]
- Barton, L.; Murphy, D.V.; Kiese, R.; Butterbach-Bahl, K. Soil Nitrous Oxide and Methane Fluxes Are Low from A Bioenergy Crop (Canola) Grown in A Semi-Arid Climate. Glob. Change Biol. Bioe. 2010, 2, 1–15. [Google Scholar] [CrossRef]
- Six, J.; Ogle, S.M.; Breidt, F.J.; Conant, R.T.; Mosier, A.R.; Paustian, K. The Potential to Mitigate Global Warming with No-Tillage Management Is Only Realized When Practised in the Long Term. Global Change Biol. 2004, 10, 155–160. [Google Scholar] [CrossRef]
- Feng, J.; Li, F.; Zhou, X.; Xu, C.; Ji, L.; Chen, Z.; Fang, F. Impact of Agronomy Practices on the Effects of Reduced Tillage Systems on CH4 and N2O Emissions from Agricultural Fields: a Global Meta-Analysis. Plos ONE 2018, 13, Article. [Google Scholar] [CrossRef] [PubMed]
- Tellez-Rio, A.; Vallejo, A.; Garcia-Marco, S.; Martin-Lammerding, D.; Luis Tenorio, J.; Martin Rees, R.; Guardia, G. Conservation Agriculture Practices Reduce the Global Warming Potential of Rainfed Low N Input Semi-Arid Agriculture. Euro. J. Agron. 2017, 84, 95–104. [Google Scholar] [CrossRef]
- Yeboah, S.; Zhang, R.; Cai, L.; Li LingLing, L.L.; Xie, J.; Luo, Z.; Wu, J.; Zhang, J.; Song, M. Greenhouse Gas Emissions In A Spring Wheat–Field Pea Sequence Under Different Tillage Practices in Semi-Arid Northwest China. Nutr. Cycl. Agroecosyst. 2016, 106, 77–91. [Google Scholar] [CrossRef]
- Sainju, U.M. Comparison of Net Global Warming Potential and Greenhouse Gas Intensity Affected by Management Practices in Two Dryland Cropping Sites. J. Environ. Protect. 2015, 6, 1042–1056. [Google Scholar] [CrossRef]
- Phillips, R.L.; Tanaka, D.L.; Archer, D.W.; Hanson, J.D. Fertilizer Application Timing Influences Greenhouse Gas Fluxes Over a Growing Season. J. Environ. Qual. 2009, 38, 1–11. [Google Scholar] [CrossRef] [PubMed]
- Dusenbury, M.P.; Engel, R.E.; Miller, P.R.; Lemke, R.L.; Wallander, R. Nitrous Oxide Emission from a Northern Great Plains Soil as Influenced by Nitrogen Management and Cropping Systems. J. Environ. Qual. 2008, 37, 542–550. [Google Scholar] [CrossRef] [PubMed]
- Intergovernmental Panel on Climate Change. Climate Change 2007: The Physical Science Basis. 4th Assessment Report. 2007. Available online: http://www.ipcc.ch/ (accessed on 11 December 2018).
- Goglio, P.; Grant, B.B.; Smith, W.N.; Desjardins, R.L.; Worth, D.E.; Zentner, R.; Malhi, S.S. Impact of Management Strategies on the Global Warming Potential at the Cropping System Level. Sci. Total Environ. 2014, 490, 921–933. [Google Scholar] [CrossRef] [PubMed]
- Berti, M.; Johnson, B.; Aponte, A.; Ripplinger, D.; Gesch, R. Environmental Impact Assessment of Double- And Relay-Cropping With Winter Camelina in the Northern Great Plains, USA. Agric. Systems. 2017, 156, 1–12. [Google Scholar] [CrossRef]
- Walthall, C.L.; Shafer, S.R.; Jawson, M.D. GRACEnet: Addressing policy needs through coordinated cross-location research. In Managing Agricultural Greenhouse Gases: Coordinated Agricultural Research Through GRACEnet to Address Our Changing Climate; Liebig, M.A., Franzluebbers, A.J., Follett, R.F., Eds.; Academic Press: San Diego, CA, USA, 2012; pp. 13–19. [Google Scholar]
- Sainju, U.M.; Barsotti, J.L.; Wang, J. Net Global Warming Potential and Greenhouse Gas Intensity Affected By Cropping Sequence and Nitrogen Fertilization. Soil Sci. Soc. Am. J. 2014, 78, 248–261. [Google Scholar] [CrossRef]
- Sainju, U.M.; Caesar-TonThat, T.; Lenssen, A.W.; Barsotti, J.L. Dryland Soil Greenhouse Gas Emissions Affected By Cropping Sequence and Nitrogen Fertilization. Soil Sci. Soc. Am. J. 2012, 76, 1741–1757. [Google Scholar] [CrossRef]
- Lemke, R.L.; Izaurralde, R.C.; Malhi, S.S.; Arshad, M.A.; Nyborg, M. Nitrous Oxide Emissions from Agricultural Soils of the Boreal and Parkland Regions of Alberta. Soil Sci. Soc. Am. J. 1998, 62, 1096–1102. [Google Scholar] [CrossRef]
- Baker, J.M.; Ochsner, T.E.; Venterea, R.T.; Griffis, T.J. Tillage and Carbon Sequestration - What Do We Really Know? Agric. Ecosyst. Environ. 2007, 118, 1–5. [Google Scholar] [CrossRef]
- Bailey, R.G. Description of the ecoregions of the United States; U.S. Govt. Printing Office: Washington, DC, USA, 1995.
- Halvorson, J.J.; Liebig, M.A.; Archer, D.W.; West, M.S.; Tanaka, D.L. Impacts of Crop Sequence and Tillage Management on Soil Carbon Stocks in South-Central North Dakota, USA. Soil Sci. Soc. Am. J. 2016, 80, 1003–1010. [Google Scholar] [CrossRef]
- Hutchinson, G.L.; Mosier, A.R. Improved Soil Cover Method for Field Measurements of Nitrous Oxide Fluxes. Soil Sci. Soc. Am. J. 1981, 45, 311–316. [Google Scholar] [CrossRef]
- Linn, D.M.; Doran, J.W. Effect of Water-Filled Pore Space on Carbon Dioxide and Nitrous Oxide Production in Tilled and No-Tilled Soils. Soil Sci. Soc. Am. J. 1984, 48, 1265–1272. [Google Scholar] [CrossRef]
- NDAWN. 2018. Available online: http://ndawn.ndsu.nodak.edu/index.html (accessed on 11 December 2018).
- NOAA. 2018. Available online: http://www.ncdc.noaa.gov/cdo-web (accessed on 11 December 2018).
- Nelson, D.W.; Sommers, L.E. Total carbon, organic carbon and organic matter. In Methods of soil analysis. Part 3–Chemical methods; Sparks, D.L., Ed.; SSSA Book Series No. 5; SSSA and ASA: Madison, WI, USA, 1996; pp. 961–1010. [Google Scholar]
- Loeppert, R.H.; Suarez, D.L. Carbonate and gypsum. In Methods of soil analysis. Part 3–Chemical methods; Sparks, D.L., Ed.; SSSA Book Series No. 5; SSSA and ASA: Madison, WI, USA, 1996; pp. 437–474. [Google Scholar]
- Blake, G.R.; Hartge, K.H. Bulk density. In Methods of Soil Analysis. Part 1–Physical and Mineralogical Methods, 2nd ed.; Klute, A., Ed.; SSSA Book Series No. 5; SSSA and ASA: Madison, WI, USA, 1986; pp. 363–382. [Google Scholar]
- Ellert, B.H.; Bettany, J.R. Calculation of Organic Matter and Nutrients Stored in Soils Under Contrasting Management Regimes. Can. J. Soil Sci. 1995, 75, 529–538. [Google Scholar] [CrossRef]
- Lal, R. Carbon Emission from Farm Operations. Environ. Int. 2004, 30, 981–990. [Google Scholar] [CrossRef]
- Özilgen, M.; Sorgüven, E. Energy and Exergy Utilization and Carbon Dioxide Emission in Vegetable Oil Production. Energy 2011, 36, 5954–5967. [Google Scholar] [CrossRef]
- Gilbert, R.O. Statistical Methods for Environmental Pollution Monitoring; John Wiley & Sons, Inc.: New York, NY, USA, 1987. [Google Scholar]
- Schabenberger, O. Introducing the GLIMMIX Procedure for Generalized Linear Mixed Models; SAS Inst., Inc.: Cary, NC, USA, 2005. [Google Scholar]
- Halvorson, J.J.; Archer, D.W.; Liebig, M.A.; Yeater, K.M.; Tanaka, D.L. Impacts of Intensified Cropping Systems on Soil Water Use by Spring Wheat (Triticum aestivum L.) in south-central North Dakota, USA. Soil Sci. Soc. Am. J. 2019. in review. [Google Scholar]
- Merrill, S.D.; Tanaka, D.L.; Hanson, J.D. Root Length Growth of Eight Crop Species in Haplustoll Soils. Soil Sci. Soc. Am. J. 2002, 66, 913–923. [Google Scholar] [CrossRef]
- Liebig, M.A.; Gross, J.R.; Kronberg, S.L.; Phillips, R.L.; Hanson, J.D. Grazing Management Contributions to Net Global Warming Potential: A Long-Term Evaluation in the Northern Great Plains. J. Environ. Qual. 2010, 39, 799–809. [Google Scholar] [CrossRef] [PubMed]
- Venterea, R.T.; Halvorson, A.; Kitchen, N.; Liebig, M.; Cavigelli, M.; Del Grosso, S.J.; Motavalli, P.P.; Nelson, K.A.; Spokas, K.A.; Pal Singh, B.; et al. Technical Challenges and Opportunities for Mitigating Nitrous Oxide Emissions in Fertilized Cropping Systems. Frontiers Ecol. Environ. 2012, 10, 562–570. [Google Scholar] [CrossRef]
- Cavigelli, M.; Del Grosso, S.J.; Liebig, M.A.; Snyder, C.S.; Fixen, P.E.; Venterea, R.T.; Leytem, A.B.; McLain, J.E.; Watts, D.B. Agricultural N2O Emissions: Context, Status and Trajectory. Frontiers Ecol. Environ. 2012, 10, 537–546. [Google Scholar] [CrossRef]
- Franzluebbers, A.J.; Owens, L.B.; Sigua, G.C.; Cambardella, C.A.; Haney, R.L. 2012. Soil organic carbon under pasture management. In Managing Agricultural Greenhouse Gases: Coordinated Agricultural Research Through GRACEnet to Address Our Changing Climate; Liebig, M.A., Franzluebbers, A.J., Follett, R.F., Eds.; Academic Press: San Diego, CA, USA, 2012; pp. 93–110. [Google Scholar]






| Spring Wheat | Grain yield (Mg ha−1) | |||
|---|---|---|---|---|
| 2007 | 2008 | 2009 | Mean | |
| Spring wheat–Fallow | 2.94 (0.02) † | 3.11 (0.10) | 2.47 (0.11) b ‡ | 2.84 (0.10) |
| Continuous spring wheat | 2.57 (0.03) | 2.68 (0.16) | 2.58 (0.03) b | 2.61 (0.05) |
| Spring wheat–Safflower–Rye | 2.71 (0.16) | 3.08 (0.14) | 3.37 (0.02) a | 3.05 (0.11) |
| P-value | 0.11 ¶ | 0.06 | <0.01 | 0.07 |
| Safflower | Grain yield (Mg ha−1) | |||
| 2007 | 2008 | 2009 | Mean | |
| Spring wheat–Safflower–Rye | 1.36 (0.03) | 1.17 (0.23) | 1.30 (0.13) | 1.28 (0.08) |
| Rye | Biomass yield (Mg ha−1) | |||
| 2007 | 2008 | 2009 | Mean | |
| Spring wheat–Safflower–Rye | 5.19 (0.61) | 3.78 (0.28) | 2.30 (0.75) | 3.75 (0.51) |
| Crop rotation | Phase | Year | Seed Production | Fertilizer Production | Pesticide Production | Field Operations |
|---|---|---|---|---|---|---|
| kg CO2 equiv. ha−1 | ||||||
| Spring wheat–Fallow | Spring wheat | 2007 | 43 | 112 | 104 | 152 |
| 2008 | 42 | 143 | 50 | 134 | ||
| 2009 | 43 | 143 | 83 | 143 | ||
| Fallow | 2007 | 0 | 0 | 124 | 37 | |
| 2008 | 0 | 0 | 153 | 47 | ||
| 2009 | 0 | 0 | 160 | 47 | ||
| Continuous spring wheat | Spring wheat | 2007 | 43 | 218 | 114 | 152 |
| 2008 | 42 | 248 | 50 | 134 | ||
| 2009 | 43 | 248 | 83 | 143 | ||
| Spring wheat– | Spring wheat | 2007 | 43 | 218 | 114 | 152 |
| Safflower–Rye | 2008 | 42 | 248 | 50 | 134 | |
| 2009 | 43 | 248 | 83 | 143 | ||
| Safflower | 2007 | 46 | 218 | 330 | 171 | |
| 2008 | 92 † | 248 | 72 | 168 | ||
| 2009 | 46 | 248 | 110 | 152 | ||
| Rye | 2006/2007 ‡ | 38 | 37 | 7 | 83 | |
| 2007/2008 | 38 | 37 | 34 | 64 | ||
| 2008/2009 | 38 | 37 | 96 | 83 | ||
| Factor | Spring Wheat–Fallow | Continuous Spring Wheat | Spring Wheat–Safflower–Rye |
|---|---|---|---|
| (kg CO2equiv. ha−1 yr−1) | |||
| Seed production | 21 b † | 42 a | 47 a |
| Fertilizer production | 66 c | 238 a | 171 b |
| Pesticide production | 112 | 82 | 99 |
| Field operations ‡ | 93 c | 143 a | 128 b |
| SOC change | 69 | −205 | −1244 |
| CH4 flux | −19 ¶ | −11 | −14 |
| N2O flux | 479 | 1658 | 799 |
| Net GWP | 822 | 1948 | −14 |
| (kg CO2equiv. kg−1 grain) | |||
| Yield-scaled GWP | 0.59 | 0.75 | −0.01 |
| Effect | CH4 Flux | N2O Flux |
|---|---|---|
| (µg CH4-C m−2 h−1) | (µg N2O-N m−2 h−1) | |
| Year † | ||
| 1 | −7.0 (0.3) a ‡,¶ | 17.2 (1.5) b |
| 2 | −4.8 (0.5) b | 14.0 (0.9) b |
| 3 | −3.6 (0.4) b | 29.9 (7.6) a |
| P value | <0.01 | 0.01 |
| Season | ||
| December–February | −0.1 (0.7) c | 8.3 (2.2) b |
| March–May | −4.3 (0.4) b | 27.0 (3.2) a |
| June–August | −7.2 (0.3) a | 29.9 (6.0) a |
| September–November | −8.3 (0.4) a | 7.1 (1.0) b |
| P value | <0.01 | <0.01 |
| Crop phase | ||
| Spring wheat | −5.5 (0.3) a | 24.0 (4.2) |
| Safflower | −6.0 (0.7) a | 19.4 (1.9) |
| Rye | −3.6 (0.5) b | 17.9 (2.0) |
| Fallow | −6.0 (0.6) a | 8.6 (1.5) |
| P value | <0.01 | 0.80 |
| Cropping system | ||
| Spring wheat–Fallow | −6.7 (0.4) a | 12.1 (1.1) |
| Continuous spring wheat | −4.0 (0.6) b | 35.8 (12.4) |
| Spring wheat–Safflower–Rye | −4.9 (0.3) b | 19.3 (1.2) |
| P value | 0.01 | 0.06 |
© 2019 by the authors. Licensee MDPI, Basel, Switzerland. This article is an open access article distributed under the terms and conditions of the Creative Commons Attribution (CC BY) license (http://creativecommons.org/licenses/by/4.0/).
Share and Cite
Liebig, M.A.; Archer, D.W.; Halvorson, J.J.; Johnson, H.A.; Saliendra, N.Z.; Gross, J.R.; Tanaka, D.L. Net Global Warming Potential of Spring Wheat Cropping Systems in a Semiarid Region. Land 2019, 8, 32. https://doi.org/10.3390/land8020032
Liebig MA, Archer DW, Halvorson JJ, Johnson HA, Saliendra NZ, Gross JR, Tanaka DL. Net Global Warming Potential of Spring Wheat Cropping Systems in a Semiarid Region. Land. 2019; 8(2):32. https://doi.org/10.3390/land8020032
Chicago/Turabian StyleLiebig, Mark A., David W. Archer, Jonathan J. Halvorson, Holly A. Johnson, Nicanor Z. Saliendra, Jason R. Gross, and Donald L. Tanaka. 2019. "Net Global Warming Potential of Spring Wheat Cropping Systems in a Semiarid Region" Land 8, no. 2: 32. https://doi.org/10.3390/land8020032
APA StyleLiebig, M. A., Archer, D. W., Halvorson, J. J., Johnson, H. A., Saliendra, N. Z., Gross, J. R., & Tanaka, D. L. (2019). Net Global Warming Potential of Spring Wheat Cropping Systems in a Semiarid Region. Land, 8(2), 32. https://doi.org/10.3390/land8020032

