Abstract
An in-depth analysis of land use dynamics during the evolution of regional urban systems is crucial for understanding developmental trajectories and promoting coordinated urban growth. This study adopts a land-use perspective, examining the expansion of urban construction land while identifying its source areas. By integrating Zipf’s law and using urban construction land area as an indicator of urban scale, this research analyzes transformations within the urban system. The findings reveal the following: (1) The total area of urban construction land in the Yangtze River Delta has continued to expand over time, exhibiting an inverted U-shaped curve, with high concentration observed in riverine and coastal zones. (2) Cultivated land serves as the primary source for construction land, contributing on average 77.70% over the past 25 years, amounting to a conversion of 5664.51 square kilometers. Rural residential areas rank second, contributing an average of 11.90%. (3) The rank-size distribution of cities based on urban land area largely aligns with Zipf’s law, albeit with deviations at both ends. The Pareto index increased from 0.803 to 0.897, indicating a trend toward weaker dispersion and greater concentration in urban size distribution. In conclusion, future urban development should emphasize rational expansion grounded in sustainable practices, strengthen farmland protection to ensure food security, and effectively manage rural land transformation to promote efficient land use and ecological balance. These measures will support the balanced and coordinated development of large, medium, and small cities within the urban system.
1. Introduction
According to United Nations data, by the mid-century, the world’s urban population is forecasted to expand by 2.5 billion, and the global urbanization rate is expected to surpass 68%. This indicates that the world is on the verge of entering the mature urban phase [1]. Urbanization, an ongoing phenomenon in the transformation of global human habitation patterns, has become a key driver of economic prosperity and social well-being, both globally and nationally. Driven by increasing urbanization and diverse regional development policies, interconnected urban systems have emerged, characterized by varying scales and functional divisions [2]. However, rapid urbanization has introduced numerous challenges. Countries are not only facing the pressures of swift urban expansion and increasingly complex urban functions but also need to continuously reshape their urban system structures and regional development patterns [3]. This issue is particularly pronounced in China, which is experiencing a phase of rapid urbanization. The excessive expansion of large cities coupled with the lack of development momentum in medium and small cities has led to significant internal imbalances within the urban system. Therefore, within the context of sustainable development, identifying and optimizing urban scale and functional configurations have become critical in achieving local regional balance and high-quality urbanization.
The development, evolution, and spatial characteristics of urban systems are fundamental physical manifestations of societal progress, reflecting shifts in socio-spatial structures and collective spatial behaviors [4]. A rational urban hierarchy enables an interconnected framework for equitable development and functional integration across city scales. This structure is fundamentally driven by the dynamic balance between agglomeration economies and diseconomies, with a city’s ultimate scale determined by maximizing its net agglomeration benefits under specific conditions. Large cities, typified by substantial populations, economic output, specialized labor markets, and robust infrastructure, exemplify agglomeration economies; however, their growth ceiling is constrained by inherent diseconomies like traffic congestion, pollution, and strained public services [5,6]. Conversely, small cities leverage lower costs or distinctive functions, relying on cheaper land and labor as core competitive advantages, yet their growth potential is often limited by insufficient agglomeration economies manifesting as smaller markets, talent/capital drain, and scarce innovation resources. Whether through agglomeration economies or diseconomies, land as the foundational yet scarce resource for urban activities critically shapes pathways to maximize net agglomeration benefits.
As a core concept within urban systems, urban scale is a fundamental element for comprehensively analyzing the hierarchical structure and spatial patterns of urban networks. Most studies use population as the primary metric for measuring the urban scale [7,8]. Auerbach and Ciccone [9] were the first to identify that multiplying urban population by city rank yields a constant value. Building on this, Zipf showed that the pattern of city sizes, measured by population, fits a Pareto distribution with an exponent value of 1 [10]. Conversely, Wang and Sun [11] demonstrated that socio-economic development and urbanization level can lead to changes in the optimal distribution types of city sizes at different national periods. Scholars from around the worldhave investigated the development of urban-scale distribution and spatial patterns across multiple dimensions, including global, national, and regional contexts [12,13,14,15]. Sun et al. [16] used nearly 70 years of data, and applying fixed-effects models, the study clarified global trends in city size distribution. Research generally indicates that developing countries exhibit greater volatility in the evolution of urban-scale distributions compared to developed nations. This process further amplifies instability in city size distribution [17,18]. Consequently, it is necessary to understand not only the scale structure of urban systems but also the distribution of city sizes from the perspective of urban growth [19,20].
Current research on urban scale effects primarily relies on traditional statistical metrics like population size or economic scale [21,22]. While these indicators are essential, they fundamentally lack the ability to directly and objectively capture the physical expansion and morphological changes in cities as spatial entities. Consequently, existing studies often overlook the physical spatial dimension and its dynamic evolution. Some studies have attempted alternative proxies, such as nighttime light data or internet search data for analyzing urban size distribution [12]. However, differences in their spatiotemporal resolution limit the analysis of long-term urban expansion complexity and dynamics. Therefore, alternative long-term indicators are needed to measure urban size and identify distributional changes.
To address these gaps, this study introduces urban construction land area and its land sources, extracted via remote sensing, as core metrics of scale and process variables. This approach directly and objectively reflects the physical scale and dynamics of urban space, while effectively revealing heterogeneity in urban spatial form and its evolution. Building on this, we apply the rank-size rule and Gibrat’s law to identify patterns in urban size distribution, its evolution, and the influence of urban growth modes on size variation. The Yangtze River Delta (YRD) is selected as the study area for three key reasons: Firstly, as one of China’s and the world’s most dynamic and mature urban agglomerations, its multi-tiered, high-density urban system provides an ideal sample for studying size distribution and growth patterns. Secondly, its advanced urbanization and distinct regional integration allow remote-sensing-derived data on built-up area dynamics and land sources to more clearly capture internal spatial structure evolution and heterogeneity within the agglomeration. Finally, this research not only analyzes the mechanisms of a typical mature urban agglomeration but also offers theoretical insights and practical implications for understanding size distribution dynamics and growth mechanisms in similar rapidly urbanizing regions globally.
2. Materials and Methods
2.1. Study Area
The Yangtze River Delta in eastern China represents the highest level of regional integration within the country and serves as a crucial node in the global urban network. It occupies a key strategic position in both national modernization efforts and the comprehensive open economy framework. According to the “Yangtze River Delta Regional Integration Planning Outline,” accelerating the integration of metropolitan areas involves “promoting the coordinated development of Shanghai with its surrounding regions and the Suzhou–Wuxi–Changzhou metropolitan circle, constructing the Shanghai Metropolitan Circle, and enhancing regional competitiveness.” In the context of new urbanization, urban agglomeration of the Yangtze River Delta comprises large, medium, and small cities with tightly interconnected urban centers. This has led to the preliminary formation of a coordinated development pattern across urban and rural regions. Therefore, analyzing the hierarchical structure of urban scales within the Yangtze River Delta serves to deepen the implementation of regional coordinated development strategies and provide valuable insights for urban development in other regions.
This study uses the 2020 administrative division codes from China’s National Bureau of Statistics. To ensure spatial comparability over time, we strictly applied the principle of retrospective consistency to adjust historical administrative boundaries. Specifically, we used the 2020 boundaries as the benchmark. Historical administrative units that were dissolved or altered due to boundary changes were merged into their final corresponding 2020 city units. This resulted in 27 prefecture-level or higher cities and 45 county-level cities (Figure 1). Cities with higher administrative ranks generally possess greater autonomy and often receive preferential policies first [23]. Therefore, we classified cities in the Yangtze River Delta region into three types based on their administrative rank, aiming to reveal differences in urban land expansion patterns among them. The classification results are shown in Table 1.
Figure 1.
Map of the study area. (a) Geographical location of the study area in China; (b) Administrative divisions of the study area; (c) Land use in the study area.
Table 1.
The city type definition.
2.2. Data Sources
Urban construction land area serves as a proxy for population data in analyzing changes in urban system scale distribution. We extracted construction land using land use data (at five-year intervals) from the Resource and Environment Science and Data Center (RESDC). This five-year interval was chosen for two reasons. First, it effectively smooths short-term fluctuations caused by economic cycles or individual projects, revealing clearer medium- to long-term urbanization trends. Second, land use data at county level and above are most reliably available at five- or ten-year intervals. The five-year span maximizes usable data points while ensuring consistent statistical standards.Administrative boundary vectors came from China’s National Geomatics Center. Using spatial analysis tools in ArcGIS Pro, we identified urban construction land within the study area. Spatial overlay techniques maintained land use continuity. We then delineated urban construction land areas per city using temporal administrative boundaries. Finally, multi-attribute land use analysis traced expansion sources, informing targeted strategies for future urban growth.
2.3. Methods
2.3.1. Land-Use Change Extraction
Land use results from the combined effects of natural conditions and socioeconomic activity. Its formation and evolution are influenced not only by geographic and natural factors but also by human modification and utilization behaviors. Existing studies have shown that the conversion of other land types to urban construction land use is often accompanied by negative impacts, such as reduced ecological quality, increased risks to food security, and exacerbated urban heat island effects [24,25,26,27]. Therefore, it is necessary to identify the sources of urban construction land use using land use data, optimize land resource management, and promote sustainable urban development. We extracted newly developed urban construction land use data for different periods using ArcGIS Pro software (version 3.5.0). These newly developed urban construction lands were used as mask data to extract the corresponding land use types. Subsequently, a zonal summary tool was employed to obtain the area of each land use type.
2.3.2. Rank-Size Rule and Gibrat’s Law
Auerbach and Singer were the first to indicate that the distribution of city size can be approximately described by a Pareto distribution. They proposed that the product of a city’s rank and its size remains constant, a principle known as the “Rank-Size Rule” [28,29]. Subsequently, Zipf discovered that this phenomenon exists across various research domains and that its exponent is close to 1. Consequently, the rank-size rule with an exponent of 1 is referred to as “Zipf’s law” [30]. Since then, this distribution law has been widely applied to the study of urban systems. In this study, we adopted an improved method proposed by Gabaix et al. to calculate the Pareto index [31]. This method replaces the traditional natural logarithm of rank (ln R) with ln(Ri 0.5), effectively avoiding inaccuracies in regression results caused by sample bias in the least squares method. This modification significantly enhanced the precision of the analysis. The calculation formula is as follows:
where represents the rank of city and denotes the population size of city . In this context, was replaced by the urban construction land area of city . The parameter is the Pareto index, is a constant, and represents the disturbance term. When the Pareto index is 1, the distribution adheres to Zipf’s law. When < 1, a more dispersed city size distribution is observed; > 1 signifies a more concentrated distribution, where large cities are highly prominent while medium and small cities are underdeveloped, resulting in a higher primacy. Furthermore, an increasing suggests that the city size distribution is centralizing, whereas a decreasing implies decentralization.
The differential growth rates of cities of varying sizes lead to changes in the urban scale distribution. Gibrat’s law examines the relationship between a city’s size and its growth rate to identify the impact of urban growth on the distribution of city sizes. We adopted the approach utilized by Black and Henderson [32]. eH Gibrat’s law testing formula is as follows:
where represents the urban construction land area of city at time t. The left side of the equation denotes the growth rate of urban construction land area; is a regional dummy variable; is a time dummy variable; represents regional fixed effects; is the unit root test coefficient; and is a constant. When is not significant or equals zero, it indicates that urban growth is independent of city size, thereby conforming to Gibrat’s law.
3. Results
3.1. Quantification of Urban Construction Land Expansion
Figure 2a shows the urban construction land area in the Yangtze River Delta increased significantly from 3674.59 km2 (1995) to 11,499.02 km2 (2020). This growth trend occurred across all three city types. Figure 2b reveals that newly added built-up land continuously increased during the first three periods, peaking at 3654.22 km2 (2005–2010). However, in the subsequent two periods post-2010, the newly added urban construction land area showed a clear downward trend. Figure 2c–e show the average newly added urban land area for each type of city during the different periods. Combining these figures, it is apparent that within the same period, the newly added urban construction land area consistently followed the pattern of Type I (prefecture-level cities and above) > Type II (ordinary prefecture-level cities) > Type III (county-level cities). This indicates that cities with higher administrative ranks dominated urban-land expansion. This demonstrates significantly greater urban construction land expansion in cities with elevated administrative ranks. From the perspective of different city types, the newly added urban construction land area for all three types of cities exhibited an approximately inverted U-shaped curve over time, peaking in 2005–2010. Additionally, Type I cities notably exhibited a “tailing off” phenomenon during 2015–2020, which may be attributed to the strengthening of central city functions and the promotion of regional development policies during this time.
Figure 2.
(a) Changes in the total urban construction land area in the Yangtze River Delta region over different periods; (b) newly added urban construction land area during different periods; (c–e) average newly added area for different types of cities in each period.
Figure 3a displays the spatial distribution of urban construction land use in the Yangtze River Delta region for different periods. Overall, the rapid expansion of urban construction land was primarily concentrated in the central and eastern parts of the Yangtze River Delta, such as the Suzhou–Wuxi–Changzhou area and certain county-level cities adjacent to the Yangtze River. Figure 3b–d reveal that riverine and coastal regions have become primary areas for urban land expansion owing to their abundant resources and convenient transportation [33,34]. Simultaneously, under the influence of the siphon effect, urban core areas experienced rapid expansion and eventually reached saturation, with new urban land subsequently diffusing outward. Notably, although both Figure 3b,c represent areas along the Yangtze River, the region depicted in Figure 3c exhibited significantly faster urban land expansion compared to that in Figure 3b. This discrepancy may be because the area in Figure 3a is located in Anhui Province, whereas that in Figure 3b is located in Jiangsu Province. Anhui’s economic development commenced later, and its infrastructure development progressed slower than that of Jiangsu. Regarding the different types of cities within the study area (Figure 3e–g), regions close to rivers and lakes were more susceptible to conversion into urban construction land. This spatial characteristic underscores the influence of natural water bodies on urban growth dynamics. Additionally, the trend of expansion from the center to the periphery also verifies that edge expansion remains the dominant model of urban growth in China [35].
Figure 3.
(a) Spatial distribution of urban land in different periods; (b–g) partial enlargements of urban construction land in selected regions and cities.
3.2. Urban Construction Land Source Identification
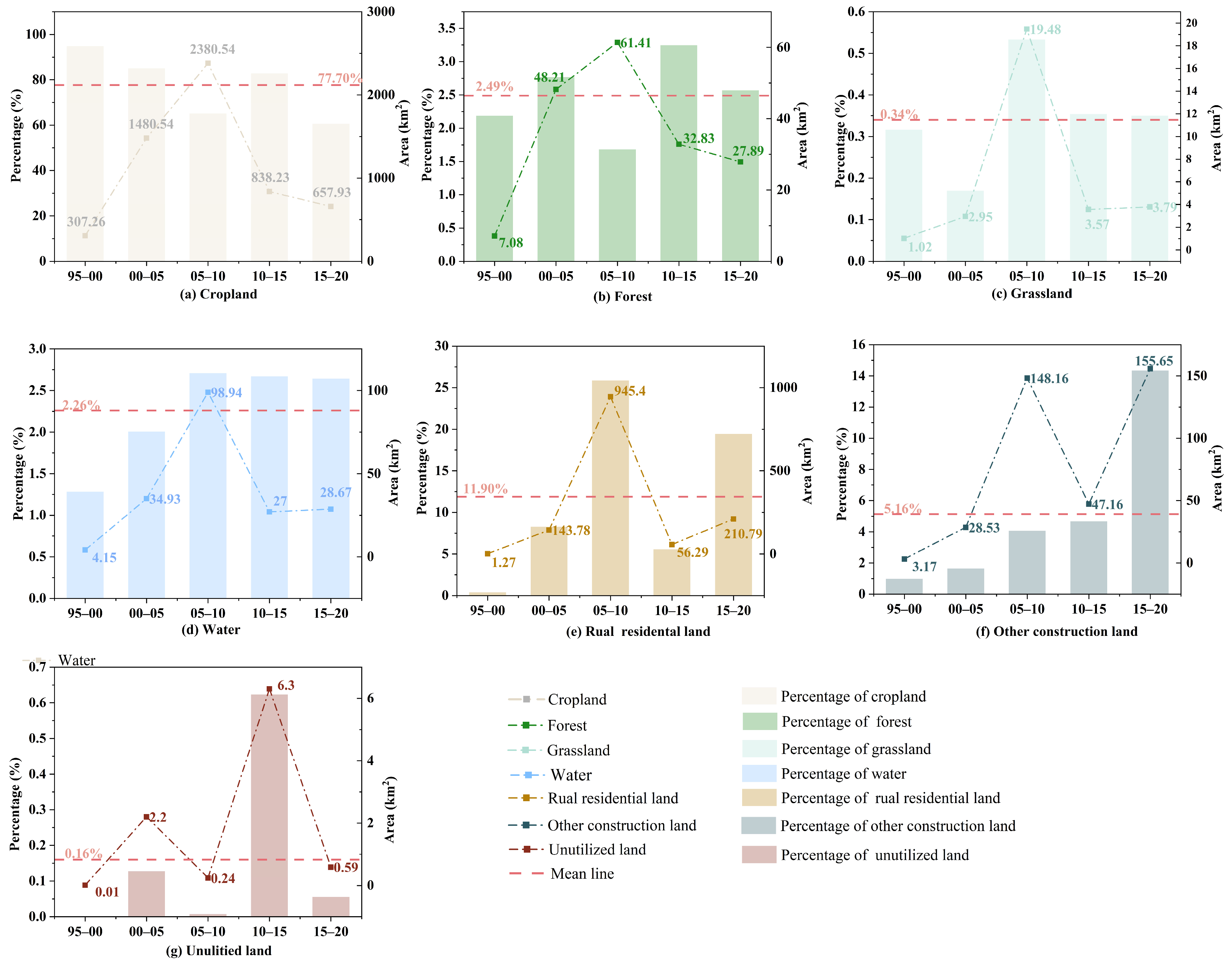
As depicted in Figure 4, cultivated land (77.70%), rural settlements (11.90%), and other construction land (5.16%) contributed the most significantly to new urban construction land expansion. This dominance reflects the intense demand for land driven by the region’s rapid urbanization and industrialization, primarily met by converting nearby farmland and existing construction land areas. Conversions from ecological lands—forest (2.49%), grassland (0.34%), water bodies (2.26%), and unused land (0.16%)—were significantly lower. Conversion areas from cultivated land, forest, grassland, and water bodies followed a distinct inverted-U trajectory, peaking during 2005–2010. This peak period coincided with the YRD’s phase of exceptionally rapid economic growth, booming export-oriented manufacturing, and massive infrastructure development. Within this peak, cultivated land loss was highest (230.54 km2), followed by rural settlement conversion (945.40 km2). A notable shift occurred after 2015: conversions from rural settlements and other construction land rebounded. Rural settlement conversion increased from 56.29 km2 (2010–2015) to 210.79 km2 (2015–2020), and other construction land conversion rose from 47.16 km2 to 155.65 km2. This rebound aligns with the region’s transition to a new urbanization phase. Key drivers include: (1) national and local policies promoting balanced urban-rural development and rural revitalization, which unlocked underutilized rural land; and (2) a strategic shift from outward expansion to optimizing existing land stock, facilitated by policies like “linkage quotas” and industrial conversions of inefficiently used land. Conversely, conversions from other land types generally declined. This decrease is strongly linked to the implementation of stricter ecological conservation measures and tighter enforcement of urban growth boundaries. Collectively, these trends indicate a fundamental transition in the YRD’s urban expansion pattern. The region is moving away from reliance on outward encroachment onto ecological and agricultural land and becoming increasingly dependent on optimizing the use of existing land stock. This transition is the result of evolving regional economic development stages, advancing urbanization levels, and significant adaptations in land management policy.
Figure 4.
Area and contribution of different land use types to urban construction land in different periods.
3.3. Urban Size Distribution Characteristics and Evolution
Figure 5 illustrates the rank-size distribution of cities constructed on urban construction land areas across different periods. Overall, the urban-scale distribution curves exhibited a continuous upward and rightward shift, indicating that the urban construction land area in the Yangtze River Delta region steadily increased over time. Furthermore, the rank-size distribution curves did not present the ideal straight-line form predicted by Zipf’s law. Instead, they transitioned from flat to sloping curves from left to right, displaying characteristics in which the main body conformed to the theory while the tails deviated. This finding is consistent with the global research results of Sun et al., who indicated that both smaller and larger cities have smaller built-up land areas than those expected based on Zipf’s law [36]. Additionally, the legend reveals that the upper-tail deviation of the distribution curve was primarily caused by Type I cities (prefecture-level cities and above), whereas the lower-tail deviation was attributed to Type III cities (county-level cities). The main linear distribution was primarily composed of Type II cities (ordinary prefecture-level cities). However, over time, the number of Type III cities contributing to the main linear distribution gradually increased.
Figure 5.
Rank-size curves of all cities in the study area.
Table 2 presents the Pareto indices for the rank-size distribution of the cities in different periods. The regression model fit coefficients for each period were all >0.88, indicating a high degree of model fit. Additionally, the Pareto index consistently fluctuated between 0.8 and 1, suggesting that the distribution of city sizes in the study area exhibited a weakly dispersed pattern. The overall increasing trend of the index indicated a shift towards a more centralized distribution of city sizes. In other words, large cities continue to dominate urban systems [37]. When Gibrat’s law is satisfied, the Pareto index does not approach the ideal state, which is inconsistent with the patterns derived from the population data [36]. This discrepancy may be because urban land area does not linearly correspond to population size and is also influenced by factors such as land use efficiency, spatial planning, and geographic constraints, leading to uneven spatial expansion. Specifically, the Pareto index increased from 0.803 to 0.832 during the 1995–2000 period, indicating that urban construction land expansion was concentrated in larger cities. Between 2000 and 2010, the Pareto index decreased from 0.832 to 0.817, reflecting a more balanced increase in urban construction land across different city types. During 2010–2020, the Pareto index increased from 0.858 to 0.897, demonstrating a renewed trend of concentrated growth in urban construction land within large cities.
Table 2.
Changes in coefficient, intercept, and goodness-of-fit (R2) of rank-size curves.
Wang et al. summarized the mechanisms influencing changes in urban rank-size distribution in two main aspects: urban growth and changes in the number of cities [11]. Because of our application of the backward consistency principle, which ensures the consistency of city samples, this study focused on the impact of urban growth on changes in the distribution of urban scales in alignment with Gibrat’s law. Unlike divergent growth (in which large cities grow faster than small ones) and convergent growth (in which small cities grow faster than large ones), Gibrat’s law assumes that urban growth is proportional to and independent of city size [38]. Table 3 shows that the regression coefficient was not significant only during 2000–2010, thereby satisfying Gibrat’s law. By contrast, the regression coefficients for the other periods were significantly negative, contradicting Gibrat’s law. This indicated that except for the 2000–2010 period, cities with larger urban land areas grew slower, demonstrating a convergent growth pattern. Consequently, we conducted grouped regressions. The regression results revealed that during 1995–2000, only Type III cities (county-level cities) had a significantly negative regression coefficient, indicating a convergent growth trend within this category. During 2000–2010, the regression coefficients for all city types were not significant, suggesting that urban growth was independent of city size. From 2010 to 2020, both Type II (prefecture-level) and Type III (county-level) cities exhibited significant convergent growth characteristics, with this trend being more pronounced in Type III cities.
Table 3.
Regression results of urban growth.
4. Discussion
Analysis of the sources of urban land shows that the conversion of cultivated land and rural residential land into urban contribution land is the most significant way for urban expansion in the YRD. During the research period, 5664.51 km2 of cultivated land and 1357.54 km2 of rural settlements were converted into urban contribution land (Figure 6). The fundamental reason lies in the fact that cultivated land is often adjacent to urban areas, and its conversion into urban land can bring significant land appreciation and fiscal and tax benefits [39]. However, the YRD region has an extremely dense population, and its per capita cultivated land area is far lower than the national average. The excessive conversion of cultivated land not only poses a severe challenge to food security at the regional and national levels, but also, along with the low-density urban development model, directly exacerbates the disorderly sprawl of cities, leading to ecological fragmentation and inefficient infrastructure [40]. Against this backdrop, strictly protecting farmland and demarcating urban development boundaries have become the core of spatial planning in the YRD region, enabling cities to transform towards the exploration of existing resources and connotative development. Meanwhile, the requirements for sustainable land management have made the development of mixed-use models (such as urban agriculture in Pudong, Shanghai and the suburbs of Hangzhou) a key strategy [41]. This not only helps to preserve agricultural and ecological functions within a limited space but also can control the spread and promote functional integration. The transformation of rural settlements into cities reflects the integration of urban and rural spaces. Meanwhile, the transformation of rural settlements reflects the region’s evolving spatial structure from fragmentation to integration. Rural and urban areas are not opposing entities but interconnected parts of a continuum [42]. While policy drivers like administrative upgrades (county-to-city conversions) significantly shape rural-urban integration [43,44], the core impetus stems from market mechanisms facilitating efficient resource allocation, cross-regional labor migration, and capital investment. The region’s advanced economy and transport networks continuously influence the flow of population, innovation, and technology. These flows accelerate the equalization of infrastructure and public services while driving diversified development in agricultural industrialization, modern services, and high-tech industries. This significantly enhances rural economic resilience and competitiveness, providing core momentum for sustainable and inclusive growth in the YRD and supporting the achievement of sustainable development goals.
Figure 6.
Overall transformation of different land use types during 1995–2020.
The spatiotemporal variation in urban contribution land expansion across different city sizes in China, fundamentally reflects the spatial imprint of national urbanization strategies and supporting policy shifts during distinct development phases [45]. Its trajectory is deeply driven by institutional changes. As shown in Table 3, from 1995 to 2000, the coefficients for all cities and Type III (small cities) were significantly negative. This indicates that small cities expanded their land significantly faster than large cities during this period. This aligned with the 1990 “City Planning Law,” which advocated “strictly controlling the size of large cities, rationally developing medium-sized cities, and actively developing small cities.” Entering 2000–2010, the 10th and 11th Five-Year Plans introduced a new approach: “coordinated development of large, medium, and small cities and towns.” National policy shifted focus from simply controlling city size towards regional coordination and quality improvement. Consequently, land expansion across different city sizes showed a more random growth trend during this stage (reflected in changes to the Gibrat index). After 2010, policy entered a more refined phase of differentiated regulation: strict size controls for megacities, orderly relaxation of household registration restrictions in large cities, and guidance for population and resources to cluster in small-medium cities. These policy adjustments, combined with a deepening reform environment, effectively shaped new characteristics in urban land expansion patterns. This aligns with Wei et al.’s findings based on population data, which showed that cities with high administrative levels met the assumptions of Gibrat’s law, while medium and low-level cities did not [46]. The latest policy cycle, marked by the “two transformations” proposed at the Central Urban Work Conference, further emphasizes urbanization centered on counties. This signals a new round of profound adjustments to future urbanization patterns and land use models.
Therefore, within the context of promoting urbanization centered on counties, differentiated development strategies are needed for cities of different administrative levels. For rapidly expanding Type III cities (county-level cities), new construction land quotas should be linked to the reclamation of rural residential land, ensuring an “increment-decrement linkage”; leveraging the latest policy direction, priority should also be given to piloting “functionally composite land supply” in county-level cities to enhance population carrying capacity and industrial sophistication per unit of land. For ordinary prefecture-level cities, growth efficiency redlines should be established to force a shift from “scale expansion” to “functional upgrading,” while simultaneously coordinating land quotas from county-level cities within their jurisdiction for optimized allocation at the prefectural level. For other high-level cities, the focus should be on leveraging policy tools like moderately improving land efficiency and industrial relocation to encourage market participation in the redevelopment of old residential areas and industrial zones.
Limitations and Future Research
However, several limitations warrant acknowledgment. Primarily constrained by data availability, land use information was only obtainable at five-year intervals, which somewhat restricted our ability to capture detailed dynamics of urban land expansion during specific periods. Concurrently, regional variations in land use efficiency and urban density may introduce bias when using land area as a proxy for urban size. Consequently, future research should explore the application of this analytical framework to other comparable regions, while considering alternative models to validate the generalizability of our findings [47]. Simultaneously, deeper investigation into specific factors influencing urban construction land expansion is warranted. Collectively, such efforts will provide a robust scientific basis for formulating more targeted regional development and land management policies.
5. Conclusions
Identifying and analyzing the hierarchical structure and expansion characteristics of regional urban systems are crucial for understanding urban development patterns and promoting coordinated regional growth. This study utilized urban land area as a substitute for traditional population data to measure urban scale and validated the findings using population-based Zipf’s and Gibrat’s law. Additionally, we analyzed the trends and sources of urban land change. The main conclusions are as follows:
(1) The urban construction land area in the Yangtze River Delta increased rapidly from 3674.59 km2 in 1995 to 11,499.02 km2 in 2020. Analysis reveals that newly added construction land across periods was predominantly driven by Type I cities (prefecture-level and above) and Type II cities (ordinary prefecture level). In contrast, Type III cities (county level) maintained relatively stable contributions. Notably, county level urbanization has demonstrated significantly rising land demand. This suggests future development should prioritize the regulated development of county level construction land to prevent inefficient and disorderly expansion.
(2) Analysis of the sources of urban construction land shows that from 1995 to 2020, a total of 5664.51 km2 of cultivated land in the study area was converted into construction land, highlighting the continuous pressure on the protection of agricultural land. During the same period, the renovation of rural residential areas contributed 1357.54 km2, making it the second largest source of urban expansion. Although the conversion of other land types is relatively limited, these multisource supplies have jointly driven the continuous growth of urban land. Under the constraints of the binding farmland protection policy and the principle of sustainability, the future integration of urban and rural areas will increasingly rely on the transformation of rural residential areas. This is not only an important way to intensively utilize the existing built-up areas, but also a strategic functional fulcrum for coordinating urban expansion and ecological protection.
(3) As a direct indicator of urban spatial growth, the area of urban construction land can effectively replace population data for urban scale measurement. The curve of urban grade scale distribution shows a trend of moving to the right, indicating that the overall scale of urban construction land continues to expand. The rise of the Pareto index indicates that although the urban system in the study area is still in a weakly decentralized state, the trend of centralization is strengthening. The significant negative regression coefficient in 2010 indicates that there are significant differences in the expansion speed among cities of different administrative grades: the expansion speed of construction land in small and medium-sized cities of lower administrative grades (especially county-level cities and ordinary prefecture-level cities) is faster than that in large cities.
Author Contributions
Z.S.: Data curation, Methodology, Software, Visualization, Writing—original draft, Writing—review and editing. W.L.: Conceptualization, Funding acquisition, Supervision, Writing—review and editing. X.L.: Writing—review and editing. Q.L.: Writing—review and editing. Z.L.: Writing—review and editing. All authors have read and agreed to the published version of the manuscript.
Funding
This research was funded by the Key Project of the National Natural Science Foundation of China (Grant no. 42030409).
Data Availability Statement
The data presented in this study are available on request from the corresponding author.
Conflicts of Interest
The authors declare no conflicts of interest.
References
- World Cities Report 2022; UN-Habitat: Nairobi, Kenya, 2023.
- Xu, X.; Zhou, Y.; Ning, Y. Urban Geography; Higher Education Press: Beijing, China, 2022. [Google Scholar]
- Li, J.; Yang, Y.; Fan, J.; Jin, F.; Zhang, W.; Liu, S.; Fu, B. Comparative Research on Regional Differences in Urbanization and Spatial Evolution of Urban Systems between China and India. J. Geogr. Sci. 2018, 28, 1860–1876. [Google Scholar] [CrossRef]
- Fan, Y.; Yu, G.; He, Z. Origin, Spatial Pattern, and Evolution of Urban System: Testing a Hypothesis of “Urban Tree”. Habitat Int. 2017, 59, 60–70. [Google Scholar] [CrossRef]
- Shi, Z.; Yang, J.; Zhang, Y.; Xiao, X.; Xia, J.C. Urban Ventilation Corridors and Spatiotemporal Divergence Patterns of Urban Heat Island Intensity: A Local Climate Zone Perspective. Environ. Sci. Pollut. Res. 2022, 29, 74394–74406. [Google Scholar] [CrossRef]
- Feng, T.; Du, H.; Lin, Z.; Zuo, J. Spatial Spillover Effects of Environmental Regulations on Air Pollution: Evidence from Urban Agglomerations in China. J. Environ. Manag. 2020, 272, 110998. [Google Scholar] [CrossRef]
- Huang, Z.; Wei, Y.D.; He, C.; Li, H. Urban Land Expansion under Economic Transition in China: A Multi-Level Modeling Analysis. Habitat Int. 2015, 47, 69–82. [Google Scholar] [CrossRef]
- Mahtta, R.; Fragkias, M.; Güneralp, B.; Mahendra, A.; Reba, M.; Wentz, E.A.; Seto, K.C. Urban Land Expansion: The Role of Population and Economic Growth for 300+ Cities. npj Urban Sustain. 2022, 2, 5. [Google Scholar] [CrossRef]
- Auerbach, F.; Ciccone, A. The Law of Population Concentration. Environ. Plan. B Urban Anal. City Sci. 2023, 50, 290–298. [Google Scholar] [CrossRef]
- Arshad, S.; Hu, S.; Ashraf, B.N. Zipf’s Law, the Coherence of the Urban System and City Size Distribution: Evidence from Pakistan. Phys. Stat. Mech. Its Appl. 2019, 513, 87–103. [Google Scholar] [CrossRef]
- Wang, Y.; Sun, B. The Types of City Size Distributions and Their Evolution. Cities 2024, 150, 105045. [Google Scholar] [CrossRef]
- Düben, C.; Krause, M. Population, Light, and the Size Distribution of Cities. J. Reg. Sci. 2021, 61, 189–211. [Google Scholar] [CrossRef]
- Fang, X.; Su, D.; Wu, Q.; Wang, J.; Zhang, Y.; Li, G.; Cao, Y. Dynamic Changes in Urban Land Spatial Inequality under the Core-Periphery Structure in Urban Agglomerations. J. Geogr. Sci. 2023, 33, 760–778. [Google Scholar] [CrossRef]
- Korah, A.; Wimberly, M.C. Smaller Cities Have Large Impacts on West Africa’s Expanding Urban System. Sustain. Cities Soc. 2024, 106, 105381. [Google Scholar] [CrossRef]
- Ying, N. Dynamic Multi-Dimensional Scaling of 30+ Year Evolution of Chinese Urban Systems: Patterns and Performance. Sci. Total Environ. 2023, 863, 160705. [Google Scholar] [CrossRef]
- Sun, B.; Zhang, T.; Wang, Y.; Zhang, L.; Li, W. Are Mega-Cities Wrecking Urban Hierarchies? A Cross-National Study on the Evolution of City-Size Distribution. Cities 2021, 108, 102999. [Google Scholar] [CrossRef]
- Anderson, G.; Ge, Y. The Size Distribution of Chinese Cities. Reg. Sci. Urban Econ. 2005, 35, 756–776. [Google Scholar] [CrossRef]
- Soo, K.T. Zipf, Gibrat and Geography: Evidence from China, India and Brazil. Pap. Reg. Sci. 2014, 93, 159–181. [Google Scholar] [CrossRef]
- Ning, Y.; Liu, S.; Zhao, S.; Liu, M.; Gao, H.; Gong, P. Urban Growth Rates, Trajectories, and Multi-Dimensional Disparities in China. Cities 2022, 126, 103717. [Google Scholar] [CrossRef]
- Zhao, S.; Zhou, D.; Zhu, C.; Sun, Y.; Wu, W.; Liu, S. Spatial and Temporal Dimensions of Urban Expansion in China. Environ. Sci. Technol. 2015, 49, 9600–9609. [Google Scholar] [CrossRef]
- Wang, Y.; Wei, Y.D.; Sun, B. New Economy and National City Size Distribution. Habitat Int. 2022, 127, 102632. [Google Scholar] [CrossRef]
- Shi, L.; Wurm, M.; Huang, X.; Zhong, T.; Taubenboeck, H. Measuring the Spatial Hierarchical Urban System in China in Reference to the Central Place Theory. Habitat Int. 2020, 105, 102264. [Google Scholar] [CrossRef]
- Li, L.; Ma, S.; Zheng, Y.; Xiao, X. Integrated Regional Development: Comparison of Urban Agglomeration Policies in China. Land Use Policy 2022, 114, 105939. [Google Scholar] [CrossRef]
- Guo, A.; Yue, W.; Yang, J.; Xue, B.; Xiao, W.; Li, M.; He, T.; Zhang, M.; Jin, X.; Zhou, Q. Cropland Abandonment in China: Patterns, Drivers, and Implications for Food Security. J. Clean. Prod. 2023, 418, 138154. [Google Scholar] [CrossRef]
- Li, C.; Yang, J.; Zhang, Y. Evaluation and Analysis of the Impact of Coastal Urban Impervious Surfaces on Ecological Environments. IEEE J. Sel. Top. Appl. Earth Obs. Remote Sens. 2023, 16, 8721–8733. [Google Scholar] [CrossRef]
- Ren, J.; Yang, J.; Wu, F.; Sun, W.; Xiao, X.; Xia, J.C. Regional Thermal Environment Changes: Integration of Satellite Data and Land Use/Land Cover. iScience 2023, 26, 105820. [Google Scholar] [CrossRef]
- Yu, W.; Yang, J.; Cong, N.; Ren, J.; Yu, H.; Xiao, X.; Xia, J. Attribution of Urban Diurnal Thermal Environmental Change: Importance of Global–Local Effects. IEEE J. Sel. Top. Appl. Earth Obs. Remote Sens. 2023, 16, 8087–8101. [Google Scholar] [CrossRef]
- Auerbach, F. Das Gesetz Der Belvolkerungskoncertration. Petermanns Geogr. Mitteilungen 1913, 59, 74–76. [Google Scholar]
- Singer, H.W. The “Courbe Des Populations.” A Parallel to Pareto’s Law. Econ. J. 1936, 46, 254–263. [Google Scholar] [CrossRef]
- Zipf, G.K. Human Behaviour and the Principle of Least Effort; Addison-Wesley: Boston, MA, USA, 1949. [Google Scholar]
- Gabaix, X.; Ibragimov, R. Rank-1/2: A Simple Way to Improve the OLS Estimation of Tail Exponents. J. Bus. Econ. Stat. 2011, 29, 24–39. [Google Scholar] [CrossRef]
- Black, D.; Henderson, V. Urban Evolution in the USA. J. Econ. Geogr. 2003, 3, 343–372. [Google Scholar] [CrossRef]
- Li, Z.; Luan, W.; Zhang, Z.; Su, M. Relationship between Urban Construction Land Expansion and Population/Economic Growth in Liaoning Province, China. Land Use Policy 2020, 99, 105022. [Google Scholar] [CrossRef]
- Li, Z.; Luan, W.; Zhang, Z.; Su, M. Research on the Interactive Relationship of Spatial Expansion between Estuarine and Coastal Port Cities. Land 2023, 12, 371. [Google Scholar] [CrossRef]
- He, Q.; Zeng, C.; Xie, P.; Tan, S.; Wu, J. Comparison of Urban Growth Patterns and Changes between Three Urban Agglomerations in China and Three Metropolises in the USA from 1995 to 2015. Sustain. Cities Soc. 2019, 50, 101649. [Google Scholar] [CrossRef]
- Sun, B.; Wang, Y.; Zhang, Z.; Li, W. The Form and Evolution of City Size Distribution and Urban Growth Model in China: An Analysis Based on Zipf’s Law and Gibrat’s Law. Prog. Geogr. 2022, 41, 361–370. [Google Scholar] [CrossRef]
- Gabaix, X. Zipf’s Law for Cities: An Explanation. Q. J. Econ. 1999, 114, 739–767. [Google Scholar] [CrossRef]
- Gibrat, R. Les Inégalités Économiques: Applications: Aux Inégalités des Richesses, à La Concentration des Entreprises, aux Populations des Villes, aux Statistiques des Familles, Etc. d’Une Loi Nouvelle: La Loi de l’Effet Proportionnel; Librairie du Recueil Sirey: Paris, France, 1931. [Google Scholar]
- Zhou, Y.; Li, X.; Liu, Y. Cultivated Land Protection and Rational Use in China. Land Use Policy 2021, 106, 105454. [Google Scholar] [CrossRef]
- Zimmerer, K.S.; Duvall, C.S.; Jaenicke, E.C.; Minaker, L.M.; Reardon, T.; Seto, K.C. Urbanization and Agrobiodiversity Leveraging a Key Nexus for Sustainable Development. One Earth 2021, 4, 1557–1568. [Google Scholar] [CrossRef]
- Cheng, L. China’s Rural Transformation under the Link Policy: A Case Study from Ezhou. Land Use Policy 2021, 103, 105319. [Google Scholar] [CrossRef]
- Yu, A.T.W.; Wu, Y.; Zheng, B.; Zhang, X.; Shen, L. Identifying Risk Factors of Urban-Rural Conflict in Urbanization: A Case of China. Habitat Int. 2014, 44, 177–185. [Google Scholar] [CrossRef]
- Dong, Y.; Wang, F.; Wang, K. The Effect and Its Mechanism of Turning County (County-Level City) into Urban District on the Economic Development in Regions with Lagging Urbanization: Evidence from Northeast and Southwest China. Habitat Int. 2024, 151, 103141. [Google Scholar] [CrossRef]
- Zeng, C.; Zhang, A.; Liu, L.; Liu, Y. Administrative Restructuring and Land-Use Intensity—A Spatial Explicit Perspective. Land Use Policy 2017, 67, 190–199. [Google Scholar] [CrossRef]
- Wang, C.; Jin, Y. Long Dawn before Take-off: Spatio-Temporal Patterns and Mechanisms of China’s Urban Growth, 1900–1978. Cities 2023, 141, 104466. [Google Scholar] [CrossRef]
- Wei, S.H.; Sun, N.; Jiang, Y. The Applicability of Zipf’s Law and Gibrat’s Law to City Size Distribution in China. J. World Econ. 2018, 41, 96–120. [Google Scholar] [CrossRef]
- Liu, Y.; Chen, X.; Liu, D. How Does Urban Spatial Structure Affect Economic Growth? Evidence from Landsat Data in China. J. Econ. Issues 2020, 54, 798–812. [Google Scholar] [CrossRef]
Disclaimer/Publisher’s Note: The statements, opinions and data contained in all publications are solely those of the individual author(s) and contributor(s) and not of MDPI and/or the editor(s). MDPI and/or the editor(s) disclaim responsibility for any injury to people or property resulting from any ideas, methods, instructions or products referred to in the content. |
© 2025 by the authors. Licensee MDPI, Basel, Switzerland. This article is an open access article distributed under the terms and conditions of the Creative Commons Attribution (CC BY) license (https://creativecommons.org/licenses/by/4.0/).





