Research on the Spatio-Temporal Differentiation of Environmental Heat Exposure in the Main Urban Area of Zhengzhou Based on LCZ and the Cooling Potential of Green Infrastructure
Abstract
1. Introduction
- What spatial differentiation characteristics do different LCZ types present in urban heat exposure risks? Do their heat exposure patterns exhibit structural and stability regularities?
- Within the LCZ classification framework, do environmental factors such as NDVI, surface reflectance, road density, and SVF show type-specific influence mechanisms on land surface temperature (LST)? Are there spatial substitution relationships among the primary driving factors?
- How can scientific and reasonable green infrastructure intervention paths be proposed based on the spatial attributes and dominant factors of high-heat-exposure areas to realize precise governance and zonal optimization of heat exposure risks?
2. Research Area Overview and Data Methods
2.1. Research Area Overview
2.2. Data Sources
2.2.1. Local Climate Zone (LCZ) Data
2.2.2. Remote Sensing and Auxiliary Data
Land Surface Temperature Data
Auxiliary Environmental Factors
2.3. Methods
2.3.1. Local Climate Zone (LCZ) Classification Method
2.3.2. Land Surface Temperature Retrieval and Urban Heat Island Intensity Calculation
Land Surface Temperature Retrieval Method
Urban Heat Island Intensity Calculation
2.3.3. Multi-Factor Contribution Analysis and Green Cooling Potential Assessment
Analysis of Driving Factor Contributions
Evaluation Method for Vegetation Cooling Potential
3. Results and Analysis
3.1. Analysis of LCZ Classification Characteristics
3.2. Spatial Differentiation Pattern of Surface Thermal Environment
3.3. Spatial Differentiation of Environmental Heat Exposure Risk Based on LCZ Classification
3.3.1. High Exposure LCZ Types
3.3.2. Spatial Characteristics of High-Exposure LCZ Types
3.4. Driving Mechanism of Environmental Heat Exposure Risk
3.4.1. Contribution Analysis of Driving Factors Based on LCZ Grouping
3.4.2. Spatial–Temporal Heterogeneity Analysis of Negative Correlation Between NDVI and LST
3.4.3. Evaluation of Greening Cooling Potential Based on NDVI-LST Regression
4. Discussion
5. Conclusions
Author Contributions
Funding
Data Availability Statement
Acknowledgments
Conflicts of Interest
References
- IPCC. Climate Change 2021: The Physical Science Basis. Contribution of Working Group I to the Sixth Assessment Report of the Intergovernmental Panel on Climate Change; Cambridge University Press: Cambridge, UK, 2021. [Google Scholar]
- UN-Habitat. World Cities Report 2022: Envisaging the Future of Cities; United Nations Human Settlements Programme: Nairobi, Kenya, 2022. [Google Scholar]
- Zhang, W.; Zwiers, F.W.; Zhang, X. The western North America heat wave of June 2021. Bull. Am. Meteorol. Soc. 2021, 102, S1–S6. [Google Scholar]
- European Environment Agency. Climate Change, Impacts and Vulnerability in Europe 2022: An Indicator-Based Report; Publications Office of the European Union: Luxembourg, 2022. [Google Scholar]
- World Meteorological Organization (WMO). State of the Global Climate 2022; WMO-No. 1308; WMO: Geneva, Switzerland, 2023. [Google Scholar]
- Han, J.; Liu, Z.; Zhou, J. Analysis on the causes and impacts of the 2022 extreme heat and drought event in the Yangtze River Basin. Meteorol. Mon. 2023, 49, 157–167. (In Chinese) [Google Scholar]
- Zhang, L.; Liu, J.; Gao, X. Spatial pattern and influencing factors of urban thermal environment in Beijing. Ecol. Environ. Sci. 2019, 28, 244–250. (In Chinese) [Google Scholar]
- Zhao, L.; Lee, X.; Smith, R.B.; Oleson, K.W. Strong contributions of local background climate to urban heat islands. Environ. Res. Lett. 2021, 16, 054003. [Google Scholar] [CrossRef] [PubMed]
- Ding, J.; Chen, M. Spatiotemporal evolution of urban heat island and cooling effect of green space in Shanghai. Acta Ecol. Sin. 2020, 40, 1689–1699. (In Chinese) [Google Scholar]
- Grimmond, C.S.B.; Blackett, M.; Best, M.J.; Barlow, J.; Baik, J.J.; Belcher, S.E.; Bohnenstengel, S.I.; Calmet, I.; Chen, F.; Dandou, A.; et al. The International Urban Energy Balance Models Comparison Project: First results from Phase 1. J. Appl. Meteorol. Climatol. 2010, 49, 1268–1292. [Google Scholar] [CrossRef]
- Seto, K.C.; Solecki, W.D.; Griffith, C.A. Human Settlements, Infrastructure, and Spatial Planning. In Climate Change 2014: Mitigation of Climate Change. Contribution of Working Group III to the Fifth Assessment Report of the Intergovernmental Panel on Climate Change; Edenhofer, O., Pichs-Madruga, R., Sokona, Y., Farahani, E., Kadner, S., Seyboth, K., Adler, A., Baum, I., Brunner, S., Eickemeier, P., et al., Eds.; Cambridge University Press: Cambridge, UK; New York, NY, USA, 2014. [Google Scholar]
- Mundoli, S.; Manjunath, R.; Nagendra, H. Heat stress and informal settlements: A case for climate justice in India. Environ. Justice 2020, 13, 92–97. [Google Scholar]
- Chakraborty, T.; Hsu, A.; Manya, D.; Sheriff, G. Disproportionately higher exposure to urban heat in lower-income neighborhoods: A multi-city perspective. Environ. Res. Lett. 2019, 14, 105003. [Google Scholar]
- Das, S.; Das, M.; Pal, S. Urban greenspace inequality and heat risk in Indian megacities: A case study of Delhi. Sustain. Cities Soc. 2022, 80, 103772. [Google Scholar]
- Santamouris, M. Cooling the cities—A review of reflective and green roof mitigation technologies to fight heat island and improve comfort in urban environments. Sol. Energy 2015, 115, 989–1014. [Google Scholar] [CrossRef]
- Mavrogianni, A.; Davies, M.; Chrysoulakis, N.; Leal, W.; Papanikolaou, N.; Mihalakakou, G.; Livada, I.; González, J.; Ortiz, M.; Wong, M.; et al. Urban environment and thermal comfort indoors and outdoors: The role of passive measures for improvement. Energy Build. 2011, 43, 1565–1576. [Google Scholar]
- Krayenhoff, E.S.; Moustaoui, M.; Broadbent, A.M.; Christen, A.; Martilli, A.; Georgescu, M.; Wong, M.S.; Oke, T.R.; Roth, M.; Grimmond, C.S.B.; et al. Reducing the Heat Island Magnitude in Northern Temperate Cities: A Radiative Approach. Build. Environ. 2018, 137, 167–177. [Google Scholar]
- Lin, W.; Zhou, L.; Yang, C. Identification of urban heat island driving factors based on random forest. J. Remote Sens. 2021, 25, 568–578. (In Chinese) [Google Scholar]
- Stewart, I.D.; Oke, T.R. Local climate zones for urban temperature studies. Bull. Am. Meteorol. Soc. 2012, 93, 1879–1900. [Google Scholar] [CrossRef]
- Ma, X.; Liu, Y.; Zhang, H. Spatiotemporal evolution and structural analysis of urban thermal environment based on LCZ: A case study of Wuhan. Sci. Geogr. Sin. 2022, 42, 33–41. (In Chinese) [Google Scholar]
- Zhengzhou Bureau of Statistics. Communiqué of the Seventh National Population Census of Zhengzhou, 2020; Zhengzhou Bureau of Statistics: Zhengzhou, China, 2021. (In Chinese)
- Chen, A.; Yao, L.; Sun, R.; Li, X.; Wang, Y.; Zhang, H.; Liu, J.; Zhao, Q.; Huang, X.; Gao, F.; et al. Spatial differentiation of urban heat exposure in high-density cities based on LCZ: A case study of Zhengzhou. Geogr. Res. 2024, 43, 789–802. (In Chinese) [Google Scholar]
- Bechtel, B.; Daneke, H.; Schwarz, N. WUDAPT: The World Urban Database and Access Portal Tools. Int. J. Digit. Earth 2019, 12, 641–657. [Google Scholar]
- Quan, W.; Li, Y.; Wang, X.; Zhang, H.; Liu, J.; Chen, A.; Zhao, Q.; Huang, X.; Gao, F.; Sun, R.; et al. Urban heat island mitigation strategies based on local climate zones in Zhengzhou, China. Sustainability 2021, 13, 10289. [Google Scholar]
- Ma, L.; Wang, Y.T.; Li, X.; Zhang, H.; Liu, J.; Chen, A.; Zhao, Q.; Huang, X.; Sun, R.; Gao, F.; et al. Object-oriented remote sensing image analysis for LCZ mapping. J. Remote Sens. 2023, 27, 1234–1248. (In Chinese) [Google Scholar]
- Qin, Z.; Karnieli, A.; Berliner, P. A mono-window algorithm for retrieving land surface temperature from Landsat TM data and its application to the Israel–Egypt border region. Int. J. Remote Sens. 2001, 22, 3719–3746. [Google Scholar]
- Du, X.H.; Han, Y.H.; Liu, C. Identification of urban thermal environment driving factors based on random forest: A case study of Beijing. Geogr. Sci. 2020, 40, 278–285. (In Chinese) [Google Scholar]
- Breiman, L. Random forests. Mach. Learn. 2001, 45, 5–32. [Google Scholar] [CrossRef]
- Liu, Y.; Mu, K.; Han, B.; Zhang, M.; Bao, J.; Yang, L. Surface heat island effect of urban local climate classification. J. Remote Sens. 2020, 24, 1123–1133. (In Chinese) [Google Scholar]
- Chen, Z.; Li, S. Study on urban thermal environment in Hangzhou central urban area based on local climate zones. Acta Ecol. Sin. 2024, 44, 4125–4134. (In Chinese) [Google Scholar]
- Shen, Z.; Ning, S.; Liu, J. Thermal environment effects of urban spatial morphology from the perspective of local climate zones: A case study of Quanzhou. Geogr. Res. 2023, 42, 1056–1070. (In Chinese) [Google Scholar]
- Xu, Y.; Hou, W.; Zhang, C. Spatial Association Rules and Thermal Environment Differentiation Evaluation of Local Climate Zone and Urban Functional Zone. Land 2023, 12, 1701. [Google Scholar] [CrossRef]
- Wang, C.; Zhang, H.; Ma, Z.; Yang, H.; Jia, W. Urban Morphology Influencing the Urban Heat Island in the High-Density City of Xi’an Based on the Local Climate Zone. Sustainability 2024, 16, 3946. [Google Scholar] [CrossRef]
- Yang, J.; Sun, D.; Xiao, X. Warming and cooling effects of local climate zones on urban thermal environment. Sci. Total Environ. 2022, 831, 154918. [Google Scholar]
- Qiao, Z.; Tian, G. Spatiotemporal diversity and regionalization of the urban thermal environment in Beijing. Acta Geogr. Sin. 2014, 69, 101–112. (In Chinese) [Google Scholar]
- Song, S.R.; Liu, H.B.; Zhang, B. Thermal environment characteristics of different land use types in Changsha. Remote Sens. Technol. Appl. 2021, 36, 672–681. (In Chinese) [Google Scholar]
- Li, X.; Zhou, Y.; Asrar, G.R.; Li, H.; Zhang, J.; Wang, Y.; Chen, A.; Liu, J.; Zhao, Q.; Huang, X.; et al. Spatiotemporal differentiation of urban heat island intensity in Chinese megacities. Environ. Res. Lett. 2017, 12, 034003. [Google Scholar]
- Schwarz, N.; Lautenbach, S.; Seppelt, R. Exploring indicators for quantifying surface urban heat islands of European cities. Remote Sens. Environ. 2011, 115, 3175–3186. [Google Scholar] [CrossRef]
- Weng, Q. Thermal infrared remote sensing for urban climate and environmental studies. ISPRS J. Photogramm. Remote Sens. 2009, 64, 335–344. [Google Scholar] [CrossRef]
- Li, X.; Zhou, Y.; Asrar, G.R.; Imhoff, M.; Li, X. The surface urban heat island response to urban expansion. Sci. Total Environ. 2017, 605–606, 426–435. [Google Scholar] [CrossRef] [PubMed]
- Tang, Y.; Xu, X.P.; Sun, W. Relationship between urban building spatial form and UHI effect. Build. Sci. 2021, 37, 74–80. (In Chinese) [Google Scholar]
- Wang, R.; Zhang, C.; Estoque, R.C.; Li, X.; Chen, A.; Liu, J.; Zhao, Q.; Huang, X.; Sun, R.; Gao, F.; et al. Spatial heterogeneity of UHI intensity in Zhengzhou based on LCZ. Prog. Geogr. 2022, 41, 893–903. (In Chinese) [Google Scholar]
- Xue, S.; Chao, X.; Wang, K.; Wang, J.; Xu, J.; Liu, M.; Ma, Y. Impact of Canopy Coverage and Morphological Characteristics of Trees in Urban Park on Summer Thermal Comfort Based on Orthogonal Experiment Design: A Case Study of Lvyin Park in Zhengzhou, China. Forests 2023, 14, 2098. [Google Scholar] [CrossRef]
- Jenerette, G.D.; Harlin, J.M.; Schlaepfer, D.R.; Smith, A.; Johnson, B.; Lee, C.; Martinez, D.; Chen, X.; Wang, Y.; Zhao, Q.; et al. Nonlinear responses of urban vegetation cover to heat mitigation. Environ. Res. Lett. 2016, 11, 044014. [Google Scholar]
- Connors, J.P.; Galletti, C.S.; Chow, W.T.L. Landscape configuration and urban heat island effects: A Phoenix case study. Landsc. Ecol. 2013, 28, 271–283. [Google Scholar] [CrossRef]
- Middel, A.; Häb, K.; Brazel, A.J.; Myint, S.W.; Guhathakurta, S.; Jones, E.; Chow, W.T.L.; Mills, G.; McPherson, E.G.; Gomez, J.D.; et al. Impact of urban form on microclimate in Phoenix local climate zones. Landsc. Urban Plan. 2014, 122, 16–28. [Google Scholar] [CrossRef]
- Ren, Q.; Zhang, L.; Yang, Z.; Zhang, M.; Wei, M.; Zhang, H.; Li, A.; Shi, R.; Song, P.; Ge, S. Multi-Criteria Plant Clustering for Carbon-Centric Urban Forestry: Enhancing Sequestration Potential Through Adaptive Species Selection in the Zhengzhou Metropolitan Area. China For. 2025, 16, 536. [Google Scholar] [CrossRef]
- Henan Climate Center. Climate Analysis Report of Zhengzhou; Henan Meteorological Bureau: Zhengzhou, China, 2024. (In Chinese)
- Zhang, C.; Liu, H.; Yang, W.J. Cooling effects and influencing factors of urban green spaces. Chin. Landsc. Archit. 2021, 37, 97–102. (In Chinese) [Google Scholar]
- Zhang, Y.; Wang, R.; Zhang, C.; Li, X.; Chen, A.; Liu, J.; Zhao, Q.; Huang, X.; Sun, R.; Gao, F.; et al. Optimization strategies for green space to mitigate UHI in Zhengzhou. Chin. Landsc. Archit. 2023, 39, 89–94. (In Chinese) [Google Scholar]
- Du, C.; Ge, S.; Song, P.; Jombach, S.; Fekete, A.; Valánszki, I. Optimizing Urban Green Spaces for Vegetation-Based Carbon Sequestration: The Role of Landscape Spatial Structure in Zhengzhou Parks, China. Forests 2025, 16, 679. [Google Scholar] [CrossRef]
- He, D.; Li, H.; Zhou, P.; Guo, J.; Yuan, J.; Wang, J.; Liu, Y.; Zhang, Z.; Lei, Y. Leaf Plasticity Responses of Four Urban Garden Plants to Low-Light Environments Under Viaducts. Forests 2025, 16, 651. [Google Scholar] [CrossRef]
- Liu, Y.; Dong, W.; Li, X. Spatial differentiation characteristics of urban thermal environment based on local climate zones: A case study of Nanjing City. Sci. Geogr. Sin. 2023, 43, 1083–1094. (In Chinese) [Google Scholar]
- Zhang, R.; Liu, G. Research on urban forest park management based on recreation concept. Chin. Landsc. Archit. 2022, 38, 109–113. [Google Scholar]
- Zhou, W.; Ouyang, Z.Y.; Li, X. Threshold effect of green space fragmentation on UHI mitigation: Case of Zhengzhou. Chin. J. Appl. Ecol. 2022, 33, 2211–2218. (In Chinese) [Google Scholar]
- Wang, S.Y.; Zhang, L.; Gao, X. Spatial heterogeneity effects of three-dimensional urban form parameters on the thermal environment: A case study of Beijing City. J. Geo-Inf. Sci. 2022, 24, 1345–1356. (In Chinese) [Google Scholar]
- Zhou, D.; Zhao, S.; Liu, S.; Zhang, L.; Zhu, C. Climate–vegetation control on the diurnal and seasonal variations of surface urban heat islands in China. Environ. Res. Lett. 2016, 11, 054009. [Google Scholar] [CrossRef]
- Yuan, F.; Bauer, M.E. Comparison of impervious surface area and normalized difference vegetation index as indicators of surface urban heat island effects in Landsat imagery. Remote Sens. Environ. 2007, 106, 375–386. [Google Scholar] [CrossRef]
- Gunawardena, K.R.; Wells, M.J.; Kershaw, T. Utilising green infrastructure for urban climate adaptation: A review. Sustain. Cities Soc. 2017, 25, 447–457. [Google Scholar]
- Zhao, H.B.; Huang, Z.G.; Yang, F. Review of multi-scale assessment models for urban heat exposure. Prog. Geogr. 2023, 42, 401–412. (In Chinese) [Google Scholar]
- Geletič, J.; Lehnert, M.; Dobrovolný, P. Land surface temperature differences within local climate zones, based on two central European cities. Remote Sens. 2016, 8, 788. [Google Scholar] [CrossRef]
- Norton, B.A.; Coutts, A.M.; Livesley, S.J.; Harris, R.J.; Hunter, A.M.; Williams, N.S.G. Planning for cooler cities: A framework to prioritize green infrastructure to mitigate high temperatures in urban landscapes. Landsc. Urban Plan. 2015, 134, 127–138. [Google Scholar] [CrossRef]
- Stewart, I.D.; Oke, T.R. Local Climate Zones for Urban Temperature Studies: An Update and Future Directions. Urban Clim. 2019, 27, 100508. [Google Scholar]
- Middel, A.; Roth, M.; Hagen, E. Urban heat island dynamics and green infrastructure in Phoenix, Arizona. Environ. Res. Lett. 2020, 15, 024018. [Google Scholar]
- Santamouris, M. Advances on urban overheating and heat island mitigation in cities. Sustain. Cities Soc. 2021, 71, 102980. [Google Scholar]
- Sharifi, A.; Khavarian-Garmsir, A.R. The COVID-19 pandemic: Impacts on cities and major lessons for urban planning, design, and management. Sci. Total Environ. 2020, 749, 142391. [Google Scholar] [CrossRef]












| Local Climatic Zone | Type Name | Building Surface Fraction/% | Impervious Surface Fraction/% | Pervious Surface Fraction/% | Sky View Factor | Building Height/m |
|---|---|---|---|---|---|---|
| LCZ 1 | Compact high-rise building | 40–60 | 40–60 | <10 | 0.2–0.4 | >25 |
| LCZ 2 | Compact mid-rise building | 40–70 | 30–50 | <10 | 0.3–0.6 | 3–25 |
| LCZ 3 | Compact low-rise building | 40–70 | 20–40 | <10 | 0.6–0.8 | 3–10 |
| LCZ 4 | Open high-rise building | 20–40 | 30–50 | <10 | 0.4–0.7 | >25 |
| LCZ 5 | Open mid-rise building | 20–40 | 30–50 | <10 | 0.5–0.8 | 3–25 |
| LCZ 6 | Open low-rise building | 20–40 | 20–40 | <10 | 0.6–0.9 | 3–10 |
| LCZ 7 | Simple low-rise building | 30–60 | 20–40 | <10 | 0.5–0.9 | 3–5 |
| LCZ 8 | Large low-rise building | 30–50 | 40–70 | <10 | 0.3–0.6 | 3–10 |
| LCZ 9 | Scattered low-rise building | 10–20 | 20–40 | <10 | 0.6–0.9 | 3–5 |
| LCZ 10 | Industrial factory building | 30–50 | 20–40 | <10 | 0.5–0.9 | 5–15 |
| LCZ A | Thick forest | <10 | <10 | >90 | 0.1–0.3 | >15 |
| LCZ B | Sparse forest | <10 | <10 | >90 | 0.2–0.5 | 3–15 |
| LCZ C | Shrubbery | <10 | <10 | >90 | 0.2–0.5 | <2 |
| LCZ D | Low forest | <10 | <10 | >90 | 0.2–0.5 | <2 |
| LCZ E | Rock or artificial ground | <10 | >90 | <10 | <0.2 | – |
| LCZ F | Bare ground sand | <10 | <10 | >90 | <0.25 | – |
| LCZ G | Water body | <10 | <10 | >90 | 0.9 | – |
| Imaging Time | Temperature/°C | Weather |
|---|---|---|
| 7 July 2019 | 22–34 | Sunny, northeast wind of 3 speed |
| 26 August 2020 | 21–33 | Sunny, northeast wind of 2 speed |
| 29 June 2022 | 23–34 | Sunny, east wind of 2 speed |
| 8 June 2023 | 22–35 | Sunny, southeast wind of 3–4 speed |
| 4 September 2023 | 20–32 | Sunny, southeast wind of 2 speed |
| Phase | LST Mean (°C) | LST Standard Deviation (°C) | Extreme Range (°C) | Heat Island Intensity Range (°C) |
|---|---|---|---|---|
| 7 July 2019 | 40.61 | 3.37 | 24.04–61.77 | −9.57–+2.97 |
| 26 August 2020 | 38.19 | 3.58 | 16.19–65.67 | −8.71–+4.41 |
| 29 June 2022 | 45.58 | 4.06 | 29.12–70.54 | −13.79–+4.64 |
| 8 June 2023 | 42.19 | 4.25 | 13.83–64.40 | −15.92–+5.60 |
| 4 September 2023 | 39.55 | 3.52 | 16.68–67.65 | −5.94–+5.02 |
| Date | LCZ Type | Moran’s I | p-Value | HH | LL | HL | LH | NS | Total Area (km2) |
|---|---|---|---|---|---|---|---|---|---|
| 7 July 2019 | LCZ2 | 0.107 | 0.000 | 1.3% | 0.6% | 1.4% | 8.9% | 85.7% | 23.47 |
| LCZ3 | 0.249 | 0.000 | 2.2% | 1.2% | 1.6% | 7.3% | 87.6% | 31.73 | |
| LCZ5 | −0.260 | 0.344 | 0% | 0% | 6.8% | 22% | 74% | 0.19 | |
| 26 August 2020 | LCZ2 | 0.196 | 0.000 | 3.05% | 0% | 1.4% | 7% | 89% | 22.98 |
| LCZ3 | 0.238 | 0.000 | 2.9% | 0% | 2% | 7.2% | 88% | 31.73 | |
| LCZ5 | −0.245 | 0.563 | 0% | 0% | 0.8% | 45% | 58% | 0.19 | |
| 29 June 2022 | LCZ2 | 0.098 | 0.000 | 1.9% | 0% | 1.3% | 8.6% | 88% | 22.98 |
| LCZ3 | 0.270 | 0.000 | 2.5% | 0.5% | 1.8% | 9.5% | 86% | 31.73 | |
| LCZ5 | −0.157 | 0.857 | 0% | 0% | 0% | 23% | 79% | 0.19 | |
| 8 June 2023 | LCZ2 | 0.139 | 0.000 | 1.8% | 0% | 1.3% | 7.4% | 89% | 22.98 |
| LCZ3 | 0.237 | 0.000 | 2.2% | 0.5% | 1.4% | 9.9% | 86% | 31.73 | |
| LCZ5 | −0.463 | 0.249 | 0% | 0% | 2.6% | 44% | 58% | 0.19 | |
| 4 September 2023 | LCZ2 | 0.192 | 0.000 | 2.7% | 0% | 1.8% | 7.4% | 88% | 22.98 |
| LCZ3 | 0.235 | 0.000 | 3.5% | 0.06% | 3.1% | 8.2% | 85% | 31.73 | |
| LCZ5 | −0.329 | 0.451 | 0% | 0% | 0.47% | 43% | 63% | 0.19 |
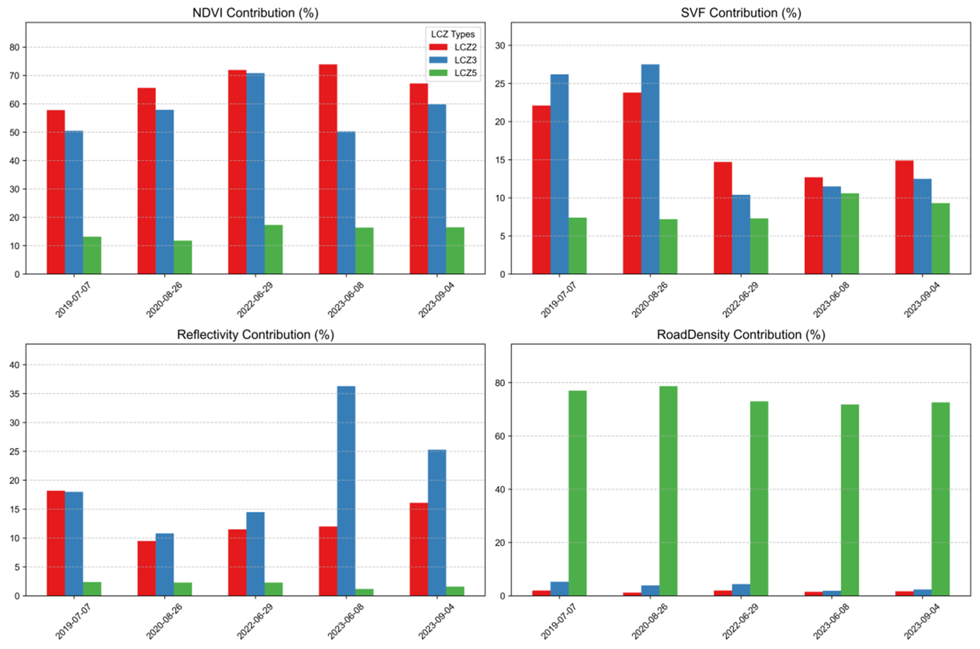
| Date | LCZ Type | Sample Size | Model Type | Road Density Contribution (p) | SVF Contribution (p) | Surface Reflectivity Contribution (p) | NDVI Contribution (p) |
|---|---|---|---|---|---|---|---|
| 7 July 2019 | 2 | 1453 | Random Forest | 2.0% (0.015) | 22.1% (0.000) | 18.2% (0.000) | 57.8% (0.000) |
| 3 | 1252 | Random Forest | 5.3% (0.279) | 26.2% (0.000) | 18.0% (0.000) | 50.5% (0.000) | |
| 5 | 7 | Bayesian Ridge Random Forest | 77.0% (0.670) | 7.4% (0.215) | 2.4% (0.023) | 13.2% (0.383) | |
| 26 August 2020 | 2 | 1453 | Random Forest | 1.2% (0.000) | 23.8% (0.000) | 9.5% (0.000) | 65.6% (0.000) |
| 3 | 1252 | Random Forest | 3.9% (0.075) | 27.5% (0.000) | 10.8% (0.000) | 57.9% (0.000) | |
| 5 | 7 | Bayesian Ridge Random Forest | 78.7% (0.670) | 7.2% (0.215) | 2.3% (0.023) | 11.8% (0.589) | |
| 29 June 2022 | 2 | 1453 | Random Forest | 2.0% (0.001) | 14.7% (0.000) | 11.5% (0.000) | 71.9% (0.000) |
| 3 | 1252 | Random Forest | 4.4% (0.111) | 10.4% (0.000) | 14.5% (0.000) | 70.8% (0.000) | |
| 5 | 7 | Bayesian Ridge Random Forest | 73.0% (0.848) | 7.3% (0.180) | 2.3% (0.014) | 17.3% (0.215) | |
| 8 June 2023 | 2 | 1453 | Random Forest | 1.5% (0.000) | 12.7% (0.000) | 12.0% (0.000) | 73.9% (0.000) |
| 3 | 1252 | Random Forest | 1.9% (0.000) | 11.5% (0.000) | 36.3% (0.000) | 50.3% (0.000) | |
| 5 | 7 | Bayesian Ridge Random Forest | 71.8% (0.848) | 10.6% (0.180) | 1.2% (0.383) | 16.4% (0.294) | |
| 4 September 2023 | 2 | 1453 | Random Forest | 1.7% (0.000) | 14.9% (0.000) | 16.1% (0.000) | 67.2% (0.000) |
| 3 | 1252 | Random Forest | 2.4% (0.001) | 12.5% (0.000) | 25.3% (0.000) | 59.8% (0.000) | |
| 5 | 7 | Bayesian Ridge Random Forest | 72.6% (0.531) | 9.3% (0.148) | 1.6% (0.094) | 16.5% (0.253) |
| Data | LCZ-Type | NDVI-Mean | Slope | Average ΔLST | Area (km2) | Total ΔLST (°C·km2) |
|---|---|---|---|---|---|---|
| 7 July 2019 | 2 | 0.26 | −10.38 | 7.72 | 12.89 | 99.54 |
| 26 August 2020 | 2 | 0.34 | −9.31 | 6.15 | 12.79 | 78.72 |
| 29 June 2022 | 2 | 0.27 | −11.10 | 8.13 | 13.08 | 106.29 |
| 8 June 2023 | 2 | 0.29 | −10.52 | 7.48 | 13.05 | 97.63 |
| 4 September 2023 | 2 | 0.28 | −10.36 | 7.30 | 13.22 | 96.54 |
| 7 July 2019 | 3 | 0.24 | −6.01 | 4.58 | 17.49 | 80.17 |
| 26 August 2020 | 3 | 0.29 | −7.52 | 5.32 | 18.23 | 97.09 |
| 29 June 2022 | 3 | 0.24 | −9.69 | 7.40 | 18.15 | 134.19 |
| 8 June 2023 | 3 | 0.26 | −11.43 | 8.44 | 20.13 | 169.97 |
| 4 September 2023 | 3 | 0.25 | −13.59 | 9.25 | 20.05 | 185.39 |
Disclaimer/Publisher’s Note: The statements, opinions and data contained in all publications are solely those of the individual author(s) and contributor(s) and not of MDPI and/or the editor(s). MDPI and/or the editor(s) disclaim responsibility for any injury to people or property resulting from any ideas, methods, instructions or products referred to in the content. |
© 2025 by the authors. Licensee MDPI, Basel, Switzerland. This article is an open access article distributed under the terms and conditions of the Creative Commons Attribution (CC BY) license (https://creativecommons.org/licenses/by/4.0/).
Share and Cite
Huang, X.; Hou, L.; Guan, S.; Li, H.; Sándor, J.; Albert, F.; Krisztina, F.K.; Li, H. Research on the Spatio-Temporal Differentiation of Environmental Heat Exposure in the Main Urban Area of Zhengzhou Based on LCZ and the Cooling Potential of Green Infrastructure. Land 2025, 14, 1717. https://doi.org/10.3390/land14091717
Huang X, Hou L, Guan S, Li H, Sándor J, Albert F, Krisztina FK, Li H. Research on the Spatio-Temporal Differentiation of Environmental Heat Exposure in the Main Urban Area of Zhengzhou Based on LCZ and the Cooling Potential of Green Infrastructure. Land. 2025; 14(9):1717. https://doi.org/10.3390/land14091717
Chicago/Turabian StyleHuang, Xu, Lizhe Hou, Shixin Guan, Hongpan Li, Jombach Sándor, Fekete Albert, Filepné Kovács Krisztina, and Huawei Li. 2025. "Research on the Spatio-Temporal Differentiation of Environmental Heat Exposure in the Main Urban Area of Zhengzhou Based on LCZ and the Cooling Potential of Green Infrastructure" Land 14, no. 9: 1717. https://doi.org/10.3390/land14091717
APA StyleHuang, X., Hou, L., Guan, S., Li, H., Sándor, J., Albert, F., Krisztina, F. K., & Li, H. (2025). Research on the Spatio-Temporal Differentiation of Environmental Heat Exposure in the Main Urban Area of Zhengzhou Based on LCZ and the Cooling Potential of Green Infrastructure. Land, 14(9), 1717. https://doi.org/10.3390/land14091717

