Spatial–Temporal Changes and Driving Forces of Sandy Desertification in Dengkou County, China, Based on Refined Interpretation and Validation
Abstract
1. Introduction
2. Materials and Methods
2.1. Study Area
2.2. Data and Processing
2.2.1. Remote Sensing Data
2.2.2. Influencing Factor Data
2.3. Methods
2.3.1. Identification, Classification, and Validation of Sandy Desert Areas
2.3.2. Intensity Analysis
2.3.3. The Center of Gravity Migration Model
2.3.4. Geographical Detector
3. Results
3.1. Study Area Classification
3.2. Spatial–Temporal Dynamics of Sandy Desertification
3.3. Scale and Intensity of Sandy Desertification Transitions
3.3.1. Interval Level
3.3.2. Category Level
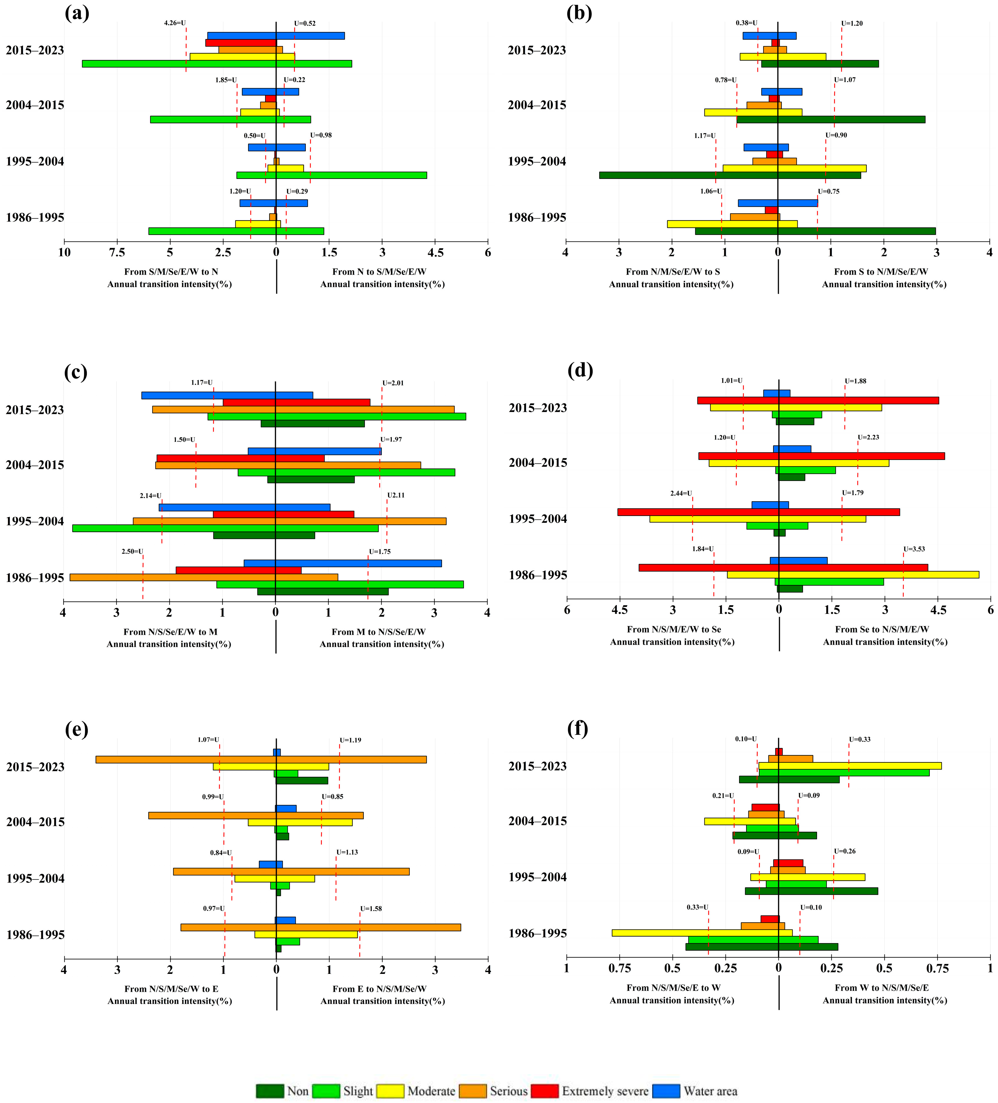
3.3.3. Transition Level
3.4. Driving Forces of Sandy Desertification
4. Discussion
4.1. Classification of Dengkou County
4.2. Spatial–Temporal Changes of Sandy Desertification
4.3. Drivers of Sandy Desertification
5. Conclusions
- (1)
- The SDA in Dengkou County was primarily located at the junction of the Hetao Plain and the Ulan Buh Desert, covering 2899.64 km2, accounting for 78.73% of the county’s total area.
- (2)
- From 1986 to 2023, sandy desertification land in Dengkou County experienced a significant reversal, with non-sandy desertification land increasing by 1204.79 km2. Among all types, Serious sandy desertification land showed the largest reversal area of 743.21 km2. Spatially, the reversal exhibited a trend of expansion from the periphery toward the central and southwestern regions. The severity of sandy desertification gradually increased from the Hetao Plain to the Ulan Buh Desert. Overall, the central and eastern regions experienced effective mitigation of sandy desertification.
- (3)
- Sandy desertification land exhibited a pattern of adjacent-level transitions. From 1986–1995, 2004–2015, and 2015–2023, land with more severe sandy desertification tended to shift toward lighter categories, indicating a certain degree of improvement, with the 2015–2023 period showing the most significant recovery. In contrast, the trend during 1995–2004 was the opposite, with sandy desertification worsening.
- (4)
- Over the past four decades, anthropogenic factors were the primary drivers of sandy desertification land changes in Dengkou County, with livestock density having the strongest explanatory power (q = 0.224). Among natural factors, geological conditions had the strongest influence (q = 0.182). Moreover, two-factor interactions exhibited stronger explanatory power than single factors. Interactions among anthropogenic, climatic, and environmental factors generally demonstrated higher explanatory capability.
Author Contributions
Funding
Data Availability Statement
Acknowledgments
Conflicts of Interest
References
- Zhang, Z.; Huisingh, D. Combating desertification in China: Monitoring, control, management and revegetation. J. Clean. Prod. 2018, 182, 765–775. [Google Scholar] [CrossRef]
- Cheng, L.; Lu, Q.; Wu, B.; Yin, C.; Bao, Y.; Gong, L. Estimation of the costs of desertification in China: A critical review. Land Degrad. Dev. 2018, 29, 975–983. [Google Scholar] [CrossRef]
- Miao, L.; Moore, J.C.; Zeng, F.; Lei, J.; Ding, J.; He, B.; Cui, X. Footprint of research in desertification management in China. Land Degrad. Dev. 2015, 26, 450–457. [Google Scholar] [CrossRef]
- Wang, T. Several Issues in China's Desertification Research—3. Key Areas for Desertification Research and Control. J. Desert Res. 2004, 1, 3–11. (In Chinese) [Google Scholar]
- Barbier, E.B.; Hochard, J.P. Land degradation and poverty. Nat. Sustain. 2018, 1, 623–631. [Google Scholar] [CrossRef]
- Dharumarajan, S.; Bishop, T.F.; Hegde, R.; Singh, S.K. Desertification vulnerability index—An effective approach to assess desertification processes: A case study in Anantapur District, Andhra Pradesh, India. Land Degrad. Dev. 2018, 29, 150–161. [Google Scholar] [CrossRef]
- Kalyan, S.; Sharma, D.; Sharma, A. Spatio-temporal variation in desert vulnerability using desertification index over the Banas River Basin in Rajasthan, India. Arab. J. Geosci. 2021, 14, 54. [Google Scholar] [CrossRef]
- Wang, T.; Zhu, Z.D. Several Issues in China's Desertification Research—1. The Concept and Connotation of Desertification. J. Desert Res. 2003, 3, 3–8. (In Chinese) [Google Scholar]
- Li, J.; Cao, C.; Xu, M.; Yang, X.; Gao, X.; Wang, K.; Guo, H.; Yang, Y. A 20-Year Analysis of the Dynamics and Driving Factors of Grassland Desertification in Xilingol, China. Remote Sens. 2023, 15, 5716. [Google Scholar] [CrossRef]
- Yang, X.; Zhang, K.; Jia, B.; Ci, L. Desertification assessment in China: An overview. J. Arid. Environ. 2005, 63, 517–531. [Google Scholar] [CrossRef]
- Wang, X.; Ma, Q. Major Progress, Evolution and Prospects of China’s Desertification Control Research in the Past 45 Years—A Bibliometric Analysis Based on Citespace. Arid. Land Geogr. 2025, 48, 234–246. (In Chinese) [Google Scholar]
- Zan, G.; Wang, C.; Li, F.; Liu, Z.; Sun, T. Main Results and Analysis of the Sixth National Survey on Desertification and Land Degradation. For. Resour. Manag. 2023, 1, 001. (In Chinese) [Google Scholar]
- Yang, X.; Cai, M.; Ye, P.; Ye, M.; Li, C.; Wu, H.; Lu, J.; Wang, T.; Zhao, Z.; Lu, Y. Provenance of aeolian sands in the Hetao Plain, northwestern China. Aeolian Res. 2018, 32, 92–101. [Google Scholar] [CrossRef]
- Luan, X.-B.; Wu, P.-T.; Sun, S.-K.; Li, X.-L.; Wang, Y.-B.; Gao, X.-R. Impact of land use change on hydrologic processes in a large plain irrigation district. Water Resour. Manag. 2018, 32, 3203–3217. [Google Scholar] [CrossRef]
- Wang, R.; Xia, H.; Qin, Y.; Niu, W.; Pan, L.; Li, R.; Zhao, X.; Bian, X.; Fu, P. Dynamic monitoring of surface water area during 1989–2019 in the Hetao plain using landsat data in Google Earth Engine. Water 2020, 12, 3010. [Google Scholar] [CrossRef]
- Jiang, Z.; Ni, X.; Xing, M. A study on spatial and temporal dynamic changes of desertification in northern China from 2000 to 2020. Remote Sens. 2023, 15, 1368. [Google Scholar] [CrossRef]
- McGinnies, W.G. Desert Research: Selected References 1965-1968. (With an Appendix of Reference Prior to 1965 and Permuted Title Index) Compiled by Patricia Paylore and WG McGinnies; University of Arizona: Tucson, AZ, USA, 1969. [Google Scholar]
- Guo, B.; Zang, W.; Han, B.; Yang, F.; Luo, W.; He, T.; Fan, Y.; Yang, X.; Chen, S. Dynamic monitoring of desertification in Naiman Banner based on feature space models with typical surface parameters derived from LANDSAT images. Land Degrad. Dev. 2020, 31, 1573–1592. [Google Scholar] [CrossRef]
- Wang, Y.; Zhang, J.; Tong, S.; Guo, E. Monitoring the trends of aeolian desertified lands based on time-series remote sensing data in the Horqin Sandy Land, China. Catena 2017, 157, 286–298. [Google Scholar] [CrossRef]
- Hu, G.; Dong, Z.; Lu, J.; Yan, C. Driving forces responsible for aeolian desertification in the source region of the Yangtze River from 1975 to 2005. Earth Sci. 2012, 66, 257–263. [Google Scholar] [CrossRef]
- Zhang, C.-L.; Li, Q.; Shen, Y.-P.; Zhou, N.; Wang, X.-S.; Li, J.; Jia, W.-R. Monitoring of aeolian desertification on the Qinghai-Tibet Plateau from the 1970s to 2015 using Landsat images. Sci. Total Environ. 2018, 619, 1648–1659. [Google Scholar] [CrossRef]
- Duan, H.-C.; Wang, T.; Xue, X.; Liu, S.-L.; Guo, J. Dynamics of aeolian desertification and its driving forces in the Horqin Sandy Land, Northern China. Environ. Monit. Assess. 2014, 186, 6083–6096. [Google Scholar] [CrossRef]
- Zhao, H.; Yan, C.; Li, S.; Wang, Y. Remote Sensing Monitoring and Driving Force Analysis of Land Desertification in the Yellow River Basin from 2000 to 2020. J. Desert Res. 2023, 43, 127–137. (In Chinese) [Google Scholar]
- Zeng, Y.; Xiang, N.; Feng, Z.; Xv, H. Study on Albedo-NDVI Feature Space and Remote Sensing Monitoring Index for Desertification. Sci. Geogr. Sin. 2006, 26, 75–81. (In Chinese) [Google Scholar]
- Bai, Z.; Han, L.; Jiang, X.; Liu, M.; Li, L.; Liu, H.; Lu, J. Spatiotemporal evolution of desertification based on integrated remote sensing indices in Duolun County, Inner Mongolia. Ecol. Inform. 2022, 70, 101750. [Google Scholar]
- Feng, K.; Wang, T.; Liu, S.; Kang, W.; Chen, X.; Guo, Z.; Zhi, Y. Monitoring desertification using machine-learning techniques with multiple indicators derived from MODIS images in Mu Us Sandy Land, China. Remote Sens. 2022, 14, 2663. [Google Scholar] [CrossRef]
- Chen, S.; Ren, H.; Liu, R.; Tao, Y.; Zheng, Y.; Liu, H. Mapping sandy land using the new sand differential emissivity index from thermal infrared emissivity data. IEEE Trans. Geosci. Remote Sens. 2020, 59, 5464–5478. [Google Scholar] [CrossRef]
- Wang, S.; Han, L.; Yang, J.; Li, Y.; Zhao, Q.; Liu, Y.; Wu, H. An Improved Method for Classifying Desertification Grades Based on Multi-Index Fusion. Bulletion Surv. Mapp. 2021, 4, 8–12. (In Chinese) [Google Scholar]
- Han, J.; Wang, J.; Chen, L.; Xiang, J.; Ling, Z.; Li, Q.; Wang, E. Driving factors of desertification in Qaidam Basin, China: An 18-year analysis using the geographic detector model. Ecol. Indic. 2021, 124, 107404. [Google Scholar] [CrossRef]
- Ngabire, M.; Wang, T.; Liao, J.; Sahbeni, G. Quantitative analysis of desertification-driving mechanisms in the Shiyang River Basin: Examining Interactive effects of Key factors through the Geographic detector model. Remote Sens. 2023, 15, 2960. [Google Scholar] [CrossRef]
- Zhi, Y.; Liu, S.; Wang, T.; Duan, H.; Kang, W. Quantifying the impact of natural and human activity factors on desertification in the Qinghai-Tibetan Plateau. Catena 2024, 246, 108392. [Google Scholar] [CrossRef]
- Zhao, H.; Li, G.; Sheng, Y.; Jin, M.; Chen, F. Early–middle Holocene lake-desert evolution in northern Ulan Buh Desert, China. Palaeogeogr. Palaeoclimatol. Palaeoecol. 2012, 331, 31–38. [Google Scholar] [CrossRef]
- Chen, F.; Li, G.; Zhao, H.; Jin, M.; Chen, X.; Fan, Y.; Liu, X.; Wu, D.; Madsen, D. Landscape evolution of the Ulan Buh Desert in northern China during the late Quaternary. Quat. Res. 2014, 81, 476–487. [Google Scholar] [CrossRef]
- Wang, J.; Xu, C. Geographical Detector: Principles and Prospects. Acta Geogr. Sin. 2017, 72, 116–134. (In Chinese) [Google Scholar]
- Lu, R.; Liu, S.; Duan, H.; Kang, W.; Zhi, Y. Combining the SHAP Method and Machine Learning Algorithm for Desert Type Extraction and Change Analysis on the Qinghai–Tibetan Plateau. Remote Sens. 2024, 16, 4414. [Google Scholar] [CrossRef]
- Wang, G.; Peng, W.; Zhang, L. Estimate of population density and diagnosis of main factors of spatial heterogeneity in the metropolitan scale, western China. Heliyon. 2023, 9, e16285. [Google Scholar] [CrossRef]
- Qin, H.; Schaefer, D.A.; Shen, T.; Wang, J.; Liu, Z.; Chen, H.; Hu, P.; Zhu, Y.; Cheng, J.; Wu, J.; et al. Drought Driving Factors as Revealed by Geographic Detector Model and Random Forest in Yunnan, China. Forests 2025, 16, 505. [Google Scholar] [CrossRef]
- Wang, Y.; Guo, E.; Kang, Y.; Ma, H. Assessment of land desertification and its drivers on the Mongolian plateau using intensity analysis and the geographical detector technique. Remote Sens. 2022, 14, 6365. [Google Scholar] [CrossRef]
- Pei, L.; Wang, C.; Sun, L.; Wang, L. Temporal and spatial variation (2001–2020) characteristics of wind speed in the water erosion area of the typical black soil region, northeast China. Int. J. Environ. Res. Public Health 2022, 19, 10473. [Google Scholar] [CrossRef]
- Ma, H.; Wang, Y.; Guo, E. Remote Sensing Monitoring of Land Desertification in Ongniud Banner Based on GEE. Arid. Zone Res. 2023, 40, 504–516. (In Chinese) [Google Scholar]
- Deng, Z.; Quan, B. Intensity analysis to communicate detailed detection of land use and land cover change in Chang-Zhu-Tan Metropolitan Region, China. Forests 2023, 14, 939. [Google Scholar] [CrossRef]
- Aldwaik, S.Z.; Pontius, R.G., Jr. Intensity analysis to unify measurements of size and stationarity of land changes by interval, category, and transition. Landsc. Urban Plan. 2012, 106, 103–114. [Google Scholar] [CrossRef]
- Ge, G.; Zhang, J.; Chen, X.; Liu, X.; Hao, Y.; Yang, X.; Kwon, S. Effects of land use and land cover change on ecosystem services in an arid desert-oasis ecotone along the Yellow River of China. Ecol. Eng. 2022, 176, 106512. [Google Scholar] [CrossRef]
- Yu, Q.; Yue, D.; Zhang, Q.; Lv, Q.; Li, N.; Hou, H. Landscape Pattern Evolution and Ecological Network Construction in Dengkou County. J. Desert Res. 2017, 37, 601–609. (In Chinese) [Google Scholar]
- Yu, Q.; Yue, D.; Wang, J.; Zhang, Q.; Li, Y.; Yu, Y.; Chen, J.; Li, N. The optimization of urban ecological infrastructure network based on the changes of county landscape patterns: A typical case study of ecological fragile zone located at Deng Kou (Inner Mongolia). J. Clean. Prod. 2017, 163, S54–S67. [Google Scholar] [CrossRef]
- Ma, H.; Yue, D.; Yang, D.; Yu, Q.; Zhang, Q.; Huang, Y. Interpolation Study of Groundwater Table Depth Based on Data Assimilation. Trans. Chin. Soc. Agric. Mach. 2017, 48, 206–214. (In Chinese) [Google Scholar]
- Yu, Q.; Yue, D.; Yang, D.; Ma, H.; Zhang, Q.; Yin, B. Optimization of Ecological Node Layout Based on the BCBS Model. Trans. Chin. Soc. Agric. Mach. 2016, 47, 329–336. (In Chinese) [Google Scholar]
- Zhang, L.; Ren, Z.; Chen, B.; Gong, P.; Xu, B.; Fu, H. A prolonged artificial nighttime-light dataset of China (1984–2020). Sci. Data 2024, 11, 414. [Google Scholar] [CrossRef] [PubMed]
- Gilbert, M.; Nicolas, G.; Cinardi, G.; Van Boeckel, T.P.; Vanwambeke, S.O.; Wint, G.; Robinson, T.P. Global distribution data for cattle, buffaloes, horses, sheep, goats, pigs, chickens and ducks in 2010. Sci. Data 2018, 5, 180227. [Google Scholar] [CrossRef] [PubMed]
- Gao, J.; Wu, B.; Pang, Y.; Su, Z.; Hasi, E.; Luo, F.; Bian, K. Grain Size Characteristics of Surface Sediments on the Accumulation Gobi in the Eastern Foothills of Langshan Mountains, Inner Mongolia. J. Arid. Land Resour. Environ. 2020, 34, 97–103. (In Chinese) [Google Scholar]
- State Forestry Administration of China. Technical Code of Practice on the Sandified Land Monitoring (GB/T 24255-2009); China Standards Press: Beijing, China, 2009.
- Feng, K.; Wang, T.; Liu, S.; Yan, C.; Kang, W.; Chen, X.; Guo, Z. Path analysis model to identify and analyse the causes of aeolian desertification in Mu Us Sandy Land, China. Ecol. Indic. 2021, 124, 107386. [Google Scholar] [CrossRef]
- Nyamekye, C.; Kwofie, S.; Ghansah, B.; Agyapong, E.; Boamah, L.A. Assessing urban growth in Ghana using machine learning and intensity analysis: A case study of the New Juaben Municipality. Land Use Policy 2020, 99, 105057. [Google Scholar] [CrossRef]
- Shoyama, K.; Braimoh, A.K.; Avtar, R.; Saito, O. Land transition and intensity analysis of cropland expansion in Northern Ghana. Environ. Manag. 2018, 62, 892–905. [Google Scholar] [CrossRef]
- Wang, B.; Si, J.; Jia, B.; He, X.; Zhou, D.; Zhu, X.; Liu, Z.; Ndayambaza, B.; Bai, X. Monitoring Spatial-Temporal Variability of Vegetation Coverage and Its Influencing Factors in the Yellow River Source Region from 2000 to 2020. Remote Sens. 2024, 16, 4772. [Google Scholar] [CrossRef]
- Wang, X.; Bao, Y. Discussion on Research Methods for Dynamic Land Use Change. Prog. Geogr. 1999, 18, 83–89. (In Chinese) [Google Scholar]
- Xu, X.; Liu, L.; Han, P.; Gong, X.; Zhang, Q. Accuracy of vegetation indices in assessing different grades of grassland desertification from UAV. Int. J. Environ. Res. Public Health 2022, 19, 16793. [Google Scholar] [CrossRef]
- Li, T.; Wang, Y.; Fan, X.; Wang, L.; Li, X.; Zhao, L.; Kattel, G.R.; Guo, X.; Fan, M. Spatiotemporal changes of desertification areas in the Alxa Desert obtained from satellite imagery. Earth Surf. Process. Landf. 2025, 50, e70020. [Google Scholar] [CrossRef]
- Zhai, J.; Wang, L.; Liu, Y.; Wang, C.; Mao, X. Assessing the effects of China’s three-north shelter forest program over 40 years. Sci. Total Environ. 2023, 857, 159354. [Google Scholar] [CrossRef]
- Zheng, J.; Wei, X.; Liu, Y.; Liu, G.; Wang, W.; Liu, W. Review of regional carbon counting methods for the Chinese major ecological engineering programs. J. For. Res. 2016, 27, 727–738. [Google Scholar] [CrossRef]
- Cui, G.; Xiao, C.; Lei, J.; Li, X.; Bao, Y.; Lu, Q. Major Power Governance: Strategic Choices and Future Vision for Desertification Control in China. Bull. Chin. Acad. Sci. 2023, 38, 943–955. (In Chinese) [Google Scholar]
- Li, Z. Desertification Control Strategy in the Northern Reclamation Area of the Ulan Buh Desert. J. Desert Res. 1987, 7, 49–53. (In Chinese) [Google Scholar]
- Zhang, J.; Qian, Z.; Xu, W.; Zhang, H.; Wang, Z. Assessment of Ten-Year Changes (2000–2010) in Ecosystem Patterns of National Nature Reserves. Acta Ecologica Sinica. 2017, 37, 8067–8076. (In Chinese) [Google Scholar]
- Liu, Y.; Zhang, J.; Mu, R.; Wang, D.; Wang, Z.; An, J.; Li, X. Effects of Two Ecological Governance Measures for Photovoltaic Power Stations on Plant Growth and Soil Nutrients. Plants 2025, 14, 797. [Google Scholar] [CrossRef]
- Ma, K.; Xu, Y.; Fang, F. Study on Temperature and Precipitation Changes from 1959 to 2018 in Ant Forest Plantation Area, Ordos City. J. Water Resour. Water Eng. 2019, 30, 109–115. (In Chinese) [Google Scholar]
- Liao, J.; Du, Q. Collaborative Governance of the Yellow River Basin: Practical Needs, Implementation Paths and Legislative Guarantee. China Popul. Resour. Environ. 2021, 31, 39–46. (In Chinese) [Google Scholar]
- Jia, K.; Zhang, J.; Ma, Z.; Ye, W. Study on Land Use Change and Its Response to Desertification in Ecologically Fragile Areas: A Case Study of the Central Arid Zone of Ningxia. J. Arid. Land Resour. Environ. 2011, 25, 98–103. (In Chinese) [Google Scholar]
- Liu, Z.; Yu, H.; Wang, H. Principles and Implementation Priorities of Integrated Management of 'Mountains, Rivers, Forests, Farmlands, Lakes, Grasslands, and Deserts' in the Horqin Sandy Land. Chin. J. Appl. Ecol. 2022, 33, 3441–3447. (In Chinese) [Google Scholar]
- Cao, Y.; Fu, C.; Wang, X.; Dong, L.; Yao, S.; Xue, B.; Wu, H.; Wu, H. Decoding the dramatic hundred-year water level variations of a typical great lake in semi-arid region of northeastern Asia. Sci. Total Environ. 2021, 770, 145353. [Google Scholar] [CrossRef]
- Zhi, Y.; Liu, S.; Wang, T.; Duan, H.; Kang, W. Extraction of Desertification Information and Spatiotemporal Change in the Qinghai-Tibetan Plateau Based on Optimal Feature Space Combination. Land Degrad. Dev. 2025, 36, 2746–2763. [Google Scholar] [CrossRef]
- Zhao, Y.; Gao, G.; Ding, G.; Wang, L.; Chen, Y.; Zhao, Y.; Yu, M.; Zhang, Y. Assessing the influencing factors of soil susceptibility to wind erosion: A wind tunnel experiment with a machine learning and model-agnostic interpretation approach. Catena 2022, 215, 106324. [Google Scholar] [CrossRef]
- Cai, J.; Wang, J.; Xiao, H.; Xin, Z.; Wang, B.; Li, J. Wind-Sand Characteristics of the Ulan Buh Desert Oasis and the Protection Effect of Shelterbelts. Sci. Soil Water Conserv. 2024, 22, 136–145. (In Chinese) [Google Scholar]
- Cui, B.; Wang, G.; Wei, G.; Gui, D.; Abd-Elmabod, S.K.; Goethals, P.; Ahmed, Z. Proactive policies are the key to reversing desertification in the main stream of the Tarim River in the past 30 years. J. Environ. Manag. 2024, 370, 122919. [Google Scholar] [CrossRef] [PubMed]
- Xi, L.; Qi, Z.; Feng, Y.; Cao, X.; Cui, M.; Zou, J.; Feng, S. Construction of a Desertification Composite Index and Its Application in the Spatiotemporal Analysis of Land Desertification in the Ring-Tarim Basin over 30 Years. Remote Sens. 2025, 17, 644. [Google Scholar] [CrossRef]
- Zhao, W. Understanding and Analysis of Sediment Management at the San Sheng Gong Water Conservancy Hub on the Yellow River. Inn. Mong. Water Resour. 2004, 02, 56–58. (In Chinese) [Google Scholar]
- Liu, K.; Wang, B.; Zhang, F.; Wu, X.; Wang, R.; Zhang, F.; Jia, R.; Zhang, H.; Wei, L.; Dong, L.; et al. Ecological Effects of Photovoltaic Power Station Construction: Research Progress and Prospect of Photovoltaic-Based Desertification Control. J. Desert Res. 2025, 45, 277–291. (In Chinese) [Google Scholar]
- Liu, L.; Wang, T.; Li, X.; Xie, Z.; Wu, J.; Song, L. Spatiotemporal Variation Characteristics of Wind Prevention and Sand Fixation Function of the Shelterbelt System in Inner Mongolia in the Past 15 Years. Chin. J. Ecol. 2021, 40, 3436–3447. (In Chinese) [Google Scholar]
- Fan, Y.; Wang, Y.; Mou, X.; Zhao, H.; Zhang, F.; Zhang, F.; Liu, W.; Hui, Z.; Huang, X.; Ma, J. Environmental status of the Jilantai Basin, North China, on the northwestern margin of the modern Asian summer monsoon domain during Marine Isotope Stage 3. J. Asian Earth Sci. 2017, 147, 178–192. [Google Scholar] [CrossRef]
- Li, G.; Jin, M.; Chen, X.; Wen, L.; Zhang, J.; Madsen, D.; Zhao, H.; Wang, X.; Fan, T.; Duan, Y.; et al. Environmental changes in the Ulan Buh Desert, southern Inner Mongolia, China since the middle Pleistocene based on sedimentology, chronology and proxy indexes. Quat. Sci. Rev. 2015, 128, 69–80. [Google Scholar] [CrossRef]
- Huang, J.; Li, Y.; Fu, C.; Chen, F.; Fu, Q.; Dai, A.; Shinoda, M.; Ma, Z.; Guo, W.; Li, Z.; et al. Dryland climate change: Recent progress and challenges. Rev. Geophys. 2017, 55, 719–778. [Google Scholar] [CrossRef]
- Fu, G.; Qiu, X.; Xu, X.; Zhang, W.; Zang, F.; Zhao, C. The role of biochar particle size and application rate in promoting the hydraulic and physical properties of sandy desert soil. Catena 2021, 207, 105607. [Google Scholar] [CrossRef]
- Zhu, L.; Meng, J.; Zhu, L. Applying Geodetector to disentangle the contributions of natural and anthropogenic factors to NDVI variations in the middle reaches of the Heihe River Basin. Ecol. Indic. 2020, 117, 106545. [Google Scholar] [CrossRef]
- Li, H.; Yang, X. Temperate dryland vegetation changes under a warming climate and strong human intervention—With a particular reference to the district Xilin Gol, Inner Mongolia, China. Catena 2014, 119, 9–20. [Google Scholar] [CrossRef]
- Gao, Z.; Guo, H.; Li, S.; Wang, J.; Ye, H.; Han, S.; Cao, W. Remote sensing of wetland evolution in predicting shallow groundwater arsenic distribution in two typical inland basins. Sci. Total Environ. 2022, 806, 150496. [Google Scholar] [CrossRef] [PubMed]
- Wang, J.; Ge, Z.; Xia, R.; He, S.; Zhan, S. Hydrogeochemistry and stable isotopes of water: Characteristics, influencing factors and sources in a semi-arid irrigated basin, Hetao Plain. J. Arid Environ. 2025, 227, 105313. [Google Scholar] [CrossRef]
- Yu, Q.; Yue, D.; Wang, Y.; Kai, S.; Fang, M.; Ma, H.; Zhang, Q.; Huang, Y. Optimization of ecological node layout and stability analysis of ecological network in desert oasis: A typical case study of ecological fragile zone located at Deng Kou County (Inner Mongolia). Ecol. Indic. 2018, 84, 304–318. [Google Scholar] [CrossRef]
- Shao, W.; Li, L.; Yan, M.; Meng, Z.; Zhang, L.; Zhang, Q.; Chen, Y. Thirty years’ spatio-temporal evolution of desertification degrees and driving factors in Turpan–Hami Basin, Xinjiang, China. Ecol. Indic. 2024, 166, 112484. [Google Scholar] [CrossRef]
- Zhang, Y.; Wang, J.; Ochir, A.; Chonokhuu, S.; Togtokh, C. Dynamic evolution of spring sand and dust storms and cross-border response in Mongolian plateau from 2000 to 2021. Int. J. Digit. Earth 2023, 16, 2341–2355. [Google Scholar] [CrossRef]
- Cheng, X.; Xu, Z.; Yu, Y.; Zhang, X. Changes in the Frequency of Sand-Dust Events in the China-Mongolia Region Since 2001 Revealed by Satellite Remote Sensing and Their Causes. J. Desert Res. 2025, 45, 47–60. (In Chinese) [Google Scholar]










| Year | Sensor Type | Path/Row (Date) |
|---|---|---|
| 1986 | TM | 129/32 (31 July), 130/32 (7 August) |
| 1995 | TM | 129/32 (10 September), 130/32 (29 June) |
| 2004 | TM | 129/32 (18 September), 130/32 (8 August) |
| 2015 | OLI | 129/32 (1 September), 130/32 (6 July) |
| 2023 | OLI | 129/32 (5 July), 130/32 (29 August) |
| Data | Year | Unit | Resolution | Data Sources |
|---|---|---|---|---|
| Elevation | 2015 | m | 90 m | National Aeronautics and Space Administration (https://earthexplorer.usgs.gov/, access on 20 February 2024) |
| Slope | ° | |||
| Aspect | - | |||
| Geological Conditions | 2004 | - | 100 m | Geological Cloud (https://geocloud.cgs.gov.cn/, accessed on 6 March 2024) |
| Soil type | 1995 | - | 1 km | Data Center for Resources and Environmental Sciences Chinese-Academy of Sciences (https://www.resdc.cn/, accessed on 6 March 2024) |
| Precipitation | 1986–2023 | mm | 1 km | National Earth System Science Data Center, National Science & Technology Infrastructure of China (http://www.geodata.cn, accessed on 11 March 2024) |
| Temperature | °C | |||
| Potential evapotranspiration | mm | |||
| Aridity index | - | |||
| Wind velocity | 1986–2020 | m/s | ||
| Soil moisture | 1986–2020 | m3/m3 | 25 km | Science Data Bank (https://www.scidb.cn/, accessed on 13 March 2024) |
| Population density | 1990–2020 | persons/km2 | 1 km | Data Center for Resources and Environmental Sciences Chinese-Academy of Sciences (https://www.resdc.cn/, accessed on 7 March 2024) |
| Gross domestic product | 1995–2020 | billion RMB | 1 km | |
| Nighttime light | 1986–2020 | - | 1 km | Scientific Data (www.nature.com/scientificdata, accessed on 2 April 2024) |
| Livestock density | 2010 2015 | heads/km2 | 10 km |
| Type | Surface Characterization | Landsat Image | Actual Photos |
|---|---|---|---|
| SDA | The surface is covered by sand particles with diameters ranging from 0.0039 to 2 mm. | ![]() | ![]() |
| GDA | The surface is covered by gravel ranging from 2 to 256 mm in diameter. | ![]() | ![]() |
| MA | The surface is dominated by exposed bedrock and rock debris. | ![]() | ![]() |
| Type | Vegetation Coverage | Landsat False-Color Synthesis Image | Actual Photos |
|---|---|---|---|
| Slight sandy desertification | ≥50% | ![]() | ![]() |
| Moderate sandy desertification | 30–50% | ![]() | ![]() |
| Serious sandy desertification | 10–30% | ![]() | ![]() |
| Extremely severe sandy desertification | <10% | ![]() | ![]() |
| Description | Interaction |
|---|---|
| q(X1∩X2) < Min(q(X1), q(X2)) | Weaken, nonlinear |
| Min(q(X1), q(X2)) < q(X1∩X2) < Max(q(X1), q(X2)) | Weaken, univariate |
| q(X1∩X2) > Max(q(X1), q(X2)) | Enhance, bivariate |
| q(X1∩X2) = q(X1) + q(X2) | Independent |
| q(X1∩X2) > q(X1) + q(X2) | Enhance, nonlinear |
| Year |
Non
(km2) |
Slight
(km2) |
Moderate
(km2) |
Serious
(km2) |
Extremely
Severe (km2) |
Water
Area (km2) |
|---|---|---|---|---|---|---|
| 1986 | 288.34 | 251.35 | 564.34 | 1098.2 | 614.17 | 83.24 |
| 1995 | 507.43 | 331.59 | 751.69 | 698.5 | 469.13 | 141.3 |
| 2004 | 394.22 | 400.42 | 759.93 | 852.37 | 396.66 | 96.04 |
| 2015 | 853.62 | 310.57 | 617.85 | 547.52 | 437.39 | 132.70 |
| 2023 | 1493.13 | 122.54 | 435.51 | 354.99 | 411.96 | 81.51 |
| 1986–1995 | 219.09 | 80.24 | 187.35 | −399.70 | −145.04 | 58.06 |
| 1995–2004 | −113.21 | 68.83 | 8.24 | 153.87 | −72.47 | −45.26 |
| 2004–2015 | 459.40 | −89.85 | −142.08 | −304.85 | 40.73 | 36.66 |
| 2015–2023 | 639.50 | −188.03 | −182.33 | −192.52 | −25.43 | −51.19 |
| 1986–2023 | 1204.79 | −128.81 | −128.83 | −743.21 | −202.21 | −1.73 |
Disclaimer/Publisher’s Note: The statements, opinions and data contained in all publications are solely those of the individual author(s) and contributor(s) and not of MDPI and/or the editor(s). MDPI and/or the editor(s) disclaim responsibility for any injury to people or property resulting from any ideas, methods, instructions or products referred to in the content. |
© 2025 by the authors. Licensee MDPI, Basel, Switzerland. This article is an open access article distributed under the terms and conditions of the Creative Commons Attribution (CC BY) license (https://creativecommons.org/licenses/by/4.0/).
Share and Cite
Zhao, Z.; Zhang, S.; Du, X.; Bian, P.; Mao, L.; Wang, C.; Ersi, C.; Zhou, W. Spatial–Temporal Changes and Driving Forces of Sandy Desertification in Dengkou County, China, Based on Refined Interpretation and Validation. Land 2025, 14, 1666. https://doi.org/10.3390/land14081666
Zhao Z, Zhang S, Du X, Bian P, Mao L, Wang C, Ersi C, Zhou W. Spatial–Temporal Changes and Driving Forces of Sandy Desertification in Dengkou County, China, Based on Refined Interpretation and Validation. Land. 2025; 14(8):1666. https://doi.org/10.3390/land14081666
Chicago/Turabian StyleZhao, Zeyu, Siyuan Zhang, Xin Du, Peng Bian, Lei Mao, Changyu Wang, Cha Ersi, and Wenhui Zhou. 2025. "Spatial–Temporal Changes and Driving Forces of Sandy Desertification in Dengkou County, China, Based on Refined Interpretation and Validation" Land 14, no. 8: 1666. https://doi.org/10.3390/land14081666
APA StyleZhao, Z., Zhang, S., Du, X., Bian, P., Mao, L., Wang, C., Ersi, C., & Zhou, W. (2025). Spatial–Temporal Changes and Driving Forces of Sandy Desertification in Dengkou County, China, Based on Refined Interpretation and Validation. Land, 14(8), 1666. https://doi.org/10.3390/land14081666














