Exploring the Balance Between Ecosystem Services and Economic Benefits via Multi-Objective Land Use Optimization
Abstract
1. Introduction
2. Materials and Methods
2.1. Study Area
2.2. Data Sources
2.3. ESV Assessment Method: Equivalent Factor Method
2.4. Multi-Objective Optimization Algorithm: NSGA-II
2.4.1. Objective Functions
2.4.2. Scenario Setting
2.4.3. Constraint Conditions
2.5. Future Land Use Simulation (FLUS)
3. Results
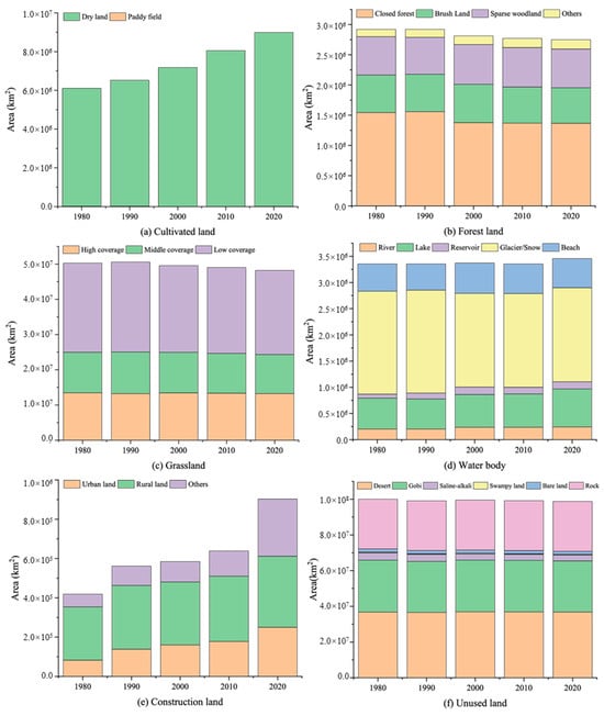
3.1. Historical Land Use Change Characteristics from 1980 to 2020
3.2. Structural Optimization Results of Land Use Under Different Scenarios in 2030
3.3. Spatial Simulation Results of Land Use Under Different Scenarios in 2030
3.4. Impacts of Land Use Change on ESV
4. Discussion
4.1. The Integrated NSGA–II–FLUS Model
4.2. Policy Implications
4.3. Limitations and Future Directions
5. Conclusions
Author Contributions
Funding
Data Availability Statement
Conflicts of Interest
References
- Li, X.; Yang, Y.; Liu, Y. Research Progress in Man-Land Relationship Evolution and its Resource-Environment Base in China. J. Geogr. Sci. 2017, 27, 899–924. [Google Scholar] [CrossRef]
- Zhang, Z.; Shen, Z.; Liu, L.; Zhang, Y.; Yu, C.; Cui, L.; Gao, Y. Integrating Ecosystem Services Conservation into the Optimization of Urban Planning Policies in Eco-fragile Areas: A Scenario-Based Case Study. Cities 2023, 134, 104200. [Google Scholar] [CrossRef]
- Nedd, R.; Light, K.; Owens, M.; James, N.; Johnson, E.; Anandhi, A. A Synthesis of Land Use/Land Cover Studies: Definitions, Classification Systems, Meta-Studies, Challenges and Knowledge Gaps on a Global Landscape. Land 2021, 10, 994. [Google Scholar] [CrossRef]
- Duan, X.; Chen, Y.; Wang, L.; Zheng, G.; Liang, T. The Impact of Land Use and Land Cover Changes on the Landscape Pattern and Ecosystem Service Value in Sanjiangyuan Region of the Qinghai-Tibet Plateau. J. Environ. Manag. 2023, 325, 116539. [Google Scholar] [CrossRef] [PubMed]
- Xin, S.; Li, Z.; Chen, N.; Zhang, Z.; Zhang, X.; Chen, H.; Ma, X.; Kang, L. The Contribution of Multi-objective Land Use Optimization to Reducing Ecological Risk: A Case Study of the Lanzhou-Xining Urban Agglomeration. Ecol. Ind. 2024, 168, 112604. [Google Scholar] [CrossRef]
- Zong, S.; Xu, S.; Huang, J.; Ren, Y.; Song, C. Distribution Patterns and Driving Mechanisms of Land Use Spatial Conflicts: Empirical Analysis from Counties in China. Habitat Int. 2025, 156, 103268. [Google Scholar] [CrossRef]
- Wang, S.W.; Munkhnasan, L.; Lee, W.K. Land Use and Land Cover Change Detection and Prediction in Bhutan’s High Altitude City of Thimphu, Using Cellular Automata and Markov Chain. Environ. Chall. 2021, 2, 100017. [Google Scholar] [CrossRef]
- Chasia, S.; Olang, L.O.; Sitoki, L. Modelling of Land-Use/Cover Change Trajectories in a Transboundary Catchment of the Sio-Malaba-Malakisi Region in East Africa Using the CLUE-S Model. Ecol. Model. 2023, 476, 110256. [Google Scholar] [CrossRef]
- Luo, X.; Luo, Y.; Le, F.; Zhang, Y.; Zhang, H.; Zhai, J. Spatiotemporal Variation and Prediction Analysis of Land Use/Land Cover and Ecosystem Service Changes in Gannan, China. Sustainability 2024, 16, 1551. [Google Scholar] [CrossRef]
- Liu, X.; Liang, X.; Li, X.; Xu, X.; Ou, J.; Chen, Y.; Li, S.; Wang, S.; Pei, F. A Future Land Use Simulation Model (FLUS) for Simulating Multiple Land Use Scenarios by Coupling Human and Natural Effects. Landsc. Urban Plan. 2017, 168, 94–116. [Google Scholar] [CrossRef]
- Fu, X.; Wang, X.; Yang, Y.J. Deriving Suitability Factors for CA-Markov Land Use Simulation Model Based on Local Historical Data. J. Environ. Manag. 2018, 206, 10–19. [Google Scholar] [CrossRef]
- Liu, R.; Zhang, K.; Zhang, Z.; Borthwick, A. Land-Use Suitability Analysis for Urban Development in Beijing. J. Environ. Manag. 2014, 145, 170–179. [Google Scholar] [CrossRef]
- Mouratidis, K. Compact City, Urban Sprawl, and Subjective Well-Being. Cities 2019, 92, 261–272. [Google Scholar] [CrossRef]
- Li, Q.; Wang, L.; Gul, H.N.; Li, D. Simulation and Optimization of Land Use Pattern to Embed Ecological Suitability in an Oasis Region: A Case Study of Ganzhou District, Gansu Province, China. J. Environ. Manag. 2021, 287, 112321. [Google Scholar] [CrossRef] [PubMed]
- Zhu, Y.; Zhou, M. Optimization of Land Use Structure Integrating Ecosystem Service Function and Economic Development—A Case Study in Dongting Lake Ecological and Economic Zone, China. Environ. Sustain. Ind. 2025, 26, 100604. [Google Scholar] [CrossRef]
- Yang, D.; Zhang, P.; Zhang, J.; Liu, Y.; Liu, Z.; Chen, Z. Land Use Assessment under Dynamic Evolution: Multi-Objective Optimization and Multi-Scenario Simulation Analysis. J. Environ. Manag. 2025, 373, 123456. [Google Scholar] [CrossRef]
- Ma, S.; Wen, Z. Optimization of Land Use Structure to Balance Economic Benefits and Ecosystem Services under Uncertainties: A Case Study in Wuhan, China. J. Clean. Prod. 2021, 311, 127537. [Google Scholar] [CrossRef]
- Li, C.; Wu, Y.; Gao, B.; Zheng, K.; Wu, Y.; Li, C. Multi-Scenario Simulation of Ecosystem Service Value for Optimization of Land Use in the Sichuan-Yunnan Ecological Barrier, China. Ecol. Ind. 2021, 132, 108328. [Google Scholar] [CrossRef]
- Song, M.; An, M.; He, W.; Wu, Y. Research on Land Use Optimization Based on PSO-GA Model with the Goals of Increasing Economic Benefits and Ecosystem Services Value. Sustain. Cities Soc. 2025, 119, 106072. [Google Scholar] [CrossRef]
- Costanza, R.; de Groot, R.; Sutton, P.; Van der Ploeg, S.; Anderson, S.J.; Kubiszewski, I.; Farber, S.; Turner, R.K. Changes in the Global Value of Ecosystem Services. Glob. Environ. Change 2014, 26, 152–158. [Google Scholar] [CrossRef]
- Hasan, S.S.; Zhen, L.; Miah, M.G.; Ahamed, T.; Samie, A. Impact of Land Use Change on Ecosystem Services: A Review. Environ. Dev. 2020, 34, 100527. [Google Scholar] [CrossRef]
- Guo, P.; Zhang, F.; Wang, H. The Response of Ecosystem Service Value to Land Use Change in the Middle and Lower Yellow River: A Case Study of the Henan Section. Ecol. Ind. 2022, 140, 109019. [Google Scholar] [CrossRef]
- He, Y.; Wang, W.; Chen, Y.; Yan, H. Assessing Spatio-Temporal Patterns and Driving Force of Ecosystem Service Value in the Main Urban Area of Guangzhou. Sci. Rep. 2021, 11, 3027. [Google Scholar] [CrossRef]
- Xie, G.; Zhang, C.; Zhen, L.; Zhang, L. Dynamic Changes in the Value of China’s Ecosystem Services. Ecosyst. Serv. 2017, 26, 146–154. [Google Scholar] [CrossRef]
- Talukdar, S.; Singha, P.; Shahfahad; Mahato, S.; Praveen, B.; Rahman, A. Dynamics of Ecosystem Services (ESs) in Response to Land Use Land Cover (LU/LC) Changes in the Lower Gangetic Plain of India. Ecol. Ind. 2020, 112, 106121. [Google Scholar] [CrossRef]
- Kang, N.; Hou, L.; Huang, J.; Liu, H. Ecosystem Services Valuation in China: A Meta-Analysis. Sci. Total Environ. 2022, 809, 151122. [Google Scholar] [CrossRef] [PubMed]
- Yao, J.; Zhao, Y.; Chen, Y.; Yu, X.; Zhang, R. Multi-Scale Assessments of Droughts: A Case Study in Xinjiang, China. Sci. Total Environ. 2018, 630, 444–452. [Google Scholar] [CrossRef]
- Xie, L.; Wang, H.; Liu, S. The Ecosystem Service Values Simulation and Driving Force Analysis Based on Land Use/Land Cover: A Case Study in Inland Rivers in Arid Areas of the Aksu River Basin, China. Ecol. Ind. 2022, 138, 108828. [Google Scholar] [CrossRef]
- Liu, Y.; Tao, H.; Zhu, J.; Mondal, S.K.; Bakhtiyorov, Z. Assessment of Ecological Vulnerability in Xinjiang Uygur Autonomous Region, China. Res. Cold Arid Reg. 2025, in press. [Google Scholar] [CrossRef]
- Wu, G.; Wang, H.; Wu, Q. Wind Power Development in the Belt and Road Area of Xinjiang, China: Problems and Solutions. Util. Policy 2020, 64, 101024. [Google Scholar] [CrossRef]
- Li, X.; Dong, W.; Liu, Y.; Yang, Y. Tracking the Urban Expansion and its Driving Mechanisms Behind Xinjiang Production and Construction Corps (XPCC): Evidence from Morphology and Landscapes. Habitat Int. 2022, 126, 102599. [Google Scholar] [CrossRef]
- Li, X.; Wu, C. Sensitivity Assessment and Simulation of Ecosystem Services in Response to Land Use Change in Arid Regions: Empirical Evidence from Xinjiang, China. Ecol. Ind. 2025, 171, 113150. [Google Scholar] [CrossRef]
- Deb, K.; Pratap, A.; Agarwal, S.; Meyarivan, T. A Fast and Elitist Multiobjective Genetic Algorithm: NSGA-II. IEEE Trans. Evolut. Comput. 2002, 6, 182–197. [Google Scholar] [CrossRef]
- Luan, C.; Liu, R.; Zhang, Q.; Sun, J.; Liu, J. Multi-Objective Land Use Optimization Based on Integrated NSGA-II-PLUS Model: Comprehensive Consideration of Economic Development and Ecosystem Services Value Enhancement. J. Clean. Prod. 2024, 434, 140306. [Google Scholar] [CrossRef]
- Shi, M.; Wu, H.; Jiang, P.; Zheng, K.; Liu, Z.; Dong, T.; He, P.; Fan, X. Food-Water-Land-Ecosystem Nexus in Typical Chinese Dryland under Different Future Scenarios. Sci. Total Environ. 2023, 880, 163183. [Google Scholar] [CrossRef] [PubMed]
- Wei, R.; Fan, Y.; Wu, H.; Zheng, K.; Fan, J.; Liu, Z.; Xuan, J.; Zhou, J. The Value of Ecosystem Services in Arid and Semi-Arid Regions: A Multi-Scenario Analysis of Land Use Simulation in the Kashgar Region of Xinjiang. Ecol. Model. 2024, 488, 110579. [Google Scholar] [CrossRef]
- Liang, X.; Liu, X.; Li, X.; Chen, Y.; Tian, H.; Yao, Y. Delineating Multi-Scenario Urban Growth Boundaries with a CA-Based FLUS Model and Morphological Method. Landsc. Urban Plan. 2018, 177, 47–63. [Google Scholar] [CrossRef]
- Wang, Y.; Zhang, L. The Impact of Technology Innovation on Urban Land Intensive Use in China: Evidence from 284 Cities in China. Sustainability 2023, 15, 3801. [Google Scholar] [CrossRef]
- Naorem, A.; Jayaraman, S.; Dang, Y.P.; Dalal, R.C.; Sinha, N.K.; Rao, C.S.; Patra, A.K. Soil Constraints in an Arid Environment—Challenges, Prospects, and Implications. Agronomy 2023, 13, 220. [Google Scholar] [CrossRef]
- Wang, Y.; Long, A.; Xiang, L.; Deng, X.; Zhang, P.; Hai, Y.; Wang, J.; Li, Y. The Verification of Jevons’ Paradox of Agricultural Water Conservation in Tianshan District of China Based on Water Footprint. Agric. Water Manag. 2020, 239, 106163. [Google Scholar] [CrossRef]







| Primary Category | Secondary Category | Spatial Resolution | Data Sources |
|---|---|---|---|
| Basic geographic data | Administrative boundary Land use/land cover | 30 × 30 m | Resource and Environment Science and Data Center (https://www.resdc.cn/ (accessed on 1 January 2024)) |
| Natural environment data | Net primary productivity Soil conservation capacity | 1000 × 1000 m | National Earth System Science Data Center (https://www.geodata.cn/main/ (accessed on 1 January 2024)) |
| Precipitation | 1000 × 1000 m | National Meteorological Information Center (https://data.cma.cn/ (accessed on 1 January 2024)) | |
| Elevation Slope Aspect Distance data | 1000 × 1000 m | National Catalogue Service for Geographic Information (https://www.webmap.cn/main.do?method=index (accessed on 1 January 2024)) | |
| Socio-economic data | GDP Population Per capita food consumption expenditure Planting areas and prices of three main grains, etc. | — | National Statistical Yearbook (accessed on 1 January 2024) Compilation of National Agricultural Product Cost/Benefit Data (accessed on 1 January 2024) |
| Primary Category | Secondary Category | Cultivated Land | Forest Land | Grassland | Water Body | Unused Land |
|---|---|---|---|---|---|---|
| Provision services | Food production | 3631 | 1172 | 955 | 1440 | 10 |
| Raw material production | 1705 | 2679 | 1411 | 655 | 13 | |
| Water supply | 288 | 5785 | 3244 | 74,505 | 198 | |
| Regulation services | Gas regulation | 2862 | 8836 | 4941 | 2748 | 130 |
| Climate regulation | 1538 | 26,448 | 13,066 | 6783 | 76 | |
| Waste treatment | 427 | 7665 | 4317 | 10,388 | 517 | |
| Hydrological regulation | 4865 | 66,745 | 39,874 | 716,415 | 2375 | |
| Support services | Soil conservation | 12,665 | 31,056 | 17,368 | 8213 | 405 |
| Nutrient cycle maintenance | 513 | 822 | 468 | 218 | 5 | |
| Biodiversity maintenance | 555 | 9794 | 5480 | 8877 | 235 | |
| Cultural services | Aesthetic landscape | 2216 | 37,161 | 20,912 | 51,958 | 1120 |
| Items | Constraint Equations | Notes |
|---|---|---|
| Total land area | The total land use area should be equal to the area of Xinjiang | |
| Cultivated land | Cultivated land area in 2030 should exceed that in 2020 to comply with China’s cultivated land protection policy | |
| Forest land | The change rate of forest land should be within ± 10% according to historical trend | |
| Grassland | The change rate of grassland should be within ± 10% according to historical trend | |
| Water body | The change rate of water bodies should be within ± 10% according to historical trend | |
| Construction land | Construction land area in 2030 should exceed that in 2020 to accommodate urban expansion and population growth | |
| Unused land | Unused land area in 2030 should not exceed that in 2020 |
| Types | Unchanged Area | Transfer-In Area | Transfer-Out Area | ||||
|---|---|---|---|---|---|---|---|
| Area | Change Rate | Ratio | Area | Change Rate | Ratio | ||
| Cultivated land | 547.14 | 351.44 | 39.11% | 43.32% | 63.38 | 10.38% | 7.81% |
| Forest | 249.36 | 25.52 | 9.28% | 3.15% | 42.57 | 14.58% | 5.25% |
| Grassland | 4604.56 | 213.16 | 4.42% | 26.28% | 421.93 | 8.39% | 52.01% |
| Water | 298.31 | 47.23 | 13.67% | 5.82% | 37.03 | 11.04% | 4.56% |
| Construction | 35.10 | 55.20 | 61.13% | 6.81% | 6.77 | 16.18% | 0.84% |
| Unused | 9756.14 | 118.63 | 1.20% | 14.62% | 239.49 | 2.40% | 29.52% |
| Total | 15,490.60 | 811.18 | 4.98% | 100.0% | 811.18 | 4.98% | 100.0% |
| 2020 | ND-2030 | EP-2030 | ED-2030 | SD-2030 | |
|---|---|---|---|---|---|
| Cultivated land | 89,857 | 98,964 (+10.13%) | 92,953 (+3.45%) | 95,629 (+6.42%) | 92,564 (+3.01%) |
| Forest | 27,488 | 27,158 (−1.2%) | 26,983 (−1.84%) | 29,655 (+7.88%) | 28,311 (+2.99%) |
| Grassland | 481,771 | 474,390 (−1.53%) | 493,479 (+2.43%) | 492,109 (+2.15%) | 490,330 (+1.78%) |
| Water | 34,554 | 34,869 (+0.91%) | 38,009 (+10.0%) | 36,398 (+5.34%) | 37,813 (+9.43%) |
| Construction | 9029 | 11,689 (+29.46%) | 10,839 (+20.05%) | 13,544 (+50.00%) | 12,335 (+36.62%) |
| Unused | 987,476 | 983,101 (−0.44%) | 967,914 (−1.98%) | 962,843 (−2.49%) | 968,824 (−1.89%) |
| Economic | 64.03 | 77.99 (+21.8%) | 73.11 (+14.18%) | 86.14 (+34.52%) | 79.94 (+24.84%) |
| ESV | 97.73 | 97.62 (−0.11%) | 101.99 (+4.36%) | 101.00 (+3.35%) | 101.72 (+4.08%) |
Disclaimer/Publisher’s Note: The statements, opinions and data contained in all publications are solely those of the individual author(s) and contributor(s) and not of MDPI and/or the editor(s). MDPI and/or the editor(s) disclaim responsibility for any injury to people or property resulting from any ideas, methods, instructions or products referred to in the content. |
© 2025 by the authors. Licensee MDPI, Basel, Switzerland. This article is an open access article distributed under the terms and conditions of the Creative Commons Attribution (CC BY) license (https://creativecommons.org/licenses/by/4.0/).
Share and Cite
Li, X.; Lu, Z. Exploring the Balance Between Ecosystem Services and Economic Benefits via Multi-Objective Land Use Optimization. Land 2025, 14, 920. https://doi.org/10.3390/land14050920
Li X, Lu Z. Exploring the Balance Between Ecosystem Services and Economic Benefits via Multi-Objective Land Use Optimization. Land. 2025; 14(5):920. https://doi.org/10.3390/land14050920
Chicago/Turabian StyleLi, Xiaoyun, and Zhaonian Lu. 2025. "Exploring the Balance Between Ecosystem Services and Economic Benefits via Multi-Objective Land Use Optimization" Land 14, no. 5: 920. https://doi.org/10.3390/land14050920
APA StyleLi, X., & Lu, Z. (2025). Exploring the Balance Between Ecosystem Services and Economic Benefits via Multi-Objective Land Use Optimization. Land, 14(5), 920. https://doi.org/10.3390/land14050920

