Next Article in Journal
Study on the Changes of Agritourism Landscape Pattern in Southwest China’s Mountainous Area from a Landscape Function Perspective: A Case Study of Hanyuan County, Sichuan Province
Previous Article in Journal
Multidimensional Street View Representation and Association Analysis for Exploring Human Subjective Perception Differences in East Asian and European Cities
 
 
Font Type:
Arial Georgia Verdana
Font Size:
Aa Aa Aa
Line Spacing:
Column Width:
Background:
Article

Regional Rural Transformation Pathways: A Spatial–Temporal Comparison of Bangladesh, China, Indonesia, and Pakistan

1
China Centre for Agricultural Policy (CCAP), Peking University, Beijing 100871, China
2
Research Centre for Rural Economy (RCRE), Ministry of Agriculture and Rural Affairs of the People’s Republic of China, Beijing 100125, China
3
Crawford School of Public Policy, Australian National University, Canberra 0200, Australia
4
School of Agriculture and Food Sustainability, University of Queensland, Brisbane 4072, Australia
5
Centre for Contemporary Chinese Studies, Asia Institute, University of Melbourne, Melbourne 3010, Australia
6
Fenner School of Environment and Society, Australian National University, Canberra 0200, Australia
7
School of Social Sciences, Pakistan Institute of Development Economics (PIDE), Islamabad 44000, Pakistan
8
Department of Agribusiness and Marketing, Bangladesh Agricultural University, Mymensingh 2202, Bangladesh
9
Social Sciences Research Institute (SSRI), Pakistan Agricultural Research Council-National Agricultural Research Center, Islamabad 44000, Pakistan
10
Faculty of Economics and Management, IPB University, Bogor 16680, Indonesia
11
Indonesia Agricultural Researcher Alliance (APPERTANI), Jakarta 10110, Indonesia
*
Authors to whom correspondence should be addressed.
Land 2025, 14(12), 2344; https://doi.org/10.3390/land14122344 (registering DOI)
Submission received: 10 October 2025 / Revised: 12 November 2025 / Accepted: 27 November 2025 / Published: 29 November 2025
(This article belongs to the Section Land Socio-Economic and Political Issues)

Abstract

This paper examines the historical evolution and pathways of rural transformation (RT) at the regional level in four Asian countries—Bangladesh, China, Indonesia, and Pakistan. We conduct a comparative spatial analysis of regional level changes in high-value agricultural production (HVAP) and non-farm rural employment (NFRE). Using long-run data and bivariate mapping, we trace how rural economies have evolved over the past four decades and identify multiple transformation pathways. The results reveal both common upward trends and stark regional contrasts. China demonstrates the most rapid and synergic rise, integrating agricultural upgrading with widespread non-farm rural expansion. Bangladesh and Indonesia show more diverse trajectories, shaped by migration, urbanization, and agro-industrial linkages. Pakistan’s transformation is slower and more fragmented, marked by strong progress in some regions but persistent lags in others. The findings underscore that RT is not linear and can follow diverse pathways—synergic, HVAP-driven, NFRE-driven, remittance-based, or stagnant—depending on geography, natural endowments, policy, and local resource endowments. Our research highlights the need for regionally tailored strategies that link agricultural upgrading with rural labor diversification, strengthen rural–urban connectivity, and ensure that lagging regions are not left further behind.

1. Introduction

As the cornerstone of the 2030 Agenda for Sustainable Development, eradicating extreme poverty worldwide was established as the primary goal of the Sustainable Development Goals (SDGs). However, emerging challenges, including the COVID-19 pandemic, inflationary pressures, geopolitical conflicts, and intensified trade protectionism, have collectively reversed decades of progress in poverty reduction. According to the United Nations’ projection, over 600 million individuals (about 7% of the population) will remain trapped in extreme poverty by 2030, living on less than $2.15 per day [1].
Rural transformation refers to the long-term structural change in the economy and society of rural areas [2], driven by shifts in production structure, labor allocation, and livelihood diversification. It encompasses the transition from subsistence-oriented agriculture toward commercialized, high-value, and non-farm activities, accompanied by improvements in productivity, income, and well-being [3,4]. Accelerating rural transformation (RT) can enhance poverty reduction efforts, with policy makers and practitioners implementing targeted interventions to boost rural incomes in line with the poverty reduction agenda. Huang’s seminal study documented rapid RT across many Asian developing countries, marked by a shift towards high-value agricultural products (HVAP) and a transition to non-farm rural employment (NFRE), which accelerated rural poverty reduction [5]. Building on this foundation, research by Shi and Huang in China [6], along with Sudaryanto et al. in Indonesia [7], demonstrates that regions experiencing more advanced RT exhibit significantly higher rural per capita incomes. Additionally, studies in Pakistan [8] and Bangladesh [9] have identified a direct correlation between RT and rural income growth. Spillover effects of RT also include improvement in rural food security and dietary diversity through increases in the number of earning hands and household income.
While pathways of RT share similarities across countries and regions, significant variations exist in the pace of this process. Known as Huang’s Segmentation, RT typically progresses through four major stages: (1) staple food production, (2) agricultural diversification and commercialization, (3) agricultural specialization and mechanization, and (4) sustainable rural–urban integration. This pattern has been empirically validated across many developing countries in Asia [10,11,12]. Huang’s Segmentation conceptualizes the structural progression of rural economies, while HVAP and NFRE provide the operational metrics that correspond to movement along these stages. The evolution of these indicators is, in turn, conditioned by a set of driving forces—policy, geography, and institutions—that shape regional differences in the trajectory and speed of transformation. For instance, within a country, the pace of RT varies substantially across its regions [7,8,13,14].
Current research insufficiently examines the spatially and temporally varying effects of different RT pathways. Addressing this gap contributes to three critical dimensions. First, spatial–temporal analysis can reveal regionally specific conditions, generating unique insights for global scholarship while enhancing policy makers’ understanding of regional income growth strategies during specific development periods. Second, given the potentially distinct roles of within-sectoral and between-sectoral structural changes at each stage of RT, the relative importance of HVAP and NFRE requires stage-specific assessment. Understanding this variability enables more targeted policy interventions. Third, international aid agencies need robust cross-national comparisons to investigate dynamic pathway–outcome relationships. Single-country studies often suffer from incompatible data structures, methodological assumptions, and model specifications—limitations that undermine their utility for coordinating global development policies.
In this paper, we contribute a new method to map pathways of RT at the regional level. We adopt bivariate mapping techniques that are able to combine two datasets of RT indicators—HVAP and NFRE—to unveil the relative importance of the drivers of RT over periods. We select Bangladesh, China, Indonesia, and Pakistan for cross-country comparison due to their commonalities, such as large rural populations, predominant reliance on grain production, and significant RT in recent decades. Notably, in 2022, the percentage of the population living in rural areas remains high at 60% in Bangladesh, 36% in China, 42% in Indonesia, and 62% in Pakistan. While following a similar pathway of RT, these countries currently occupy distinct development stages—a pattern prevalent across South and Southeast Asia.
We conclude that regional-level RT pathways in the four countries can be grouped into five main types. Synergic rise describes regions where both HVAP and NFRE advanced together, producing the strongest and most inclusive outcomes. HVAP-driven pathways occur where agricultural upgrading outpaced non-farm diversification, while NFRE-driven pathways capture areas where non-farm employment expanded more rapidly, often linked to urbanization and industrial spillovers. A distinct model is found by remittance-led transformation, where outmigration and remittance inflows supported non-farm growth and consumption rather than local agricultural intensification. Finally, laggard or stagnant regions represent “double-low” trajectories where both agriculture and non-farm opportunities remained weak, leaving these areas trapped in structural stagnation.
The rest of the paper introduces the methodologies adopted and the data sources utilized (Section 2), offers a comprehensive presentation and discussion of the findings derived from spatial–temporal analysis (Section 3), and derives key conclusions and discusses their significant policy implications (Section 4).

2. Data and Methods

2.1. Data and Variables

Based on a comprehensive literature review, RT emerges as a multifaceted and complex process [15]. This paper adopts an economic perspective, drawing on the definition provided by the International Fund for Agricultural Development (IFAD) [16] and followed by the Food and Agriculture Organization of the United Nations (FAO) [17] and the International Food Policy Research Institute (IFPRI) [18], defining RT occurring both within the agriculture sector and between agricultural and non-agricultural sectors. Within this framework, RT is represented by the changing share of HVAP and NFRE.
Notably, the definition of HVAP varies significantly across countries due to their different agricultural systems and is primarily determined by relative output value (or profit) per land unit [19]. In Bangladesh, HVAP includes horticulture (e.g., vegetables and fruits), livestock, and aquatic products [9]. In China, HVAP primarily consists of horticultural crops, livestock, and aquatic products, extending beyond traditional grains, cotton, oil crops, and sugar crops [13]. In Indonesia, HVAP covers horticulture, livestock products, and estate crops [7]. Meanwhile, in Pakistan, HVAP encompasses cotton, oil crops, sugar crops, horticultural crops, and livestock products, though aquatic products account for a nearly negligible proportion [8]. The output value of each agricultural product was calculated by multiplying annual production quantities by their respective farm-gate prices in each year.
NFRE captures the shift in rural labor from agricultural to non-agricultural sectors remaining within rural regions. Computationally, it is derived by taking the total employment in a specific rural region, subtracting the number employed in agriculture, forestry, hunting, and fishing in that rural region, and then dividing this difference by the total employment. This ratio serves as a clear measure of the degree of labor transition away from agriculture.
All key indicators are presented in Table 1. Data was sourced from each countries’ official datasets and may include rural household survey data and Household Income and Expenditure Survey data [7,8,13,20]. This dataset includes both national and regional information. Data for China and Indonesia are at the provincial level, covering 31 provinces in China and 29 provinces in Indonesia. For Bangladesh and Pakistan, data were collected at the district level, including 64 districts in Bangladesh and 38 districts in Pakistan. Depending on the country, the data spans the past two to four decades, enabling the analysis of historical trends in RT. The remainder of the paper uses the term “region” to identify provinces in China and Indonesia and districts in Bangladesh and Pakistan.

2.2. Methods

The spatial–temporal analysis integrates graphic description methods. It first employs univariate trend analysis to reveal the evolutionary patterns of HVAP and HFRE, focusing on identifying common characteristics of RT. Subsequently, it adopts bivariate choropleth mapping techniques to visualize the spatiotemporal differentiation patterns of HVAP and NFRE.
This paper follows the methodology of Shi and Huang [19], employing Locally Weighted Scatterplot Smoothing (Lowess) fitting curves to reveal the temporal evolution patterns of HVAP and NFRE across different countries. As a robust, non-parametric method, it operates without the constraints of a pre-specified model. This makes it the preferred tool for exploring, visualizing, and understanding complex, unknown relationships within data. But notably, we primarily focus on elaborating a spatial–temporal analysis based on the bivariate choropleth mapping method [21]. A bivariate map combines two continuous variables within the same spatial framework by assigning one color dimension to each variable. In this study, the vertical axis of the color matrix represents HVAP, while the horizontal axis represents NFRE. Each indicator is first standardized and then divided into three quantile categories (low, medium, high). The intersection of these categories forms a 3 × 3 grid of nine classes, each associated with a unique hue created by blending two color gradients. This produces an intuitive visualization of how agricultural upgrading (HVAP) and non-farm diversification (NFRE) interact across space and time. This approach offers three key advantages: First, it enables the simultaneous visualization of the spatial interplay between HVAP and NFRE at the regional level through differentiated legend symbology. Second, leveraging Geographic Information Systems (GIS) principles, it allows for precise quantification of the spatial characteristics of transformation dynamics. Third, based on cartographic sequences of typical transition years, it systematically presents the spatiotemporal evolution pathways of rural restructuring. Its core value is that through comparative analysis of these multi-period statistical maps, it can identify the spatiotemporal differentiation patterns of multi-dimensional features in RT, thereby providing spatially informed decision-making support for evidence-based rural development policies and programs.
These maps employ a bivariate color scheme to visualize the interplay between two variables: HVAP and NFRE (Table 2). Both variables are divided into three quantile-based classes (low, medium, high) representing each region’s RT speed relative to others within a country. Consequently, spatial units are categorized into one of nine classes determined by the quantile combination of their HVAP and NFRE values. Notably, the vertical axis of the legend below aligns with HVAP, while the horizontal axis corresponds to NFRE. Their intersection dictates the map’s color: darker purple indicates high values for both HVAP and NFRE, blue signifies high NFRE but low HVAP, pink denotes high HVAP but low NFRE, and light gray reflects low values for both HVAP and NFRE.

3. Results and Discussion

Section 3 provides a spatial–temporal analysis across the four countries, examining the dynamics and pace of RT over successive decades and tracing its progression through various stages of Huang’s Segmentation.

3.1. Lowess Results

Figure 1 and Figure 2 reveal the progress of RT in Bangladesh, China, Indonesia, and Pakistan. In Figure 1, a commonality is evident in the overall upward trend of the share of HVAP over time, reflecting a general pattern of agricultural transformation and upgrading. However, differences are notable in both the transition paths and the speed of transformation. Bangladesh and Pakistan exhibit a more gradual increase, with Pakistan showing a more pronounced upward trend starting around 2000, while Bangladesh experienced a significant acceleration after 2000. Bangladesh’s level of HVAP is significantly lower than the other three countries due to differences in definitions based on the country’s local situation. In contrast, China’s share of high-value agricultural products has shown more rapid and consistent growth since the 1980s, particularly during the 1990s and early 2000s, indicating a faster pace of agricultural transformation. Indonesia presents a distinct pattern, characterized by fluctuations during the 1980s and 1990s giving way to more stable but slower growth after 2000. These variations underscore that while all four countries are shifting toward a greater share of high-value agricultural products, their specific trajectories and rates of change differ significantly.
These different rates of change in the share of HVAP identified in each country are influenced by natural endowments and policy focus. As an illustrative example, Bangladesh is a smaller country with similar, although constrained, land conditions throughout, while Indonesia is an archipelago with highly diverse land and agricultural production conditions, which influence the capacity to move into HVAP. These differing agricultural production conditions provide different enabling conditions for transitioning to HVAP. In addition, key policy reforms also influence the capacity to transition to HVAP. China’s key agricultural policy reforms have focused on market engagement with the provision of capital and increased services, which has enabled, in most regions, a transition into HVAP, whereas, in Indonesia, the policy focus has remained on rice agriculture to improve self-sufficiency.
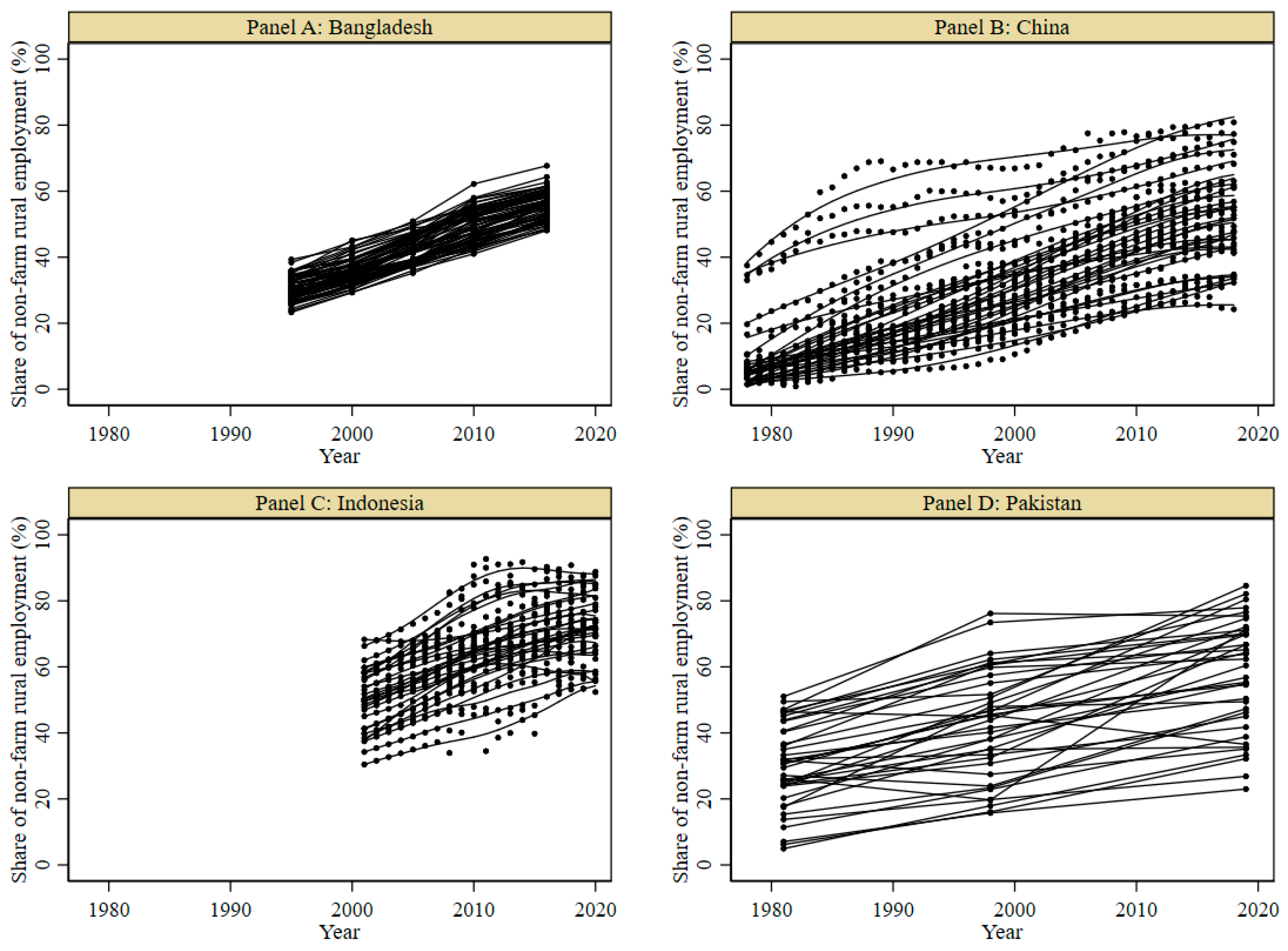
Figure 2 illustrates an increasing trend in share of NFRE across Bangladesh, China, Indonesia, and Pakistan, indicating a common structural transformation within their rural economies. However, significant differences are evident in their transition paths and speeds: Bangladesh experienced a gradual rise with acceleration post-2000; China demonstrated a steep and continuous increase, particularly during the 1990s, reflecting rapid industrialization and urbanization; Indonesia showed initial fluctuations followed by steady growth from the late 1990s onward; and Pakistan exhibited diverse regional patterns, which are likely influenced by different agricultural sectors within each region. These variations highlight that while all four countries are shifting towards greater non-farm rural employment, the pace and nature of these structural shifts are significantly shaped by unique economic policies, geographical factors, and developmental strategies. Regions within countries that have enabled improved market access (i.e., coastal zone in China, regions in Indonesia in close proximity to the markets of Singapore and Malaysia) have seen the development of agricultural value chains that benefit from market access. These agricultural value chains have seen employment opportunities emerge as agricultural production delivers on market opportunities and as there is a transition into HVAP.

3.2. Bivariate Mapping Results

Figure 3, Figure 4, Figure 5 and Figure 6 illustrate the geographical distribution of RT speeds across selected years and countries.

3.2.1. Rural Transformation in Bangladesh

Bangladesh’s more homogeneous RT is due to its smaller, flatter land area with less complex economic structures with labor, land, and climate favorable for rice cultivation. Between 1995 and 2016, Bangladesh experienced a broad upward and rightward shift on the bivariate HVAP–NFRE maps (Figure 3). These trends have been influenced by particular policies and programs including the Crop Diversification project, the Comprehensive Village Development Programme, and the Promoting Agricultural Commercialization and Enterprises, which have each enhanced market access and diversified farmer incomes. At the national level, thresholds for both high-value agricultural production (HVAP) and non-farm rural employment (NFRE) nearly doubled, underscoring the significant rural transformation occurring. In 1995, most regions were concentrated in the lower or middle quadrants, reflecting modest progress in crop diversification and limited off-farm opportunities. By 2016, many regions had moved into higher quadrants, with stronger colors on the maps reflecting an increase in higher-value agriculture and expanded rural non-farm labor markets. Yet, this overall improvement masks strong spatial heterogeneity, with some regions making significant progress in RT while others lag behind national progress.
The northwest belt of Bangladesh—including Rajshahi, Naogaon, Bogra, Pabna, Rangpur, and Sirajganj—stands out as the region with the most pronounced synergic rise, where HVAP and NFRE advanced together (Figure 3). In 1995, these regions were positioned in the mid-range on both axes; by 2016 they appear in darker purple/blue quadrants, indicating joint improvements. The drivers are clear: Barind irrigation projects expanded Boro rice and high-value crops, agricultural research centers promoted pulses, fruits, and vegetables, and improved connectivity allowed surplus production to reach Dhaka and export markets. At the same time, non-farm rural opportunities in services, trade, and migration accelerated. This synergy created one of Bangladesh’s RT frontiers.
In the central regions surrounding Dhaka—Gazipur, Narayanganj, Narsingdi, Tangail, Manikganj, and Munshiganj—the dominant pathway has been NFRE-driven transformation. In 1995, these areas were largely agrarian. By 2016, they had very high NFRE but only moderate HVAP growth, as indicated by the deep purple shades. Factors influencing this NFRE-driven transformation are Dhaka’s urban pull and industrial spillovers: garment manufacturing, peri-urban industries, and service sector expansion absorbed rural labor. Regions like Gazipur and Narayanganj illustrate the strongest integration into the national industrial economy; in particular, textile production is highly concentrated in Gazipur district, while Tangail and Narsingdi have the combined agro-processing industries.
The southwest coastal belt of Bangladesh—Khulna, Satkhira, Bagerhat, Jashore, Narail, and Magura—reflects a different pathway, one that is HVAP-driven (Figure 3). In 1995, these regions were only modest performers; by 2016 they moved sharply upward in HVAP, reflecting the rise of aquaculture, shrimp farming, and vegetable production for domestic and export markets. NFRE also expanded but less dramatically than in the Dhaka belt. Shrimp farming in Khulna and Satkhira created major export linkages, while Jashore diversified into vegetables and floriculture. This specialization has brought income gains but also ecological risks such as salinity intrusion.
The northeast region of Bangladesh (Sylhet, Moulvibazar, Habiganj, Sunamganj) follows a distinctive remittance- and consumption-driven transformation. In 1995, it was marked by low HVAP and modest NFRE. By 2016, NFRE indicators improved significantly, but HVAP remained weaker compared to the northwest or the southwest. Increased remittance inflows stimulated service and construction employment rather than farm intensification. Tea estates and citrus production provide some HVAP gains, but overall, the agricultural base remains underdeveloped.
In the southeast of Bangladesh, including Comilla, Chattogram, Cox’s Bazar, Feni, and Noakhali, the dominant trajectory has been NFRE-driven transformation. Comilla has expanded garment and small and medium-sized enterprises (SME) clusters and also huge remittance inflows, while Chattogram’s port economy, industrial parks, and services have drawn in significant rural labor. Cox’s Bazar added tourism employment due to the longest seabeach in the south Asian region, reinforcing NFRE gains. HVAP grew but was secondary to NFRE growth, positioning these regions as gateways of industrial and service-led transformation.
The southern Barisal belt of Bangladesh—Barisal, Bhola, Patuakhali, Barguna, Jhalokati, and Pirojpur—lags behind in overall RT. These regions continue to have low HVAP and low NFRE, as indicated by the lighter-colored areas on the bivariate maps (Figure 3). Some incremental progress is visible in Barisal, but overall transformation has been slow. These areas suffer from geographic isolation, recurrent cyclones, intrusion of saline water, riverbank erosion, and weak infrastructure. As a result, RT has been constrained, and poverty remains entrenched.
Bangladesh’s regional-level patterns of RT reveal multiple pathways under a common national trend of rising HVAP and NFRE. The northwest showcases a synergic model where agriculture and non-farm activities reinforce each other. The Dhaka belt and the southeast illustrate NFRE-driven growth linked to urbanization, garments, and industrialization. The southwest demonstrates HVAP-driven transformation through aquaculture and high-value crops (vegetables and floriculture). The Sylhet region underscores a remittance-consumption model with limited agricultural upgrading. The Barisal belt highlights persistent laggards, where climate vulnerability and poor connectivity inhibit transformation. Together, these maps show how geography, infrastructure, technology, migration, market integration, and policy interact to shape diverse RT trajectories across Bangladesh.

3.2.2. Rural Transformation in China

China’s RT has been influenced by a step-by-step approach to broad policy reform, strong market orientation, investment in infrastructure, improved contract management of rural land, and improved extension systems to modernize the agricultural sector. Figure 4 shows the evolution of regional-level RT in China from 1978 to 2018, using four benchmark years—1978, 1995, 2006, and 2018. During this period, landmark policies such as marketization reform (1985), the mechanization promotion law (2004), the abolishment of the agricultural tax (2006), environmental and sustainability policies (post-2010), and the rural revitalization strategy (2017) have all significantly influenced China’s RT.
The maps show a decisive national shift in China’s RT over the four decades. In 1978, most regions were clustered at the lower end of NFRE despite some regions in the northeast and coastal areas already providing HVAP. By 1995, the maps reveal an upward and rightward drift, with clear increases in HVAP and the first signs of substantial NFRE growth. By 2006, both axes had expanded further: thresholds for HVAP and NFRE had almost doubled, and regions in the east and south were consistently in higher quadrants. By 2018, the distribution was polarized: coastal and central regions were firmly embedded in high-HVAP–high-NFRE zones, while some western and interior regions lagged due to weaker NFRE gains. Overall, China’s RT path shows rapid intensification of agriculture and diversification of rural economies but with persistent regional disparities.
The coastal regions (e.g., Jiangsu, Zhejiang, Guangdong, Fujian, Shandong) illustrate a synergic rise pathway, where both HVAP and NFRE expanded dramatically (Figure 4). By 2006 and especially 2018, these regions had both high levels of HVAP and NFRE. Coastal modernization was driven by township and village enterprises (TVEs) from the 1980s onward, integration into global markets and value chains, specialization in horticulture, aquaculture, and export-oriented crops, alongside booming non-farm rural industries. The combination of agricultural upgrading and industrial employment made the eastern seaboard the epicenter of China’s RT. This indicates the crucial role of trade liberalization, openness, and an export-oriented growth in driving structural transformation. The region’s proximity to growing markets, integration into global value chains, and early adoption of TVEs contributed to the deepening of rural non-farm economies [22].
Regions in the Central Plains (Henan, Anhui, Hubei, Hunan, Jiangxi) shifted upwards strongly on HVAP (Figure 4), reflecting their role as China’s grain basket and center of agricultural intensification. Mechanization, irrigation expansion, hybrid rice, and strong state support policies enabled substantial productivity gains. NFRE also increased, but not as dramatically as in coastal regions, leaving many regions in the Central Plains on an HVAP-driven pathway. By 2018, these regions had robust agricultural surpluses but remained less diversified than coastal regions, highlighting the challenge of absorbing surplus labor into non-farm rural sectors.
The northeastern regions (Heilongjiang, Jilin, Liaoning) stand out as high HVAP performers since 1978 (Figure 4), with mechanized large-scale farming and soybean/corn production. However, their NFRE growth has been less dynamic compared to coastal or central regions. By 2018, they remain relatively high on HVAP but mid-range on NFRE, reflecting structural challenges such as aging rural populations, declining heavy industries, and limited diversification. This is a stable high-agriculture model with weaker non-farm dynamism.
The western and interior regions (Xinjiang, Tibet, Qinghai, Gansu, Ningxia, Yunnan, Guizhou) consistently lagged in both HVAP and NFRE. In 1978 they were concentrated in the lower quadrants; by 2018, despite improvements, many remained lagging, reflecting weaker transformation, as indicated by lighter shades (Figure 4). Challenging physical geography (mountains, deserts, arid conditions), limited infrastructure, and persistent poverty constrained both agricultural intensification and RNFE. Some regions (e.g., Xinjiang) have niche HVAP gains (cotton and horticulture), but overall, these regions represent the lagging transformation pathway.
The southwestern regions (Sichuan, Chongqing, Guangxi, Yunnan) show gradual progress. Sichuan, once a labor-sending region, illustrates how outmigration and remittances drove consumption and services, while agricultural restructuring shifted towards vegetables, livestock, and aquaculture. By 2018, these regions moved closer to the middle–high quadrants, reflecting balanced but slower transformation heavily shaped by migration and policy-driven rural development investments.
China’s RT between 1978 and 2018 reflects a rapid national rise in both HVAP and NFRE but along very different regional pathways. The eastern coastal regions (e.g., Jiangsu, Zhejiang, Guangdong, and Shandong) followed a synergic rise trajectory, where agricultural diversification, export-oriented crops, and TVEs jointly propelled HVAP and NFRE. The Central Plains (Henan, Anhui, Hubei, Hunan) represent an HVAP-driven pathway, with major gains in grain productivity but slower non-farm diversification. The Northeast (Heilongjiang, Jilin, Liaoning) maintained a stable-high agricultural model, with consistently high HVAP but more stagnant NFRE. In the Southwest (Sichuan, Chongqing, Guangxi, Yunnan), transformation was migration- and remittance-led, with gradual agricultural diversification but heavy reliance on outmigration. By contrast, the Western regions (Xinjiang, Tibet, Qinghai, Gansu, Guizhou) remained laggards, constrained by geography, infrastructure, and poverty, showing slower gains in both HVAP and NFRE. Together, these trajectories reveal how national growth and structural transformation coexisted with persistent regional inequalities, reflecting the enduring coastal–inland divide in China’s development.

3.2.3. Rural Transformation in Indonesia

Indonesia’s RT has significant regional disparities due to its archipelago and diverse economic activities, which occur at a relatively slower pace due to some commodity sectors’ (e.g., palm oil, rubber, coffee, and tea) boom limiting the transition into HVAP. Figure 5 illustrates Indonesia’s RT dynamics across three pivotal years (2001, 2010, and 2019), revealing distinct regional pathways. The RT dynamics of Indonesia are influenced by more granular policies, such as the Indonesia–Malaysia–Singapore Growth Triangle benefiting regions within the triangle and localized limitation, such as South Sumatra’s continued low productivity rice production due to limited production environment. In addition, policies biased towards rice production and self-sufficiency such as fertilizer subsidies, R&D focused on the rice sector, and infrastructure development that favors rice production, also limit RT.
Indonesia’s RT between 2001 and 2019 reveals a broad shift upward in HVAP and rightward in NFRE (Figure 5). In 2001, most regions clustered around low-to-mid HVAP and moderate NFRE. By 2010, thresholds had shifted upward and rightward, reflecting agricultural intensification and a rise in rural services and manufacturing. By 2019, the distribution widened further, with certain regions moving firmly into high-HVAP and/or high-NFRE quadrants, but many eastern regions remained laggards. Overall, the maps indicate uneven but notable progress, shaped by resource endowments, industrial location, and decentralization reforms.
The regions of Java (West Java, Central Java, East Java, Yogyakarta, Jakarta) and Bali illustrate an NFRE-driven transformation pathway. From 2010, becoming more pronounced in 2019, these regions had some of the highest NFRE scores, driven by industrialization, manufacturing, and services linked to urban growth poles. Agriculture remains important, with horticulture, rice, and livestock intensification, but the dominant trend has been labor absorption into the garment, electronics, tourism, and service industries. Bali, in particular, demonstrates transformation shaped by tourism and service employment rather than agriculture. Java became increasingly dominated by NFRE-driven pathway, as indicated by its blue coloring (Figure 5), reflecting its dense population, strong urban–rural linkages, and the expansion of the service and industrial sectors.
Sumatra (North Sumatra, West Sumatra, Riau, Jambi, South Sumatra, Lampung) exhibits a mixed pathway, with significant HVAP growth (palm oil, rubber, coffee, horticulture) but varying levels of NFRE. North Sumatra and Lampung show higher NFRE gains due to urban spillovers and agro-processing, while regions like Jambi and Riau remain more HVAP-driven through plantation crops. This reflects Sumatra’s dual role as an agricultural export hub and a site of resource-based industrialization. Lampung transitioned from low HVAP and NFRE towards an NFRE-driven transformation.
The Kalimantan regions (West, Central, South, East) primarily show HVAP-oriented transformation, heavily tied to plantation crops (palm oil) and natural resource industries (timber, coal). NFRE increased in mining and services, but less evenly distributed compared to Java and Sumatra. By 2019, Kalimantan regions remained agriculture- and resource-heavy, with weaker diversification into labor-intensive non-farm employment.
The Sulawesi regions (South Sulawesi, North Sulawesi, Southeast Sulawesi, Gorontalo, Central Sulawesi) demonstrate emerging synergic transformation. Southeast Sulawesi underwent a dynamic transformation, shifting from high HVAP and medium NFRE to peak levels in both variables. HVAP rose steadily with cocoa, coffee, and fisheries, while NFRE also expanded, with Makassar as a growth hub. The region reflects the importance of agro-exports combined with urban-led service expansion. Notably, this dual progression in Southeast Sulawesi signifies successful HVAP-NFRE integration, likely stemming from a number of factors. First, the government promotes agricultural diversification, value-chains, and agribusiness development. Second, the mining sector growth results in investments in associated infrastructure and services, creating NFRE opportunities. Third, the moderate out-migration allows labor to maintain adequate farm and non-farm labor supply.
The eastern regions remain laggards across both HVAP and NFRE. By 2019, they still occupied lighter quadrants, indicating slow agricultural intensification and limited non-farm diversification. Geographic isolation, weaker infrastructure, and higher poverty levels constrain transformation. Some localized improvements in fisheries and niche crops (e.g., nutmeg in Maluku, cocoa in Papua) are visible but insufficient to shift overall performance.
Indonesia’s RT is marked by both progress and inequality. Java and Bali represent an NFRE-driven model, reflecting industrialization, services, and tourism. Sumatra follows a mixed HVAP–NFRE model, with strong plantation agriculture and uneven industrialization. Kalimantan remains HVAP-resource driven, tied to palm oil, mining, and timber. Sulawesi demonstrates an emerging synergic model, combining cocoa/fisheries with urban services. The Eastern regions continue as laggards, shaped by remoteness and weak infrastructure. Nationally, RT has deepened between 2001 and 2019, but the persistence of a western–eastern divide mirrors broader patterns of uneven development in Indonesia.
Indonesia’s spatially differentiated trajectories underscore the need for region-specific policy responses. For stagnant regions like Kalimantan, targeted interventions to stimulate both agricultural upgrading and rural diversification are critical. Meanwhile, Java’s NFRE-dominant transformation calls for policies that enhance rural labor productivity and ensure equitable access to emerging non-farm opportunities. In regions like Southeast Sulawesi, efforts should focus on consolidating gains, promoting inclusive agri-food value chains, and maintaining environmental sustainability alongside economic growth.

3.2.4. Rural Transformation in Pakistan

Pakistan’s RT has significant regional heterogeneity and is reasonably slow due to land area and diverse natural conditions. Figure 6 traces Pakistan’s RT evolution over nearly four decades (1998–2019), underscoring gradual but uneven progress with increasing HVAP-NFRE convergence over time. Key policies, such as the Khushal Pakistan Program in the early 2000s and the Prime Minister’s Kissan Package, have been influential with a focus on infrastructure and available finance.
Between 1998 and 2019, Pakistan experienced a moderate but uneven process of RT. At the national level, the maps reveal an upward and rightward shift in both HVAP and NFRE (Figure 6), though the pace of change was slower and more fragmented than in neighboring countries such as Bangladesh or China. In 1998, most regions clustered in the lower and middle quadrants, reflecting a rural economy dominated by staple crops and with limited diversification into non-farm sectors. By 2019, several regions, particularly in Punjab, had made significant strides in agricultural intensification and in linking to industrial and service employment. However, transformation was highly uneven across regions, with clear divides between Punjab’s irrigated core and the more peripheral regions of Sindh, Khyber Pakhtunkhwa (KPK), and Balochistan.
Punjab stands out as the most dynamic region of Pakistan’s RT (Figure 6). Central and northern regions such as Faisalabad, Sargodha, Gujranwala, Sheikhupura, and Lahore (mix-cropping and rice–wheat cropping zones) clearly illustrate a synergic rise, combining gains in HVAP—through cereals, specifically rice as a cash crop, sugarcane, citrus, mangoes, and vegetables—with the expansion of NFRE linked to the textile, agro-processing, and manufacturing clusters. By contrast, the regions of southern Punjab (cotton–wheat cropping zone), including Bahawalpur, Rahim Yar Khan, Bahawalnagar, and Multan, progressed more slowly. While cotton and mango production supported some HVAP gains, NFRE opportunities remained limited, leaving these regions in the lower quadrants. Western Punjab, stretching through Dera Ghazi Khan, Bhakkar, and Layyah, shows mixed progress, marked by modest productivity increases but continued weak integration into the non-farm economy. The decline in cotton production in these regions of Pakistan started in the years 2015–2016. Cotton lint production in the country peaked to 13.96 million bales, then started to drop significantly, reaching 5.5 million bales by 2025. This marks a decade-long trend of decline driven by factors like climate change, pest infestations, and economic challenges. Crop productivity declined from 802 to 475 kg per hectare. Due to the low profitability of cotton, farmers replaced the crop mainly with sugarcane, maize, and rice and, to a lesser extent, sesame and sunflower.
Sindh presents a more polarized picture. Regions around Karachi and Hyderabad benefited most from industrial and port-related NFRE growth, while peri-urban corridors linked agriculture with urban consumption. Upper Sindh regions such as Sukkur, Larkana, and Khairpur registered HVAP gains through rice, dates, and vegetables, but these advances were less matched by NFRE expansion, illustrating a more HVAP-driven pathway. In contrast, southern and rural Sindh—including Tharparkar, Thatta, Badin, and Umerkot—remain lagging. Chronic water scarcity, salinity, and climate shocks continue to constrain both farm productivity and non-farm employment, leaving these regions clustered in the low-HVAP, low-NFRE category.
In Khyber Pakhtunkhwa (KPK), transformation has been led more by non-farm opportunities than by agriculture. Northern regions such as Mardan, Swabi, Abbottabad, and Haripur recorded modest HVAP growth in fruits, vegetables, and tobacco, but stronger NFRE gains driven by migration, remittances, and local small industries. Southern KP regions, including Kohat, Bannu, Karak, and Dera Ismail Khan, advanced more slowly, with agriculture being less diversified and NFRE more dependent on labor migration. Taken together, KP illustrates a remittance- and NFRE-driven transformation pathway, with weaker agricultural upgrading than Punjab.
Balochistan remains the least transformed region of Pakistan. Most regions, such as Kalat, Khuzdar, Chagai, Gwadar, and Kharan, continue to sit in the low-HVAP, low-NFRE zones. Some northern regions, including Quetta, Pishin, and Ziarat, show HVAP gains in niche horticulture like apples, grapes, and pomegranates, but these gains did not translate into significant non-farm employment. Ongoing security challenges in Balochistan significantly hinder investment and development initiatives, adversely affecting both infrastructure and community stability. Additionally, the region’s low population density complicates the delivery of essential services, making it economically unviable for businesses to operate efficiently. Furthermore, agricultural productivity has been severely impacted by inefficient farming practices, over-extraction of groundwater, and rangeland degradation. These interconnected factors have contributed to keep Balochistan lagging behind the rest of the country despite its diverse natural resource base.
Overall, Pakistan’s RT since 1998 demonstrates multiple pathways. Central and northern Punjab exemplify a synergic rise, while southern Punjab and Sindh remain laggards. Sindh’s irrigated northern core illustrates an HVAP-driven model, while the peri-urban Karachi–Hyderabad corridors show NFRE-led growth. KPK reflects remittance- and NFRE-led transformation, and Balochistan remains the most structurally constrained. The contrast between Punjab’s core regions and the more peripheral regions highlights the fragmented nature of Pakistan’s transformation and the persistence of regional inequalities in development.

3.2.5. Factors Constraining Rural Transformation in Laggard Regions

Despite the overall upward trends in high-value agricultural products (HVAP) and non-farm rural employment (NFRE), several regions across the four countries remain trapped in slow or stagnant transformation pathways. The underlying causes of this stagnation are multidimensional.
Geographic isolation plays a primary role. Remote coastal and mountainous areas such as Barisal in Bangladesh, eastern Indonesia, and Balochistan in Pakistan face higher transport and transaction costs that limit access to markets and inputs. These physical barriers discourage private investment and reduce the profitability of shifting toward high-value agriculture.
Infrastructure deficits—particularly in rural roads, irrigation networks, electricity, and storage facilities—further weaken the enabling environment for transformation. Without reliable connectivity, farmers struggle to adopt modern technologies or reach non-farm employment opportunities.
Institutional and governance weaknesses compound these challenges. In many lagging regions, land tenure insecurity, limited extension services, and weak local governance reduce farmers’ ability to invest or diversify production. Access to credit and insurance is also highly unequal, constraining the adoption of productivity-enhancing practices.
Environmental and climatic factors—such as salinity intrusion in coastal Bangladesh, recurrent droughts in Pakistan, and natural disasters in Indonesia—exacerbate vulnerability and deter long-term investment.
Together, these constraints create a form of path-dependent under-transformation: regions starting with poor infrastructure and weak institutions tend to experience slower structural change, even when national policies are supportive. Addressing these bottlenecks requires targeted spatial strategies that integrate infrastructure investment, institutional reform, and place-based development policies to unlock rural transformation potential.

4. Conclusions and Policy Implications

4.1. Conclusions

We observe that four countries (Bangladesh, China, Indonesia, Pakistan), each characterized by a reliance on grain production in their agricultural sectors and possessing large rural populations, have undergone significant RT over the past few decades. However, RT differs markedly both between and within these countries, highlighting its inherent complexity.
The comparative evidence shows that while Bangladesh, China, Indonesia, and Pakistan all experienced upward trends in HVAP and NFRE, the trajectories diverged sharply. China achieved the most synergic transformation, combining agricultural diversification with township and village industries, though coastal–inland disparities remain. Bangladesh’s transformation was strongly NFRE-driven, reflecting urban spillovers, garment sector growth, and international migration, but with some rural areas left behind. Indonesia demonstrated a mix of pathways: Java and Bali advanced mainly through NFRE, Sumatra, and Sulawesi through combined HVAP and NFRE, while Kalimantan and the eastern regions lagged. Pakistan’s transformation was the slowest and most fragmented: central Punjab moved towards a synergic rise, but much of Sindh, KPK, and Balochistan remained stagnant. These findings confirm that RT is not a linear process but a set of differentiated trajectories shaped by regional endowments, infrastructure, institutions, and policy and programs.
In this paper, we identify at least five common types:
  • Synergic rise—where HVAP and NFRE advanced together, producing the strongest and most inclusive outcomes. This is seen most clearly in China’s coastal regions, Bangladesh’s northwest regions, Indonesia’s Sumatra and Sulawesi, and central Punjab in Pakistan.
  • HVAP-driven pathways—where agricultural upgrading outpaced non-farm growth. Examples include China’s Central Plains, Sumatra and Kalimantan in Indonesia, and upper Sindh in Pakistan.
  • NFRE-driven pathways—where non-farm employment grew more rapidly, often linked to urbanization and industrial spillovers. This trajectory dominates in Bangladesh’s central regions, Java and Bali in Indonesia, and peri-urban Karachi–Hyderabad in Pakistan.
  • Remittance-led transformation—where outmigration and inflows of remittances drove NFRE and consumption rather than agricultural intensification. Sylhet in Bangladesh and parts of KP in Pakistan exemplify this model.
  • Laggard or stagnant regions—where both HVAP and NFRE remained low, leaving regions trapped in a “double-low” trajectory. These include Barisal in Bangladesh, eastern Indonesia, and much of Balochistan in Pakistan.
This typology highlights that while all four countries share an overall upward trend in HVAP and NFRE, the pace, balance, and inclusiveness of transformation vary widely across regions. National averages therefore mask substantial internal divergence, with leading regions pulling ahead while lagging regions risk being left further behind.
Bangladesh’s RT has been primarily driven by an increase in NFRE, facilitating the shift in agricultural labor into other sectors. This is also reflected in the growing contribution of NFRE to rural income growth. In such scenarios, factors such as labor mobility, off-farm employment opportunities, transport infrastructure, and education play crucial roles in enabling this single factor-led RT. It may also signal that the agricultural sector faces limited comparative advantage in progressing towards higher-value agriculture due to natural resource constraints.
In China, reform policies and global market integration have driven RT over the last four decades primarily through NFRE, a trend also evident in the increasing contribution of non-farm employment to rural income growth. We observe that some regions, particularly those more connected to global markets, have progressed more rapidly through RT, while others have lagged behind. Recognizing these regional disparities, the government has initiated policies aimed at reducing them and fostering development in less-advantaged areas to encourage catch-up, with a focus on both non-farm employment and high-value agriculture. Despite these efforts, RT stagnation is still identified in some regions, indicating the need for dedicated and context-specific policy efforts.
RT in Indonesia faces unique challenges, with significant spatially differentiated trajectories. Areas such as Java, with its dense population, strong urban–rural linkages, and the expansion of service and industrial sectors, see RT driven by non-farm employment. In contrast, in other regions, government efforts to promote high-value agriculture, its associated value chains, and agribusiness opportunities, alongside the growth of other sectors, aim to create a balanced RT with contributions from both high-value agriculture and non-farm employment. However, the success of these efforts has been modest, as indicated by only modest increases in rural incomes.
Pakistan has seen modest long-run improvements in rural incomes, although the contributions from non-farm employment and high-value agriculture remain uncertain. Within the agricultural sector, challenges such as land tenure issues, water access limitation, poor market access, and governance constraints hinder both public and private investments needed to drive agricultural diversification and a shift towards high-value agriculture. Enabling RT through non-farm employment has also proven challenging, particularly in some regions potentially constrained by limited development in non-agricultural sectors.
We also observe varying speeds of RT, with these speeds adjusting over time, and differing contributions from non-farm employment and high-value agriculture to the transformation process. A comparative analysis of South Punjab in Pakistan and the northeastern region of China offers significant insights into their economic trajectories. Initially, non-farm employment in both regions played a pivotal role, indicating a shift in labor dynamics and economic diversification. However, despite these early gains, both regions appear to be converging towards a ‘double low’ trajectory—characterized by stagnation in both HVAP and NFRE. This phenomenon highlights a critical need for targeted interventions to spur development in these underperforming areas.
Within this complex and dynamic RT, each country exhibits significant regional differences, with some more pronounced than others. Indonesia’s archipelago presents challenges for consistent and inclusive transformation. In China, some regions have progressed rapidly while others have stagnated. Meanwhile, only a few regions in Pakistan seem to consistently benefit from RT. Bangladesh’s RT has been enabled, in part, by labor mobility from regions that facilitate ease of movement. These regional differences within countries can be polarizing, benefiting some regions (and individuals) significantly while leaving others behind. This polarization is concerning for policy makers aiming for nationwide benefits, especially as lagging regions are likely to require substantially greater inputs to achieve successful RT due to identified factors such as isolation, climate challenges, limited market engagement potential, and weak infrastructure.
Finally, we note instances of RT dominated by a single factor. Specifically, we have identified transformation processes dominated by the increase in non-farm employment and not in the shift to high-value agriculture. One potential explanation may be barriers to labor mobility. Indonesia’s archipelago economy poses challenges to labor mobility, whereas Bangladesh’s smaller land size facilitates greater mobility, and China has created an environment which significantly enables labor movement, which may explain this observation. In Indonesia, the mining boom has not necessarily translated into regional infrastructure development. Additionally, where labor mobility is constrained, such as in Indonesia, localized non-farm employment opportunities within the expanding mining sector may have emerged, effectively absorbing the available labor force. This localized absorption suggests a unique RT dynamic that warrants further exploration regarding economic inclusiveness and sustainability across the archipelago.

4.2. Policy Implications

RT is a complex and dynamic process, varying significantly at a granular level across countries and regions. The implementation of national policies and approaches often leads to some regions benefiting more than others, and rapid RT seems to create winners and losers, whereas a slower approach may create the potential for a more equitable outcome. We also observe that RT is dominated in some instances by the contribution from NFRE and at other times HVAP, and in each instance, a combination of these factors in the five/six common types identified.
In these conditions we recommend/suggest a number of considerations for policy makers. Firstly, policies must be dynamic, with the capacity to respond to changing circumstances within a specific context. Secondly, policy makers should consider the desired approach to achieve effective RT with consideration of differing spatial outcomes, accounting for varying rates of change, and strive to mitigate polarization by focusing on more equitable results. Thirdly, where an outcome seeks to achieve a balance between the move into non-farm employment and into high-value agriculture, policies need to enable movement from commodity grains into higher-value agriculture products by easing land inheritance/ownership and land tenure, supporting mechanization, diversification, on-farm investment, availability of technology, facilitation for certification of processed food, and importantly, the capacity of farmers and their value chain partners to profitably engage in these high-value agricultural sectors. Here, policy makers could also consider non-farm employment dynamics to enable agricultural employment to move into rural value chain employment, providing specialized services to improve overall agricultural value chain effectiveness. Fourthly, policy makers need to be aware of the opportunities, and possibly challenges, through spillover effects that can improve rural food security and dietary diversity. And finally, it is important to balance the policy need for rapid rates of change in RT versus the policy intention and ambition to achieve greater equity.
Importantly, we encourage lessons on RT to be shared (as this article is trying to accomplish), but change needs to be contextualized and continually reviewed and adjusted based on the positioning of the RT process.

4.3. Future Research

From our research, we suggest two possible research areas for further investigation. The first relates to our observation of the significant spatial and temporal differences at the regional level. From this, it could be theorized that even within these regions, the transformation and the benefits of the transformation could be unevenly distributed. As such, further research requiring household-level analysis is warranted.
Our final observation relates to our second suggested area of future research, noting the identified interest in greater equity. Our analysis is focused on taking an economic perspective of RT, where we consider the effect on rural incomes to address poverty and achieve SDG1. We believe there are significant lessons to draw from understanding the RT process from an economic perspective to address the emerging challenges for the agricultural sector in sustainability and environmental stewardship. We consider there to be significant benefit in learning lessons on RT to proactively support that capacity of the sector at a global, national, regional, and household level for what could be described as a Green Rural Transformation (GRT) to address not only the interest in economic development but to also address the challenges within the agri-food sector related to its contribution to, and the impact of, climate change.

Author Contributions

P.S., D.W. and D.S. contributed equally. Conceptualization, D.W., C.C. and J.H.; methodology, P.S., D.W. and J.H.; software, P.S. and D.W.; formal analysis, P.S., D.S. and D.W.; data collection, P.S., A., M.J.A., A.H., N.N. and T.S.; writing—original draft preparation, P.S., D.W. and D.S.; writing—review and editing, D.S., A., M.J.A., C.C., J.H., A.H., N.N. and T.S. All authors have read and agreed to the published version of the manuscript.

Funding

This research was funded by the Australian Centre for International Agricultural Research (ACIAR), grant number ADP/2017/024, ‘Understanding the drivers of successful and inclusive rural regional transformation: Sharing experiences and policy advice in Bangladesh, China, Indonesia and Pakistan’; and the National Natural Science Foundation of China, grant number 72433001 and 71934003.

Data Availability Statement

The original contributions presented in this study are included in the article. Further inquiries can be directed to the corresponding author.

Acknowledgments

The authors gratefully acknowledge ACIAR for funding this project. We also extend our sincere thanks to Christopher Findlay for his valuable comments and suggestions. We thank all project team members from Bangladesh, China, Indonesia, and Pakistan for their invaluable contributions to data refinement, validation, and manuscript development. Particularly, we thank (in no particular order) Syamsul Hidayat Passaribu, Farah Naz, Ismat Ara Begum, Subrata Saha, Al Amin Al Abbasi, Asif Iqbal, Shahid Shabir, Shujjat, Farooq, Chenghao Liao, and Helena Purba for their great assistance.

Conflicts of Interest

The authors declare no conflicts of interest. The funders had no role in the design of the study; in the collection, analyses, or interpretation of data; in the writing of the manuscript; or in the decision to publish the results.

Abbreviations

The following abbreviations are used in this manuscript:
SDGsSustainable Development Goals
RTRural transformation
HVAPHigh-value agricultural products
NFRENon-farm rural employment
IFADInternational Fund for Agricultural Development
FAOFood and Agriculture Organization of the United Nations
IFPRIInternational Food Policy Research Institute
LowessLocally Weighted Scatterplot Smoothing
GISGeographic Information Systems
SMEsSmall and medium-sized enterprises
TVEsTownship and village enterprises
GRTGreen Rural Transformation

References

  1. United Nations. The Sustainable Development Goals Report 2023. Available online: https://unstats.un.org/sdgs/report/2023/ (accessed on 18 January 2025).
  2. Liu, Y. Rural Transformation Development and New Countryside Construction in Eastern Coastal Area of China. Acta Geogr. Sin. 2007, 62, 563–570. [Google Scholar] [CrossRef]
  3. Otsuka, K.; Zhang, X. Transforming of the Rural Economy. In Agricultural Development: New Perspectives in a Changing World; CGIAR: Montpellier, France, 2021. [Google Scholar]
  4. Ambikapathi, R.; Baye, K.; Cavatassi, R.; Schneider Lecy, K.; Davis, B.; Neufeld, L.M. Resilient and Inclusive Rural Transformation: Pathways towards Improved Nutrition. Glob. Food Secur. 2025, 46, 100871. [Google Scholar] [CrossRef]
  5. Huang, J. Facilitating Inclusive Rural Transformation in the Asian Developing Countries. World Food Policy 2018, 4, 31–55. [Google Scholar] [CrossRef]
  6. Shi, P.; Huang, J. Rural Transformation, Income Growth, and Poverty Reduction by Region in China in the Past Four Decades. J. Integr. Agric. 2023, 22, 3582–3595. [Google Scholar] [CrossRef]
  7. Sudaryanto, T.; Erwidodo Dermoredjo, S.; Purba, H.; Rachmawati, R.; Irawan, A. Regional Rural Transformation and its Association with Household Income and Poverty Incidence in Indonesia in the Last Two Decades. J. Integr. Agric. 2023, 22, 3596–3609. [Google Scholar] [CrossRef]
  8. Abedullah Farooq, S.; Naz, F. Developing Strategy for Rural Transformation to Alleviate Poverty in Pakistan: Stylized Facts from Panel Analysis. J. Integr. Agric. 2023, 22, 3610–3623. [Google Scholar] [CrossRef]
  9. Al Abbasi, A.A.; Alam, M.J.; Saha, S.; Begum, I.A.; Rola-Rubzen, M.F. Impact of Rural Transformation on Rural income and Poverty for Sustainable Development in Bangladesh: A Moments-quantile Regression with Fixed-effects Models Approach. Sustain. Dev. 2025, 33, 2951–2974. [Google Scholar] [CrossRef]
  10. Huang, J. Rural Revitalization: Rural Transformation, Structural Transformation and Government’s Functions. Issues Agric. Econ. 2020, 1, 4–16. [Google Scholar]
  11. Chen, Q.; Huang, J.; Sombilla, M.; Truong, T. Structural and Rural Transformations and Poverty Reduction in Developing Asian Economies: An International Comparison Among China, the Philippines, and Vietnam. Land 2025, 14, 350. [Google Scholar] [CrossRef]
  12. Wang, D.; Chen, C.; Findlay, C.; Huang, J.; Lin, J.Y.; Abedullah Alam, M.J.; Hussain, A.; Nuryartono, N.; Sudaryanto, T.; Shearer, D. Stage Segmentation of Rural Transformation and Comparisons Among Bangladesh, China, Indonesia, and Pakistan: Combining Machine Learning and New Structural Economics to Facilitate International Agricultural Development and Policy Design. Asia Pac. Policy Stud. 2025, 12, e70016. [Google Scholar] [CrossRef]
  13. Huang, J.; Shi, P. Regional Rural and Structural Transformations and Farmer’s Income in the Past Four Decades in China. China Agric. Econ. Rev. 2021, 13, 278–301. [Google Scholar] [CrossRef]
  14. Custodio, K.; Sombilla, M. Rural Transformation in the Philippines and the Role of Institutions, Policies, and Investments. Land 2025, 14, 253. [Google Scholar] [CrossRef]
  15. Wang, D.; Chen, C.; Findlay, C. A Review of Rural Transformation Studies: Definition, Measurement, and Indicators. J. Integr. Agric. 2023, 22, 3568–3581. [Google Scholar] [CrossRef]
  16. International Fund for Agricultural Development. Rural Development Report 2016: Fostering Inclusive Rural Transformation. 2016. Available online: https://www.ifad.org/en/w/publications/rural-development-report-2016 (accessed on 20 February 2025).
  17. Food and Agriculture Organization of the United Nations. The State of Food and Agriculture: Leveraging Food System for Inclusive Rural Transformation. 2017. Available online: https://openknowledge.fao.org/server/api/core/bitstreams/bac1f1eb-a7fa-4002-af0f-1bb11da4f52a/content (accessed on 30 April 2025).
  18. International Food Policy Research Institute. 2019 Global Food Policy Report. 2019. Available online: https://reliefweb.int/report/world/2019-global-food-policy-report (accessed on 26 January 2025).
  19. Shi, P.; Huang, J. Irrigation Expansion and Rural Transformation in China: Evidence of Provincial Data in 1978–2018. Asia Pac. Policy Stud. 2025, 12, e70012. [Google Scholar] [CrossRef]
  20. Saha, S.; Alam, M.; Abbasi, A.; Begum, I.; Rola-Rubzen, M.; Parikh, P.; Mckenzie, A. Can Credit Promote Rural Transformation? Evidence from District-level Data in Bangladesh. Humanit. Soc. Sci. Commun. 2025, 12, 310. [Google Scholar] [CrossRef]
  21. Meyer, M.A.; Broome, F.R.; Schweitzer, R.H., Jr. Color Statistical Mapping by the U.S. Bureau of the Census. Am. Cartogr. 1975, 2, 101–117. [Google Scholar] [CrossRef]
  22. Chen, C.; Findlay, C.; Watson, A.; Zhang, X. Rural Enterprise Growth in a Partially Reformed Chinese Economy. In Rural Enterprises in China, 1st ed.; Findlay, C., Watson, A., Wu, H.X., Eds.; Palgrave Macmillan: Basingstoke, UK, 1994; pp. 4–23. [Google Scholar] [CrossRef]
Figure 1. Share of high-value agricultural products in Bangladesh, China, Indonesia, and Pakistan in recent four decades.
Figure 1. Share of high-value agricultural products in Bangladesh, China, Indonesia, and Pakistan in recent four decades.
Land 14 02344 g001
Figure 2. Share of non-farm rural employment in Bangladesh, China, Indonesia, and Pakistan in recent four decades.
Figure 2. Share of non-farm rural employment in Bangladesh, China, Indonesia, and Pakistan in recent four decades.
Land 14 02344 g002
Figure 3. Rural transformation in Bangladesh between 1995 and 2016.
Figure 3. Rural transformation in Bangladesh between 1995 and 2016.
Land 14 02344 g003
Figure 4. Rural transformation in China between 1978 and 2018. (Disclaimer: the boundaries and names shown on this map do not imply official endorsement or acceptance by the authors or the publisher. The boundaries and names are for illustrative purposes only and do not imply the expression of any opinion concerning the legal status of any territory, the delimitation of frontiers, or boundaries.).
Figure 4. Rural transformation in China between 1978 and 2018. (Disclaimer: the boundaries and names shown on this map do not imply official endorsement or acceptance by the authors or the publisher. The boundaries and names are for illustrative purposes only and do not imply the expression of any opinion concerning the legal status of any territory, the delimitation of frontiers, or boundaries.).
Land 14 02344 g004
Figure 5. Rural transformation in Indonesia between 2001 and 2019.
Figure 5. Rural transformation in Indonesia between 2001 and 2019.
Land 14 02344 g005
Figure 6. Rural transformation in Pakistan between 1981 and 2019.
Figure 6. Rural transformation in Pakistan between 1981 and 2019.
Land 14 02344 g006
Table 1. Indicators for pathway of rural transformation.
Table 1. Indicators for pathway of rural transformation.
IndicatorsDefinitions
Share of high-value agricultural products (HVAP)Bangladesh: output values of horticulture, livestock, and fishery in total agricultural output values
China: output values of horticulture, livestock and fishery in agricultural output values (excluding forestry)
Indonesia: horticulture, livestock products, and estate crops.
Pakistan: output values of cotton, oil crops, sugar crops, horticulture, and livestock in agricultural output values (excluding fishery)
Share of non-farm rural employment (NFRE)Rural non-agricultural employment divided by total rural labor force
Table 2. Color classification.
Table 2. Color classification.
High HVAPPurple-magentaMagenta-violetDeep indigo-blue
Medium HVAPMauveGrayish lavenderTeal-blue
Low HVAPLight dusty roseLight aqua-tealBright cyan-turquoise
Low NFREMedium NFREHigh NFRE
Disclaimer/Publisher’s Note: The statements, opinions and data contained in all publications are solely those of the individual author(s) and contributor(s) and not of MDPI and/or the editor(s). MDPI and/or the editor(s) disclaim responsibility for any injury to people or property resulting from any ideas, methods, instructions or products referred to in the content.

Share and Cite

MDPI and ACS Style

Shi, P.; Wang, D.; Shearer, D.; Abedullah; Alam, M.J.; Chen, C.; Huang, J.; Hussian, A.; Nuryartono, N.; Sudaryanto, T. Regional Rural Transformation Pathways: A Spatial–Temporal Comparison of Bangladesh, China, Indonesia, and Pakistan. Land 2025, 14, 2344. https://doi.org/10.3390/land14122344

AMA Style

Shi P, Wang D, Shearer D, Abedullah, Alam MJ, Chen C, Huang J, Hussian A, Nuryartono N, Sudaryanto T. Regional Rural Transformation Pathways: A Spatial–Temporal Comparison of Bangladesh, China, Indonesia, and Pakistan. Land. 2025; 14(12):2344. https://doi.org/10.3390/land14122344

Chicago/Turabian Style

Shi, Pengfei, Dong Wang, David Shearer, Abedullah, Mohammad Jahangir Alam, Chunlai Chen, Jikun Huang, Abid Hussian, Nunung Nuryartono, and Tahlim Sudaryanto. 2025. "Regional Rural Transformation Pathways: A Spatial–Temporal Comparison of Bangladesh, China, Indonesia, and Pakistan" Land 14, no. 12: 2344. https://doi.org/10.3390/land14122344

APA Style

Shi, P., Wang, D., Shearer, D., Abedullah, Alam, M. J., Chen, C., Huang, J., Hussian, A., Nuryartono, N., & Sudaryanto, T. (2025). Regional Rural Transformation Pathways: A Spatial–Temporal Comparison of Bangladesh, China, Indonesia, and Pakistan. Land, 14(12), 2344. https://doi.org/10.3390/land14122344

Note that from the first issue of 2016, this journal uses article numbers instead of page numbers. See further details here.

Article Metrics

Article metric data becomes available approximately 24 hours after publication online.
Back to TopTop