Abstract
Wheat is the most consumed crop worldwide. Zeolite application combined with good tillage practices are good combinations that provide better soil conditions for wheat crops. Zeolite also provides a good layer for carbon to be absorbed into the soil and can retain carbon for hundreds of years. The current study aimed to investigate the effect of tillage practices and zeolite treatments on soil carbon retention and wheat crop productivity. Arranging the treatments implemented according to a factorial randomized block design which includes three replications. Tillage treatments include three levels vis: T1= 6 tillage practices with the help of cultivator (farmer practice/control), T2 (minimum tillage), and T3 (2 cultivation with cultivator + Mold-board plough). The zeolite applications consist of four levels: Z1 = 0, Z2 = 5, Z3 = 10 and Z4 = 15 t ha−1. The effect of the interaction between zeolite treatments and tillage practices on various factors related to soil and crops such as emission of carbon dioxide (CO2), dissolved organic carbon, soil organic carbon, and the productivity and components of wheat productivity. Zeolite applied at 10 t ha−1 in combination with minimum tillage gave significant differences in terms of CO2 emission, dissolved organic carbon, and on soil organic carbon. The experimental results showed that minimum CO2 emission (25.43 and 31.12 (kg CO2-C ha−1 h−1), dissolved organic carbon (4.80 and 4.90 g C kg−1), soil organic carbon (7.88 and 7.97 g C kg−1), plant height (92.14 and 92.97 cm), spike length (11.88 ad 12.11 cm), number of spikelets (20.11 and 20.98), number of tillers (278.65 and 283.93) per unit area, 1000 grain weight (50.74 and 51.54 g), biological yield (8134.87 and 8187.38 kg ha−1) and grain yield (2984.28 and 3028.96 kg ha−1) and harvest index (36.69 and 37.04%) of wheat was observed in zeolite applied at 10 t ha−1 with minimum tillage practice (T2 × Z3) compared to control and other treatments for both the years, respectively. It is therefore concluded that minimum tillage should be practiced in wheat crops with the application of zeolite at 10 t ha−1 to obtain better yield and soil carbon retention under rain-fed conditions.
1. Introduction
In Pakistan during 2022–2023, wheat was cultivated on 9043 thousand hectares as compared to last year’s area of 8977 thousand hectares recorded an increase of 0.7 percent [1]. Wheat contributes to 8.2% of value added in agriculture and 1.9% to GDP. The overall production of wheat stood at 27.634 million tonnes in 2023 compared to 26.208 million tonnes in 2022, which shows a growth of 5.4% in wheat production. Wheat is an annual grass that can attain a height of ½ to 1 ¼ meters with the characteristic of long stalks and spikes formed with many kernels [2]. Due to wheat’s high nutritional value and better grain quality, it is grown all over the world, along with maize and rice. It is used in the production of many items of food like bread, biscuits, feeds, and confectionery. This crop is mainly grown under irrigated conditions with a water requirement ranging from about 18 to 22 inches per acre. In human nutrition, wheat is one of the best sources of carbohydrates. Pakistan ranked tenth among the top wheat-producing countries. However, wheat production in Pakistan is limited to only 25–35% and has not exceeded. This may be due to some adverse factors such as less availability of water, uncertain climates, more emission of carbon from the soil, and availability of proper fertile land [3], which badly affects wheat yield and productivity. Wheat production can be enhanced to a great extent by the use of good inputs, advanced production techniques, and appropriate tillage technologies. Because of these factors yield of wheat is affected, as they affect the chemical and physical properties of the soil and water [4]. Tillage practices play a very crucial role in crop production. It adds up to 20% among different production factors of wheat [5]. Soil is deteriorating day by day due to the use of repetitive and unwanted conventional tillage practices. Therefore, there is a need to promote proper utilization of water in wheat cultivation, control the soil erosion process, and enhance crop productivity with an emphasis on shifting to reduced and zero-tillage [6]. Because of the benefits from zero tillage, i.e., more yield, cost-effectiveness, and significant savings in water, soil quality, and inputs, nowadays research work on zero tillage technology has been under serious consideration. It enables farmers to sow wheat at the proper time with good crop establishment. Zero and minimum tillage practices can reduce the expenditure of water and to buildup of seedbeds by about 30% [7]. Zero and minimum tillage practices can give better results than other tillage operations as these are less costly compared to other tillage systems [8]. Deep tillage has several disadvantages because it can break up the tiller bed, increase surface run-off, and deep leaching of nutrients that become unavailable to plants [9]. Recently, along with the use of less tillage practices zeolite is now mostly used in agriculture practices as a source of inorganic soil amendment. It reduces nitrogen leaching, enhances nitrogen use efficiency, and improves crop productivity. Zeolites have many properties that can improve crop productivity, these include crystalline nature with hydrated alumino-silicates, having the characteristics of high cation exchange capacity and water holding capacity [10]. The other advantages of zeolite include that it has the ability to provide plant nutrients especially NH4+ which has been used to enhance soil nitrogen retention and nitrogen availability to plants [11]. Zeolites have been found to increase nitrogen use efficiency and enhance the productivity of many crops such as spinach [12], canola [13], corn, rice, and wheat [14]. There is now much research about the effects of zeolite application on agronomic characteristics of wheat under irrigated conditions, but few of these studies have examined its effect on wheat under rain-fed conditions. In addition, zeolite could also increase water use efficiency by improving soil water retention capacity and water availability to plants using it under water shortage conditions [15]. Natural zeolites have the ability to enhance crop water use efficiency and to also control nutrient leaching [16]. Application of zeolite at a rate of 8 g/kg significantly enhanced the water use efficiency (WUE) of cereal crops and obtained the highest value [17]. Zeolite dosage at 90 t/hm2 and irrigation levels at 100% ET obtained the highest WUE of wheat, maize, strawberry, and common bean [18]. Due to the ability of zeolite to retain water in itself and thus, increase water availability to the plant under water stress conditions [19]. Combining zeolite application with appropriate tillage combinations can reduce irrigation water and nitrogen loss and enhance cereal grain yield [18].
The aim of this research was to investigate whether zeolite application and different tillage practices affect the soil carbon content and wheat productivity. Therefore, the current research hypothesis was to study the effect of zeolite concentrations and tillage practices under field conditions to improve soil carbon content, yield, and yield-related attributes of wheat.
2. Materials and Methods
A two-year field trial was conducted from June 2021 to May 2023 at the Agriculture Research Farm, Hazara University Mansehra, Pakistan to study the effect of different tillage practices and zeolite doses on wheat (Triticum aestivum L.) yield and soil carbon. Previously, the field was fallow, i.e., no crop was sown on it. Moreover, no fertilizer and tillage were applied in the field. The soil of the study area was clay loam with pH ranging from 7 to 8. A randomized factorial block design consisting of two factors with three replicates and an area of 5 × 8 m2 was used. The first factor of the experiment was three levels of tillage practices; T1: Control or farmer practice (6 cultivations with cultivator), T2: minimum tillage (2 tillage practices) with cultivator, and T3: 1 Mold-board plough + 2 cultivations with cultivator and the second factor was the provision of zeolite consist of four levels. The zeolite dosages consist of four levels: Z1 = 0, Z2 = 05, Z3 = 10, and Z4 = 15 t ha−1. Wheat was planted using seeds at a seed rate of 120 kg ha−1 leaving a distance of 12 cm between rows. NPK fertilizer was applied at a rate of 35–40–20 kg ha−1 from sources of urea, diammonium phosphate, and potassium sulphate, respectively. Sowing was performed using a seed drill. All fertilizers were applied as a base dose at the time of planting and no fertilizers were applied during the entire wheat growth period. Zeolite was applied before the onset of monsoon rains so that proper mixing was possible, and no subsequent doses of zeolite were applied during the wheat growing season. Tillage practices especially minimum tillage and the use of mold-board plough during monsoon were chosen because, in rain-fed areas, farmers use conventional techniques, which results in lower yields. Here, the concept of minimum tillage practices was introduced in these areas so that farmers can obtain maximum yield with smart use of water, which is lost using conventional tillage. Zeolite doses were chosen on the basis of the soil condition of rain-fed areas due to their role in improving soil physical and chemical structure. Moreover, these zeolite doses also suit the soil of these areas. Tillage treatment T1 involves performing 6 cultivations using a cultivator. A plank was used to level the ground after each ploughing. In the tillage treatment, two tillage operations were carried out before the onset of monsoon whereas, other four tillage practices were carried out before planting the crop. In T2 only two cultivator-assisted tillage practices were used before planting. In tillage treatment, T3, one tillage practice was carried out using a plow before the onset of monsoon and two more tillage practices were carried out using a cultivator before wheat planting.
2.1. Soil Sampling
Three random soil samples were taken at a depth of 0–15 cm after each tillage practice and before sowing the wheat during the two years of the study from each treatment in three different locations and a composite sample was taken after that. After collecting the samples, they were placed for 48 h at 105 °C to dry and then sieved through a 2 mm stainless steel sieve and stored in glass jars. Soil samples were collected to calculate soil organic carbon, dissolved organic carbon, and carbon emission.
2.2. Carbon Emission
Soil CO2 emission was measured using the static chamber method through CO2 meter (Lutron GC-2028, Lutron manufacturer, Taipei, Taiwan). The fiber chamber rim was fixed in a collar groove that was used in the field according to random determination of the gas flow. After 30 days, the gas percentage was measured. It was noted by transformation in headspace concentration over a specific duration using the formula:
dGas/dt refers to the change in concentration over time and measured in ppm h−1; Vchamber is the volume of the chamber, P is atmospheric pressure, MW is the molecular weight, R is a gas constant, 8314 J mol−1 K−1, T is the required temperature taken in Kelvin and A is the chamber area. The flux of CO2 gas was taken by a hectare and converted into kg CO2-C ha−1 h−1 [20].
2.3. Dissolved Organic Carbon
Dissolved Organic Carbon (DOC) was calculated by taking 2 g of soil material and shaking it in 20 mL of distilled water for 24 h and dissolved C was analyzed on a total organic carbon (TOC) analyzer [21].
2.4. Soil Organic Carbon
Soil organic carbon (SOC) was measured by taking 1 g of soil into a 500 mL beaker. Then, ten mL of 1 N potassium dichromate solution and 20 mL of concentrate H2SO4 was added into the beaker and stirred to mix the suspension. The suspension was then set for 30 min. Then, 200 mL of distilled water was added after adding 10 mL of H3PO3 to the suspension. Then, 10 drops of diphenylamine indicator were added, and the solution was titrated with 0.5 N solution of ferrous ammonium sulphate until the color changed from blue to sharp green [22]. Percentage of total organic carbon (w/w) = 1.334 × oxidizable organic Carbon.
2.5. Plant Data Collection and Analysis
Wheat plant height was measured by taking 10 plants randomly from each plot and the average was determined. The length of the spike, the number of spikelets per spike, and 1000 grain weight were determined by randomly selecting 10 plants from each plot. The Number of tillers per unit area was calculated by placing the quadrat of 1 m2 at different places of each plot. Biological yield was taken by taking the weight of above-ground biomass of all wheat plants from each plot and then taking the total biomass. Grain yield was taken by removing grains from each spike in kg ha−1. The harvest index (HI) was determined as a percentage by dividing the grain yield of the wheat crop by the biological yield and then multiplying it by 100.
The data was analyzed statistically to learn the difference between the treatments by using SPSS software v. 1.7. The least significant difference within treatment was calculated at p ≤ 0.05.
3. Results
Regarding the means for soil carbon emission, tillage practices and zeolite treatments significantly (p ≤ 0.05) affected soil carbon emission. Tillage practice T1 (Control) and zeolite treatment Z1 (0 t ha−1) during the first study year recorded a CO2 emission of 49.22 kg CO2-C ha−1 h−1 while 52.24 kg CO2-C ha−1 h−1 during the second year, which was the maximum among all treatments (Figure 1A,D). The interaction between T2 (minimum tillage) practice and Z3 zeolite treatment (10 t ha−1) revealed the lowest CO2 emission which was about 26.47 kg CO2-C ha−1 h−1 during the first year and 32.67 kg CO2-C ha−1 h−1 during the second year (Figure 1A,D).
Figure 1.
Effect of tillage operations and zeolite levels on CO2 emission (A,D), dissolved organic carbon (B,E), and Soil organic carbon (C,F).
Dissolved organic carbon was also significantly (p ≤ 0.05) affected by zeolite and tillage practices interaction. The data regarding dissolved organic carbon (DOC) showed that the lowest DOC found in T1 × Z1, i.e., no zeolite and zero tillage which was about 3.16 g C kg−1 during the first year and 3.79 g C kg−1 during the second year, whereas wheat crops in minimum tillage practices supplied with 10 t ha−1 recorded the highest DOC 4.9 g C kg−1 during the first year and 5.1 g C kg−1 during the second year (Figure 1B,E). The interaction between T2 × Z1 and T2 × Z2 gave the nominal values (Figure 1B,E).
Significant (p ≤ 0.05) differences were observed for soil organic carbon. Data on soil organic carbon (SOC) revealed that T1 × Z1, i.e., control treatment gave SOC (2.63 g C kg−1) during the first year and 3.87 g C kg−1 during the second year (Figure 1C,F). Interaction of T2 × Z3 gave 7.97 g C kg−1 SOC during the first year and 8.34 g C kg−1 during the second year. Interaction of T2 × Z3 gave statistically (p ≤ 0.05) higher SOC (69.36%) than T1 × Z1 (Figure 1C,F).
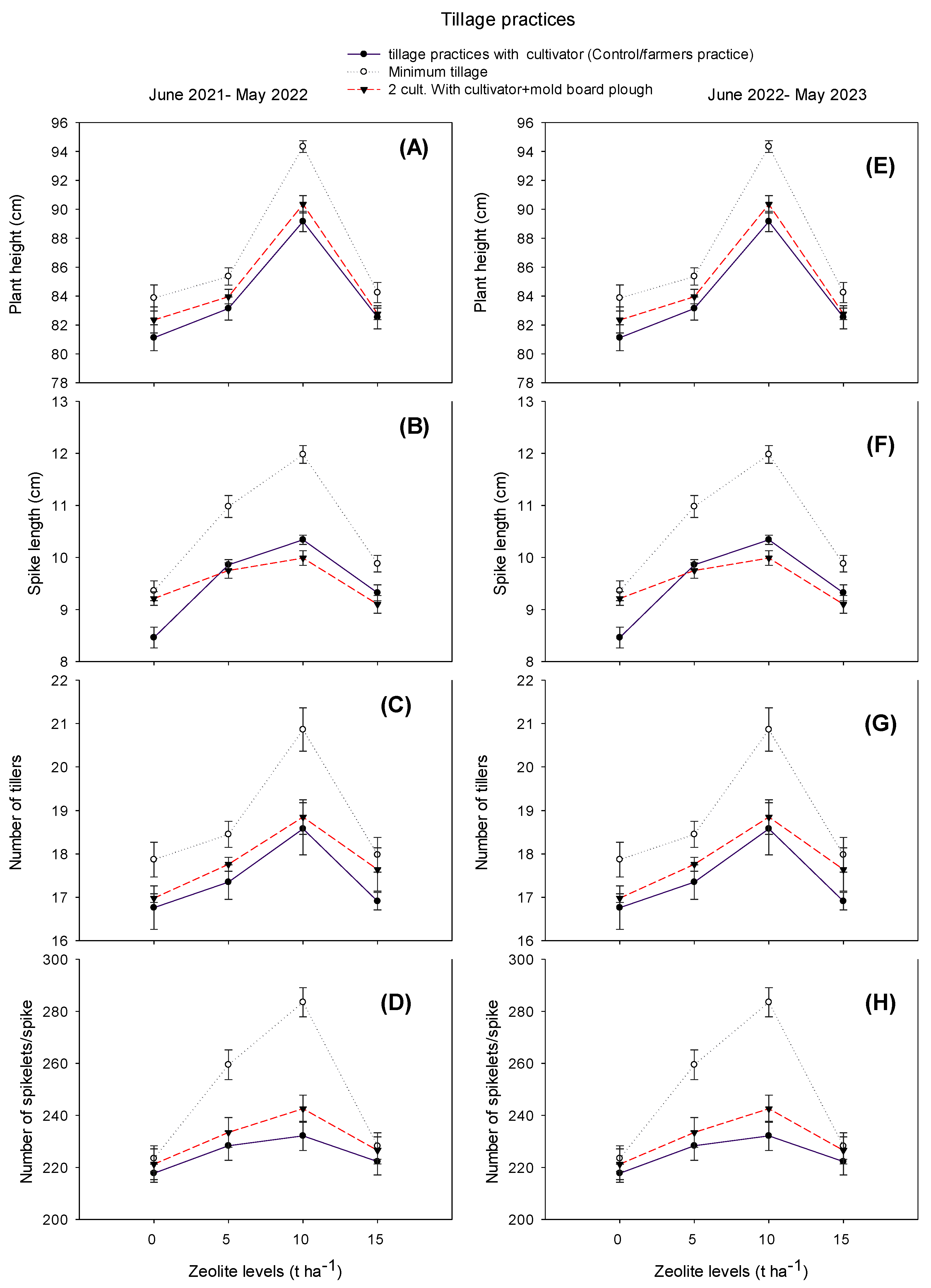
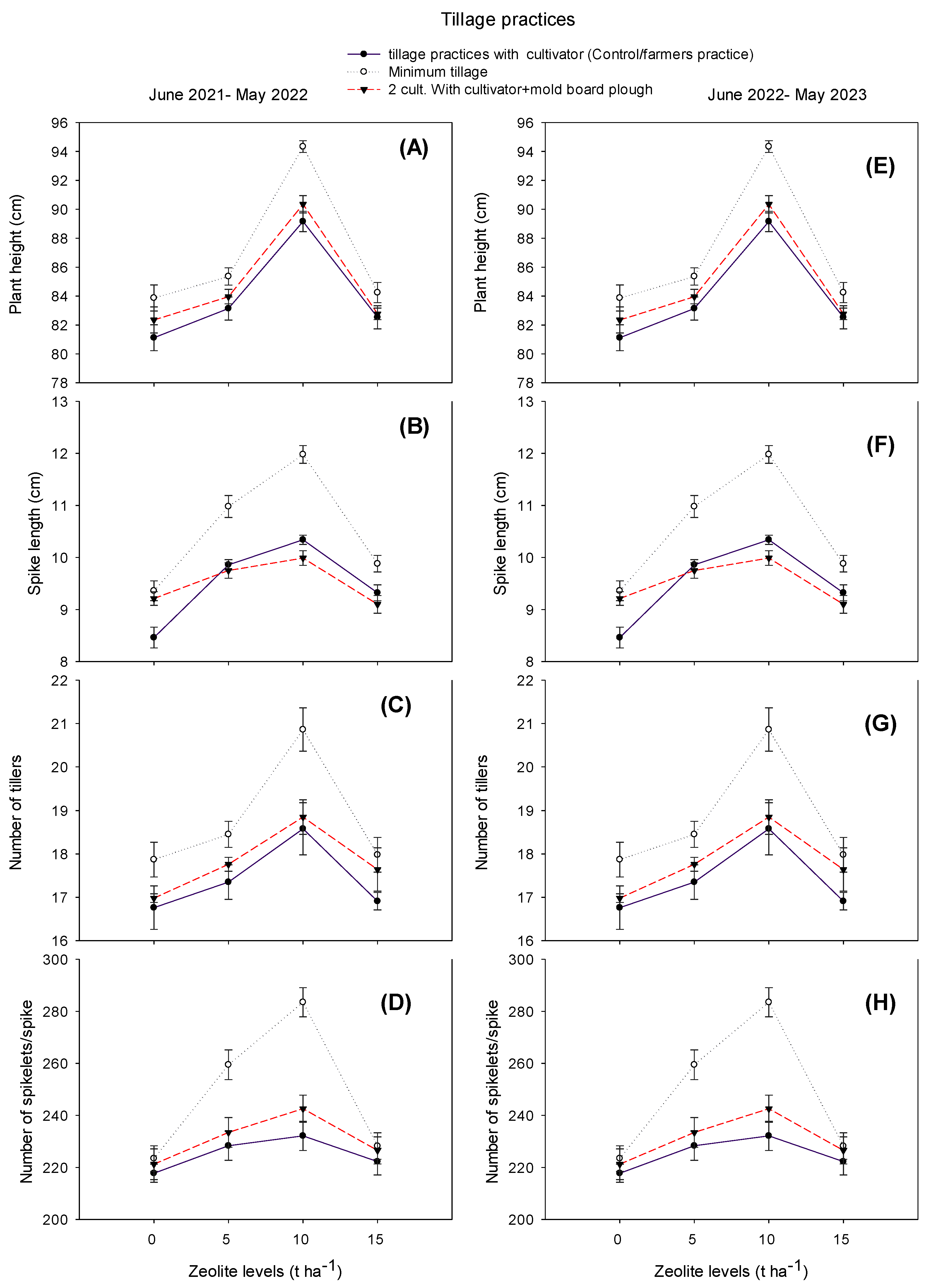
Wheat productivity indicators were also analyzed to determine the effect of tillage practices and different zeolite doses and showed significant (p ≤ 0.05) for the growth and yield attributes of wheat. The data revealed that maximum plant height (92.14 and 92.97 cm) was observed in wheat crops with minimum tillage practice and zeolite at 10 t ha−1 during the 1st year and 2nd year growing season, respectively, which was statistically different (p ≤ 0.05) from the rest of the treatments followed by T2 × Z3 interaction. The lowest SOC (80.12 and 80.98 cm) was obtained in T1 × Z1 during the 1st and 2nd year of study, respectively (Figure 2A,E). T1 × Z1 and T1 × Z4 interaction gave results that are statistically at par (p ≤ 0.05) similar to each other. Interaction of T2 × B3 gave 12.45% more plant height as compared to T1 × Z1 (Figure 2A,E). During both years, the maximum spike length (11.98 and 12.11 cm) was observed in T2 × Z3 while the minimum spike length (8.112 and 8.87 cm) was observed in T1 × Z1, (Figure 2B,F). On a percentage basis, T2 × Z3 gave 42.43% greater height length than T1 × Z1. The results for the number of tillers revealed that during both study years, the minimum number of tillers (215.32 and 217.27) per unit area resulted from the T1 × Z1 interaction while the interaction of minimum tillage with 10 t ha−1 zeolite concentrations produced significantly (p ≤ 0.05) higher number of tillers (278.65 and 283.93) per unit area for 1st and 2nd year of study, respectively, (Figure 2C,G). During both years, T2 × Z3 showed an increase in tillering by 30.44% per unit area as compared to T1 × Z1.
Figure 2.
Effect of tillage operations and zeolite levels on plant height (A,E), spike length (B,F), number of tillers (C,G), and number of spikelets/spike (D,H).
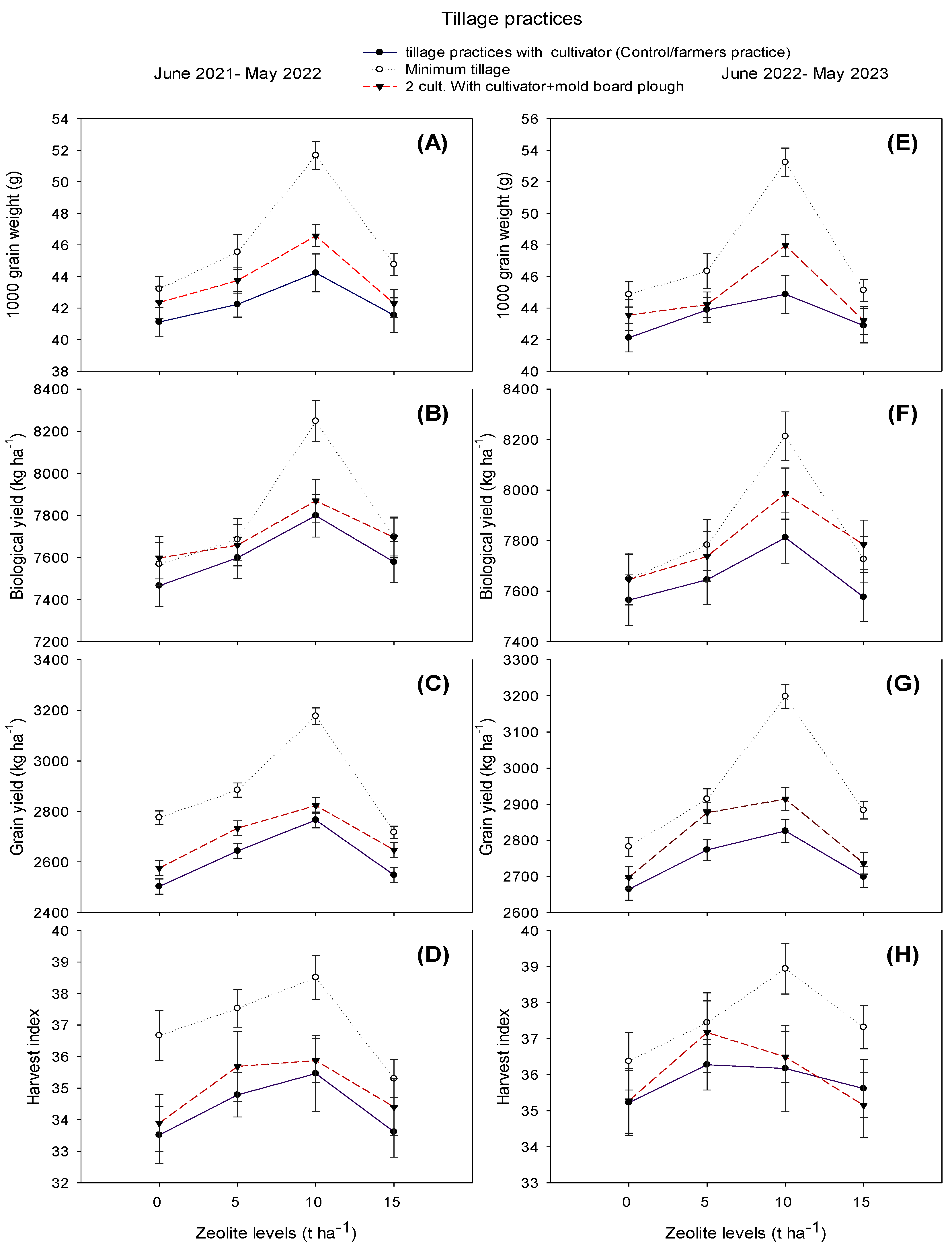
The number of spikelets/spike was significantly (p ≤ 0.05) affected by tillage practices and zeolite interaction. During both years of study, T2 × Z3 recorded the highest (20.11 and 20.98 spikelets/spike whereas minimum spikelets/spike (16.27 and 16.97) was obtained from wheat plants in the control treatment, i.e., T1× Z1 (Figure 2D,H). The T2× Z3 interaction gave 23.98% more spikelets/spike than T1 × Z1. The combination of tillage practices and zeolite concentration had a significant (p ≤ 0.05) effect on 1000-grain weight. The maximum value of 1000 grain weight (50.74 and 51.54 g) was observed during both years of the study when minimum tillage was practiced in wheat fields and 10 t ha−1 of zeolite concentrations. The minimum value is given by T1 × Z1, which was 41.62 g (Figure 3A,E). The mean percentage difference between these two reactions was 26.02%. Significant (p ≤ 0.05) variation was recorded for the biological yield of wheat crops with the combined effect of tillage practices and zeolite concentrations. It is evident from Figure 3B,F that during both the study years, the T2 × Z3 interaction gave the maximum biological yield (8134.87 and 8178.31 kg ha−1) which was statistically (p ≤ 0.05) different from the other treatments. Minimum biological yield (7398.35 and 7483.29 kg ha−1) was observed in T1 × B1, i.e., control treatment (Figure 3B,F). The T2 × Z3 reaction gave a 9.52% greater biological yield compared to the T1 × Z1.
Figure 3.
Effect of tillage operations and zeolite levels on 1000 grain weight (A,E), biological yield (B,F), grain yield (C,G), and harvest index (D,H).
The results for grain yield showed significant differences sown under different tillage practices and zeolite concentrations. Wheat crop is grown under minimum tillage and 10 t ha−1 significantly (p ≤ 0.05) increased grain yield (2754.98 and 2863.39 kg ha−1) in both years, respectively, whereas, minimum grain yield (2438.39 and 2576.22 kg ha−1) was recorded in the control treatment, i.e., T1 × Z1 (Figure 3C,G). The values of T1 × Z2 and T1 × Z3 interactions were found to be statistically similar (p ≤ 0.05) to each other (Figure 3C,G). The harvest index was significantly affected by tillage practice and zeolite concentrations. The data revealed that the maximum harvest index (36.69 and 37.54%) during the two years of the study was observed at T2 × Z3 while the minimum harvest index (32.96 and 34.43%) was given by T1 × Z1 (Figure 3D,H). During both years of the study, the harvest index recorded in T1 × Z1 was statistically (p ≤ 0.05) at par with T1 × Z4 interactions (Figure 3D,H).
3.1. Correlation Analysis
The heat map displays correlation coefficients between agricultural traits. Significant positive correlations were observed between plant height (PH) and spike length (SL), suggesting a potential link in growth traits. A similarly strong positive relationship exists between biological yield (BY) and grain yield (GY), meaning that increases in total plant biomass are closely related to harvestable grain production. Conversely, harvest index (HI), correlates poorly with both morphological and production traits, indicating that the efficiency of biomass conversion to grain is governed by mechanisms that largely depend on plant size and total production (Figure 4).
Figure 4.
Heat map Correlation of Agronomic Traits in Plant Germplasm. The heatmap details the Pearson correlation coefficients among selected traits with strong correlations shown in red and weak correlations in blue ranging from −1 (perfect negative correlation, displayed in blue) to +1 (perfect positive correlation, displayed in red).
3.2. Principal Component Analysis
The Principal Component Analysis (PCA) biplot depicts the relationship between different agronomic traits and the first two principal components explain the cumulative variance of 95.92%, with PC1 accounting for 91.58% and PC2 for 4.34%. Vectors represent individual traits, and their direction and length indicate their contribution and association with the respective principal components. The biplots show that plant height (PH) and biological yield (BY) are closely related to PC1, indicating that they contribute significantly to the variance along this principal component. Likewise, spike length (SL) and harvest index (HI) display a positive correlation with PC1, although HI also extends to the PC2 axis, implying a multidimensional effect on the data structure. The 1000-grain weight (HGW) vector is negatively correlated with PC1, indicating that as PH and BY increase, HGW decreases, which may indicate a trade-off between these traits in the population studied. The spike sphericity (SpS) aligns closely with the HGW, reinforcing a possible inverse relationship with the PH and BY traits (Figure 5).
Figure 5.
Principal components PC1 (91.58%) and PC2 (4.34%) are plotted, with trait vectors such as plant height, biological yield, and harvest index indicating their respective influences on the explained variance. Data points represent individual samples positioned relative to the principal components and trait vectors, highlighting the principal correlations within the dataset.
4. Discussion
Due to climate change, not only the air environment but also the soil environment is being polluted, especially by cutting trees, using heavy tillage practices, and using inappropriate inputs to enhance crop productivity. By doing all these practices the soil structure is being demolished day by day and a large amount of carbon is emitted from the soil which is very dangerous for the soil microorganisms as well as for the open environment [23]. The same results were obtained in the present experiment where soil carbon emission was higher in tillage practice T1 (Control), which was an agricultural practice, and this may be due to soil disturbance through the use of a large number of tillage practices causing degradation and carbon emission from the soil. The T2 Tillage treatment combined with the Z3 zeolite treatment (10 t ha−1) gave more dissolved organic carbon (DOC), i.e., (4.8 and 4.9 g C Kg−1), which may be due to fewer tillage practices conserving soil carbon and the zeolite captured this carbon in a better way compared to the control treatment. Peng et al. [24] also described that fewer tillage practices and the use of an appropriate amount of zeolite cause less soil damage and prevent carbon emission. Deep and intensive tillage practices and less or no use of zeolite can reduce soil-dissolved organic carbon (DOC) [25]. This may be the reason why the interaction in the present study (T1 × Z1), i.e., more tillage practices and no use of zeolite did not conserve soil carbon as zeolite can retain moisture and nutrients in the soil. Higher soil organic carbon (SOC) contents (7.88 and 7.97 g C Kg−1) were found in the T2 (minimum tillage) and Z3 (10 t ha−1) reaction compared to other tillage practices and zeolite doses, which may be due to reduced soil disturbance and use of appropriate material. Zeolite captures carbon due to its porous nature. Darko et al. [26] also described that soil carbon contents are higher where tillage practices are lower and zeolite is frequent. Soils with extensive use of tillage practices have poor structure and greater loss of soil organic carbon [27].
Yield and yield parameters also gave significant differences using tillage and zeolite in our experiment. Wheat plant height was maximum (92.14 and 92.97 cm) in the T2 × Z3 interaction compared to the rest of the tillage practices and zeolite doses, and this may be due to the minimum tillage practice, which conserves soil moisture contents that may be lost due to heavy tillage practices. Zeolite dose (10 t ha−1) also provided the proper amount of carbon and minerals to the plants, allowing them to gain maximum height. Qi et al. [28] also reported that by using minimum tillage practices along with using proper zeolite dosages can conserve soil moisture and enhance soil porosity, which helps in better growth of plants. Gao [29] described that conventional tillage practices, poor application of nutrients, and carbon capture sources such as zeolite led to land degradation and poor crop stand. The spike length results showed that conventional tillage T1 and no application of zeolite Z1 produced retarded spike length while the interaction T2 × Z3 showed better spike length (11.88 and 12.11 cm) where minimum tillage practices were used and zeolite dosage at 15 t ha−1 was applied as compared to the rest of tillage and zeolite interactions. Similar results were also described by Aghaalikhani et al. [30] who reported that using less tillage and material that enhances soil porosity can improve spike length as a parameter related to good plant growth, which is possible when soil is porous to access air and nutrients. The T2 × Z3 interaction gave the highest number of spikelets/spike (20.11 and 20.98) and minimum found in T1 × Z1, this may be due to heavy tillage practices which lose soil moisture and become unavailable to the plants. Chen et al. [31] also discussed that if heavy tillage practices were used frequently and no use of zeolite and other materials that became the soil porous then soil degradation may occur, which causes poor plant growth. The number of tillers per unit area was calculated and found that T1 × Z1 gave the minimum number of tillers per unit area as compared to the other interaction. Tillers depend on soil fertility, nutrient availability, and healthy plant stand, which was poor in T1 × Z1.
Deep and frequent tillage practices and poor amounts of zeolite reduced soil moisture and nutrient contents, which is the reason for poor plant establishment and ultimately tiller number [32]. The T2 × Z3 interaction produced a maximum 1000-grain weight (50.74 and 51.54 g) compared to other interactions, which might be due to the zeolite enhancing soil organic carbon and nutrients and the minimum number of tillage practices conserved moisture, providing the crop with better stability and ultimately better grain yield. El-Porai et al. [33] also described that less soil disturbance and a proper amount of zeolite can yield better gains, but if excessive amounts of tillage and zeolite were applied soil nutrients may escape, and the crop does not obtain benefit from them. The upper ground portion has also been considered as a biological yield of wheat crops. This mainly depends on soil health and better crop stand [34]. The proper amount of zeolite application is very essential to achieve good yield because if an excessive amount is applied it may affect the roots of the plant causing less biological production [35]. The results of the present experiment also showed that the T2 × Z3 interaction gave maximum biological yield (8134.87 and 8178.38 kg ha−1) compared to the rest of the interactions, which might be due to improper application of zeolite and tillage practices. The wheat grain yield was taken when the plants were completely dried. The grain yield of the crop will be better if the crop plants are healthy and this is only possible if the nutrients and moisture are at the required level [36]. Wheat grain yield (2984.28 and 3028.96 Kg ha−1) was higher in T2 × Z3, which may be due to improved moisture level due to less soil disturbance and the effect of zeolite which makes the soil porous for better crop growth. The T1 × Z1 reaction provides poor grain yield, which might be due to poor soil moisture and inappropriate zeolite management. The harvest index (HI) was also calculated by dividing the economic yield of wheat by the biological yield and then multiplying it by 100 to obtain the values in percentage. The results showed that the T2 × Z3 interaction gave the maximum values of HI, and this may be due to the improvement of biological and grain yield. Improved moisture conservation and nutrient retention due to zeolite management during monsoon gave a better harvest index as compared to the rest of the treatments, which caused loss of moisture and nutrients. Poor HI may be obtained due to deep tillage practices that cause nutrient leakage and lead to poor biological yield and grain production [37]. Kima et al. [38] also reported that zeolite should be applied in appropriate amounts with a combination of best tillage practices, it will not pose a risk to soil nutrients and can enhance crop productivity to a great extent.
5. Conclusions
The results of our current study, which was performed in rain-fed conditions showed that the interaction of tillage with zeolite doses played a significant role in soil carbon content and wheat yield. Soil carbon contents play a crucial role in crop growth. Excess carbon emission from the soil by using heavy tillage, i.e., mold-board plough not only creates a hard pan in the soil but also pollutes the environment compared to minimum tillage practices. Several tillage practices have been applied to reduce soil carbon emissions and enhance wheat productivity. The results of our experiment indicate that if minimum tillage (2 tillage with a cultivator) is used combined with the application of zeolite (10 t ha−1), we can reduce carbon loss from the soil and enhance wheat productivity. By using these tillage practices and zeolite doses in rain-fed areas farmers socio-economic conditions can be improved. This is because these practices can enhance the productivity of wheat globally to a large extent. Furthermore, there is a need for a more comprehensive study on the long-term impacts of zeolite application and minimum tillage on different soil types of rain-fed as well as on irrigated lands under different climatic conditions.
Author Contributions
Conceptualization, M.u.H., A.B. and M.A.K.; methodology, M.u.H., A.B., and S.T.S.; software, M.u.H., W.M.H., A.B. and F.B.; validation, K.G.T., H.A.H.S.-A.A. and S.T.S.; formal analysis, M.u.H., A.B., M.A.K. and S.T.S.; investigation, H.A.H.S.-A.A., W.K. and W.M.H.; resources, K.G.T., H.A.H.S.-A.A.,W.M.H., M.u.H. and A.B.; data curation, M.u.H., A.B., M.A.K., W.M.H. and K.G.T.; writing—original draft preparation, W.K., M.u.H., A.B., S.T.S. and W.M.H.; writing—review and editing, K.G.T.; H.A.H.S.-A.A., W.K., A.B., F.B. and M.A.K.; visualization, W.M.H., A.B. and H.A.H.S.-A.A.; supervision, H.A.H.S.-A.A. and M.A.K. All authors have read and agreed to the published version of the manuscript.
Funding
This research received no external funding.
Data Availability Statement
No new data were created or analyzed in this study. Data sharing is not applicable to this article.
Conflicts of Interest
The authors declare no conflicts of interest.
References
- GOP. Economic Survey of Pakistan; Finance and Economic Affairs Division: Islamabad, Pakistan, 2022. [Google Scholar]
- Abu, M.S. Comparative evaluation of cassava composite flours and bread. Asian J. Nat. Prodt. Biochem. 2023, 21, 13–17. [Google Scholar] [CrossRef]
- Ryan, J.; Masri, S.; Ibrikci, H.; Singh, M.; Pala, M.; Harris, H.C. Implications of cereal-based crop rotations, nitrogen fertilization, and stubble grazing on soil organic matter in a Mediterranean-type environment. Turk. J. Agric. For. 2008, 32, 289–297. [Google Scholar]
- Bonfil, D.J.; Mufradi, I.; Klitman, S.; Asido, S. Wheat grain yield and soil profile water distribution in a no-till arid environment. Agron. J. 1999, 91, 368–373. [Google Scholar] [CrossRef]
- Sharma, P.; Abrol, V.; Sharma, K.R.; Sharma, N.; Phogat, V.K.; Vikas, V. Impact of conservation tillage on soil organic carbon and physical properties–a review. Int. J. Bio-Resour. Stress Manag. 2016, 7, 151–161. [Google Scholar] [CrossRef]
- Ullah, I.; Muhammad, D.; Mussarat, M.; Khan, S.; Adnan, M.; Fahad, S.; Ismail, M.; Mian, I.A.; Ali, A.; Saleem, M.H.; et al. Comparative effects of biochar and NPK on wheat crops under different management systems. Crop. Pasture Sci. 2022, 74, 31–40. [Google Scholar] [CrossRef]
- Singh, S.; Prasanna, R.; Pranaw, K. Bioinoculants: Biological Option for Mitigating global Climate Change; Springer Nature: Berlin/Heidelberg, Germany, 2023. [Google Scholar]
- Singh, O.P.; Singh, P.K. Environmental and socio-economic impact of zero-tillage in indo-gangatic plain of uttar pradesh, India. Int. J. Agric. Stat. Sci. 2020, 16, 589. [Google Scholar]
- Higashida, S.; Yamagami, M. Effects of deep plowing with concomitant application of farm yard manure on the productivity of arable crops. Bull. Hokkaido Prefect. Agric. Exp. Stat. 2003, 84, 55–64. [Google Scholar]
- Sfechiș, S.; Vidican, R.; Sandor, M.; Stoian, V.; Sandor, V.; Muste, B. Using assessment of zeolite amendments in agriculture. ProEnvironment 2015, 8, 21. [Google Scholar]
- Abdi, G.H.; Khosh-Khui, M.; Eshghi, S. Effects of natural zeolite on growth and flowering of strawberry (Fragaria × ananassa Duch.). Int. J. Agric. Res. 2010, 5, 799–804. [Google Scholar]
- Li, Z.; Zhang, Y.; Li, Y. Zeolite as slow-release fertilizer on spinach yields and quality in a greenhouse test. J. Plant Nutr. 2013, 36, 1496–1505. [Google Scholar] [CrossRef]
- Bybordi, A.; Elnaz, E. Growth, yield and quality components of canola fertilized with urea and zeolite. Commun. Soil Sci. Plant Anal. 2013, 44, 2896–2915. [Google Scholar] [CrossRef]
- Bernardi, A.C.d.C.; de Souza, G.B.; Polidoro, J.C.; Paiva, P.R.P.; Monte, M.B.d.M. Yield, quality components, and nitrogen levels of silage corn fertilized with urea and zeolite. Commun. Soil Sci. Plant Anal. 2011, 42, 1266–1275. [Google Scholar] [CrossRef]
- Xiubin, H.E.; Zhanbin, H. Zeolite application for enhancing water infiltration and retention in loess soil. Resour. Conserv. Recycl. 2001, 34, 45–52. [Google Scholar] [CrossRef]
- Gholamhoseini, M.; Ghalavand, A.; Khodaei-Joghan, A.; Dolatabadian, A.; Zakikhani, H.; Farmanbar, E. Zeolite-amended cattle manure effects on sunflower yield, seed quality, water use efficiency and nutrient leaching. Soil Tillage Res. 2013, 126, 193–202. [Google Scholar] [CrossRef]
- Hazrati, S.; Tahmasebi-Sarvestani, Z.; Mokhtassi-Bidgoli, A.; Modarres-Sanavy, S.A.M.; Mohammadi, H.; Nicola, S. Effects of zeolite and water stress on growth, yield and chemical compositions of Aloe vera L. Agric. Water Manag. 2017, 181, 66–72. [Google Scholar] [CrossRef]
- Ozbahce, A.; Tari, A.F.; Gönülal, E.; Simsekli, N.; Padem, H. The effect of zeolite applications on yield components and nutrient uptake of common bean under water stress. Arch. Agron. Soil Sci. 2015, 61, 615–626. [Google Scholar] [CrossRef]
- Zahedi, H.; Noormohammadi, G.; Rad, A.S.; Habibi, D.; Boojar, M.M.A. The effects of zeolite and foliar applications of selenium on growth, yield and yield components of three canola cultivars under drought stress. World App. Sci. J. 2009, 7, 255–262. [Google Scholar] [CrossRef][Green Version]
- Zhang, M.; Hanna, M.; Li, J.; Butcher, S.; Dai, H.; Xiao, W. Creation of a hyperpermeable yeast strain to genotoxic agents through combined inactivation of PDR and CWP genes. Toxicol. Sci. 2010, 113, 401–411. [Google Scholar] [CrossRef]
- Muhammad, A.; Amjad, A.; Parimala, G.S.; Arockiam, J.; Saqi, B.; Qaiser, H.; Fazli, W.; Esmat, F.A.; Hamada, A.; Ronghua, L.; et al. Effects of sheep bone biochar on soil quality, maize growth, and fractionation and phyto-availability of Cd and Zn in a mining-contaminated soil. Chemosphere 2021, 282, 10–16. [Google Scholar] [CrossRef]
- Nelson, D.A.; Sommers, L. Total carbon, organic carbon, and organic matter. Met. Soil Anal. Part 2 Chem. Microbiol. Prop. 1983, 9, 539–579. [Google Scholar]
- Spiertz, J.H.J. Nitrogen, sustainable agriculture and food security: A review. Sustain. Agric. 2010, 30, 43–55. [Google Scholar] [CrossRef]
- Peng, S.; Buresh, R.J.; Huang, J.; Zhong, X.; Zou, Y.; Yang, J.; Dobermann, A. Improving nitrogen fertilization in rice by site specific N management. A review. Agron. Sustain. Dev. 2010, 30, 649–656. [Google Scholar] [CrossRef]
- Mahajan, G.; Chauhan, B.S.; Timsina, J.; Singh, P.P.; Singh, K. Crop performance and water-and nitrogen-use efficiencies in dry-seeded rice in response to irrigation and fertilizer amounts in northwest India. Field Crops Res. 2012, 134, 59–70. [Google Scholar] [CrossRef]
- Darko, R.O.; Shouqi, Y.; Junping, L.; Haofang, Y.; Xingye, Z. Overview of advances in improving uniformity and water use efficiency of sprinkler irrigation. Int. J. Agric. Biol. Eng. 2017, 10, 1–15. [Google Scholar]
- Ahmed, O.H.; Sumalatha, G.; Muhamad, A.N. Use of zeolite in maize (Zea mays) cultivation on nitrogen, potassium and phosphorus uptake and use efficiency. Int. J. Phys. Sci. 2010, 5, 2393–2401. [Google Scholar]
- Qi, W.; Guimin, X.; Taotao, C.; Daocai, C.; Ye, J.; Dehuan, S. Impacts of nitrogen and zeolite managements on yield and physicochemical properties of rice grain. Int. J. Agric. Biol. Eng. 2016, 9, 93–100. [Google Scholar]
- Gao, P.; Liu, Y.; Wang, Y.; Liu, X.; Wang, Z.; Ma, L.Q. Spatial and temporal changes of P and Ca distribution and fractionation in soil and sediment in a karst farmland-wetland system. Chemosphere 2019, 220, 644–650. [Google Scholar] [CrossRef]
- Aghaalikhani, M.; Gholamhoseini, M.; Dolatabadian, A.; Khodaei-Joghan, A.; Sadat Asilan, K. Zeolite influences on nitrate leaching, nitrogen-use efficiency, yield and yield components of canola in sandy soil. Arch. Agron. Soil Sci. 2012, 58, 1149–1169. [Google Scholar] [CrossRef]
- Chen, T.; Sun, D.; Zhang, X.; Wu, Q.; Zheng, J.; Chi, D. Impact of water-nitrogen coupling on grain yield, water and nitrogen usage in zeolite-amended paddy field under alternate wetting and drying irrigation. Trans. Chin. Soc. Agric. Eng. 2016, 32, 154–162. [Google Scholar]
- Ranjan, S.; Dasgupta, N.; Singh, S.; Gandhi, M. Toxicity and regulations of food nanomaterials. Environ. Chem. Lett. 2019, 17, 929–944. [Google Scholar] [CrossRef]
- El-Porai, E.S.; Salama, A.E.; Sharaf, A.M.; Hegazy, A.I.; Gadallah, M.G.E. Effect of different milling processes on Egyptian wheat flour properties and pan bread quality. Ann. Agric. Sci. 2013, 58, 51–59. [Google Scholar] [CrossRef]
- Neylon, E.; Arendt, E.K.; Zannini, E.; Sahin, A.W. Fermentation as a tool to revitalize brewers’ spent grain and elevate techno-functional properties and nutritional value in high fibre bread. Foods 2021, 10, 1639. [Google Scholar] [CrossRef] [PubMed]
- Buteler, M.; Gitto, J.G.; Stadler, T. Enhancing the potential use of microparticulate insecticides through removal of particles from raw grain. J. Stored Prod. Res. 2020, 89, 101707. [Google Scholar] [CrossRef]
- Bodroza-Solarov, M.; Rajic, N.; Pezo, L.; Kojic, J.; Krulj, J.; Filipcev, B.; Jevtic-Mucibabic, R. The rheological properties of wheat dough containing zeolite residue. Chem. Ind. Chem. Eng. Q. 2020, 26, 377–384. [Google Scholar] [CrossRef]
- Van Den Noortgate, H.; Sree, S.P.; Ostyn, N.; Lagrain, B.; Roeffaers, M.; Wenseleers, T.; Martens, J.A. Material properties determining insecticidal activity of activated carbon on the pharaoh ant (Monomorium pharaonis). J. Pest Sci. 2019, 92, 643–652. [Google Scholar] [CrossRef]
- Kima, A.S.; Chung, W.G.; Wang, Y.M. Improving irrigated lowland rice water use efficiency under saturated soil culture for adoption in tropical climate conditions. Water 2014, 6, 2830–2846. [Google Scholar] [CrossRef]
Disclaimer/Publisher’s Note: The statements, opinions and data contained in all publications are solely those of the individual author(s) and contributor(s) and not of MDPI and/or the editor(s). MDPI and/or the editor(s) disclaim responsibility for any injury to people or property resulting from any ideas, methods, instructions or products referred to in the content. |
© 2024 by the authors. Licensee MDPI, Basel, Switzerland. This article is an open access article distributed under the terms and conditions of the Creative Commons Attribution (CC BY) license (https://creativecommons.org/licenses/by/4.0/).




