Diversity and Ecological Assessment of Grasslands Habitat Types: A Case Study in the Calabria Region (Southern Italy)
Abstract
1. Introduction
2. Materials and Methods
3. Results
3.1. Cluster Analysis to Define Habitat Types
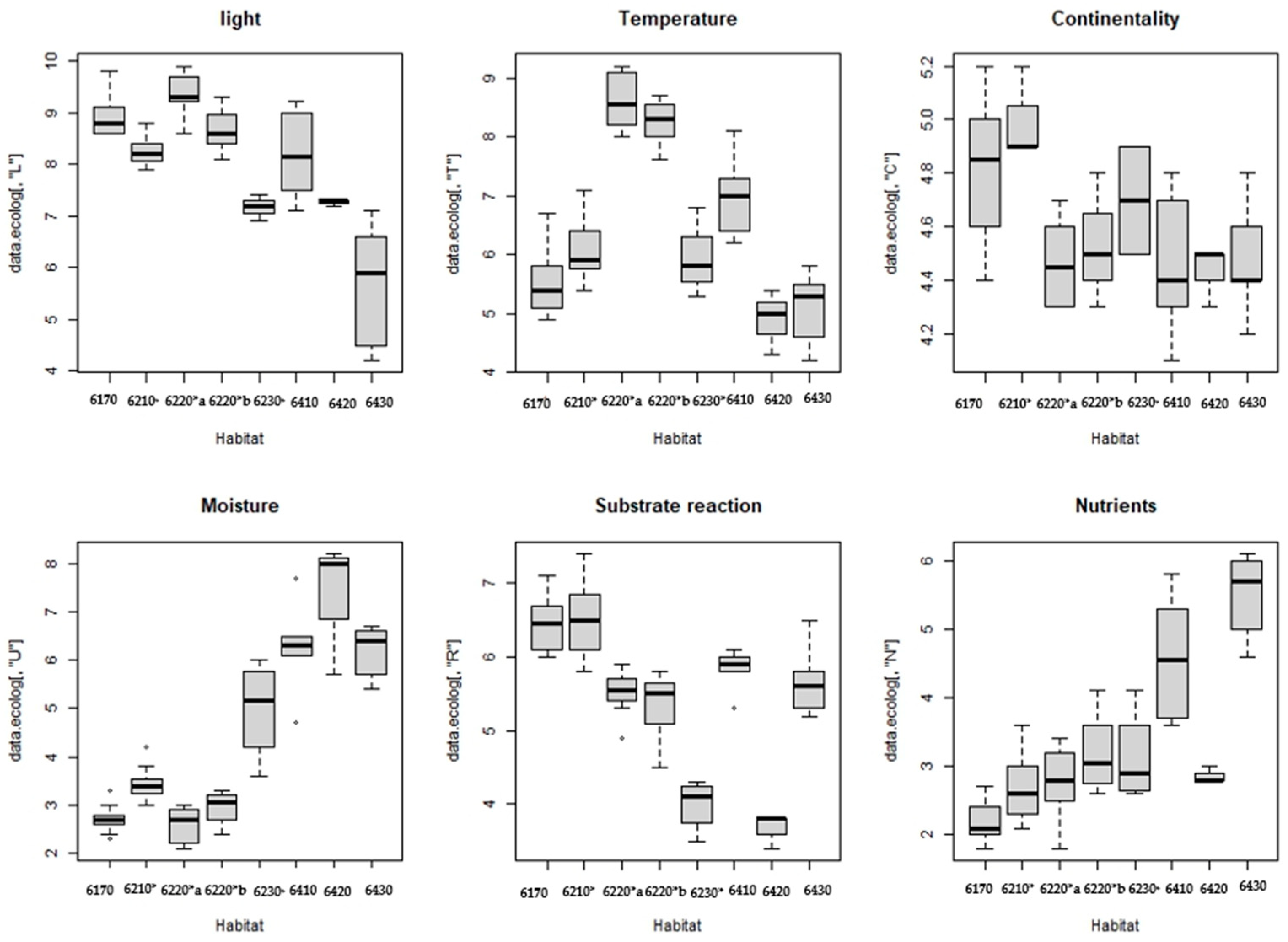
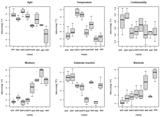
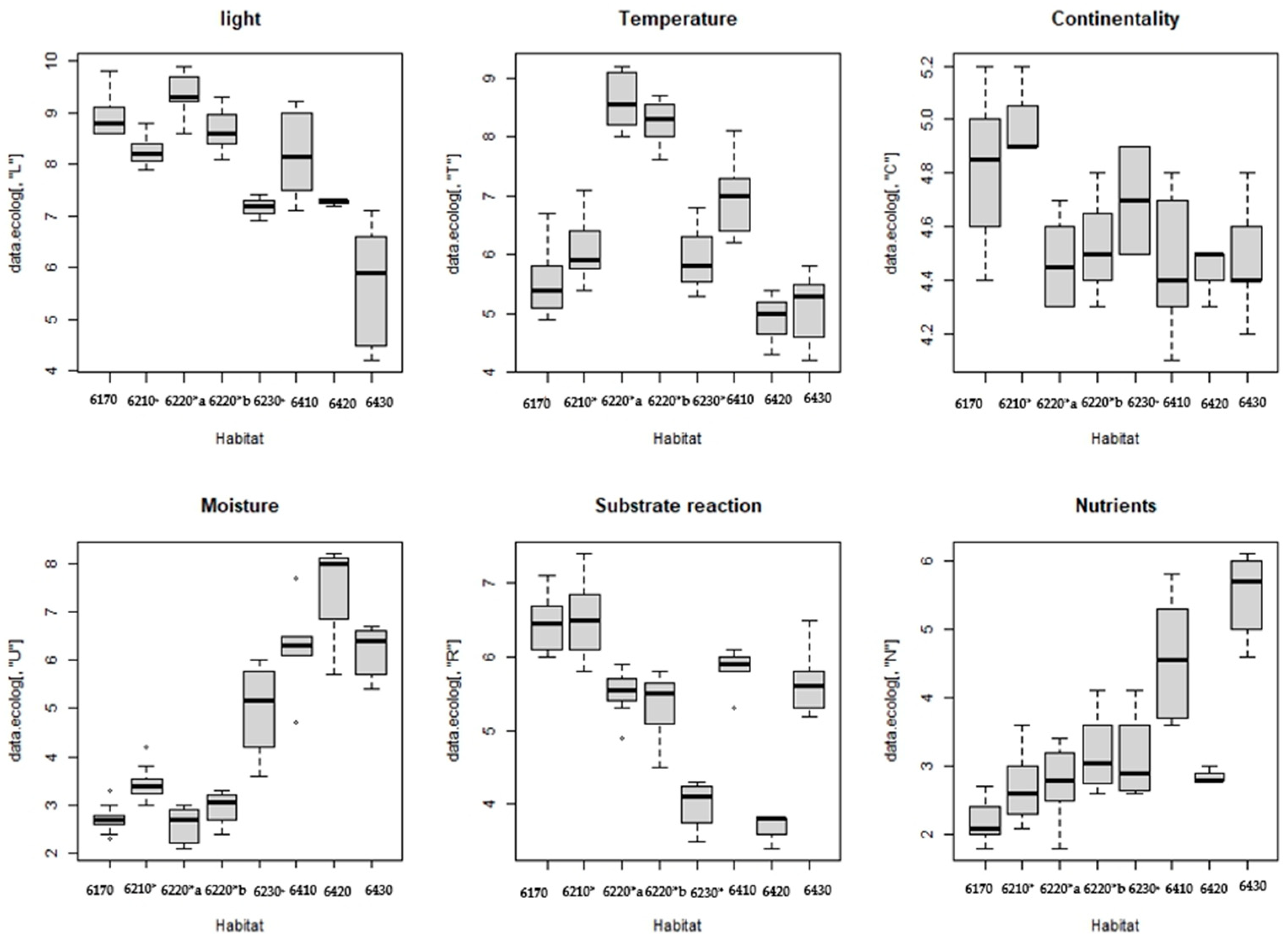
3.2. Ecological Factors Analysis
3.3. Plant Diversity and Naturalness
3.4. Relationship between Diversity and Ellenberg Indicator Values
4. Discussion
5. Conclusions
Supplementary Materials
Author Contributions
Funding
Data Availability Statement
Conflicts of Interest
References
- Bohn, U.; Gollub, G.; Hettwer, C.; Neuhäuslová, Z.; Raus, T.; Schlüter, H.; Weber, H.; Hennekens, S. (Eds.) Map of the Natural Vegetation of Europe. Scale 1:2,500,000. Interactive CD-ROM: Explanatory Text, Legend, Maps; Bundesamt für Naturschutz: Bonn, Germany, 2004. [Google Scholar]
- Musarella, C.M.; Brullo, S.; del Galdo, G.G. Contribution to the Orophilous Cushion-Like Vegetation of Central-Southern and Insular Greece. Plants 2020, 9, 1678. [Google Scholar] [CrossRef] [PubMed]
- Cano Ortiz, A.; Quinto Canas, R.; Pinar Fuentes, J.C.; del Rio, S.; Pinto Gomes, C.J.; Cano, E. Endemic Hemicryptophyte Grasslands of the High Mountains of the Caribbean. Res. J. Ecol. Environ. Sci. 2022, 2, 1–20. [Google Scholar] [CrossRef]
- Mücher, C.A.; Hennekens, S.M.; Bunce, R.G.; Schaminée, J.H.; Schaepman, M.E. Modelling the spatial distribution of Natura 2000 habitats across Europe. Landsc. Urban Plan. 2009, 92, 148–159. [Google Scholar] [CrossRef]
- APAT. The Implementation in Italy of the European Corine Land Cover 2000 Project; Reports 36/2005; APAT: Rome, Italy, 2005; p. 86. [Google Scholar]
- Oppermann, R.; Beaufoy, G.; Jones, G. (Eds.) High Nature Value Farming in Europe: 35 European Countries—Experiences and Perspectives; Verlag Regionalkultur: Ubstadt-Weiher, Germany, 2012. [Google Scholar]
- Van Elsen, T. Species diversity as a task for organic agriculture in Europe Agric. Ecosyst. Environ. 2000, 77, 101–109. [Google Scholar] [CrossRef]
- Cano, E.; Cano-Ortiz, A.; Quinto Canas, R.; Piñar Fuentes, J.C.; Rodrigues Meireles, C.; Raposo, M.; Pinto Gomes, C.; Laface, V.L.A.; Spampinato, G.; Musarella, C.M. Ecological and Syntaxonomic Analysis of the Communities of Glebionis coronaria and G. discolor (Malvion neglectae) in the European Mediterranean Area. Plants 2024, 13, 568. [Google Scholar] [CrossRef] [PubMed]
- Söderström, B.; Svensson, B.; Vessby, K.; Glimskär, A. Plants, insects and birds in semi-natural pastures in relation to local habitat and landscape factors. Biodivers. Conserv. 2001, 10, 1839–1863. [Google Scholar] [CrossRef]
- Pärtel, M.; Bruun, H.H.; Sammul, M. Biodiversity in temperate European grasslands: Origin and conservation. Grassl. Sci. Eur. 2005, 10, 1–14. [Google Scholar]
- Gibson, D.J. Grasses and Grassland Ecology; Oxford University Press: Oxford, UK, 2009. [Google Scholar]
- Wilson, J.; Peet, R.K.; Dengler, J.; Pärtel, M. Plant species richness: The world records. J. Veg. Sci. 2012, 23, 796–802. [Google Scholar] [CrossRef]
- Bengtsson, J.; Bullock, J.M.; Egoh, B.; Everson, C.; Everson, T.; O’Connor, T.; O’Farrell, P.J.; Smith, H.G.; Lindborg, R. Grasslands—More important for ecosystem services than you might think. Ecosphere 2019, 10, e02582. [Google Scholar] [CrossRef]
- Schrautzer, J.; Jansen, D.; Breuer, M.; Nelle, O. Succession and management of calcareous dry grasslands in the Northern Franconian Jura, Germany. Tuexenia 2009, 29, 339–351. [Google Scholar]
- Cano Carmona, E.; Quinto Canas, R.; Cano Ortiz, A.; Musarella, C.M. Introductory Chapter: Methodological Aspects for the Study of Vegetation. In Vegetation Index and Dynamics; IntechOpen: London, UK, 2022. [Google Scholar] [CrossRef]
- Dengler, J.; Janišová, M.; Török, P.; Wellstein, C. Biodiversity of Palaearctic grasslands: A synthesis. Agric. Ecosyst. Environ. 2014, 182, 1–14. [Google Scholar] [CrossRef]
- Valkó, O.; Zmihorski, M.; Biurrun, I.; Loos, J.; Labadessa, R.; Venn, S. Ecology and conservation of steppes and semi-natural grasslands. Hacquetia 2016, 15, 5. [Google Scholar] [CrossRef]
- Veen, P.; Jefferson, R.; De Smidt, J.; Van der Straaten, J. (Eds.) Grasslands in Europe of High Nature Value; KNNV Publishing: Zeist, The Netherlands, 2009. [Google Scholar]
- Reitalu, T.; Johansson, L.J.; Sykes, M.T.; Hall, K.; Prentice, H.C. History matters: Village distances, grazing and grassland species diversity. J. Appl. Ecol. 2010, 47, 1216–1224. [Google Scholar] [CrossRef]
- Reitalu, T.; Helm, A.; Pärtel, M.; Bengtsson, K.; Gerhold, P.; Rosén, E.; Takkis, K.; Znamenskiy, S.; Prentice, H.C. Determinants of fine-scale plant diversity in dry calcareous grasslands within the Baltic Sea Agricultural region. Agric. Ecosyst. Environ. 2014, 182, 59–68. [Google Scholar] [CrossRef]
- Turtureanu, P.D.; Palpurina, S.; Becker, T.; Dolnik, C.; Ruprecht, E.; Sutcliffee, L.M.E.; Szabó, A.; Dengler, J. Scale- and taxon-dependent biodiversity patterns of dry grassland vegetation in Transylvania. Agric. Ecosyst. Environ. 2014, 182, 15–24. [Google Scholar] [CrossRef]
- Mendes, P.; Meireles, C.; Vila-Viçosa, C.; Musarella, C.; Pinto-Gomes, C. Best management practices to face degraded territories occupied by Cistus ladanifer shrublands—Portugal case study. Plant Biosyst. 2015, 149, 494–502. [Google Scholar] [CrossRef]
- Roleček, J.; Čornej, I.I.; Tokarjuk, A.I. Understanding the extreme species richness of semi-dry grasslands in east-central Europe: A comparative approach. Preslia 2014, in press. [Google Scholar]
- Musarella, C.M.; Sciandrello, S.; Domina, G. Competition between alien and native species in xerothermic Steno-Mediterranean grasslands: Cenchrus setaceus and Hyparrhenia hirta in Sicily and southern Italy. Vegetos 2024, 1–8. [Google Scholar] [CrossRef]
- Hansen, A.J.; De Fries, R.S.; Turner, W. Land use change and biodiversity. In Land Change Science, Remote Sensing and Digital Image Processing; Gutman, G., Janetos, A.C., Justice, C.O., Moran, E.F., Mustard, J.F., Rindfuss, R.R., Skole, D., Turner, B.L., Cochrane, M.A., Eds.; Springer: Dordrecht, The Netherlands, 2004; pp. 277–299. [Google Scholar]
- Spampinato, G.; Crisarà, R.; Cameriere, P.; Cano-Ortiz, A.; Musarella, C.M. Analysis of the Forest Landscape and Its Transformations through Phytotoponyms: A Case Study in Calabria (Southern Italy). Land 2022, 11, 518. [Google Scholar] [CrossRef]
- Spampinato, G.; Crisarà, R.; Cannavò, S.; Musarella, C.M. Phytotoponims of southern Calabria: A tool for the analysis of the landscape and its transformations. Atti Soc. Toscana Sci. Nat. Mem. Ser. B 2017, 124, 61–72. [Google Scholar] [CrossRef]
- Kuemmerle, T.; Levers, C.; Erb, K.; Estel, S.; Jepsen, M.R.; Müller, D.; Plutzar, C.; Stürck, J.; Verkerk, P.J.; Verburg, P.H.; et al. Hotspots of land use change in Europe. Environ. Res. Lett. 2016, 11, 064020. [Google Scholar] [CrossRef]
- Watson, J.E.M.; Jones, K.R.; Fuller, R.A.; Di Marco, M.; Segan, D.B.; Butchart, S.H.M.; Allan, J.R.; McDonald-Madden, E.; Venter, O. Persistent disparities between recent rates of habitat conversion and protection and implications for future global conservation targets. Conserv. Lett. 2016, 9, 413–421. [Google Scholar] [CrossRef]
- Whittaker, R.H. Evolution and measurement of species diversity. Taxon 1972, 21, 213–251. [Google Scholar] [CrossRef]
- Margules, C.; Pressey, R. Systematic conservation planning. Nature 2000, 405, 243–253. [Google Scholar] [CrossRef] [PubMed]
- Whittaker, R.J.; Araújo, M.B.; Jepson, P.; Ladle, R.J.; Watson, J.E.M.; Willis, K.J. Conservation Biogeography: Assessment and prospect. Divers. Distrib. 2015, 11, 3–23. [Google Scholar] [CrossRef]
- Tilman, D.; Downing, J.A. Biodiversity and stability in grasslands. Nature 1994, 367, 363–365. [Google Scholar] [CrossRef]
- Hooper, D.U.; Chapin, F.S., III; Ewel, J.J.; Hector, A.; Inchausti, P.; Lavorel, S.; Lawton, J.H.; Lodge, D.M.; Loreau, M.; Naeem, S.; et al. Effects of biodiversity on ecosystem functioning: A consensus of current knowledge. Ecol. Monogr. 2005, 75, 3–35. [Google Scholar] [CrossRef]
- Auestad, I.; Rydgren, K.; Økland, R.H. Scale-dependence of vegetation–environment relationships in semi-natural grasslands. J. Veg. Sci. 2008, 19, 139–148. [Google Scholar] [CrossRef]
- De Knegt, H.J.; Van Langevelde, F.; Coughenour, M.B.; Skidmore, A.K.; De Boer, W.F.; Heitkonig, I.M.A.; Knox, N.M.; Slotow, R.; Van der Waal, C.; Prins, H.H.T. Spatial autocorrelation and the scaling of species–environment relationships. Ecology 2010, 91, 2455–2465. [Google Scholar] [CrossRef]
- Maccherini, S.; Marignani, M.; Gloria, M.; Renzi, M.; Rocchini, D.; Santi, E.; Torri, D.; Tundo, J.; Honnay, O. Determinants of plant community composition of remnant biancana badlands: A hierarchical approach to quantify species–environment relationships. Appl. Veg. Sci. 2011, 14, 378–387. [Google Scholar] [CrossRef]
- Boch, S.; Prati, D.; Schöning, I.; Fischer, M. Lichen species richness is highest in non-intensively used grasslands promoting suitable microhabitats and low vascular plant competition. Biodivers. Conserv. 2016, 25, 225–238. [Google Scholar] [CrossRef]
- Chytrý, M.; Danihelka, J.; Ermakov, N.; Hájek, M.; Hájková, P.; Kočí, M.; Kubešová, S.; Lustyk, P.; Otýpková, Z.; Popov, D.; et al. Plant species richness in continental southern Siberia: Effects of pH and climate in the context of the species pool hypothesis. Glob. Ecol. Biogeogr. 2007, 16, 668–678. [Google Scholar] [CrossRef]
- Palpurina, S.; Chytrý, M.; Tzonev, R.; Danihelka, J.; Axmanová, I.; Merunková, K.; Duchoň, M.; Karakiev, T. Patterns of fines-scale plant species richness in dry grasslands across the eastern Balkan Peninsula. Acta Oecol. 2015, 63, 36–46. [Google Scholar] [CrossRef]
- Garcia, A. Conserving the species- rich meadows of Europe. Agric. Ecosyst. Environ. 1992, 40, 219–232. [Google Scholar] [CrossRef]
- Bratli, H.; Myhre, A. Vegetation–environment relationship ship of old hay meadows in Sverveli, Telemark, S Norway. Nord. J. Bot. 1999, 19, 455–471. [Google Scholar] [CrossRef]
- Zelnik, I.; Čarni, A. Plant species diversity and composition of wet grasslands in relation to environmental factors. Biodivers. Conserv. 2013, 22, 2179–2192. [Google Scholar] [CrossRef]
- Hölzel, N.; Otte, A. Inter-annual variation in the soil seed bank of flood-meadows over two years with different flooding patterns. Plant Ecol. 2004, 174, 279–291. [Google Scholar] [CrossRef]
- Grootjans, A.P.; Hunneman, H.; Verkiel, H.; Van Andel, J. Long-term effect of drainage on species richness of a phen meadow at different spatial scales. Basic Appl. Ecol. 2005, 6, 185–193. [Google Scholar] [CrossRef]
- Zelnik, I. Vegetation of the Meadows from the Order Molinietalia W. Koch 1926 and Contact Sites in Slovenia. Ph.D. Dissertation, University of Ljubljana, Ljubljana, Slovenia, 2005. [Google Scholar]
- Havlová, M. Syntaxonomical revision of the Molinion meadows in the Czech Republic. Preslia 2006, 78, 87–101. [Google Scholar]
- Janišová, M.; Hájková, P.; Hrivnák, R.; Kliment, J.; Michálková, D.; ζezníčková, M.; Tichy, L.; Škodová, I.; Uhliarová, E.; Ujhazy, K.; et al. Grassland Vegetation of Slovak Republic: Electronic Expert System for Identification of Syntax; Botanický ústav SAV: Bratislava, Slovakia, 2007. (In Slovakian) [Google Scholar]
- Hájek, M.; Hájková, P.; Sopotlieva, D.; Apostolova, I.; Velev, N. The Balkan wet grassland vegetation: A prerequisite to better understanding of European habitat diversity. Plant Ecol. 2008, 195, 197–213. [Google Scholar] [CrossRef]
- Stančić, Z. Classification of mesic and wet grasslands in northwest Croatia. Biology 2008, 63, 1089–1103. [Google Scholar] [CrossRef]
- Zelnik, I.; Čarni, A. Wet meadows of the Molinion Koch 1926 alliance and their environmental gradients in Slovenia. Biology 2008, 63, 187–196. [Google Scholar]
- Spampinato, G.; Sciandrello, S.; del Galdo, G.G.; Puglisi, M.; Tomaselli, V.; Cannavò, S.; Musarella, C.M. Contribution to the knowledge of Mediterranean wetland biodiversity: Plant communities of the Aquila Lake (Calabria, Southern Italy). Plant Sociol. 2019, 56, 53–68. [Google Scholar]
- Perrino, E.V.; Musarella, C.M.; Magazzini, P. Management of Grazing Italian River Buffalo to Preserve Habitats Defined by Directive 92/43/EEC in a Protected Wetland Area on the Mediterranean Coast: Palude Frattarolo, Apulia, Italy. Euro-Mediterr. J. Environ. Integr. 2021, 6, 32. [Google Scholar] [CrossRef]
- Borer, E.T.; Seabloom, E.W.; Gruner, D.S.; Harpole, W.S.; Hillebrand, H.; Lind, E.M.; Yang, L.H. Herbivores and nutrients control grassland plant diversity via light limitation. Nature 2014, 508, 517–520. [Google Scholar] [CrossRef] [PubMed]
- Klaus, V.H.; Hölzel, N.; Boch, S.; Müller, J.; Socher, S.A.; Prati, D.; Kleinebecker, T. Direct and indirect associations between plant species richness and productivity in grasslands: Regional differences preclude simple generalization of productivity-biodiversity relationships. Preslia 2013, 85, 97–112. [Google Scholar]
- Roman, A.; Ursu, T.-M.; Onțel, I.; Marușca, T.; Grigore Pop, O.; Milanovici, S.; Pál Frink, J. Deviation from Grazing Optimum in the Grassland Habitats of Romania Within and Outside the Natura 2000 Network; IntechOpen: London, UK, 2019. [Google Scholar] [CrossRef]
- Li, X.L.; Png, G.K.; Li, Y.H.; Jimoh, S.O.; Ding, Y.; Li, P.; Sun, S.X. Leaf plasticity contributes to plant anti-herbivore defenses and indicates selective foraging: Implications for sustainable grazing. Ecol. Indic. 2021, 122, 107273. [Google Scholar] [CrossRef]
- Zhang, R.Y.; Wang, J.S.; Niu, S.L. Toward a sustainable grazing management based on biodiversity and ecosystem multifunctionality in drylands. Curr. Opin. Environ. Sustain. 2021, 48, 36–43. [Google Scholar] [CrossRef]
- Lozano, V.; Vacca, G.; Camarda, I.; Brundu, G.; Sanna, F.; Caredda, S.; Re, G.A. Plant Diversity in Sardinian Mountain Rangelands: Analysis of Its Relationships with Grazing, Land Management, and Pastoral Value. Ecologies 2021, 2, 164–174. [Google Scholar] [CrossRef]
- Grime, J.P.; Pierce, S. The Evolutionary Strategies that Shape Ecosystems; John Wiley & Sons: Hoboken, NJ, USA, 2012. [Google Scholar]
- Zanzottera, M.; Dalle Fratte, M.; Caccianiga, M.; Pierce, S.; Cerabolini, B.E.L. Community-level variation in plant functional traits and ecological strategies shapes habitat structure along succession gradients in alpine environment. Community Ecol. 2020, 21, 55–65. [Google Scholar] [CrossRef]
- Erdős, L.; Bede-Fazekas, Á.; Bátori, Z.; Berg, C.; Kröel-Dulay, G.; Magnes, M.; Sengl, P.; Tölgyesi, C.; Török, P.; Zinnen, J. Species-based indicators to assess habitat degradation: Comparing the conceptual, methodological, and ecological relationships between hemeroby and naturalness values. Ecol. Indic. 2022, 136, 108707. [Google Scholar] [CrossRef]
- Spampinato, G.; Angelini, P.; Bernardo, L.; Caridi, D.; Caruso, P.; Gargano, D.; Ligato, E.; Lumia, G.; Mei, G.; Manti, L.; et al. Carta della Natura della Regione Calabria; ISPRA: Rome, Italy, 2023. [Google Scholar]
- Rivas-Martinez, S. Notions on dynamic catenal phytosociology as a basis of landscape science. Plant Biosyst. 2005, 139, 135–144. [Google Scholar] [CrossRef]
- Blasi, C.; Biondi, E.; Izco, J. 100 years of plant sociology: A celebration. Plant Biosyst. 2011, 145, 1–3. [Google Scholar] [CrossRef]
- Pignatti, S.; Guarino, R.; La Rosa, M. Flora d’Italia 1, 2nd ed.; Edagricole di New Business Media: Milano, Italy, 2017; p. 1064. [Google Scholar]
- Pignatti, S.; Guarino, R.; La Rosa, M. Flora d’Italia 2, 2nd ed.; Edagricole di New Business Media: Milano, Italy, 2017; p. 1178. [Google Scholar]
- Pignatti, S.; Guarino, R.; La Rosa, M. Flora d’Italia 3, 2nd ed.; Edagricole di New Business Media: Milano, Italy, 2018; p. 1286. [Google Scholar]
- Portal to the Flora of Italy. Portale della Flora d’Italia. 2023. Available online: http://dryades.units.it/floritaly/ (accessed on 6 March 2023).
- Biondi, E.; Blasi, C. Prodromo of Italian Vegetation. MATTM, SBI. 2015. Available online: https://www.prodromo-vegetazione-italia.org/ (accessed on 6 November 2023).
- Biondi, E.; Blasi, C.; Burrascano, S.; Casavecchia, S.; Copiz, R.; Del Vico, E.; Galdenzi, D.; Gigante, D.; Lasen, C.; Spampinato, G.; et al. Italian Interpretation Manual of the 92/43/EEC Habitats Directive. 2009. Available online: http://vnr.unipg.it/habitat/index.jsp (accessed on 6 November 2023).
- Gigante, D.; Attorre, F.; Venanzoni, R.; Acosta, A.T.R.; Agrillo, E.; Aleffi, M.; Alessi, N.; Allegrezza, M.; Angelini, P.; Angiolini, C.; et al. Un protocollo metodologico per il monitoraggio degli Habitat dell’Allegato I: Il contributo della scienza della Vegetazione. Sociol. Veg. 2016, 53, 77–87. [Google Scholar]
- Shannon, C.E.; Weaver, W. A Mathematical Theory of Communication; University of Illinois Press: Urbana, IL, USA, 1949. [Google Scholar]
- Pielou, E.C. The measurement of diversity in different types of biological collections. J. Theor. Biol. 1966, 13, 131–144. [Google Scholar] [CrossRef]
- Grunewald, R.; Schubert, H. The definition of a new plant diversity index “H′dune” to assess human damage on coastal dunes, derived from the Shannon entropy index H′. Ecol. Indic. 2007, 7, 1–21. [Google Scholar] [CrossRef]
- Pinna, M.S.; Cogoni, D.; Fenu, G.; Bacchetta, G. The conservation status and anthropogenic impacts assessments of Mediterranean coastal dunes. Estuar. Coast. Shelf Sci. 2015, 167, 25–31. [Google Scholar] [CrossRef]
- Pinna, M.S.; Bacchetta, G.; Cogoni, D.; Fenu, G. Is vegetation an indicator for evaluating the impact of tourism on the conservation status of Mediterranean coastal dunes? Sci. Total Environ. 2019, 674, 255–263. [Google Scholar] [CrossRef] [PubMed]
- Calderisi, G.; Cogoni, D.; Loni, A.; Fenu, G. Difference between invasive alien and native vegetation in trapping beach litter: A focus on a typical sandy beach of W-Mediterranean Basin. Mar. Pollut. Bull. 2023, 192, 115065. [Google Scholar] [CrossRef]
- Zar, J.H. Biostatistical Analysis, 3rd ed.; Prentice Hall: Hoboken, NJ, USA, 1996. [Google Scholar]
- Farebrother, R.W. Pan’s procedure for the tail probabilities of the Durbin-Watson statistic. Appl. Stat. 1980, 29, 224–227. [Google Scholar] [CrossRef]
- Rousseeuw, P.J.; Van Driessen, K. Computing LTS Regression for Large Data Sets; Institute of Mathematical Statistics Bulletin, Citeseer, 1999. [Google Scholar]
- Warton, D.I.; Wright, I.J.; Falster, D.S.; Westoby, M. Bivariate line-fitting methods for allometry. Biol. Rev. 2006, 81, 259–291. [Google Scholar] [CrossRef] [PubMed]
- Wooldridge, J.M. Introductory Econometrics—A Modern Approach, 5th ed.; South-Western Cengage Learning: Boston, MA, USA, 2012. [Google Scholar]
- Brullo, S.; Scelsi, F.; Spampinato, G. Aristido caerulescentis-Hyparrhenion hirtae, alleanza nuova della classe Lygeo-Stipetea a distribuzione sud mediterraneo-macaronesica. Fitosociologia 1997, 32, 189–206. [Google Scholar]
- Brullo, S.; De Marco, G.; Signorello, P. Studio fitosociologico delle praterie a Lygeum spartum dell’Italia meridionale. Boll. Acc. Gioenia Sci. Nat. Catania 1990, 23, 561–579. [Google Scholar]
- Spampinato, G.; Musarella, C.M.; Cano-Ortiz, A.; Signorino, G. Habitat, occurrence and conservation status of the Saharo-Macaronesian and Southern-Mediterranean element Fagonia cretica L. (Zygophyllaceae) in Italy. J. Arid. Land 2018, 10, 140–151. [Google Scholar] [CrossRef]
- Viciani, D.; Gabellini, A. Contributo alla conoscenza della vegetazione del Pratomagno (Toscana orientale): Le praterie di crinale ed il complesso forestale regionale del versante casentinese. Webbia 2000, 55, 297–316. [Google Scholar] [CrossRef]
- Di Pietro, R.; De Santis, A.; Fortini, P.; Blasi, C. Geobotanical investigation on acidophilous grasslands in the Abruzzo, Lazio and Molise National Park. Lazaroa 2005, 26, 115–137. [Google Scholar]
- Venanzoni, R.; Gigante, D. Contribution to the study of the summit pastures of M. Tezio (Perugia, Italy). Phytosociology 1999, 36, 157–174. [Google Scholar]
- Brullo, S.; Cormaci, A.; Giusso Del Galdo, G.; Guarino, R.; Minissale, P.; Siracusa, G.; Spampinato, G. A syntaxonomical survey of the Sicilian dwarf shrub vegetation belonging to the class Rumici-Astragaletea siculi. Ann. Bot. 2005, 5, 57–104. [Google Scholar]
- Passalacqua, N.G.; Bernardo, L. Flora relitta di altitudine dell’Appennino meridionale: Quale origine? Biogeography 1998, 19, 105–117. [Google Scholar] [CrossRef]
- Di Pietro, R. New taxonomical data about genus Sesleria Scop. from southern Italy. In Proceedings of the XI Optima Meeting, Beograd, Serbia, 5–11 September 2004. Book of Abstract: 87. [Google Scholar]
- Venanzoni, R. Contributo alla conoscenza di prati umidi della Sila (Calabria-Italia). Doc. Phytosociol. 1988, 11, 613–633. [Google Scholar]
- Buffa, G.; Ghirelli, L.; Bracco, F.; Sburlino, G. Conservazione e biodiversità nella progettazione ambientale dell’area A.M.A.G. di Villaverla (VI). Noteb. I.A.E.D. 1997, 8, 56–58. [Google Scholar]
- Acosta, A.; Blasi, C.; Esposito, S.; Stanisci, A. Analisi della vegetazione delle dune costiere del Lazio centro-meridionale. Inform. Bot. Ital. 2000, 32, 5–10. [Google Scholar]
- Maiorca, G.; Spampinato, G.; Crisafulli, A. Carta della Vegetazione Reale della Foce del Fiume Crati (CS-Calabria); Progetto PHYTOS.I.S. Monograph no. 2; ARSSA: Cosenza, Italy, 2005. [Google Scholar]
- Brullo, S.; Spampinato, G. La vegetazione dei corsi d’acqua della Sicilia. Boll. Acc. Gioenia Sci. Nat. 1990, 23, 119–252. [Google Scholar]
- Gianguzzi, L.; La Mantia, A.; Lo Presti, R.M. Distribuzione, ecologia e status conservativo delle stazioni di Petagnaea gussonei (Sprengel) Rauschert (Apiaceae) nell’area dei Monti Nebrodi (Sicilia nord-orientale). Nat. Sicil. 2004, 28, 265–326. [Google Scholar]
- Mucina, L.; Bültmann, H.; Dierßen, K.; Theurillat, J.P.; Raus, T.; Čarni, A.; Šumberová, K.; Willner, W.; Dengler, J.; Gavilán García, R.; et al. Vegetation of Europe: Hierarchical floristic classification system of plant, lichen, and algal communities. Appl. Veg. Sci. 2016, 19, 3–264. [Google Scholar] [CrossRef]
- Biondi, E.; Galdenzi, D. Phytosociological analysis of the grasslands of Montagna dei Fiori (central Italy) and syntaxonomic review of the class Festuco-Brometea in the Apennines. Plant Sociol. 2012, 49, 91–112. [Google Scholar]
- Chytrý, M.; Dražil, T.; Hájek, M.; Kalníková, V.; Preislerová, Z.; Šibík, J.; Ujházy, K.; Axmanová, I.; Bernátová, D.; Blanár, D.; et al. The most species-rich plant communities in the Czech Republic and Slovakia (with new world records). Preslia 2015, 87, 217–278. [Google Scholar]
- Loiseau, P.; Louault, F.; Le Roux, X.; Bardy, M. Does extensification of rich grasslands alter the C and N cycles, directly or via species composition? Basic Appl. Ecol. 2005, 6, 275–287. [Google Scholar] [CrossRef]
- Rodriguez-Iturbe, I.; D’odorico, P.; Porporato, A.; Ridolfi, L.J.W.R.R. On the spatial and temporal links between vegetation, climate, and soil moisture. Water Resour. Res. 1999, 35, 3709–3722. [Google Scholar] [CrossRef]
- Myśliwy, M.; Pešić, V. Tall Herb Fringe Vegetation on Banks of Montenegrin Rivers as a Habitat Type of European Importance. Water 2023, 15, 3684. [Google Scholar] [CrossRef]
- Oroian, S.; Sămărghiţan, M.; Sămărghiţan, M. Phytosociogical research on wet meadows dominated by Scirpus sylvaticus L. in călimani and gurghiului mountains (mureș county). ABMJ 2019, 2, 49–59. [Google Scholar] [CrossRef]
- Aćić, S.; Šilc, U.; Petrović, M.; Tomović, G.; Dajić Stevanović, Z. Classification, ecology and biodiversity of Central Balkan dry grasslands. Tuexenia 2015, 35, 329–353. [Google Scholar]
- Utratna, M.; Okruszko, T. The Impact of Water Quality on the Special Areas of Conservation (Natura 2000) Located in the River Narew and River Warta Valleys. In Contemporary Problems of Management and Environmental Protection; 2011; Volume 7, Chapter 12. [Google Scholar]
- Foster, C.N.; Sato, C.F.; Lindenmayer, D.B.; Barton, P.S. Integrating theory into disturbance interaction experiments to better inform ecosystem management. Glob. Change Biol. 2016, 22, 1325–1335. [Google Scholar] [CrossRef]
- Facioni, L.; Del Vico, E.; Rosati, L.; Burrascano, S.; Tilia, A.; Blasi, C. Dry grasslands database of central Italy. In Vegetation Databases for the 21st Century; Dengler, J., Oldeland, J., Jansen, F., Chytrý, M., Ewald, J., Finckh, M., Glöckler, F., Lopez-Gonzalez, G., Peet, R.K., Schaminée, J.H.J., Eds.; Biodiversity and Ecology: Hamburg, Germany, 2012; Volume 4, p. 398. [Google Scholar]
- Lotze, H.K.; Lenihan, H.S.; Bourque, B.J.; Bradbury, R.H.; Cooke, R.G.; Kay, M.C.; Kidwell, S.M.; Kirby, M.X.; Peterson, C.H.; Jackson, J.B. Depletion, degradation, and recovery potential of estuaries and coastal seas. Science 2006, 312, 1806–1809. [Google Scholar] [CrossRef]
- Willems, J.H.; Peet, R.K.; Bik, L. Changes in chalk-grassland structure and species richness resulting from selective nutrient additions. J. Veg. Sci. 1993, 4, 203–212. [Google Scholar] [CrossRef]
- Henle, K.; Bauch, B.; Auliya, M.; Külvik, M.; Pe‘er, G.; Schmeller, D.S.; Framstad, E. Priorities for biodiversity monitoring in Europe: A review of supranational policies and a novel scheme for integrative prioritization. Ecol. Indic. 2013, 33, 5–18. [Google Scholar] [CrossRef]
- Hoffmann, S.; Beierkuhnlein, C.; Field, R.; Provenzale, A.; Chiarucci, A. Uniqueness of protected areas for conservation strategies in the European Union. Sci. Rep. 2018, 8, 6445. [Google Scholar] [CrossRef]









Disclaimer/Publisher’s Note: The statements, opinions and data contained in all publications are solely those of the individual author(s) and contributor(s) and not of MDPI and/or the editor(s). MDPI and/or the editor(s) disclaim responsibility for any injury to people or property resulting from any ideas, methods, instructions or products referred to in the content. |
© 2024 by the authors. Licensee MDPI, Basel, Switzerland. This article is an open access article distributed under the terms and conditions of the Creative Commons Attribution (CC BY) license (https://creativecommons.org/licenses/by/4.0/).
Share and Cite
Morabito, A.; Musarella, C.M.; Spampinato, G. Diversity and Ecological Assessment of Grasslands Habitat Types: A Case Study in the Calabria Region (Southern Italy). Land 2024, 13, 719. https://doi.org/10.3390/land13060719
Morabito A, Musarella CM, Spampinato G. Diversity and Ecological Assessment of Grasslands Habitat Types: A Case Study in the Calabria Region (Southern Italy). Land. 2024; 13(6):719. https://doi.org/10.3390/land13060719
Chicago/Turabian StyleMorabito, Antonio, Carmelo Maria Musarella, and Giovanni Spampinato. 2024. "Diversity and Ecological Assessment of Grasslands Habitat Types: A Case Study in the Calabria Region (Southern Italy)" Land 13, no. 6: 719. https://doi.org/10.3390/land13060719
APA StyleMorabito, A., Musarella, C. M., & Spampinato, G. (2024). Diversity and Ecological Assessment of Grasslands Habitat Types: A Case Study in the Calabria Region (Southern Italy). Land, 13(6), 719. https://doi.org/10.3390/land13060719
