Landscape Composition and Crop Border Vegetation Diversity Effect on Pollinators, Auxiliary Fauna, and Phytophagous Arthropods of Leguminous Cropland in Araba (Basque Country)
Abstract
1. Introduction
2. Material and Methods
2.1. Survey Area
2.2. Arthropod Sampling
2.3. Border Vegetation Characterization
2.4. Landscape Analysis
2.5. Statistical Analysis
3. Results
3.1. General Results
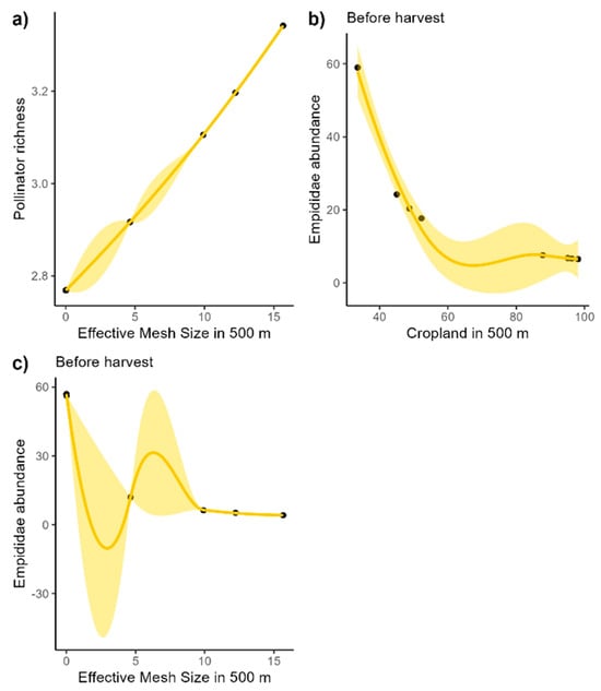
3.2. Pollinators
3.3. Pest Control Agents
3.4. Phytophagous
4. Discussion
4.1. Pollinators
4.2. Pest Control Agents
4.3. Phytophagous Arthropods
5. Conclusions
Supplementary Materials
Author Contributions
Funding
Data Availability Statement
Acknowledgments
Conflicts of Interest
References
- EU. Regulation (EU) 2024/1991 of the European Parliament and of the Council of 24 June 2024 on nature restoration and amending Regulation (EU) 2022/869. 2024. Available online: https://eur-lex.europa.eu/legal-content/EN/TXT/?uri=CELEX%3A32024R1991#document1 (accessed on 6 December 2024).
- IPBES. Global Assessment Report on Biodiversity and Ecosystem Services of the Intergovernmental Science-Policy Platform on Biodiversity and Ecosystem Services; Brondizio, E.S., Settele, J., Díaz, S., Ngo, H.T., Eds.; IPBES: Bonn, Germany, 2019. [Google Scholar]
- Meehan, T.D.; Werling, B.P.; Landis, D.A.; Gratton, C. Agricultural landscape simplification and insecticide use in the Midwestern United States. Proc. Natl. Acad. Sci. USA 2011, 108, 11500–11505. [Google Scholar] [CrossRef]
- IPBES. The Assessment Report of the Intergovernmental Science-Policy Platform on Biodiversity and Ecosystem Services on Pollinators, Pollination and Food Production; Potts, S.G., Imperatriz-Fonseca, V.L., Ngo, H.T., Eds.; IPBES: Bonn, Germany, 2016. [Google Scholar]
- FAO. Why Bees Matter. The Importance of Bees and Other Pollinators for Food and Agriculture; FAO: Rome, Italy, 2018. [Google Scholar]
- Steffan-Dewenter, I.; Münzenberg, U.; Bürger, C.; Thies, C.; Tscharntke, T. Scale-dependent effects of landscape context on three pollinator guilds. Ecology 2002, 83, 1421–1432. [Google Scholar] [CrossRef]
- Klein, A.M.; Vaissière, B.E.; Cane, J.H.; Steffan-Dewenter, I.; Cunningham, S.A.; Kremen, C.; Tscharntke, T. Importance of pollinators in changing landscapes for world crops. Proc. R. Soc. B Biol. Sci. 2007, 274, 303–313. [Google Scholar] [CrossRef] [PubMed]
- Lautenbach, S.; Seppelt, R.; Liebscher, J.; Dormann, C.F. Spatial and temporal trends of global pollination benefit. PLoS ONE 2012, 7, e35954. [Google Scholar] [CrossRef] [PubMed]
- Shackelford, G.; Steward, P.R.; Benton, T.G.; Kunin, W.E.; Potts, S.G.; Biesmeijer, J.C.; Sait, S.M. Comparison of pollinators and natural enemies: A meta-analysis of landscape and local effects on abundance and richness in crops. Biol. Rev. 2013, 88, 1002–1021. [Google Scholar] [CrossRef]
- Galpern, P.; Vickruck, J.; Devries, J.H.; Gavin, M.P. Landscape complexity is associated with crop yields across a large temperate grassland region. Agric. Ecosyst. Environ. 2020, 290, 106724. [Google Scholar] [CrossRef]
- Maurer, C.; Sutter, L.; Martínez-Núñez, C.; Pellisier, L.; Albrecht, M. Different types of semi-natural habitat are required to sustain diverse wild bee communities across agricultural landscapes. J. Appl. Ecol. 2022, 59, 2604–2615. [Google Scholar] [CrossRef]
- Vujanović, D.; Losapio, G.; Mészáros, M.; Popov, S.; Ristić, Z.M.; Stojnić, S.M.; Jović, J.; Vujić, A. Forest and grassland habitats support pollinator diversity more than wildflowers and sunflower monoculture. Ecol. Entomol. 2023, 48, 421–432. [Google Scholar] [CrossRef]
- Holzschuh, A.; Steffan-Dewenter, I.; Tscharntke, T. How do landscape composition and configuration, organic farming and fallow strips affect the diversity of bees, wasps and their parasitoids? J. Anim. Ecol. 2010, 79, 491–500. [Google Scholar] [CrossRef]
- Garbach, K.; Long, R.F. Determinants of field edge habitat restoration on farms in California’s Sacramento Valley. J. Environ. Manag. 2017, 189, 134–141. [Google Scholar] [CrossRef]
- Duarte, G.T.; Santos, P.M.; Cornelissen, T.G.; Ribeiro, M.C.; Paglia, A.P. The effects of landscape patterns on ecosystem services: Meta-analyses of landscape services. Landsc. Ecol. 2018, 33, 1247–1257. [Google Scholar] [CrossRef]
- Kleijn, D.; Bommarco, R.; Fijen, T.P.M.; Garibaldi, L.A.; Potts, S.G.; van der Putten, W.H. Ecological Intensification: Bridging the Gap between Science and Practice. Trends Ecol. Evol. 2019, 34, 154–166. [Google Scholar] [CrossRef] [PubMed]
- Martin, E.A.; Dainese, M.; Clough, Y.; Báldi, A.; Bommarco, R.; Gagic, V.; Garratt, M.P.D.; Holzschuh, A.; Kleijn, D.; Kovács-Hostyánszki, A.; et al. The interplay of landscape composition and configuration: New pathways to manage functional biodiversity and agroecosystem services across Europe. Ecol. Lett. 2019, 22, 1083–1094. [Google Scholar] [CrossRef] [PubMed]
- Magrach, A.; Giménez-García, A.; Allen-Perkins, A.; Garibaldi, L.A.; Bartomeus, I. Increasing crop richness and reducing field sizes provide higher yields to pollinator-dependent crops. J. Appl. Ecol. 2023, 60, 77–90. [Google Scholar] [CrossRef]
- Parron, L.M.; Villanueva, A.J.; Glenk, K. Estimating the value of ecosystem services in agricultural landscapes amid intensification pressures: The Brazilian case. Ecosyst. Serv. 2022, 57, 101476. [Google Scholar] [CrossRef]
- Puma, M.J.; Bose, S.; Chon, S.Y.; Cook, B.I. Assessing the evolving fragility of the global food system. Environ. Res. Lett. 2015, 10, 024007. [Google Scholar] [CrossRef]
- Jauker, F.; Diekötter, T.; Schwarzbach, F.; Wolters, V. Pollinator dispersal in an agricultural matrix: Opposing responses of wild bees and hoverflies to landscape structure and distance from main habitat. Landsc. Ecol. 2009, 24, 547–555. [Google Scholar] [CrossRef]
- Chaplin-Kramer, R.; O’Rourke, M.E.; Blitzer, E.J.; Kremen, C. A meta-analysis of crop pest and natural enemy response to landscape complexity. Ecol. Lett. 2011, 14, 922–932. [Google Scholar] [CrossRef]
- Karp, D.S.; Chaplin-Kramer, R.; Meehan, T.D.; Martin, E.A.; DeClerck, F.; Grab, H.; Gratton, C.; Hunt, L.; Larsen, A.E.; Martínez-Salinas, A.; et al. Crop pests and predators exhibit inconsistent responses to surrounding landscape composition. Proc. Natl. Acad. Sci. USA 2018, 115, E7863–E7870. [Google Scholar] [CrossRef]
- Pitt, W.J.; Kairy, L.R.; Mora, V.; Peirce, E.; Jensen, A.S.; Bradford, B.; Groves, R.; Christensen, T.; MacRae, I.; Nachappa, P. Landscapes with higher crop diversity have lower aphid species richness but higher plant virus prevalence. J. Appl. Ecol. 2024, 61, 1573–1586. [Google Scholar] [CrossRef]
- Altieri, M.A.; Nicholls, C.I. An agroecological basis for designing diversified cropping systems in the tropics. In New Dimensions in Agroecology; Clements, D.R., Shrestha, A., Eds.; Haworth Press: New York, NY, USA, 2004. [Google Scholar]
- Murphy-Bokern, D.; Stoddard, F.L.; Watson, C. Legumes in Cropping Systems; CAB International: Oxfordshire, UK, 2017. [Google Scholar]
- Eustat. Producción Final Agraria de la C.A. de Euskadi por Sectores Según Territorio Histórico (Miles de Euros). 2016(*). 2016. Available online: https://www.eustat.eus/elementos/ele0000200/produccion-final-agraria-de-la-ca-de-euskadi-por-sectores-segun-territorio-historico-miles-de-euros/tbl0000245_c.html (accessed on 10 June 2024).
- Ekolurra. Ekolurra.Cifras.Estadísticas 2020. Estadísticas 31/12/2020—Operadores de Producción Agroalimentaria Ecológica de EUSKADI. 2020. Available online: https://ekolurra.eus/wp-content/uploads/2022/07/ENEEK_Estatistika-2020.pdf (accessed on 7 May 2021).
- Open Street Map. 2022. Available online: https://www.openstreetmap.org (accessed on 15 June 2022).
- Goulet, H.; Huber, J.T. Hymenoptera of the World: An Identification Guide to Family; Centre for Land and Biological Resources Research, Agriculture Canada: Ottawa, ON, Canada, 1993.
- Oosterbroek, P. The European Families of the Diptera. Identification, Diagnosis, Biology; KNNV Publishing: Utrecht, The Netherlands, 2006. [Google Scholar]
- Bellmann, H. Guía de Campo de los Insectos; Ediciones OMEGA BCN, S.L.: Barcelona, Spain, 2018. [Google Scholar]
- Magurran, A.E. Measuring Biological Diversity; John Wiley & Sons: New York, NY, USA, 2003. [Google Scholar]
- QGIS Development Team. QGIS Geographic Information System; Open Source Geospatial Foundation Project; 2021. Available online: http://qgis.org (accessed on 20 February 2023).
- Plexida, S.G.; Sfougaris, A.I.; Ispikoudis, I.P.; Papanastasis, V.P. Selecting landscape metrics as indicators of spatial heterogeneity-Acomparison among Greek landscapes. Int. J. Appl. Earth Obs. Geoinf. 2014, 26, 26–35. [Google Scholar]
- Morelli, F.; Benedetti, Y.; Šímová, P. Landscape metrics as indicators of avian diversity and community measures. Ecol. Indic. 2018, 90, 132–141. [Google Scholar] [CrossRef]
- Jaeger, J.A.G. Landscape division, splitting index, and effective mesh size: New measures of landscape fragmentation. Landsc. Ecol. 2000, 15, 115–130. [Google Scholar] [CrossRef]
- Zhang, Y.; Haan, N.L.; Landis, D.A. Landscape composition and configuration have scale-dependent effects on agricultural pest suppression. Agric. Ecosyst. Environ. 2020, 302, 107085. [Google Scholar] [CrossRef]
- R Core Team. A Language and Environment for Statistical Computing; R Foundation for Statistical Computing: Viena, Austria, 2022. [Google Scholar]
- Tscharntke, T.; Karp, D.S.; Chaplin-Kramer, R.; Batáry, P.; DeClerck, F.; Gratton, C.; Hunt, L.; Ives, A.; Jonsson, M.; Larsen, A.; et al. When natural habitat fails to enhance biological pest control—Five hypotheses. Biol. Conserv. 2016, 204, 449–458. [Google Scholar] [CrossRef]
- Tscharntke, T.; Tylianakis, J.M.; Rand, T.A.; Didham, R.K.; Fahrig, L.; Batáry, P.; Bengtsson, J.; Clough, Y.; Crist, T.O.; Dormann, C.F.; et al. Landscape moderation of biodiversity patterns and processes—Eight hypotheses. Biol. Rev. 2012, 87, 661–685. [Google Scholar] [CrossRef]
- Šálek, M.; Hula, V.; Kipson, M.; Daňková, R.; Niedobová, J.; Gamero, A. Bringing diversity back to agriculture: Smaller fields and non-crop elements enhance biodiversity in intensively managed arable farmlands. Ecol. Indic. 2018, 90, 65–73. [Google Scholar] [CrossRef]
- Proesmans, W.; Bonte, D.; Smagghe, G.; Meeus, I.; Decocq, G.; Spicher, F.; Kolb, A.; Lemke, I.; Diekmann, M.; Bruun, H.H.; et al. Small forest patches as pollinator habitat: Oases in an agricultural desert? Landsc. Ecol. 2019, 34, 487–501. [Google Scholar] [CrossRef]
- Elisante, F.; Ndakidemi, P.; Arnold, S.E.J.; Belmain, S.R.; Gurr, G.M.; Darbyshire, I.; Xie, G.; Stevenson, P.C. Insect pollination is important in a smallholder bean farming system. PeerJ 2020, 8, e10102. [Google Scholar] [CrossRef]
- Cunningham, S.A.; Schellhorn, N.A.; Marcora, A.; Batley, M. Movement and phenology of bees in a subtropical Australian agricultural landscape. Austral Ecol. 2013, 38, 456–464. [Google Scholar] [CrossRef]
- Santos, A.; Fernandes, M.R.; Aguiar, F.C.; Branco, M.R.; Ferreira, M.T. Effects of riverine landscape changes on pollination services: A case study on the River Minho, Portugal. Ecol. Indic. 2018, 89, 656–666. [Google Scholar] [CrossRef]
- Seibold, S.; Gossner, M.M.; Simons, N.K.; Blüthgen, N.; Müller, J.; Ambarlı, D.; Ammer, C.; Bauhus, J.; Fischer, M.; Habel, J.C.; et al. Arthropod decline in grasslands and forests is associated with landscape-level drivers. Nature 2019, 574, 671–674. [Google Scholar] [CrossRef] [PubMed]
- Fijen, T.P.M.; Scheper, J.A.; Boekelo, B.; Raemakers, I.; Kleijn, D. Effects of landscape complexity on pollinators are moderated by pollinators’ association with mass-flowering crops. Proc. R. Soc. B Biol. Sci. 2019, 286, 20190387. [Google Scholar] [CrossRef] [PubMed]
- Delettre, Y.R.; Morvan, N.; Tréhen, P. Local biodiversity and multi-habitat use in empidoid flies (Insecta: Diptera, Empidoidea). Biodivers. Conserv. 1998, 7, 9–25. [Google Scholar] [CrossRef]
- Słowińska, I.; Jaskuła, R. Distributional patterns of aquatic Empididae (Diptera) along an elevational diversity gradient in a low mountain range: An example from Central Europe. Insects 2021, 12, 165. [Google Scholar] [CrossRef] [PubMed]
- Gurr, G.M.; Wratten, S.D.; Michael Luna, J. Multi-function agricultural biodiversity: Pest management and other benefits. Basic Appl. Ecol. 2003, 4, 107–116. [Google Scholar] [CrossRef]
- Schmidt, M.H.; Tscharntke, T. The role of perennial habitats for Central European farmland spiders. Agric. Ecosyst. Environ. 2005, 105, 235–242. [Google Scholar] [CrossRef]
- Rusch, A.; Chaplin-Kramer, R.; Gardiner, M.M.; Hawro, V.; Holland, J.; Landis, D.; Thies, C.; Tscharntke, T.; Weisser, W.W.; Winqvist, C.; et al. Agricultural landscape simplification reduces natural pest control: A quantitative synthesis. Agric. Ecosyst. Environ. 2016, 221, 198–204. [Google Scholar] [CrossRef]
- Vickery, J.; Carter, N.; Fuller, R.J. The potential value of managed cereal field margins as foraging habitats for farmland birds in the UK. Agric. Ecosyst. Environ. 2002, 89, 41–52. [Google Scholar] [CrossRef]
- Fahrig, L.; Girard, J.; Duro, D.; Pasher, J.; Smith, A.; Javorek, S.; King, D.; Lindsay, K.F.; Mitchell, S.; Tischendorf, L. Farmlands with smaller crop fields have higher within-field biodiversity. Agric. Ecosyst. Environ. 2015, 200, 219–234. [Google Scholar] [CrossRef]
- Bianchi, F.J.J.A.; Booij, C.J.H.; Tscharntke, T. Sustainable pest regulation in agricultural landscapes: A review on landscape composition, biodiversity and natural pest control. Proc. R. Soc. B Biol. Sci. 2006, 273, 1715–1727. [Google Scholar] [CrossRef] [PubMed]
- Botha, M.; Siebert, S.J.; van den Berg, J. Grass abundance maintains positive plant–arthropod diversity relationships in maize fields and margins in South Africa. Agric. For. Entomol. 2017, 19, 154–162. [Google Scholar] [CrossRef]
- Nagy, R.K.; Bell, L.W.; Schellhorn, N.A.; Zalucki, M.P. Role of grasslands in pest suppressive landscapes: How green are my pastures? Austral Entomol. 2020, 59, 227–237. [Google Scholar] [CrossRef]
- Hendrickx, F.; Maelfait, J.P.; Van Wingerden, W.; Schweiger, O.; Speelmans, M.; Aviron, S.; Augenstein, I.; Billeter, R.; Bailey, D.; Bukacek, R.; et al. How landscape structure, land-use intensity and habitat diversity affect components of total arthropod diversity in agricultural landscapes. J. Appl. Ecol. 2007, 44, 340–351. [Google Scholar] [CrossRef]
- Martin, E.A.; Seo, B.; Park, C.R.; Reineking, B.; Steffan-Dewenter, I. Scale-dependent effects of landscape composition and configuration on natural enemy diversity, crop herbivory, and yields. Ecol. Appl. 2016, 26, 448–462. [Google Scholar] [CrossRef]
- Gray, C.L.; Lewis, O.T. Do riparian forest fragments provide ecosystem services or disservices in surrounding oil palm plantations? Basic Appl. Ecol. 2014, 15, 693–700. [Google Scholar] [CrossRef]
- Heimoana, V.; Pilkington, L.J.; Raman, A.; Mitchell, A.; Nicol, H.I.; Johnson, A.C.; Gurr, G.M. Integrating spatially explicit molecular and ecological methods to explore the significance of non-crop vegetation to predators of brassica pests. Agric. Ecosyst. Environ. 2017, 239, 12–19. [Google Scholar] [CrossRef]
- Madeira, F.; Clemente-Orta, G.; Alomar, O.; Batuecas, I.; Sossai, S.; Albajes, R. Land use alters the abundance of herbivore and predatory insects on crops: The case of alfalfa. J. Pest Sci. 2022, 95, 473–491. [Google Scholar] [CrossRef]
- Popescu, C.; Oprina-Pavelescu, M.; Dinu, V.; Cazacu, C.; Burdon, F.J.; Forio, M.A.E.; Kupilas, B.; Friberg, N.; Goethals, P.; McKie, B.G.; et al. Riparian vegetation structure influences terrestrial invertebrate communities in an agricultural landscape. Water 2021, 13, 188. [Google Scholar] [CrossRef]
- Tamburini, G.; Santoiemma, G.; O’Rourke, M.E.; Bommarco, R.; Chaplin-Kramer, R.; Dainese, M.; Karp, D.S.; Kim, T.N.; Martin, E.A.; Petersen, M.; et al. Species traits elucidate crop pest response to landscape composition: A global analysis. Proc. R. Soc. B Biol. Sci. 2020, 287, 20202116. [Google Scholar] [CrossRef]
- Stinson, C.S.; Brown, V.K. Seasonal changes in the architecture of natural plant communities and its relevance to insect herbivores. Oecologia 1983, 56, 67–69. [Google Scholar] [CrossRef] [PubMed]
- Montero, G. Ecología de las interacciones entre malezas y artrópodos. In Malezas e Invasoras de la Argentina: Ecología y Manejo. Tomo I; Fernández, O., Acciaresi, H.A., Leguizamón, E., Eds.; Editorial Universidad Nacional del Sur: Bahía Blanca, Argentina, 2014; pp. 267–305. [Google Scholar]
- Mkenda, P.A.; Ndakidemi, P.A.; Stevenson, P.C.; Sarah, S.E.; Belmain, S.R.; Chidege, M.; Gurr, G.M. Field margin vegetation in tropical african bean systems harbours diverse natural enemies for biological pest control in adjacent crops. Sustainability 2019, 11, 6399. [Google Scholar] [CrossRef]







| Site | Buffer | Pasture | Natural Forest | Riparian Forest | Cropland | SHDI | S | PD | EDG | EMS |
|---|---|---|---|---|---|---|---|---|---|---|
| 1 | 500 | 0.00 | 0.67 | 0.71 | 87.76 | 0.54 | 8 | 0.19 | 181.73 | 0.01 |
| 1000 | 0.17 | 1.08 | 1.41 | 94.07 | 0.30 | 6 | 0.08 | 121.66 | 0.03 | |
| 2 | 500 | 0.00 | 0.07 | 2.32 | 96.26 | 0.19 | 4 | 0.13 | 168.03 | 0.02 |
| 1000 | 0.47 | 9.89 | 2.50 | 84.41 | 0.60 | 6 | 0.08 | 162.48 | 4.36 | |
| 3 | 500 | 0.00 | 0.00 | 0.00 | 98.10 | 0.11 | 3 | 0.04 | 55.01 | 0.00 |
| 1000 | 0.00 | 0.00 | 2.03 | 94.75 | 0.27 | 7 | 0.06 | 104.38 | 0.07 | |
| 4 | 500 | 0.00 | 19.97 | 2.21 | 48.72 | 1.58 | 11 | 0.67 | 556.28 | 4.64 |
| 1000 | 3.39 | 30.43 | 1.27 | 48.47 | 1.35 | 10 | 0.16 | 165.39 | 51.88 | |
| 5 | 500 | 28.00 | 14.50 | 0.00 | 52.24 | 1.24 | 10 | 0.61 | 434.19 | 15.68 |
| 1000 | 26.56 | 20.24 | 0.07 | 45.49 | 1.33 | 9 | 0.49 | 433.96 | 72.44 | |
| 6 | 500 | 4.03 | 28.19 | 0.19 | 33.56 | 1.92 | 15 | 0.40 | 429.65 | 9.91 |
| 1000 | 18.39 | 35.07 | 0.29 | 20.83 | 1.51 | 8 | 0.25 | 283.29 | 75.21 | |
| 7 | 500 | 0.00 | 0.00 | 1.65 | 95.08 | 0.23 | 3 | 0.09 | 133.24 | 0.01 |
| 1000 | 0.78 | 13.46 | 2.44 | 75.95 | 0.89 | 10 | 0.16 | 165.39 | 7.26 | |
| 8 | 500 | 4.54 | 23.50 | 2.11 | 45.04 | 1.41 | 9 | 0.31 | 283.41 | 12.23 |
| 1000 | 4.36 | 36.56 | 1.49 | 44.55 | 1.27 | 8 | 0.13 | 192.54 | 71.71 |
| 500 | 1000 | ||||
|---|---|---|---|---|---|
| Variables | R2 | p | R2 | p | |
| Cropland | Natural forest | −0.97 | <0.001 * | −0.93 | <0.001 * |
| Riparian forest | 0.12 | 0.443 | 0.55 | <0.001 * | |
| Pastures | −0.66 | <0.001 * | −0.90 | <0.001 * | |
| Effective Mesh Size | SHDI | 0.61 | <0.001 * | 0.89 | <0.001 * |
| R | 0.65 | <0.001 * | 0.51 | <0.001 * | |
| EDG | 0.69 | <0.001 * | 0.95 | <0.001 * | |
| PD | 0.69 | <0.001 * | 0.83 | <0.001 * | |
| AIC | Variables | Buffer | Estimate | Std. Error | t Value | Pr | |
|---|---|---|---|---|---|---|---|
| Pollinator richness | 125.6 | Intercept | 0.36 | 0.1 | 3.74 | <0.001 | |
| EMS | 500 | −0.00 | 0.00 | −3.28 | 0.001 | ||
| Empididae abundance (before harvest) | 177.3 | Intercept | −0.13 | 0.06 | 2.08 | 0.038 | |
| Cropland | 500 | 0.00 | 0.00 | 3.10 | 0.002 | ||
| EMS | 500 | −0.01 | 0.00 | −3.12 | 0.002 |
| AIC | Buffer | Estimate | Std. Error | t Value | Pr | ||
|---|---|---|---|---|---|---|---|
| Pest control richness | 84.1 | Intercept | 0.26 | 0.02 | 12.04 | <0.001 | |
| (before harvest) | Riparian forest | 500 | −0.03 | 0.01 | −2.16 | 0.031 | |
| Muscidae abundance (before harvest) | −284.6 | Intercept | 5.05 | 3.68 | 1.37 | 0.170 | |
| EMS | 500 | −0.3 | 0.24 | −1.26 | 0.208 |
| AIC | Buffer | Estimate | Std. Error | t Value | Pr | ||
|---|---|---|---|---|---|---|---|
| Phytophagous richness | 135.2 | Intercept | 0.33 | 0.05 | 6.50 | <0.001 | |
| Cropland | 500 | −0.00 | 0.00 | −2.81 | 0.004 | ||
| Border vegetation diversity | −0.05 | 0.02 | −2.76 | 0.005 | |||
| Riparian forest | 500 | −0.01 | 0.00 | −1.93 | 0.054 | ||
| Phytophagous richness | 61.2 | Intercept | 0.30 | 0.02 | 14.73 | <0.001 | |
| (before harvest) | Border vegetation diversity | −0.06 | 0.02 | −2.98 | 0.003 | ||
| Thysanoptera abundance (after harvest) | 176.2 | Intercept | 0.07 | 0.02 | 4.03 | <0.001 | |
| Cropland | 500 | −0.00 | 0.00 | 2.82 | 0.005 |
Disclaimer/Publisher’s Note: The statements, opinions and data contained in all publications are solely those of the individual author(s) and contributor(s) and not of MDPI and/or the editor(s). MDPI and/or the editor(s) disclaim responsibility for any injury to people or property resulting from any ideas, methods, instructions or products referred to in the content. |
© 2024 by the authors. Licensee MDPI, Basel, Switzerland. This article is an open access article distributed under the terms and conditions of the Creative Commons Attribution (CC BY) license (https://creativecommons.org/licenses/by/4.0/).
Share and Cite
Urkijo, A.; Ametzaga-Arregi, I.; Elkano, E.; Albizu, I. Landscape Composition and Crop Border Vegetation Diversity Effect on Pollinators, Auxiliary Fauna, and Phytophagous Arthropods of Leguminous Cropland in Araba (Basque Country). Land 2024, 13, 2128. https://doi.org/10.3390/land13122128
Urkijo A, Ametzaga-Arregi I, Elkano E, Albizu I. Landscape Composition and Crop Border Vegetation Diversity Effect on Pollinators, Auxiliary Fauna, and Phytophagous Arthropods of Leguminous Cropland in Araba (Basque Country). Land. 2024; 13(12):2128. https://doi.org/10.3390/land13122128
Chicago/Turabian StyleUrkijo, Ainhoa, Ibone Ametzaga-Arregi, Eneko Elkano, and Isabel Albizu. 2024. "Landscape Composition and Crop Border Vegetation Diversity Effect on Pollinators, Auxiliary Fauna, and Phytophagous Arthropods of Leguminous Cropland in Araba (Basque Country)" Land 13, no. 12: 2128. https://doi.org/10.3390/land13122128
APA StyleUrkijo, A., Ametzaga-Arregi, I., Elkano, E., & Albizu, I. (2024). Landscape Composition and Crop Border Vegetation Diversity Effect on Pollinators, Auxiliary Fauna, and Phytophagous Arthropods of Leguminous Cropland in Araba (Basque Country). Land, 13(12), 2128. https://doi.org/10.3390/land13122128

