Application of Machine Learning Algorithms for Digital Mapping of Soil Salinity Levels and Assessing Their Spatial Transferability in Arid Regions
Abstract
:1. Introduction
2. Materials and Methods
2.1. Study Area
2.2. Field Study and Sampling Strategy
2.3. Sample Analysis
2.4. Environmental Covariates via Google Earth Engine
2.4.1. Synthetic Aperture Radar Data
2.4.2. Multispectral Satellite Data
2.4.3. Digital Elevation Model Data
| Remote Sensing (RS) (Sentinel 2) OPTICAL-Based Covariates | Equations [27,32,35,58,66] |
|---|---|
| Band 2 | Blue (Central Wavelength: 490 nm) |
| Band 3 | Green (Central Wavelength: 560 nm) |
| Band 4 | Red (Central Wavelength: 665 nm) |
| Band 8 | NIR (Central Wavelength: 842 nm) |
| Band 11 | SWIR1 (Central Wavelength: 1610 nm) |
| Band 12 | SWIR1 (Central Wavelength: 2190 nm) |
| Normalized Difference Vegetation Index (NDVI) | |
| Carbonate Normalized Ratio (CNR) | |
| Clay Normalized Ratio (CLNR) | |
| Ferrous Normalized Ratio (FNR) | |
| Iron Normalized Ratio (INR) | |
| Normalized Difference Moisture Index (NDMI) | |
| Rock Outcrop Normalized Ratio (RONR) | |
| Green-Red vegetation index (GRVI) | |
| Saturation index (SatInd) | |
| Green Normalized Difference Vegetation Index (GNDVI) | |
| Salinity Index 1 | |
| Salinity Index 2 | |
| Salinity Index 3 | |
| Salinity Index 4 | |
| Salinity Index 5 | |
| Salinity Index 6 | |
| Remote Sensing (RS) (PALSAR/PALSAR-2 mosaic) synthetic aperture RADAR-based covariates [59,61] | |
| AVG_HH_dB-polarization backscattering coefficient | For horizontal transmit and horizontal receive |
| AVG_HV_dB-polarization backscattering coefficient | For horizontal transmit and vertical receive |
| DEM-based primary covariates at NASA JPL [65] | |
| Elevation | m unit |
| Slope | Degree unit |
2.5. Modelling Salinity Levels and Transferability of Models
2.6. Importance of Used Covariates in Models, Accuracy, and Uncertainty Evaluations
3. Results
3.1. Results of Measured Electrical Conductivity and Assessment of Salinity Classes
3.2. Performance of the Different Classification Algorithms
3.3. Transferability of Models according to Multivariate Environmental Similarity Surface
3.4. Spatial Prediction of Soil Salinity Levels in Reference and Target Areas
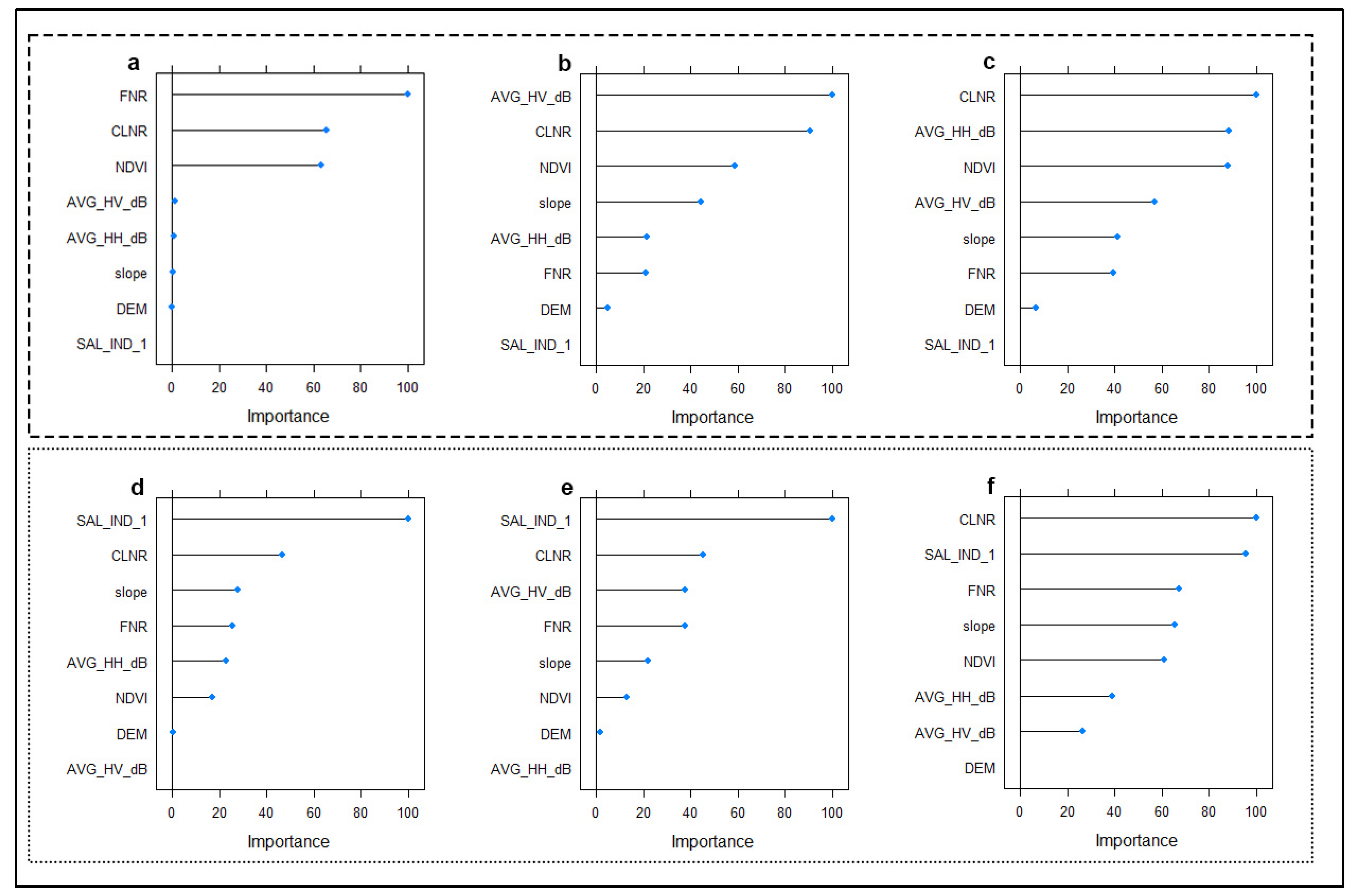
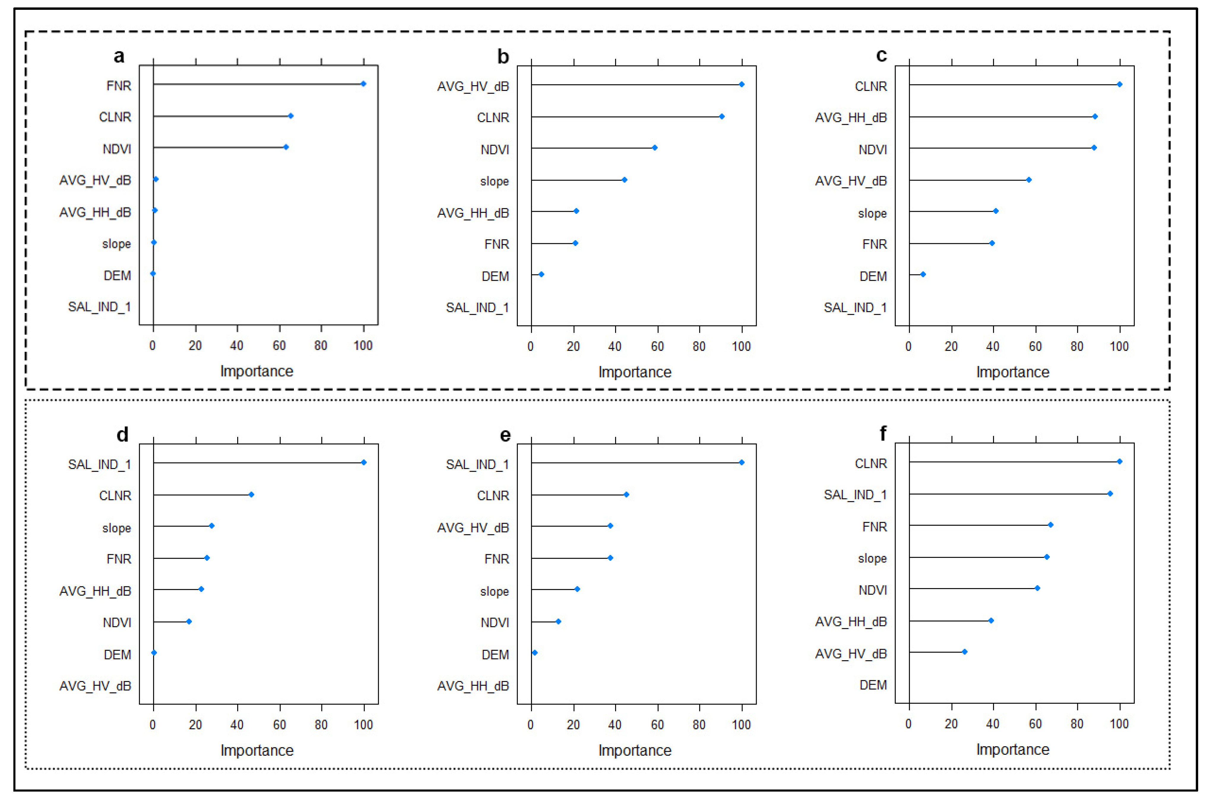
3.5. Importance of Environmental Variables
4. Discussion
5. Conclusions
Author Contributions
Funding
Data Availability Statement
Conflicts of Interest
Appendix A



References
- FAO. GSASmap v1.0, Global Map of Salt-Affected Soils. Available online: https://www.fao.org/3/cb7247en/cb7247en.pdf (accessed on 7 September 2022).
- Kaya, F.; Schillaci, C.; Keshavarzi, A.; Basayigit, L. Predictive Mapping of Electrical Conductivity and Assessment of Soil Salinity in a Western Türkiye Alluvial Plain. Land 2022, 11, 2148. [Google Scholar] [CrossRef]
- Negacz, K.; Vellinga, P.; Barrett-Lennard, E.; Choukr-Allah, R.; Elzenga, T. (Eds.) Future of Sustainable Agriculture in Saline Environments; CRC Press: Boca Raton, FL, USA, 2021. [Google Scholar]
- Hazbavi, Z.; Zabihi Silabi, M. Innovations of the 21st Century in the Management of Iranian Salt-Affected Lands. In Future of Sustainable Agriculture in Saline Environments; Negacz, K., Vellinga, P., Barrett-Lennard, E., Choukr-Allah, R., Elzenga, T., Eds.; CRC Press: Boca Raton, FL, USA, 2021; pp. 147–170. [Google Scholar]
- Zdruli, P.; Zucca, C. Restoring Land and Soil Health to Ensure Sustainable and Resilient Agriculture in the Near East and North Africa Region—State of Land and Water Resources for Food and Agriculture Thematic Paper; Zdruli, P., Zucca, C., Eds.; FAO: Cairo, Egypt, 2023. [Google Scholar]
- Negacz, K.; Malek, Ž.; de Vos, A.; Vellinga, P. Saline Soils Worldwide: Identifying the Most Promising Areas for Saline Agriculture. J. Arid Environ. 2022, 203, 104775. [Google Scholar] [CrossRef]
- Mukhopadhyay, R.; Sarkar, B.; Jat, H.S.; Sharma, P.C.; Bolan, N.S. Soil Salinity under Climate Change: Challenges for Sustainable Agriculture and Food Security. J. Environ. Manag. 2021, 280, 111736. [Google Scholar] [CrossRef] [PubMed]
- Singh, A. Soil Salinity: A Global Threat to Sustainable Development. Soil Use Manag. 2022, 38, 39–67. [Google Scholar] [CrossRef]
- Singh, A. Soil Salinization Management for Sustainable Development: A Review. J. Environ. Manag. 2021, 277, 111383. [Google Scholar] [CrossRef]
- Basak, N.; Rai, A.K.; Barman, A.; Mandal, S.; Sundha, P.; Bedwal, S.; Kumar, S.; Yadav, R.K.; Sharma, P.C. Salt Affected Soils: Global Perspectives. In Soil Health and Environmental Sustainability; Shit, P.K., Adhikary, P.P., Bhunia, G.S., Sengupta, D., Eds.; Springer Science and Business Media Deutschland GmbH: Berlin/Heidelberg, Germany, 2022; pp. 107–129. [Google Scholar]
- Devkota, K.P.; Devkota, M.; Rezaei, M.; Oosterbaan, R. Managing Salinity for Sustainable Agricultural Production in Salt-Affected Soils of Irrigated Drylands. Agric. Syst. 2022, 198, 103390. [Google Scholar] [CrossRef]
- Cf, O.D.D.S. United Nations General Assembly Transforming Our World: The 2030 Agenda for Sustainable Development; United Nations: New York, NY, USA, 2015. [Google Scholar]
- Tomaz, A.; Palma, P.; Alvarenga, P.; Gonçalves, M.C. Soil Salinity Risk in a Climate Change Scenario and Its Effect on Crop Yield. In Climate Change and Soil Interactions; Elsevier: Amsterdam, The Netherlands, 2020; pp. 351–396. [Google Scholar] [CrossRef]
- Okur, B.; Örçen, N. Soil Salinization and Climate Change. In Climate Change and Soil Interactions; Elsevier: Amsterdam, The Netherlands, 2020; pp. 331–350. [Google Scholar] [CrossRef]
- Keshavarzi, A.; del Árbol, M.Á.S.; Kaya, F.; Gyasi-Agyei, Y.; Rodrigo-Comino, J. Digital Mapping of Soil Texture Classes for Efficient Land Management in the Piedmont Plain of Iran. Soil Use Manag. 2022, 38, 1705–1735. [Google Scholar] [CrossRef]
- Tziolas, N.; Tsakiridis, N.; Ogen, Y.; Kalopesa, E.; Ben-Dor, E.; Theocharis, J.; Zalidis, G. An Integrated Methodology Using Open Soil Spectral Libraries and Earth Observation Data for Soil Organic Carbon Estimations in Support of Soil-Related SDGs. Remote Sens. Environ. 2020, 244, 111793. [Google Scholar] [CrossRef]
- Wang, J.; Zhen, J.; Hu, W.; Chen, S.; Lizaga, I.; Zeraatpisheh, M.; Yang, X. Remote Sensing of Soil Degradation: Progress and Perspective. Int. Soil Water Conserv. Res. 2023, 11, 429–454. [Google Scholar] [CrossRef]
- Bennett, J.M.L.; Roberton, S.D.; Ghahramani, A.; McKenzie, D.C. Operationalising Soil Security by Making Soil Data Useful: Digital Soil Mapping, Assessment and Return-on-Investment. Soil Secur. 2021, 4, 100010. [Google Scholar] [CrossRef]
- Malone, B.; Arrouays, D.; Poggio, L.; Minasny, B.; McBratney, A. Digital Soil Mapping: Evolution, Current State and Future Directions of the Science. Ref. Modul. Earth Syst. Environ. Sci. 2022, 4, 684–695. [Google Scholar] [CrossRef]
- Miller, B.A. Digital Soil Mapping and Pedometrics. In International Encyclopedia of Geography: People, the Earth, Environment and Technology; John Wiley & Sons, Ltd.: Oxford, UK, 2017; pp. 1–8. [Google Scholar]
- European Commission. Soil Monitoring and Resilience (Soil Monitoring Law); European Commission: Brussels, Belgium, 2023. [Google Scholar]
- Rezaei, M.; Mousavi, S.R.; Rahmani, A.; Zeraatpisheh, M.; Rahmati, M.; Pakparvar, M.; Jahandideh Mahjenabadi, V.A.; Seuntjens, P.; Cornelis, W. Incorporating Machine Learning Models and Remote Sensing to Assess the Spatial Distribution of Saturated Hydraulic Conductivity in a Light-Textured Soil. Comput. Electron. Agric. 2023, 209, 107821. [Google Scholar] [CrossRef]
- Mousavi, S.R.; Sarmadian, F.; Omid, M.; Bogaert, P. Three-Dimensional Mapping of Soil Organic Carbon Using Soil and Environmental Covariates in an Arid and Semi-Arid Region of Iran. Measurement 2022, 201, 111706. [Google Scholar] [CrossRef]
- Sahbeni, G.; Ngabire, M.; Musyimi, P.K.; Székely, B. Challenges and Opportunities in Remote Sensing for Soil Salinization Mapping and Monitoring: A Review. Remote Sens. 2023, 15, 2540. [Google Scholar] [CrossRef]
- Mohamed, S.A.; Metwaly, M.M.; Metwalli, M.R.; AbdelRahman, M.A.E.; Badreldin, N. Integrating Active and Passive Remote Sensing Data for Mapping Soil Salinity Using Machine Learning and Feature Selection Approaches in Arid Regions. Remote Sens. 2023, 15, 1751. [Google Scholar] [CrossRef]
- Mousavi, S.R.; Sarmadian, F.; Omid, M.; Bogaert, P. Digital Modeling of Three-Dimensional Soil Salinity Variation Using Machine Learning Algorithms in Arid and Semi-Arid Lands of Qazvin Plain. Iran. J. Soil Water Res. 2021, 52, 1915–1929. [Google Scholar] [CrossRef]
- Kaplan, G.; Gašparović, M.; Alqasemi, A.S.; Aldhaheri, A.; Abuelgasim, A.; Ibrahim, M. Soil Salinity Prediction Using Machine Learning and Sentinel—2 Remote Sensing Data in Hyper—Arid Areas. Phys. Chem. Earth Parts A/B/C 2023, 130, 103400. [Google Scholar] [CrossRef]
- Merembayev, T.; Amirgaliyev, Y.; Saurov, S.; Wójcik, W. Soil Salinity Classification Using Machine Learning Algorithms and Radar Data in the Case from the South of Kazakhstan. J. Ecol. Eng. 2022, 23, 61–67. [Google Scholar] [CrossRef]
- Ma, G.; Ding, J.; Han, L.; Zhang, Z.; Ran, S. Digital Mapping of Soil Salinization Based on Sentinel-1 and Sentinel-2 Data Combined with Machine Learning Algorithms. Reg. Sustain. 2021, 2, 177–188. [Google Scholar] [CrossRef]
- He, Y.; Zhang, Z.; Xiang, R.; Ding, B.; Du, R.; Yin, H.; Chen, Y.; Ba, Y. Monitoring Salinity in Bare Soil Based on Sentinel-1/2 Image Fusion and Machine Learning. Infrared Phys. Technol. 2023, 131, 104656. [Google Scholar] [CrossRef]
- Wang, J.; Wu, F.; Shang, J.; Zhou, Q.; Ahmad, I.; Zhou, G. Saline Soil Moisture Mapping Using Sentinel-1A Synthetic Aperture Radar Data and Machine Learning Algorithms in Humid Region of China’s East Coast. Catena (Amst.) 2022, 213, 106189. [Google Scholar] [CrossRef]
- Kaya, F.; Ferhatoglu, C.; Turgut, Y.Ş.; Başayiğit, L. State of Art Approaches, Insights, and Challenges for Digital Mapping of Electrical Conductivity as a Dynamic Soil Property. In Proceedings of the 7th International Scientific Meeting as Soil Science Symposium on “Soil Science & Plant Nutrition”; Kizilkaya, R., Gülser, C., Dengiz, O., Eds.; Federation of Eurasian Soil Science Societi: Samsun, Turkey, 2022; pp. 75–82. [Google Scholar]
- Hassani, A.; Azapagic, A.; Shokri, N. Predicting Long-Term Dynamics of Soil Salinity and Sodicity on a Global Scale. Proc. Natl. Acad. Sci. 2020, 117, 33017–33027. [Google Scholar] [CrossRef] [PubMed]
- Omuto, C.T.; Vargas, R.R.; El Mobarak, A.M.; Mohamed, N.; Viatkin, K.; Yigini, Y. Mapping of Salt-Affected Soils: Technical Manual, 1st ed.; FAO: Rome, Italy, 2020. [Google Scholar]
- Avdan, U.; Kaplan, G.; Küçük Matcı, D.; Yiğit Avdan, Z.; Erdem, F.; Tuğba Mızık, E.; Demirtaş, İ. Soil Salinity Prediction Models Constructed by Different Remote Sensors. Phys. Chem. Earth Parts A/B/C 2022, 128, 103230. [Google Scholar] [CrossRef]
- Foronda, D.A.; Colinet, G. Prediction of Soil Salinity/Sodicity and Salt-Affected Soil Classes from Salt Soluble Ions Using Machine Learning Algorithms. Soil Syst. 2023, 7, 47. [Google Scholar] [CrossRef]
- Guo, Y.; Shi, Z.; Li, H.Y.; Triantafilis, J. Application of Digital Soil Mapping Methods for Identifying Salinity Management Classes Based on a Study on Coastal Central China. Soil Use Manag. 2013, 29, 445–456. [Google Scholar] [CrossRef]
- Konyushkova, M.; Krenke, A.; Khasankhanova, G.; Mamutov, N.; Statov, V.; Kontoboytseva, A.; Pankova, Y. An Approach to Monitoring of Salt-Affected Croplands Using Remote Sensing Data. In Future of Sustainable Agriculture in Saline Environments; Negacz, K., Vellinga, P., Barrett-Lennard, E., Choukr-Allah, R., Elzenga, T., Eds.; CRC Press: Boca Raton, FL, USA, 2021; pp. 171–180. [Google Scholar]
- Golestani, M.; Mosleh Ghahfarokhi, Z.; Esfandiarpour-Boroujeni, I.; Shirani, H. Evaluating the Spatiotemporal Variations of Soil Salinity in Sirjan Playa, Iran Using Sentinel-2A and Landsat-8 OLI Imagery. Catena (Amst.) 2023, 231, 107375. [Google Scholar] [CrossRef]
- Kabiraj, S.; Jayanthi, M.; Vijayakumar, S.; Duraisamy, M. Comparative Assessment of Satellite Images Spectral Characteristics in Identifying the Different Levels of Soil Salinization Using Machine Learning Techniques in Google Earth Engine. Earth Sci. Inform. 2022, 15, 2275–2288. [Google Scholar] [CrossRef]
- Lekka, C.; Petropoulos, G.P.; Triantakonstantis, D.; Detsikas, S.E.; Chalkias, C. Exploring the Spatial Patterns of Soil Salinity and Organic Carbon in Agricultural Areas of Lesvos Island, Greece, Using Geoinformation Technologies. Environ. Monit. Assess 2023, 195, 391. [Google Scholar] [CrossRef]
- Nenkam, A.M.; Wadoux, A.M.J.C.; Minasny, B.; McBratney, A.B.; Traore, P.C.S.; Falconnier, G.N.; Whitbread, A.M. Using Homosoils for Quantitative Extrapolation of Soil Mapping Models. Eur. J. Soil Sci. 2022, 73, e13285. [Google Scholar] [CrossRef]
- Ibrahim, T.S.; Workneh, T.S. Identification of Technical Factors That Influence Sugar Productivity of Factories in Sudan. Afr. J. Sci. Technol. Innov. Dev. 2022, 14, 234–246. [Google Scholar] [CrossRef]
- Mahgoub, F. Current Status of Agriculture and Future Challenges in Sudan; Nordiska Afrikainstitutet: Uppsala, Sweden, 2014; ISBN 9789171067487. [Google Scholar]
- Liu, L.; Ji, M.; Buchroithner, M. Transfer Learning for Soil Spectroscopy Based on Convolutional Neural Networks and Its Application in Soil Clay Content Mapping Using Hyperspectral Imagery. Sensors 2018, 18, 3169. [Google Scholar] [CrossRef] [PubMed]
- Padarian, J.; Minasny, B.; McBratney, A.B. Transfer Learning to Localise a Continental Soil Vis-NIR Calibration Model. Geoderma 2019, 340, 279–288. [Google Scholar] [CrossRef]
- Francos, N.; Heller-Pearlshtien, D.; Dematte, J.A.M.; Van Wesemael, B.; Milewski, R.; Chabrillat, S.; Tziolas, N.; Sanz Diaz, A.; Yague Ballester, M.J.; Gholizadeh, A.; et al. A Spectral Transfer Function to Harmonize Existing Soil Spectral Libraries Generated by Different Protocols. Appl. Environ. Soil Sci. 2023, 2023, 4155390. [Google Scholar] [CrossRef]
- Lemercier, B.; Lacoste, M.; Loum, M.; Walter, C. Extrapolation at Regional Scale of Local Soil Knowledge Using Boosted Classification Trees: A Two-Step Approach. Geoderma 2012, 171–172, 75–84. [Google Scholar] [CrossRef]
- Du, L.; McCarty, G.W.; Li, X.; Rabenhorst, M.C.; Wang, Q.; Lee, S.; Hinson, A.L.; Zou, Z. Spatial Extrapolation of Topographic Models for Mapping Soil Organic Carbon Using Local Samples. Geoderma 2021, 404, 115290. [Google Scholar] [CrossRef]
- Neyestani, M.; Sarmadian, F.; Jafari, A.; Keshavarzi, A.; Sharififar, A. Digital Mapping of Soil Classes Using Spatial Extrapolation with Imbalanced Data. Geoderma Regional. 2021, 26, e00422. [Google Scholar] [CrossRef]
- Abbaszadeh Afshar, F.; Ayoubi, S.; Jafari, A. The Extrapolation of Soil Great Groups Using Multinomial Logistic Regression at Regional Scale in Arid Regions of Iran. Geoderma 2018, 315, 36–48. [Google Scholar] [CrossRef]
- Broeg, T.; Blaschek, M.; Seitz, S.; Taghizadeh-Mehrjardi, R.; Zepp, S.; Scholten, T. Transferability of Covariates to Predict Soil Organic Carbon in Cropland Soils. Remote Sens. 2023, 15, 876. [Google Scholar] [CrossRef]
- Mirzaeitalarposhti, R.; Shafizadeh-Moghadam, H.; Taghizadeh-Mehrjardi, R.; Demyan, M.S. Digital Soil Texture Mapping and Spatial Transferability of Machine Learning Models Using Sentinel-1, Sentinel-2, and Terrain-Derived Covariates. Remote Sens. 2022, 14, 5909. [Google Scholar] [CrossRef]
- Soil Survey Staff. Keys to Soil Taxonomy, 12th ed.; USDA-Natural Resources Conservation Service: Washington, DC, USA, 2014. [Google Scholar]
- Ditzler, C.; Scheffe, K.; Monger, H.C. (Eds.) Soil Science Division Staff Soil Survey Manual; USDA Handbook 18; Government Printing Office: Washington, DC, USA, 2017. [Google Scholar]
- FAO. Standard Operating Procedure for Saturated Soil Paste Extract; FAO: Rome, Italy, 2021. [Google Scholar]
- Omuto, C.T.; Vargas, R.R.; Elmobarak, A.A.; Mapeshoane, B.E.; Koetlisi, K.A.; Ahmadzai, H.; Abdalla Mohamed, N. Digital Soil Assessment in Support of a Soil Information System for Monitoring Salinization and Sodification in Agricultural Areas. Land Degrad. Dev. 2022, 33, 1204–1218. [Google Scholar] [CrossRef]
- Handbook, S.U.; Tools, E. Sentinel-2 User Handbook, Version 1.2.; European Space Agency (ESA): Paris, France, 2015. [Google Scholar]
- ALOS PALSAR Dataset: © JAXA/METI ALOS PALSAR L1.0 2007. Available online: https://asf.alaska.edu/ (accessed on 12 February 2023).
- Gorelick, N.; Hancher, M.; Dixon, M.; Ilyushchenko, S.; Thau, D.; Moore, R. Google Earth Engine: Planetary-Scale Geospatial Analysis for Everyone. Remote Sens. Environ. 2017, 202, 18–27. [Google Scholar] [CrossRef]
- Japan Aerospace Exploration Agency (JAXA); Earth Observation Research Center (EORC). Global 25 m Resolution PALSAR-2 Mosaic (Ver.2.1.2). Dataset Description; ALOS. Available online: https://www.eorc.jaxa.jp/ALOS/en/dataset/fnf_e.htm (accessed on 12 February 2023).
- Shimada, M.; Itoh, T.; Motooka, T.; Watanabe, M.; Shiraishi, T.; Thapa, R.; Lucas, R. Global PALSAR-2/PALSAR Yearly Mosaic, Version 1. Available online: https://developers.google.com/earth-engine/datasets/catalog/JAXA_ALOS_PALSAR_YEARLY_SAR (accessed on 12 February 2023).
- Franceschini, G.; Ali, M. Introductory Course to Google Earth Engine; FAO: Rome, Italy, 2022. [Google Scholar]
- ESRI. ArcGIS 2021. Available online: https://www.arcgis.com/index.html (accessed on 12 February 2023).
- NASA JPL NASADEM Merged DEM Global 1 Arc Second V001 [Dataset]. NASA EOSDIS Land Processes DAAC. Available online: https://cmr.earthdata.nasa.gov/search/concepts/C1546314043-LPDAAC_ECS.html (accessed on 21 March 2023).
- Brown, K.S.; Libohova, Z.; Boettinger, J. Digital Soil Mapping. In Soil Survey Manual; USDA Handbook 18; Ditzler, C., Scheffe, K., Monger, H.C., Eds.; Government Printing Office: Washington, DC, USA, 2017. [Google Scholar]
- Kaya, F.; Başayiğit, L. Using Machine Learning Algorithms to Mapping of the Soil Macronutrient Elements Variability with Digital Environmental Data in an Alluvial Plain. In Artificial Intelligence and Smart Agriculture Applications; Kose, U., Prasath, V.B.S., Mondal, M.R.H., Podder, P., Subrato, B., Eds.; Auerbach Publications: Boca Raton, FL, USA, 2022; pp. 107–136. [Google Scholar]
- Kuhn, M. Building Predictive Models in R Using the Caret Package. J. Stat. Softw. 2008, 28, 1–26. [Google Scholar] [CrossRef]
- Liu, F.; Wu, H.; Zhao, Y.; Li, D.; Yang, J.L.; Song, X.; Shi, Z.; Zhu, A.X.; Zhang, G.L. Mapping High Resolution National Soil Information Grids of China. Sci. Bull. 2022, 67, 328–340. [Google Scholar] [CrossRef] [PubMed]
- Van der Westhuizen, S.; Heuvelink, G.B.M.; Hofmeyr, D.P. Multivariate Random Forest for Digital Soil Mapping. Geoderma 2023, 431, 116365. [Google Scholar] [CrossRef]
- Hosmer, D.W.; Lemeshow, S.; Sturdivant, R.X. Logistic Regression Models for Multinomial and Ordinal Outcomes. In Applied Logistic Regression; John Wiley & Sons, Ltd.: Hoboken, NJ, USA, 2013; pp. 269–311. [Google Scholar]
- Venables, W.N.; Ripley, B.D. Modern Applied Statistics with S., 4th ed.; Springer: New York, NY, USA, 2002. [Google Scholar]
- Friedman, J.H. Stochastic Gradient Boosting. Comput. Stat. Data Anal. 2002, 38, 367–378. [Google Scholar] [CrossRef]
- Greenwell, B.; Boehmke, B.; Cunningham, J.; Developers, G.B.M. Gbm: Generalized Boosted Regression Models. 2022. Available online: https://cran.r-project.org/web/packages/gbm/index.html (accessed on 15 February 2023).
- R Core Team. R: A Language and Environment for Statistical Computing. R Foundation for Statistical Computing. Available online: https://www.r-project.org/index.html (accessed on 15 February 2023).
- Kaya, F.; Başayiğit, L. Spatial Prediction and Digital Mapping of Soil Texture Classes in a Floodplain Using Multinomial Logistic Regression. In Intelligent and Fuzzy Techniques for Emerging Conditions and Digital Transformation; Kahraman, C., Cebi, S., Onar Cevik, S., Oztaysi, B., Tolga, A.C., Sari, I.U., Eds.; Springer International Publishing: Berlin/Heidelberg, Germany, 2022; pp. 463–473. [Google Scholar]
- Friedman, J.H. Greedy Function Approximation: A Gradient Boosting Machine. In The Annals of Statistic; JSTOR: New York, NY, USA, 2001; p. 29. [Google Scholar] [CrossRef]
- Estevez, V.; Beucher, A.; Mattback, S.; Boman, A.; Auri, J.; Bjork, K.-M.; Osterholm, P. Machine Learning Techniques for Acid Sulfate Soil Mapping in southeastern Finland. Geoderma 2022, 406, 115446. [Google Scholar] [CrossRef]
- RStudio Team. RStudio: Integrated Development for R; PBC: Boston, MA, USA, 2023. [Google Scholar]
- Hijmans, R.J.; Phillips, S.; Leathwick, J.; Elith, J. Dismo: Species Distribution Modeling; 2022. Available online: https://cran.r-project.org/web/packages/dismo/index.html (accessed on 15 February 2023).
- Camera, C.; Zomeni, Z.; Noller, J.S.; Zissimos, A.M.; Christoforou, I.C.; Bruggeman, A. A High Resolution Map of Soil Types and Physical Properties for Cyprus: A Digital Soil Mapping Optimization. Geoderma 2017, 285, 35–49. [Google Scholar] [CrossRef]
- Silva, B.P.C.; Silva, M.L.N.; Avalos, F.A.P.; de Menezes, M.D.; Curi, N. Digital Soil Mapping Including Additional Point Sampling in Posses Ecosystem Services Pilot Watershed, Southeastern Brazil. Sci. Rep. 2019, 9, 13763. [Google Scholar] [CrossRef]
- Olsen, L.R.; Zachariae, H.B. Cvms: Cross-Validation for Model Selection 2023. Available online: https://cran.r-project.org/web/packages/cvms/cvms.pdf (accessed on 15 February 2023).
- Rossiter, D.G.; Zeng, R.; Zhang, G.L. Accounting for Taxonomic Distance in Accuracy Assessment of Soil Class Predictions. Geoderma 2017, 292, 118–127. [Google Scholar] [CrossRef]
- Beaudette, D.; Roudier, P.; Brown, A. Aqp: Algorithms for Quantitative Pedology 2022. Available online: https://cran.r-project.org/web/packages/aqp/aqp.pdf (accessed on 15 February 2023).
- Burrough, P.A.; Van Gaans, P.F.M.; Hootsmans, R. Continuous Classification in Soil Survey: Spatial Correlation, Confusion and Boundaries. Geoderma 1997, 77, 115–135. [Google Scholar] [CrossRef]
- Flynn, T.; Rozanov, A.; Ellis, F.; de Clercq, W.; Clarke, C. Farm-Scale Digital Soil Mapping of Soil Classes in South Africa. S. Afr. J. Plant Soil 2022, 39, 175–186. [Google Scholar] [CrossRef]
- Kumar, N.; Singh, S.K.; Reddy, G.P.O.; Naitam, R.K. Developing Logistic Regression Models to Identify Salt-Affected Soils Using Optical Remote Sensing. In Interdisciplinary Approaches to Information Systems and Software Engineering; IGI Global: Hershey, PA, USA, 2019; pp. 233–256. [Google Scholar]
- García, L.; Parra, L.; Jimenez, J.M.; Parra, M.; Lloret, J.; Mauri, P.V.; Lorenz, P. Deployment Strategies of Soil Monitoring WSN for Precision Agriculture Irrigation Scheduling in Rural Areas. Sensors 2021, 21, 1693. [Google Scholar] [CrossRef]
- Yin, H.; Cao, Y.; Marelli, B.; Zeng, X.; Mason, A.J.; Cao, C. Soil Sensors and Plant Wearables for Smart and Precision Agriculture. Adv. Mater. 2021, 33, 2007764. [Google Scholar] [CrossRef] [PubMed]
- Zhu, C.; Ding, J.; Zhang, Z.; Wang, J.; Chen, X.; Han, L.; Shi, H.; Wang, J. Soil Salinity Dynamics in Arid Oases during Irrigated and Non-Irrigated Seasons. In Land Degradation & Development; Wiley Online Library: Hoboken, NJ, USA, 2023. [Google Scholar] [CrossRef]
- Khosravani, P.; Baghernejad, M.; Moosavi, A.A.; FallahShamsi, S.R. Digital Mapping to Extrapolate the Selected Soil Fertility Attributes in Calcareous Soils of a Semiarid Region in Iran. J. Soils Sediments 2023, 1–23. [Google Scholar] [CrossRef]
- Gower, J.C. A General Coefficient of Similarity and Some of Its Properties. Biometrics 1971, 27, 857. [Google Scholar] [CrossRef]
- Meyer, H.; Pebesma, E. Predicting into Unknown Space? Estimating the Area of Applicability of Spatial Prediction Models. Methods Ecol. Evol. 2021, 12, 1620–1633. [Google Scholar] [CrossRef]
- Ma, S.; He, B.; Xie, B.; Ge, X.; Han, L. Investigation of the Spatial and Temporal Variation of Soil Salinity Using Google Earth Engine: A Case Study at Werigan–Kuqa Oasis, West China. Sci. Rep. 2023, 13, 1–16. [Google Scholar] [CrossRef]
- Planet Team Planet Application Program Interface. Available online: https://www.planet.com/explorer/ (accessed on 8 September 2022).
- Tan, J.; Ding, J.; Han, L.; Ge, X.; Wang, X.; Wang, J.; Wang, R.; Qin, S.; Zhang, Z.; Li, Y. Exploring PlanetScope Satellite Capabilities for Soil Salinity Estimation and Mapping in Arid Regions Oases. Remote Sens. 2023, 15, 1066. [Google Scholar] [CrossRef]
- Cuevas, J.; Daliakopoulos, I.N.; Del Moral, F.; Hueso, J.J.; Tsanis, I.K. A Review of Soil-Improving Cropping Systems for Soil Salinization. Agronomy 2019, 9, 295. [Google Scholar] [CrossRef]
- Ibrahim, T.S.; Workneh, T.S. Development and Current Status of the Sugar Industry in Sudan. Sugar Ind. 2019, 144, 655–659. [Google Scholar] [CrossRef]
- Kumar, R.; Dhansu, P.; Kulshreshtha, N.; Meena, M.R.; Kumaraswamy, M.H.; Appunu, C.; Chhabra, M.L.; Pandey, S.K. Identification of Salinity Tolerant Stable Sugarcane Cultivars Using AMMI, GGE and Some Other Stability Parameters under Multi Environments of Salinity Stress. Sustainability 2023, 15, 1119. [Google Scholar] [CrossRef]
- Tedeschi, A. Irrigated Agriculture on Saline Soils: A Perspective. Agronomy 2020, 10, 1630. [Google Scholar] [CrossRef]
- Tedeschi, A.; Schillaci, M.; Balestrini, R. Mitigating the Impact of Soil Salinity: Recent Developments and Future Strategies. Ital. J. Agron 2023. [Google Scholar] [CrossRef]
- FAO. Land Evaluation for Irrigated Agriculture; Food and Agriculture Organization of the United Nations: Rome, Italy, 1985; ISBN 92-5-102243-7. [Google Scholar]
- Kau, A.S.; Gramlich, R.; Sewilam, H. Modelling Land Suitability to Evaluate the Potential for Irrigated Agriculture in the Nile Region in Sudan. Sustain. Water Resour. Manag. 2023, 9, 1–17. [Google Scholar] [CrossRef]
- Malistov, A.; Trushin, A. Gradient Boosted Trees with Extrapolation. In Proceedings of the 18th IEEE International Conference on Machine Learning and Applications, ICMLA, Boca Raton, FL, USA, 16–19 December 2019; pp. 783–789. [Google Scholar] [CrossRef]
- Kaya, F.; Basayigit, L. The Effect of Spatial Resolution of Environmental Variables on the Performance of Machine Learning Models in Digital Mapping of Soil Phosphorus. In Proceedings of the IEEE Mediterranean and Middle-East Geoscience and Remote Sensing Symposium (M2GARSS), Istanbul, Türkiye, 7–9 March 2022; pp. 169–172. [Google Scholar] [CrossRef]
- Gutzwiller, K.J.; Serno, K.M. Using the Risk of Spatial Extrapolation by Machine-Learning Models to Assess the Reliability of Model Predictions for Conservation. Landsc. Ecol. 2023, 38, 1363–1372. [Google Scholar] [CrossRef]
- Lark, R.M.; Chagumaira, C.; Milne, A.E. Decisions, Uncertainty and Spatial Information. Spat. Stat. 2022, 50, 100619. [Google Scholar] [CrossRef]
- Keshavarzi, A.; Kaya, F.; Levent, B.; Gyasi-Agyei, Y.; Rodrigo-Comino, J.; Caballero-Calvo, A. Spatial Prediction of Soil Micronutrients Using Machine Learning Algorithms Integrated with Multiple Digital Covariates. Nutr. Cycl. Agroecosystems 2023, 1–17. [Google Scholar] [CrossRef]








| Selected Covariates | Target Soil Variable | Algorithm | Tuning Hyperparameter |
|---|---|---|---|
| AVG_HH_dB, AVG_HV_dB, CLNR, Salinity index 1, FNR, NDVI, Slope, Elevation | 0–30 cm EC class | MNLR | decay = 0.0001 |
| GBM | shrinkage: 0.1, interaction.depth: 1, n.minobsinnode: 10, n.trees: 50 | ||
| 30–60 cm EC class | MNLR | decay = 0.1 | |
| GBM | shrinkage: 0.1, interaction.depth: 1, n.minobsinnode: 10, n.trees: 50 | ||
| 60–90 cm EC class | MNLR | decay = 0.1 | |
| GBM | shrinkage: 0.1, interaction.depth: 1, n.minobsinnode: 10, n.trees: 50 |
| Depth (cm) | Soil Salinity Levels | Model | Reference Area | Target Area | ||||
|---|---|---|---|---|---|---|---|---|
| Producer’s Accuracy | User’s Accuracy | Tau Index | Producer’s Accuracy | User’s Accuracy | Tau Index | |||
| 0–30 | None | MNLR | 94 | 86 | GBM: 0.75 MNLR: 0.77 | 100 | 92 | GBM: 0.88 MNLR: 0.88 |
| GBM | 95 | 89 | 100 | 93 | ||||
| Moderate | MNLR | 0 | NaN * | 0 | NaN | |||
| GBM | 0 | NaN | 0 | NaN | ||||
| Strong | MNLR | 24 | 67 | 0 | NaN | |||
| GBM | 53 | 43 | 34 | 50 | ||||
| 30–60 | None | MNLR | 98 | 75 | GBM: 0.61 MNLR: 0.61 | 96 | 85 | GBM: 0.72 MNLR: 0.72 |
| GBM | 97 | 76 | 96 | 85 | ||||
| Moderate | MNLR | 5 | 100 | 0 | NaN | |||
| GBM | 0 | NaN | 0 | NaN | ||||
| Strong | MNLR | 39 | 74 | 8 | 17 | |||
| GBM | 44 | 68 | 8 | 17 | ||||
| 60–90 | None | MNLR | 90 | 67 | GBM: 0.38 MNLR: 0.47 | 98 | 79 | GBM: 0.66 MNLR: 0.66 |
| GBM | 100 | 59 | 100 | 78 | ||||
| Moderate | MNLR | 0 | NaN | 0 | NaN | |||
| GBM | 0 | NaN | 0 | NaN | ||||
| Strong | MNLR | 40 | 59 | 10 | 34 | |||
| GBM | 0 | NaN | 0 | NaN | ||||
| Covariate | Area | Minimum | Mean | Median | Maximum | Standard Deviation |
|---|---|---|---|---|---|---|
| AVG_HH_dB | Reference | −30.07 | −26.35 | −26.63 | −18.31 | 1.97 |
| Target | −30.67 | −25.47 | −25.86 | −12.27 | 3.02 | |
| AVG_HV_dB | Reference | −39.77 | −36.71 | −36.92 | −25.33 | 1.41 |
| Target | −38.86 | −36.22 | −36.27 | −31.34 | 1.35 | |
| CLNR | Reference | 0.005 | 0.015 | 0.016 | 0.023 | 0.004 |
| Target | 0.010 | 0.018 | 0.019 | 0.025 | 0.003 | |
| Salinity index 1 | Reference | 2555.61 | 2809.86 | 2823.33 | 3252.18 | 113.83 |
| Target | 2557.05 | 2874.53 | 2887.32 | 3237.19 | 102.14 | |
| FNR | Reference | 0.037 | 0.061 | 0.060 | 0.085 | 0.006 |
| Target | 0.030 | 0.054 | 0.054 | 0.073 | 0.007 | |
| NDVI | Reference | 0.034 | 0.042 | 0.041 | 0.060 | 0.004 |
| Target | 0.033 | 0.041 | 0.040 | 0.057 | 0.005 | |
| Slope | Reference | 0.00 | 4.62 | 4.017 | 24.62 | 2.97 |
| Target | 0.00 | 4.45 | 4.016 | 12.52 | 2.53 | |
| Elevation | Reference | 365.0 | 380.15 | 380.0 | 395.0 | 3.71 |
| Target | 375.0 | 384.24 | 384.0 | 398.0 | 3.74 |
Disclaimer/Publisher’s Note: The statements, opinions and data contained in all publications are solely those of the individual author(s) and contributor(s) and not of MDPI and/or the editor(s). MDPI and/or the editor(s) disclaim responsibility for any injury to people or property resulting from any ideas, methods, instructions or products referred to in the content. |
© 2023 by the authors. Licensee MDPI, Basel, Switzerland. This article is an open access article distributed under the terms and conditions of the Creative Commons Attribution (CC BY) license (https://creativecommons.org/licenses/by/4.0/).
Share and Cite
Sulieman, M.M.; Kaya, F.; Elsheikh, M.A.; Başayiğit, L.; Francaviglia, R. Application of Machine Learning Algorithms for Digital Mapping of Soil Salinity Levels and Assessing Their Spatial Transferability in Arid Regions. Land 2023, 12, 1680. https://doi.org/10.3390/land12091680
Sulieman MM, Kaya F, Elsheikh MA, Başayiğit L, Francaviglia R. Application of Machine Learning Algorithms for Digital Mapping of Soil Salinity Levels and Assessing Their Spatial Transferability in Arid Regions. Land. 2023; 12(9):1680. https://doi.org/10.3390/land12091680
Chicago/Turabian StyleSulieman, Magboul M., Fuat Kaya, Mohammed A. Elsheikh, Levent Başayiğit, and Rosa Francaviglia. 2023. "Application of Machine Learning Algorithms for Digital Mapping of Soil Salinity Levels and Assessing Their Spatial Transferability in Arid Regions" Land 12, no. 9: 1680. https://doi.org/10.3390/land12091680
APA StyleSulieman, M. M., Kaya, F., Elsheikh, M. A., Başayiğit, L., & Francaviglia, R. (2023). Application of Machine Learning Algorithms for Digital Mapping of Soil Salinity Levels and Assessing Their Spatial Transferability in Arid Regions. Land, 12(9), 1680. https://doi.org/10.3390/land12091680

