Research on the Evolution Characteristics and Dynamic Simulation of Habitat Quality in the Southwest Mountainous Urban Agglomeration from 1990 to 2030
Abstract
1. Introduction
2. Materials and Methods
2.1. Study Area
2.2. Data Sources and Processing
2.2.1. Date Sources
2.2.2. Research Framework
2.3. Research Methods
2.3.1. Simulating Future Land Use Patterns Based on the PLUS Model
2.3.2. Habitat Quality Assessment Based on the InVEST Model
2.3.3. Topographic Position Index and Distribution Index
3. Results
3.1. Land Use Change Characteristics and Simulation Results
3.1.1. Land Use Transfer Analysis
3.1.2. Land Use Expansion Analysis
3.1.3. Land Use Simulation Results
3.2. Spatiotemporal Evolution Characteristics of Habitat Quality in the Chongqing Metropolitan Area
3.2.1. Trends in Habitat Quality Changes in the Chongqing Metropolitan Area from 1990 to 2030
3.2.2. The Changes in Habitat Quality Levels across Different Regions of the Chongqing Metropolitan Area from 1990 to 2030
3.2.3. Spatial Agglomeration Effects of Habitat Quality in the Chongqing Metropolitan Area
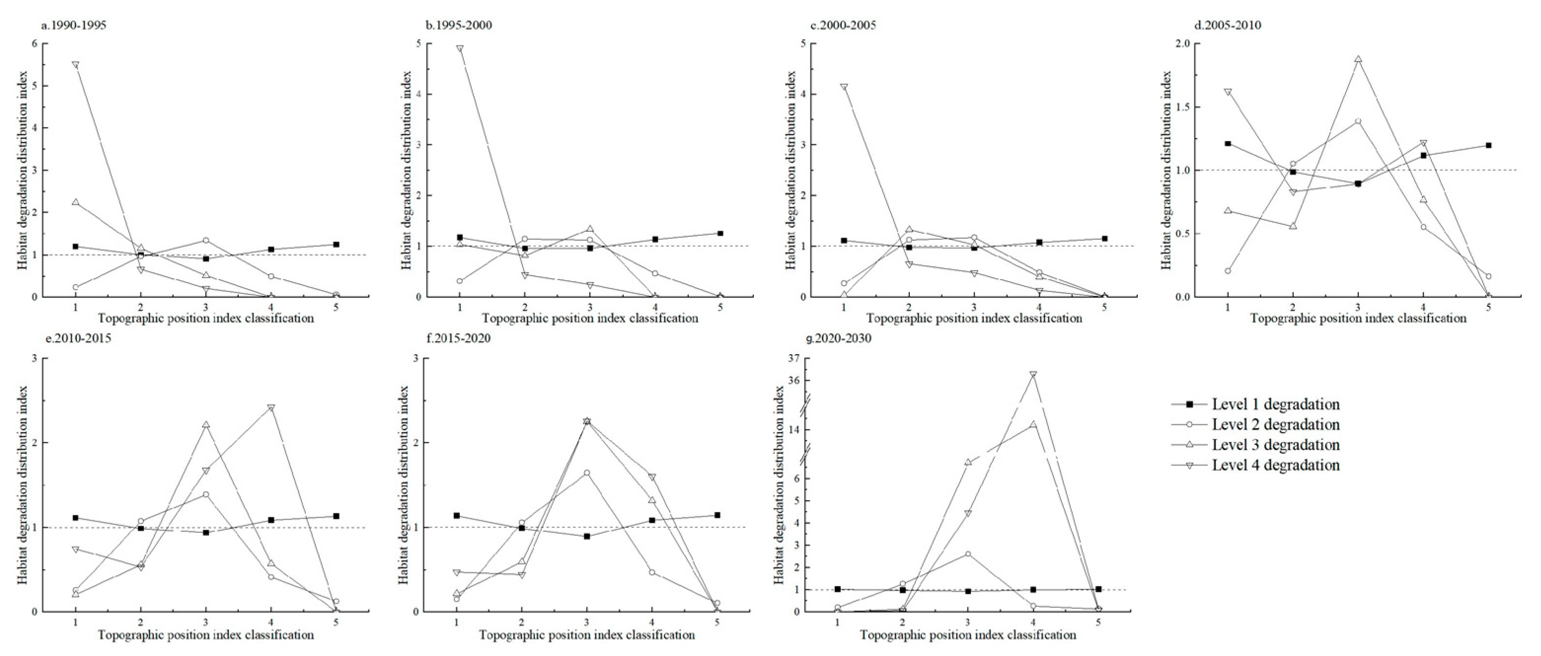
3.3. The Topographic Gradient Effect on Habitat Quality Degradation in the Chongqing Urban Agglomeration
4. Discussion
4.1. Response of Habitat Decline to Land Use Change
4.2. Mechanisms of Land Use Effects on Spatial and Temporal Evolution of Habitat Quality
4.3. Limitations and Future Outlook
5. Conclusions
- (1)
- During the period from 1990 to 2030, significant changes were observed in the land use structure of the study area. From 1990 to 2020, there was an expansion in the area of built-up land, grassland, and water bodies, while the area of cultivated land, forestland, and unused land gradually decreased. The land use simulation results for 2030 indicate that, under the influence of urban planning and ecological control policies, there is an increase in the area of forestland, built-up land, and water bodies, while there is a decrease in the area of cultivated land, grassland, and unused land;
- (2)
- During the period from 1990 to 2030, the habitat quality in the study area exhibited significant spatial heterogeneity, with an overall declining trend across different regions, gradually forming a spatial pattern of “lower in the central-western part and higher in the southeastern part”. The low-value habitat areas were primarily concentrated in the middle of the metropolitan area and expanded outward, radiating towards the western part of the study area, showing more pronounced changes in these areas. The high-value habitat areas were mainly concentrated in the southeastern part of the study area, including Nanchuan District, Qijiang District, Jiangjin District, and Fuling District, as well as mountain corridor regions like Huaying Mountain, where the changes in these areas were relatively stable;
- (3)
- The spatial distribution of habitat quality in the study area exhibits a significant topographic gradient effect. The dominant position of habitat degradation gradually shifted from regions with gentle topographic gradients to those with steeper gradients. However, with the rapid socio-economic development in the study area, the degradation of higher-level habitat quality areas expanded towards higher-altitude and steeper slope regions within the study area;
- (4)
- The expansion of built-up land is the primary cause of habitat degradation in the study area. Between 1990 and 2030, under the context of urban planning and economic development in the study area, built-up land expanded to varying degrees at different stages, encroaching upon cultivated land and ecological land. This has resulted in a sustained decline in overall habitat quality, thereby increasing the risk of ecological and social issues.
Author Contributions
Funding
Informed Consent Statement
Data Availability Statement
Acknowledgments
Conflicts of Interest
References
- Mooney, H.; Larigauderie, A.; Cesario, M.; Elmquist, T.; Hoegh-Guldberg, O.; Lavorel, S.; Mace, G.M.; Palmer, M.; Scholes, R.; Yahara, T. Biodiversity, climate change, and ecosystem services. Curr. Opin. Environ. Sustain. 2009, 1, 46–54. [Google Scholar]
- Johnson, M.D. Measuring habitat quality: A review. Condor 2007, 109, 489–504. [Google Scholar]
- Koellner, T.; Bonn, A.; Arnhold, S.; Bagstad, K.J.; Fridman, D.; Guerra, C.A.; Kastner, T.; Kissinger, M.; Kleemann, J.; Kulhlicke, C.; et al. Guidance for assessing interregional ecosystem service flows. Ecol. Indic. 2019, 105, 92–106. [Google Scholar] [CrossRef]
- Rahimi, L.; Malekmohammadi, B.; Yavari, A.R. Assessing and modeling the impacts of wetland land cover changes on water provision and habitat quality ecosystem services. Nat. Resour. Res. 2020, 29, 3701–3718. [Google Scholar] [CrossRef]
- Newbold, T.; Hudson, L.N.; Hill, S.L.L.; Contu, S.; Lysenko, I.; Senior, R.A.; Börger, L.; Bennett, D.J.; Choimes, A.; Collen, B.; et al. Global effects of land use on local terrestrial biodiversity. Nature 2015, 520, 45–50. [Google Scholar]
- Zhang, X.; Zhou, J.; Li, G.; Chen, C.; Li, M.; Luo, J. Spatial pattern reconstruction of regional habitat quality based on the simulation of land use changes from 1975 to 2010. J. Geogr. Sci. 2020, 30, 601–620. [Google Scholar] [CrossRef]
- Dai, L.; Li, S.; Lewis, B.J.; Wu, J.; Yu, D.; Zhou, W.; Zhou, L.; Wu, S. The influence of land use change on the spatial–temporal variability of habitat quality between 1990 and 2010 in Northeast China. J. For. Res. 2019, 30, 2227–2236. [Google Scholar]
- Zhang, X.; Song, W.; Lang, Y.; Feng, X.; Yuan, Q.; Wang, J. Land use changes in the coastal zone of China’s Hebei Province and the corresponding impacts on habitat quality. Land Use Policy 2020, 99, 104957. [Google Scholar] [CrossRef]
- Millennium Ecosystem Assessment. 2001. Available online: http://chapter.ser.org/europe/files/2012/08/Harris.pdf (accessed on 23 March 2023).
- Hasan, S.S.; Zhen, L.; Miah, M.G.; Ahamed, T.; Samie, A. Impact of land use change on ecosystem services: A review. Environ. Dev. 2020, 34, 100527. [Google Scholar]
- Zhou, F.C.; Han, X.; Tang, S.; Song, X.; Wang, H. An improved model for evaluating ecosystem service values using land use/cover and vegetation parameters. J. Meteorol. Res. 2021, 35, 148–156. [Google Scholar] [CrossRef]
- He, J.; Huang, J.; Li, C. The evaluation for the impact of land use change on habitat quality: A joint contribution of cellular automata scenario simulation and habitat quality assessment model. Ecol. Model. 2017, 366, 58–67. [Google Scholar] [CrossRef]
- Xu, L.; Chen, S.S.; Xu, Y.; Li, G.; Su, W. Impacts of land-use change on habitat quality during 1985–2015 in the Taihu Lake Basin. Sustainability 2019, 11, 3513. [Google Scholar] [CrossRef]
- Ren, Y.; Lü, Y.; Comber, A.; Fu, B.; Harris, P.; Wu, L. Spatially explicit simulation of land use/land cover changes: Current coverage and future prospects. Earth-Sci. Rev. 2019, 190, 398–415. [Google Scholar]
- Mas, J.F.; Kolb, M.; Paegelow, M.; Olmedo, M.T.C.; Houet, T. Inductive pattern-based land use/cover change models: A comparison of four software packages. Environ. Model. Softw. 2014, 51, 94–111. [Google Scholar] [CrossRef]
- Liu, X.; Liang, X.; Li, X.; Xu, X.; Ou, J.; Chen, Y.; Li, S.; Wang, S.; Pei, F. A future land use simulation model (FLUS) for simulating multiple land use scenarios by coupling human and natural effects. Landsc. Urban Plan. 2017, 168, 94–116. [Google Scholar] [CrossRef]
- Wang, H.; Stephenson, S.R.; Qu, S. Modeling spatially non-stationary land use/cover change in the lower Connecticut River Basin by combining geographically weighted logistic regression and the CA-Markov model. Int. J. Geogr. Inf. Sci. 2019, 33, 1313–1334. [Google Scholar] [CrossRef]
- Ghosh, P.; Mukhopadhyay, A.; Chanda, A.; Mondal, P.; Akhand, A.; Mukherjee, S.; Nayak, S.K.; Ghosh, S.; Mitra, D.; Ghosh, T.; et al. Application of Cellular automata and Markov-chain model in geospatial environmental modeling-A review. Remote Sens. Appl. Soc. Environ. 2017, 5, 64–77. [Google Scholar] [CrossRef]
- Noszczyk, T. A review of approaches to land use changes modeling. Hum. Ecol. Risk Assess. Int. J. 2019, 25, 1377–1405. [Google Scholar] [CrossRef]
- Veldkamp, A.; Fresco, L.O. CLUE: A conceptual model to study the conversion of land use and its effects. Ecol. Model. 1996, 85, 253–270. [Google Scholar] [CrossRef]
- Verburg, P.H.; Soepboer, W.; Veldkamp, A.; Limpiada, R.; Espaldon, V.; Mastura, S.S. Modeling the spatial dynamics of regional land use: The CLUE-S model. Environ. Manag. 2002, 30, 391–405. [Google Scholar] [CrossRef] [PubMed]
- Pijanowski, B.C.; Brown, D.G.; Shellito, B.A.; Manik, G.A. Using neural networks and GIS to forecast land use changes: A land transformation model. Comput. Environ. Urban Syst. 2002, 26, 553–575. [Google Scholar]
- Liang, X.; Guan, Q.; Clarke, K.C.; Liu, S.; Wang, B.; Yao, Y. Understanding the drivers of sustainable land expansion using a patch-generating land use simulation (PLUS) model: A case study in Wuhan, China. Comput. Environ. Urban Syst. 2021, 85, 101569. [Google Scholar]
- Fan, X.; Gu, X.; Yu, H.; Long, A.; Tiando, D.S.; Ou, S.; Li, J.; Rong, Y.; Tang, G.; Zheng, Y.; et al. The spatial and temporal evolution and drivers of habitat quality in the Hung River Valley. Land 2021, 10, 1369. [Google Scholar]
- He, B.; Chang, J.; Guo, A.; Wang, Y.; Wang, Y.; Li, Z. Assessment of river basin habitat quality and its relationship with disturbance factors: A case study of the Tarim River Basin in Northwest China. J. Arid Land 2022, 14, 167–185. [Google Scholar]
- Gong, J.; Xie, Y.; Cao, E.; Huang, Q.; Li, H. Integration of InVEST-habitat quality model with landscape pattern indexes to assess mountain plant biodiversity change: A case study of Bailongjiang watershed in Gansu Province. J. Geogr. Sci. 2019, 19, 1193–1210. [Google Scholar]
- Yang, J.; Zhu, Y.; Song, W.; Zhang, J.; Zhang, L.; Luo, X. Evaluation of ecological environment quality in Laizhou Bay based on habitat quality and ecological response. J. Ecol. 2014, 34, 105–114. [Google Scholar]
- Brown, G. The relationship between social values for ecosystem services and global land cover: An empirical analysis. Ecosyst. Serv. 2013, 5, 58–68. [Google Scholar]
- Villa, F.; Ceroni, M.; Bagstad, K.; Johnson, G.; Krivov, S. ARIES (Artificial Intelligence for Ecosystem Services): A new tool for ecosystem services assessment, planning, and valuation. In Proceedings of the 11th Annual BIOECON Conference on Economic Instruments to Enhance the Conservation and Sustainable Use of Biodiversity, Venice, Italy, 21–22 September 2009. [Google Scholar]
- Nelson, E.; Mendoza, G.; Regetz, J.; Polasky, S.; Tallis, H.; Cameron, D.; Chan, K.M.; Daily, G.C.; Goldstein, J.; Kareiva, P.M.; et al. Modeling multiple ecosystem services, biodiversity conservation, commodity production, and tradeoffs at landscape scales. Front. Ecol. Environ. 2009, 7, 4–11. [Google Scholar] [CrossRef]
- Sherrouse, B.C.; Semmens, D.J.; Clement, J.M. An application of Social Values for Ecosystem Services (SolVES) to three national forests in Colorado and Wyoming. Ecol. Indic. 2014, 36, 68–79. [Google Scholar]
- Scowen, M.; Athanasiadis, I.N.; Bullock, J.M.; Eigenbrod, F.; Willcock, S. The current and future uses of machine learning in ecosystem service research. Sci. Total Environ. 2021, 799, 149263. [Google Scholar]
- Bai, L.; Xiu, C.; Feng, X.; Liu, D. Influence of urbanization on regional habitat quality: A case study of Changchun City. Habitat Int. 2019, 93, 102042. [Google Scholar] [CrossRef]
- Wu, L.; Sun, C.; Fan, F. Estimating the characteristic spatiotemporal variation in habitat quality using the invest model—A case study from Guangdong–Hong Kong–Macao Greater Bay Area. Remote Sens. 2021, 13, 1008. [Google Scholar]
- Yang, Z.; Wang, S.; Guo, M.; Tian, J.; Zhang, Y. Spatiotemporal Differentiation of Territorial Space Development Intensity and Its Habitat Quality Response in Northeast China. Land 2021, 10, 573. [Google Scholar]
- Zeng, C.; He, J.; He, Q.; Mao, Y.; Yu, B. Assessment of Land Use Pattern and Landscape Ecological Risk in the Chengdu-Chongqing Economic Circle, Southwestern China. Land 2022, 11, 659. [Google Scholar] [CrossRef]
- Ding, Y.; Peng, J. Impacts of urbanization of mountainous areas on resources and environment: Based on ecological footprint model. Sustainability 2018, 10, 765. [Google Scholar] [CrossRef]
- Xie, B.; Zhang, M. Spatio-temporal evolution and driving forces of habitat quality in Guizhou Province. Sci. Rep. 2023, 13, 6908. [Google Scholar] [CrossRef]
- Han, H.; Zhang, Y.; Liu, Y.; Yu, X.; Wang, J. Spatiotemporal changes of the habitat quality and the human activity intensity and their correlation in mountainous cities. J. Environ. Eng. Landsc. Manag. 2022, 30, 472–483. [Google Scholar] [CrossRef]
- Luan, Y.; Huang, G.; Zheng, G.; Wang, Y. Correlation between Spatio-Temporal Evolution of Habitat Quality and Human Activity Intensity in Typical Mountain Cities: A Case Study of Guiyang City, China. Int. J. Environ. Res. Public Health 2022, 19, 14294. [Google Scholar]
- Wang, S.; Lu, F.; Wei, G. Direct and Spillover Effects of Urban Land Expansion on Habitat Quality in Chengdu-Chongqing Urban Agglomeration. Sustainability 2022, 14, 14931. [Google Scholar]
- Dong, J.; Zhang, Z.; Liu, B.; Zhang, X.; Zhang, W.; Chen, L. Spatiotemporal variations and driving factors of habitat quality in the loess hilly area of the Yellow River Basin: A case study of Lanzhou City, China. J. Arid Land 2022, 14, 637–652. [Google Scholar] [CrossRef]
- Ren, Y.; Liu, X.; Xu, X.; Sun, S.; Zhao, L.; Liang, X.; Zeng, L. Multi-scenario land use change simulation in Beijing-Tianjin-Hebei based on FLUS-InVEST model and its impact on ecosystem service function. J. Ecol. 2023, 43, 4473–4487. [Google Scholar]
- Chen, L.T.; Cai, H.S.; Zhang, T.; Zhang, X.L.; Zeng, H. Multi-scenario simulation analysis of land use in Raohe River Basin based on Markov-FLUS model. J. Ecol. 2022, 42, 3947–3958. [Google Scholar]
- Li, L.; Huang, X.; Yang, H. Scenario-based urban growth simulation by incorporating ecological-agricultural-urban suitability into a future land use simulation model. Cities 2023, 137, 104334. [Google Scholar] [CrossRef]
- Yang, C.; Zeng, W.; Yang, X. Coupling coordination evaluation and sustainable development pattern of geo-ecological environment and urbanization in Chongqing municipality, China. Sustain. Cities Soc. 2020, 61, 102271. [Google Scholar] [CrossRef]
- Li, W.; Wang, Y.; Xie, S.; Cheng, X. Coupling coordination analysis and spatiotemporal heterogeneity between urbanization and ecosystem health in Chongqing municipality, China. Sci. Total Environ. 2021, 791, 148311. [Google Scholar] [CrossRef]
- Ouyang, X.; Tang, L.; Wei, X.; Li, Y. Spatial interaction between urbanization and ecosystem services in Chinese urban agglomerations. Land Use Policy 2021, 109, 105587. [Google Scholar] [CrossRef]
- Xu, L.; Liu, X.; Tong, D.; Liu, Z.; Yin, L.; Zheng, W. Forecasting urban land use change based on cellular automata and the PLUS model. Land 2022, 11, 652. [Google Scholar] [CrossRef]
- Gao, L.; Tao, F.; Liu, R.; Wang, Z.; Leng, H.; Zhou, T. Multi-scenario simulation and ecological risk analysis of land use based on the PLUS model: A case study of Nanjing. Sustain. Cities Soc. 2022, 85, 104055. [Google Scholar]
- Zhang, S.; Zhong, Q.; Cheng, D.; Xu, C.; Chang, Y.; Lin, Y.; Li, B. Landscape ecological risk projection based on the PLUS model under the localized shared socioeconomic pathways in the Fujian Delta region. Ecol. Indic. 2022, 136, 108642. [Google Scholar] [CrossRef]
- Deng, Y.; Jiang, W.G.; Wang, W.J.; Lv, J.X.; Chen, K. Urban expansion causes habitat quality decline in the Beijing-Tianjin-Hebei region. J. Ecol. 2018, 38, 4516–4525. [Google Scholar]
- Liu, Y.T.; Yang, Z.Z.; Xu, G.L.; Liu, B.; Zhang, F.L.; Chi, J.Y. Study on the response of habitat quality to urbanization in the urban zone of Wanjiang River based on MGWR model. Geoscience 2023, 43, 280–290. [Google Scholar]
- Grêt-Regamey, A.; Brunner, S.H.; Kienast, F. Mountain ecosystem services: Who cares? Mt. Res. Dev. 2012, 32, S1. [Google Scholar] [CrossRef]
- Savard, J.-P.L.; Clergeau, P.; Mennechez, G. Biodiversity concepts and urban ecosystems. Landsc. Urban Plan. 2000, 48, 131–142. [Google Scholar] [CrossRef]
- Yang, X.; Lo, C.P. Modelling urban growth and landscape changes in the Atlanta metropolitan area. Int. J. Geogr. Inf. Sci. 2003, 17, 463–488. [Google Scholar] [CrossRef]
- Yang, Y. Evolution of habitat quality and association with land-use changes in mountainous areas: A case study of the Taihang Mountains in Hebei Province, China. Ecol. Indic. 2021, 129, 107967. [Google Scholar]
- Dincer, I. Renewable energy and sustainable development: A crucial review. Renew. Sustain. Energy Rev. 2000, 4, 157–175. [Google Scholar] [CrossRef]
- Wang, R.; Zhao, J.; Chen, G.; Lin, Y.; Yang, A.; Cheng, J. Coupling PLUS–InVEST Model for Ecosystem Service Research in Yunnan Province, China. Sustainability 2022, 15, 271. [Google Scholar] [CrossRef]
- Zeleke, G.; Hans, H. Implications of land use and land cover dynamics for mountain resource degradation in the Northwestern Ethiopian highlands. Mt. Res. Dev. 2001, 21, 184–191. [Google Scholar] [CrossRef]








| Data Type | Data Properties | Description | ||
|---|---|---|---|---|
| Name | Format | Year | ||
| Land Use Data | Primary Classification Land Use Data | Raster | 1990, 1995, 2000, 2005, 2010, 2015, 2020 | Source from the Resource and Environmental Science and Data Center, Chinese Academy of Sciences (www.resdc.cn) |
| Constraint/ planning data | Land use constraint data | Vector | - | Extraction of 2020 land use data watershed class I all land types (including rivers and canals, lakes, reservoirs and ponds, mudflats and beaches) |
| Planning and Construction Scope | Extracted from the Urban and Rural Master Development Plan of 21 districts and counties and Guang’an City | |||
| Scope of key ecological restoration projects | Source from “Chongqing Municipal Territorial Spatial Ecological Protection and Restoration Plan (2021–2035)” and “Guang’an City Urban Master Plan (2013–2030)” of Sichuan Province | |||
| Socio-economic data | Population density | Raster | 2020 | Cell phone signaling data (from China Unicom Network Communications Group Limited) |
| GDP | Data Center for Resources and Environment, Chinese Academy of Sciences (http://www.resde.cn) | |||
| Distance to adjacent roads and | OpenStreetMap (https://www.openstreetmap.org/) | |||
| Distance to railroad | ||||
| Proximity to government offices | Use Python to crawl, clean and filter the relevant location attribute values of Gaode Map Open Platform (https://lbs.amap.com/) to obtain | |||
| Climate and environmental data | DEM | Raster | 2020 | Data Center for Resources and Environment, Chinese Academy of Sciences (http://www.resde.cn) |
| Average annual temperature | ||||
| Average annual precipitation | ||||
| Distance to adjacent open water | ||||
| Threat Factors | Max. Impact Distance (Unit/km) | Weights | Spatial Recession Type |
|---|---|---|---|
| Cultivated land | 4 | 0.6 | Linear |
| Construction Land | 8 | 1 | Exponential |
| Unused land | 6 | 0.5 | Linear |
| Land Use Types | Habitat Suitability | Threat Factors | ||
|---|---|---|---|---|
| Cultivated Land | Construction Land | Unused Land | ||
| Cultivated land | 0.6 | 0.2 | 0.5 | 0.4 |
| Woodland | 1 | 0.8 | 0.9 | 0.4 |
| Grassland | 0.7 | 0.8 | 0.6 | 0.5 |
| Waters | 0.9 | 0.6 | 0.8 | 0.4 |
| Construction Land | 0 | 0 | 0 | 0 |
| Unused land | 0.4 | 0.5 | 0.9 | 0.2 |
| 1990 | 2020 | ||||||
|---|---|---|---|---|---|---|---|
| Grassland | Cultivated Land | Construction Land | Woodland | Waters | Unused Land | Total | |
| Grassland | 0.18 | 2.81 | 1.78 | 2.12 | 2.15 | - | 9.03 |
| Cultivated land | 9.28 | 22,215.78 | 1151.95 | 2322.55 | 101.62 | 0.86 | 25,802.04 |
| Construction Land | 0.02 | 17.77 | 183.20 | 0.18 | 33.55 | 0.00 | 234.72 |
| Woodland | 1.91 | 1516.55 | 18.96 | 6778.67 | 2.38 | 0.01 | 8318.48 |
| Waters | 0.01 | 94.80 | 22.70 | 8.80 | 527.52 | 0.00 | 653.83 |
| Unused land | - | - | 0.03 | - | 0.05 | - | 0.08 |
| Total | 11.40 | 23,847.70 | 1378.62 | 9112.32 | 667.26 | 0.87 | 35,018.18 |
| Simulation Unit | Year | Cultivated Land | Woodland | Grassland | Waters | Construction Land | Unused Land |
|---|---|---|---|---|---|---|---|
| Natural Simulation | 2020 | 1543.46 (74.17%) | 508.95 (24.46%) | 0.17 (0.01%) | 13.20 (0.63%) | 15.26 (0.73%) | 0.01 (0.00%) |
| 2030 | 1537.92 (73.90%) | 509.43 (24.48%) | 0.17 (0.01%) | 12.39 (0.60%) | 21.12 (1.01%) | 0.02 (0.00%) | |
| Changes | −5.54 (−0.27%) | 0.48 (0.02%) | 0.00 (0.00%) | −0.81 (−0.04%) | 5.86 (0.28%) | 0.00 (0.00%) | |
| Ecological control | 2020 | 578.01 (55.94%) | 392.78 (38.02%) | 0.32 (0.03%) | 43.92 (4.25%) | 18.16 (1.76%) | 0.01 (0.00%) |
| 2030 | 505.61 (48.94%) | 455.84 (44.12%) | 0.63 (0.06%) | 51.01 (4.94%) | 20.11 (1.95%) | 0.01 (0.00%) | |
| Changes | −72.40 (−7.01%) | 63.06 (6.10%) | 0.31 (0.03%) | 7.09 (0.69%) | 1.95 (0.19%) | 0.00 (0.00%) | |
| Construction Development | 2020 | 263.35 (67.94%) | 9.52 (2.46%) | 0.65 (0.17%) | 9.61 (2.48%) | 104.44 (26.94%) | 0.07 (0.02%) |
| 2030 | 213.42 (55.06%) | 12.15 (3.14%) | 0.32 (0.08%) | 9.42 (2.43%) | 152.30 (39.29%) | 0.02 (0.00%) | |
| Changes | −49.93 (−12.88%) | 2.63 (0.68%) | −0.33 (−0.08%) | −0.18 (−0.05%) | 47.86 (12.35%) | −0.05 (−0.01%) |
| Habitat Quality Level | Year | |||||||
|---|---|---|---|---|---|---|---|---|
| 1990 | 1995 | 2000 | 2005 | 2010 | 2015 | 2020 | 2030 | |
| Very low | 566.35 (16.17%) | 617.68 (17.64%) | 580.27 (16.57%) | 662.59 (18.92%) | 758.05 (21.65%) | 862.81 (24.64%) | 951.69 (27.18%) | 1174.18 (33.53%) |
| Low | 2276.26 (65.00%) | 2180.26 (62.26%) | 2210.24 (63.12%) | 2183.30 (62.35%) | 2064.16 (58.94%) | 2001.66 (57.16%) | 1938.12 (55.35%) | 1714.11 (48.95%) |
| Medium | 483.33 (13.80%) | 504.46 (14.41%) | 499.54 (14.26%) | 475.19 (13.57%) | 486.77 (13.90%) | 458.10 (13.08%) | 437.10 (12.48%) | 421.11 (12.03%) |
| High | 54.89 (1.57%) | 55.72 (1.59%) | 58.56 (1.67%) | 49.81 (1.42%) | 54.26 (1.55%) | 52.74 (1.51%) | 51.91 (1.48%) | 57.67 (1.65%) |
| Very high | 121.06 (3.46%) | 143.77 (4.11%) | 153.28 (4.38%) | 131.00 (3.74%) | 138.64 (3.96%) | 126.59 (3.61%) | 123.07 (3.51%) | 134.81 (3.85%) |
| Types of Land Cover Conversion | 1990–1995 | 1995–2000 | 2000–2005 | 2005–2010 | 2010–2015 | 2015–2020 | 2020–2030 |
|---|---|---|---|---|---|---|---|
| Cultivated land → Construction Land | 70.248 | 94.207 | 144.690 | 219.140 | 283.616 | 250.055 | 291.589 |
| Cultivated land → Unused land | - | - | 0.005 | 0.044 | 0.022 | 0.117 | 0.009 |
| Woodland → Cultivated land | 31.946 | 36.710 | 76.623 | 32.832 | 50.761 | 37.670 | 0.832 |
| Woodland → Grassland | - | 0.480 | 0.201 | 0.119 | 0.234 | 0.256 | 0.032 |
| Woodland → Waters | 0.012 | 0.005 | 0.473 | 0.075 | 0.094 | 0.026 | 0.111 |
| Woodland → Construction Land | 0.348 | 0.315 | 0.264 | 0.284 | 0.881 | 0.711 | 3.028 |
| Grassland → Construction Land | 0.058 | - | 0.036 | 0.047 | 0.032 | 0.084 | - |
| Waters → Cultivated land | 0.109 | 0.168 | 0.230 | 0.192 | 0.114 | 0.214 | - |
| Waters → Grassland | - | 0.044 | 0.043 | 0.008 | 0.005 | 0.002 | - |
| Waters → Construction Land | 0.179 | 0.308 | 0.260 | 0.261 | 0.230 | 0.196 | 0.391 |
Disclaimer/Publisher’s Note: The statements, opinions and data contained in all publications are solely those of the individual author(s) and contributor(s) and not of MDPI and/or the editor(s). MDPI and/or the editor(s) disclaim responsibility for any injury to people or property resulting from any ideas, methods, instructions or products referred to in the content. |
© 2023 by the authors. Licensee MDPI, Basel, Switzerland. This article is an open access article distributed under the terms and conditions of the Creative Commons Attribution (CC BY) license (https://creativecommons.org/licenses/by/4.0/).
Share and Cite
Ma, T.; Liu, R.; Li, Z.; Ma, T. Research on the Evolution Characteristics and Dynamic Simulation of Habitat Quality in the Southwest Mountainous Urban Agglomeration from 1990 to 2030. Land 2023, 12, 1488. https://doi.org/10.3390/land12081488
Ma T, Liu R, Li Z, Ma T. Research on the Evolution Characteristics and Dynamic Simulation of Habitat Quality in the Southwest Mountainous Urban Agglomeration from 1990 to 2030. Land. 2023; 12(8):1488. https://doi.org/10.3390/land12081488
Chicago/Turabian StyleMa, Taquan, Rui Liu, Zheng Li, and Tongtu Ma. 2023. "Research on the Evolution Characteristics and Dynamic Simulation of Habitat Quality in the Southwest Mountainous Urban Agglomeration from 1990 to 2030" Land 12, no. 8: 1488. https://doi.org/10.3390/land12081488
APA StyleMa, T., Liu, R., Li, Z., & Ma, T. (2023). Research on the Evolution Characteristics and Dynamic Simulation of Habitat Quality in the Southwest Mountainous Urban Agglomeration from 1990 to 2030. Land, 12(8), 1488. https://doi.org/10.3390/land12081488
