Interacting Effects of Land Use Type, Soil Attributes, and Environmental Factors on Aggregate Stability
Abstract
1. Introduction
2. Materials and Methods
2.1. Study Area and Soil Samplings
2.2. Analysis of Soil Properties
2.2.1. Analysis of Soil Aggregate Properties
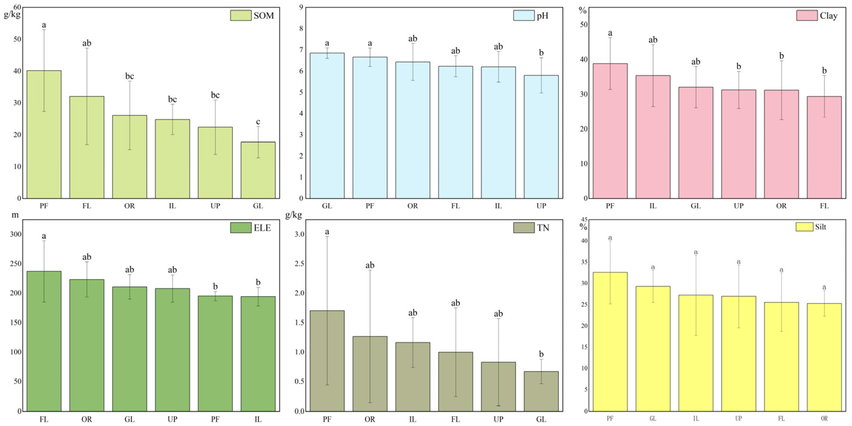
2.2.2. Soil Properties and Supplemental Data
2.3. Statistical Analysis
3. Results
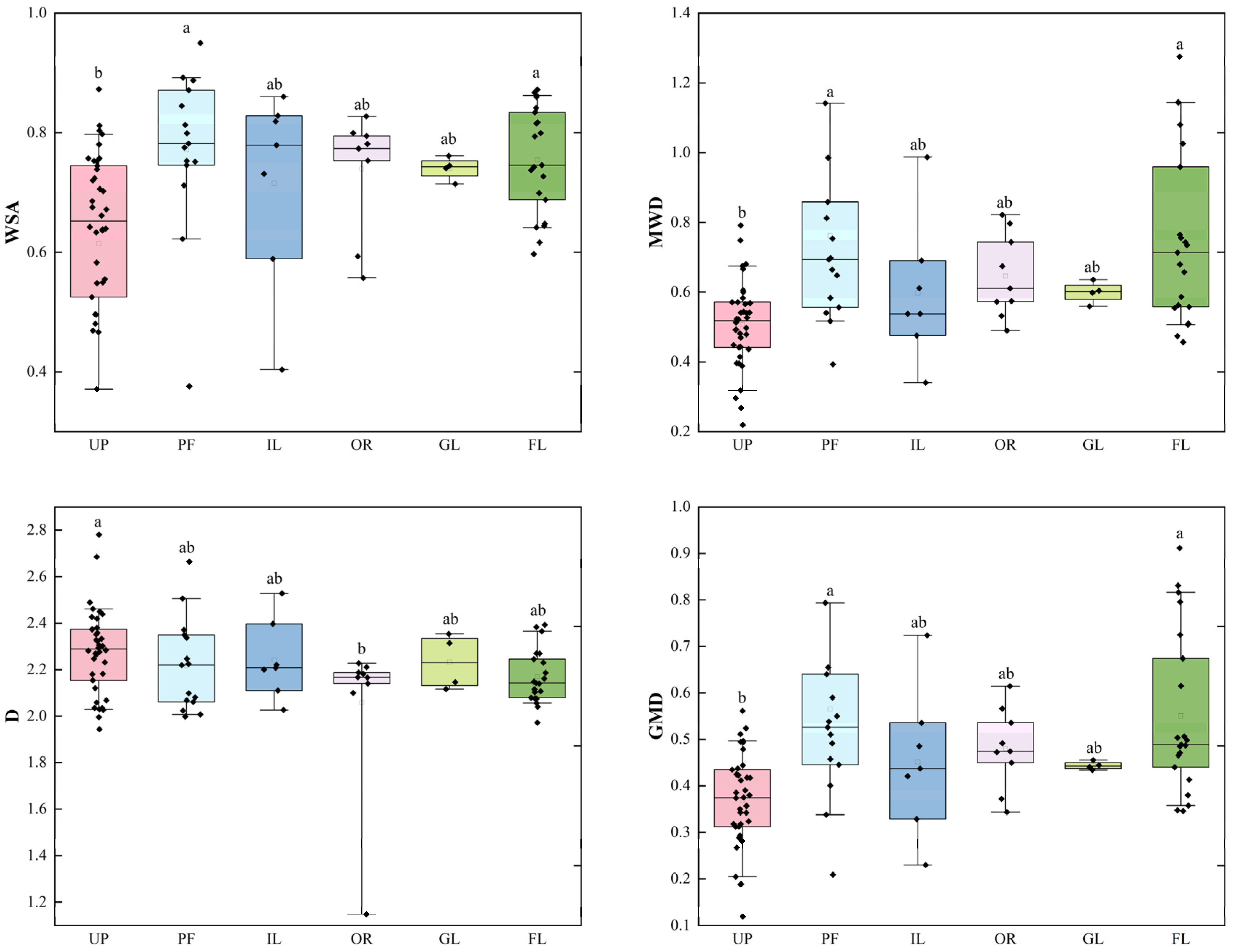
3.1. Soil Aggregate Size and Stability
3.2. Spatial Distribution of Soil Aggregate Stability
3.3. Relationships between Soil Properties and Soil Aggregate Stability
4. Discussion
4.1. The Effects of the Environment on Soil Aggregate Stability
4.2. The Effects of Soil Properties on Soil Aggregate Stability
4.3. The Effects of Land Use Type on Soil Aggregate Stability
5. Conclusions
Author Contributions
Funding
Data Availability Statement
Conflicts of Interest
References
- Six, J.; Bossuyt, H.; Degryze, S.; Denef, K. A History of Research on the Link between (Micro)Aggregates, Soil Biota, and Soil Organic Matter Dynamics. Soil Tillage Res. 2004, 79, 7–31. [Google Scholar] [CrossRef]
- Guhra, T.; Stolze, K.; Totsche, K.U. Pathways of Biogenically Excreted Organic Matter into Soil Aggregates. Soil Biol. Biochem. 2022, 164, 108483. [Google Scholar] [CrossRef]
- Du, J.; Liu, K.; Huang, J.; Han, T.; Zhang, L.; Anthonio, C.K.; Shah, A.; Khan, M.N.; Qaswar, M.; Abbas, M.; et al. Organic Carbon Distribution and Soil Aggregate Stability in Response to Long-Term Phosphorus Addition in Different Land-Use Types. Soil Tillage Res. 2022, 215, 105195. [Google Scholar] [CrossRef]
- Tang, X.; Qiu, J.; Xu, Y.; Li, J.; Chen, J.; Li, B.; Lu, Y. Responses of Soil Aggregate Stability to Organic C and Total N as Controlled by Land-Use Type in a Region of South China Affected by Sheet Erosion. CATENA 2022, 218, 106543. [Google Scholar] [CrossRef]
- Wang, Y.; Zhang, J.H.; Zhang, Z.H. Influences of Intensive Tillage on Water-Stable Aggregate Distribution on a Steep Hillslope. Soil Tillage Res. 2015, 151, 82–92. [Google Scholar] [CrossRef]
- Nishigaki, T.; Sugihara, S.; Kilasara, M.; Funakawa, S. Surface Runoff Generation and Soil Loss Under Different Soil and Rainfall Properties in the Uluguru Mountains, Tanzania. Land Degrad. Dev. 2017, 28, 283–293. [Google Scholar] [CrossRef]
- Saha, D.; Kukal, S.S.; Sharma, S. Landuse Impacts on SOC Fractions and Aggregate Stability in Typic Ustochrepts of Northwest India. Plant Soil 2011, 339, 457–470. [Google Scholar] [CrossRef]
- Egan, G.; Crawley, M.J.; Fornara, D.A. Effects of Long-Term Grassland Management on the Carbon and Nitrogen Pools of Different Soil Aggregate Fractions. Sci. Total Environ. 2018, 613–614, 810–819. [Google Scholar] [CrossRef]
- Cao, S.; Zhou, Y.; Zhou, Y.; Zhou, X.; Zhou, W. Soil Organic Carbon and Soil Aggregate Stability Associated with Aggregate Fractions in a Chronosequence of Citrus Orchards Plantations. J. Environ. Manag. 2021, 293, 112847. [Google Scholar] [CrossRef]
- Li, H.; Zhu, H.; Liang, C.; Wei, X.; Yao, Y. Soil Erosion Significantly Decreases Aggregate-Associated OC and N in Agricultural Soils of Northeast China. Agric. Ecosyst. Environ. 2022, 323, 107677. [Google Scholar] [CrossRef]
- Zhu, G.; Shangguan, Z.; Deng, L. Variations in Soil Aggregate Stability Due to Land Use Changes from Agricultural Land on the Loess Plateau, China. CATENA 2021, 200, 105181. [Google Scholar] [CrossRef]
- Hu, L.; She, D.; Yang, Z. Stability of soil aggregates and its differentiation characteristics in small watersheds in loess hilly region of northwestern shanxi. Res. Soil Water Conserv. 2022, 29, 72–77. [Google Scholar] [CrossRef]
- Xu, C.; Lin, T.-C.; Yang, Z.; Liu, X.; Xiong, D.; Chen, S.; Wu, F.; Yang, Y. Forest Conversion Effects on Soil Organic Carbon Are Regulated by Soil Aggregate Stability and Not by Recalcitrance: Evidence from a Reforestation Experiment. CATENA 2022, 219, 106613. [Google Scholar] [CrossRef]
- Zhong, Z.; Han, X.; Xu, Y.; Zhang, W.; Fu, S.; Liu, W.; Ren, C.; Yang, G.; Ren, G. Effects of Land Use Change on Organic Carbon Dynamics Associated with Soil Aggregate Fractions on the Loess Plateau, China. Land Degrad. Dev. 2019, 30, 1070–1082. [Google Scholar] [CrossRef]
- Ameer, I.; Kubar, K.A.; Ali, Q.; Ali, S.; Khan, T.; Shahzad, K.; Riaz, M.; Shah, Z.; Rajpar, I.; Ahmed, M.; et al. Land Degradation Resistance Potential of a Dry, Semiarid Region in Relation to Soil Organic Carbon Stocks, Carbon Management Index, and Soil Aggregate Stability. Land Degrad. Dev. 2023, 34, 624–636. [Google Scholar] [CrossRef]
- Xue, T. Characteristics of Soil Aggregation Stability and Its Spatial Variability in the Small Watershed of South Hunan Province. Master’s Thesis, Hunan Agricultural University, Changsha, China, 2010. [Google Scholar]
- Tisdall, J.M.; Oades, J.M. Organic Matter and Water-Stable Aggregates in Soils. J. Soil Sci. 1982, 33, 141–163. [Google Scholar] [CrossRef]
- Veihe, A. The Spatial Variability of Erodibility and Its Relation to Soil Types: A Study from Northern Ghana. Geoderma 2002, 106, 101–120. [Google Scholar] [CrossRef]
- Cerdà, A. Aggregate Stability against Water Forces under Different Climates on Agriculture Land and Scrubland in Southern Bolivia. Soil Tillage Res. 2000, 57, 159–166. [Google Scholar] [CrossRef]
- Tang, S.; Yuan, P.; Tawaraya, K.; Tokida, T.; Fukuoka, M.; Yoshimoto, M.; Sakai, H.; Hasegawa, T.; Xu, X.; Cheng, W. Winter Nocturnal Warming Affects the Freeze-Thaw Frequency, Soil Aggregate Distribution, and the Contents and Decomposability of C and N in Paddy Fields. Sci. Total Environ. 2022, 802, 149870. [Google Scholar] [CrossRef]
- Tan, J.; Ren, X.; Li, Q.; Xu, Y.; Xu, K. Reservoir dam safety in new era. Yangtze River 2021, 149–153. [Google Scholar] [CrossRef]
- Xin, Z.; Xia, J. Soil Erosion Calculation in the Hydro-Fluctuation Belt by Adding Water Erosivity Factor in the USLE Model. J. Mt. Sci. 2020, 17, 2123–2135. [Google Scholar] [CrossRef]
- Wang, L.H.; Huang, J.L.; Du, Y.; Hu, Y.X.; Han, P.P.; Wang, J.L. Priority Areas Mapping for Controlling Soil Erosion in Danjiangkou Reservoir Area. AMR 2012, 610–613, 2995–2999. [Google Scholar] [CrossRef]
- Zhao, J.; Chen, S.; Hu, R.; Li, Y. Aggregate Stability and Size Distribution of Red Soils under Different Land Uses Integrally Regulated by Soil Organic Matter, and Iron and Aluminum Oxides. Soil Tillage Res. 2017, 167, 73–79. [Google Scholar] [CrossRef]
- Xu, Y. Stability of Soil Aggregates and Nutrient Distribution Characteristics under Different Land Use Practices in the Qinghai River Basin. Master’s Thesis, Shandong Normal University, Jinan, China, 2021. [Google Scholar]
- Yang, H.; Zhang, L.; Yu, S.; Cao, J. Effects of Different Land-Uses on the Features of Water-Stable Aggregates in Karst and Clasolite Areas in Maocun, Guilin. Carsologica Sin. 2012, 31, 265–271. [Google Scholar]
- Li, B.; Li, Y.; Ren, T.; Dynasty, H.; Xu, J. Soil Sampling and Analysis Methods; Electronic Industry Press: Beijing, China, 2022. [Google Scholar]
- Wang, X.; Zhang, C.; Li, Q. Path analysis between vegetation coverage climate factors in the Loess Plateau. Acta Ecol. Sin. 2023, 43, 719–730. [Google Scholar] [CrossRef]
- Song, X.; Zhu, Z.; Liu, Y.; Zhao, H. Application of path analysis in stepwise linear regression SPSS. Arid. Zone Res. 2016, 33, 108–113. [Google Scholar] [CrossRef]
- Ye, L.; Tan, W.; Fang, L.; Ji, L. Spatial Analysis of Soil Aggregate Stability in a Small Catchment of the Loess Plateau, China: II. Spatial Prediction. Soil Tillage Res. 2019, 192, 1–11. [Google Scholar] [CrossRef]
- Teng, M.; Zeng, L.; Xiao, W.; Huang, Z.; Zhou, Z.; Yan, Z.; Wang, P. Spatial Variability of Soil Organic Carbon in Three Gorges Reservoir Area, China. Sci. Total Environ. 2017, 599–600, 1308–1316. [Google Scholar] [CrossRef]
- Ye, L.; Ji, L.; Chen, H.; Chen, X.; Tan, W. Spatial Contribution of Environmental Factors to Soil Aggregate Stability in a Small Catchment of the Loess Plateau, China. Agronomy 2022, 12, 2557. [Google Scholar] [CrossRef]
- Oztas, T.; Fayetorbay, F. Effect of Freezing and Thawing Processes on Soil Aggregate Stability. CATENA 2003, 52, 1–8. [Google Scholar] [CrossRef]
- Dagesse, D. Effect of Freeze-Drying on Soil Aggregate Stability. Soil Sci. Soc. Am. J. 2011, 75, 2111–2121. [Google Scholar] [CrossRef]
- Xing, X.; Wang, H.; An, T.; Li, S.; Pei, J.; Liang, W.; Wang, J. Effects of Long-Term Fertilization on Distribution of Aggregate Size and Main Nutrient Accumulation in Brown Earth. J. Soil Water Conserv. 2015, 29, 267–273. [Google Scholar]
- Liu, Z.; Sun, Z.; Lyu, Y. Effect of Long-Term Fertilization on Soil Aggregate Formation in Greenhouse and Farmland Conditions in the North China Plain. Chin. J. Eco-Agric. 2017, 25, 1119–1128. [Google Scholar]
- Zhang, Y.; Zhao, S.; Wang, Z.; Li, X.; Li, M.; Du, C. Distribution and Function of Cementing Materials of Soil Aggregates on the Loess Plateau, Western China. Sci. Soil Water Conserv. 2015, 13, 145–150. [Google Scholar]
- Yu, Z.; Zhang, J.; Zhang, C.; Xin, X.; Li, H. The Coupling Effects of Soil Organic Matter and Particle Interaction Forces on Soil Aggregate Stability. Soil Tillage Res. 2017, 174, 251–260. [Google Scholar] [CrossRef]
- Wang, J.; Yang, W.; Yu, B.; Li, Z.; Cai, C.; Ma, R. Estimating the Influence of Related Soil Properties on Macro- and Micro-Aggregate Stability in Ultisols of South-Central China. CATENA 2016, 137, 545–553. [Google Scholar] [CrossRef]
- Angers, D. Water-Stable Aggregation of Québec Silty Clay Soils: Some Factors Controlling Its Dynamics. Soil Tillage Res. 1998, 47, 91–96. [Google Scholar] [CrossRef]
- Brubaker, S.C.; Holzhey, C.S.; Brasher, B.R. Estimating the Water-Dispersible Clay Content of Soils. Soil Sci. Soc. Am. J. 1992, 56, 1226–1232. [Google Scholar] [CrossRef]
- Qiu, L.; Lian, L.; Zhang, L.; Liu, Q.; Lu, F. Study on the Characteristics and Influencing Factors of Water Stable Aggregates of Forest Soil. J. Yangzhou Univ. (Agric. Life Sci. Ed.) 2016, 37, 74–80. [Google Scholar]
- Guo, L.; Zhang, W.; Gao, J.; Hao, C.; Zhang, B.; Li, C. Stability Features and Evolution Mechanism of Soil Water-Stable Aggregates in Pinus Tabulaeformis Plantation in Taihang Mountain. Res. Environ. Sci. 2019, 32, 1861–1868. [Google Scholar]
- Zhang, Y.; Wu, Y.; Li, Q.; Zhang, D.; Chen, J.; Liu, X. Characteristics and Relationship between Soil Nitrogen and Aggregates in Alpine Meadows with Different Degradation in Eastern Qilian Mountains. Acta Agrestia Sin. 2021, 29, 2286–2293. [Google Scholar]
- Zhang, J.; Gu, F.; Zhu, B.; Zhou, M. Effects of Forest and Grass Restoration on Soil Aggregate Stability, and Organic Carbon and Nitrogen Characteristics in an Eroded Area of the Reshui River. Pratacult. Sci. 2021, 38, 1012–1023. [Google Scholar]
- Regelink, I.C.; Stoof, C.R.; Rousseva, S.; Weng, L.; Lair, G.J.; Kram, P.; Nikolaidis, N.P.; Kercheva, M.; Banwart, S.; Comans, R.N.J. Linkages between Aggregate Formation, Porosity and Soil Chemical Properties. Geoderma 2015, 247–248, 24–37. [Google Scholar] [CrossRef]
- Araujo, M.A.; Zinn, Y.L.; Lal, R. Soil Parent Material, Texture and Oxide Contents Have Little Effect on Soil Organic Carbon Retention in Tropical Highlands. Geoderma 2017, 300, 1–10. [Google Scholar] [CrossRef]
- Han, X.; Guo, N.; Li, D.; Xie, M.; Jiao, F. Effects of Nitrogen Addition on Soil Carbon and Nitrogen and Biomass Change in Different Grassland Types in Inner Mongolia. Acta Pratacult. Sin. 2022, 31, 13–25. [Google Scholar]
- Liu, M.-Y.; Chang, Q.-R.; Qi, Y.-B.; Liu, J.; Chen, T. Aggregation and Soil Organic Carbon Fractions under Different Land Uses on the Tableland of the Loess Plateau of China. CATENA 2014, 115, 19–28. [Google Scholar] [CrossRef]
- Ebabu, K.; Tsunekawa, A.; Haregeweyn, N.; Adgo, E.; Meshesha, D.T.; Aklog, D.; Masunaga, T.; Tsubo, M.; Sultan, D.; Fenta, A.A.; et al. Exploring the Variability of Soil Properties as Influenced by Land Use and Management Practices: A Case Study in the Upper Blue Nile Basin, Ethiopia. Soil Tillage Res. 2020, 200, 104614. [Google Scholar] [CrossRef]
- Duan, L.; Sheng, H.; Yuan, H.; Zhou, Q.; Li, Z. Land Use Conversion and Lithology Impacts Soil Aggregate Stability in Subtropical China. Geoderma 2021, 389, 114953. [Google Scholar] [CrossRef]
- Bhattacharyya, R.; Rabbi, S.M.F.; Zhang, Y.; Young, I.M.; Jones, A.R.; Dennis, P.G.; Menzies, N.W.; Kopittke, P.M.; Dalal, R.C. Soil Organic Carbon Is Significantly Associated with the Pore Geometry, Microbial Diversity and Enzyme Activity of the Macro-Aggregates under Different Land Uses. Sci. Total Environ. 2021, 778, 146286. [Google Scholar] [CrossRef]
- Feng, H.; Wang, S.; Gao, Z.; Pan, H.; Zhuge, Y.; Ren, X.; Hu, S.; Li, C. Aggregate Stability and Organic Carbon Stock under Different Land Uses Integrally Regulated by Binding Agents and Chemical Properties in Saline-sodic Soils. Land Degrad Dev. 2021, 32, 4151–4161. [Google Scholar] [CrossRef]
- Blanco-Canqui, H.; Lal, R. Mechanisms of Carbon Sequestration in Soil Aggregates. Crit. Rev. Plant Sci. 2004, 23, 481–504. [Google Scholar] [CrossRef]
- Okolo, C.C.; Gebresamuel, G.; Zenebe, A.; Haile, M.; Eze, P.N. Accumulation of Organic Carbon in Various Soil Aggregate Sizes under Different Land Use Systems in a Semi-Arid Environment. Agric. Ecosyst. Environ. 2020, 297, 106924. [Google Scholar] [CrossRef]
- Kögel-Knabner, I.; Amelung, W.; Cao, Z.; Fiedler, S.; Frenzel, P.; Jahn, R.; Kalbitz, K.; Kölbl, A.; Schloter, M. Biogeochemistry of Paddy Soils. Geoderma 2010, 157, 1–14. [Google Scholar] [CrossRef]









| Land Use Type | >2 mm | 2–1 mm | 1–0.25 mm | 0.25–0.05 mm | <0.05 mm |
|---|---|---|---|---|---|
| PF | 13.67 ± 17.28 a | 7.39 ± 11.11 ab | 56.1 ± 19.76 a | 15.81 ± 8.21 b | 7.02 ± 6.4 a |
| IL | 6.76 ± 9.83 ab | 2.38 ± 1.46 b | 62.44 ± 13.87 a | 21.73 ± 12.41 ab | 6.69 ± 4.2 a |
| FL | 11.19 ± 12.87 a | 11.27 ± 12.86 a | 53 ± 16.88 a | 19.96 ± 8.73 b | 4.58 ± 2.81 a |
| UP | 3.33 ± 3.45 b | 3.06 ± 2.44 b | 55.12 ± 16.5 a | 30.69 ± 15.24 a | 7.81 ± 7.14 a |
| OR | 7.49 ± 5.68 ab | 5.94 ± 2.83 ab | 60.95 ± 9.73 a | 22.34 ± 9.69 ab | 3.73 ± 1.63 a |
| GL | 3.83 ± 2.48 ab | 5.85 ± 5.28 ab | 64.34 ± 4.62 a | 19.75 ± 5.04 b | 6.22 ± 3.34 a |
| Minimum | Maximum | Average | Standard Deviation | Skewness | Kurtosis | |
|---|---|---|---|---|---|---|
| WSA | 0.09 | 0.95 | 0.70 | 0.16 | −1.52 | 2.99 |
| MWD | 0.22 | 1.59 | 0.63 | 0.22 | 1.56 | 3.75 |
| GMD | 0.12 | 1.33 | 0.46 | 0.17 | 1.78 | 6.74 |
| D | 1.15 | 2.78 | 2.22 | 0.20 | −1.18 | 8.70 |
| Variables | Models | Nugget (C0) | Partial Sill (C + C0) | Nugget/Partial Sill (%) | Range (km) | R2 | RRS |
|---|---|---|---|---|---|---|---|
| WSA | Gauss | 0.016 | 0.032 | 0.5 | 14,809.03 | 0.862 | 0.00005 |
| MWD | Gauss | 0.066 | 0.133 | 0.496 | 12,124.36 | 0.825 | 0.00105 |
| GMD | Gauss | 0.082 | 0.166 | 0.494 | 14,514.59 | 0.735 | 0.00234 |
| D | Gauss | 0.009 | 0.046 | 0.196 | 1014.98 | 0.347 | 0.00383 |
| Minimum | Maximum | Average | Standard Deviation | Variance | Skewness | Kurtosis | |
|---|---|---|---|---|---|---|---|
| ELE | 167.00 | 363.00 | 213.11 | 33.77 | 1140.46 | 1.74 | 4.30 |
| aspect | 0.00 | 352.88 | 164.01 | 104.64 | 10,948.84 | 0.17 | −1.09 |
| slope | 0.00 | 17.21 | 4.91 | 3.54 | 12.51 | 1.11 | 1.09 |
| ΔLST | 3.85 | 9.46 | 7.18 | 1.02 | 1.05 | −0.88 | 1.27 |
| LST | 5.71 | 14.36 | 10.68 | 1.70 | 2.89 | −0.54 | 0.26 |
| Sand | 19.53 | 71.95 | 40.09 | 11.30 | 127.69 | 0.58 | 0.32 |
| Silt | 4.01 | 46.15 | 27.51 | 7.28 | 52.98 | −0.39 | 1.03 |
| Clay | 18.04 | 53.25 | 32.40 | 7.07 | 49.93 | 0.45 | 0.42 |
| pH | 4.18 | 7.36 | 6.17 | 0.76 | 0.58 | −0.62 | −0.17 |
| SOM | 9.14 | 74.35 | 27.75 | 12.70 | 161.35 | 1.66 | 3.20 |
| TP | 0.11 | 1.55 | 0.44 | 0.30 | 0.09 | 1.95 | 4.17 |
| AP | 4.36 | 93.83 | 24.25 | 17.82 | 317.44 | 1.82 | 3.73 |
| TN | 0.03 | 4.30 | 1.07 | 0.90 | 0.80 | 1.56 | 2.49 |
| AN | 54.60 | 735.00 | 199.64 | 86.40 | 7464.23 | 2.68 | 14.86 |
| TK | 2.00 | 24.30 | 14.22 | 6.09 | 37.08 | −0.51 | −0.78 |
| AK | 13.20 | 632.50 | 142.18 | 89.78 | 8061.02 | 2.65 | 10.02 |
Disclaimer/Publisher’s Note: The statements, opinions and data contained in all publications are solely those of the individual author(s) and contributor(s) and not of MDPI and/or the editor(s). MDPI and/or the editor(s) disclaim responsibility for any injury to people or property resulting from any ideas, methods, instructions or products referred to in the content. |
© 2023 by the authors. Licensee MDPI, Basel, Switzerland. This article is an open access article distributed under the terms and conditions of the Creative Commons Attribution (CC BY) license (https://creativecommons.org/licenses/by/4.0/).
Share and Cite
Li, H.; Chang, L.; Wei, Y.; Li, Y. Interacting Effects of Land Use Type, Soil Attributes, and Environmental Factors on Aggregate Stability. Land 2023, 12, 1286. https://doi.org/10.3390/land12071286
Li H, Chang L, Wei Y, Li Y. Interacting Effects of Land Use Type, Soil Attributes, and Environmental Factors on Aggregate Stability. Land. 2023; 12(7):1286. https://doi.org/10.3390/land12071286
Chicago/Turabian StyleLi, Haoye, Lei Chang, Yuyu Wei, and Yuefen Li. 2023. "Interacting Effects of Land Use Type, Soil Attributes, and Environmental Factors on Aggregate Stability" Land 12, no. 7: 1286. https://doi.org/10.3390/land12071286
APA StyleLi, H., Chang, L., Wei, Y., & Li, Y. (2023). Interacting Effects of Land Use Type, Soil Attributes, and Environmental Factors on Aggregate Stability. Land, 12(7), 1286. https://doi.org/10.3390/land12071286

