Capacity Assessment of Urban Green Space for Mitigating Combined Sewer Overflows in the Tokyo Metropolitan Area
Abstract
1. Introduction
2. Materials and Methods
2.1. Study Area
2.2. Methods
2.2.1. Overview of Capacity Assessment of UGS
2.2.2. Surface Runoff Model
2.2.3. Sewer Network Analysis
2.2.4. Estimation of Treatment Capacity of Each Terminal Treatment Plant
2.2.5. Response Analysis for the Relation between UGS and CSO
3. Results
3.1. Estimated CSO in Relation to Rainfall Intensity
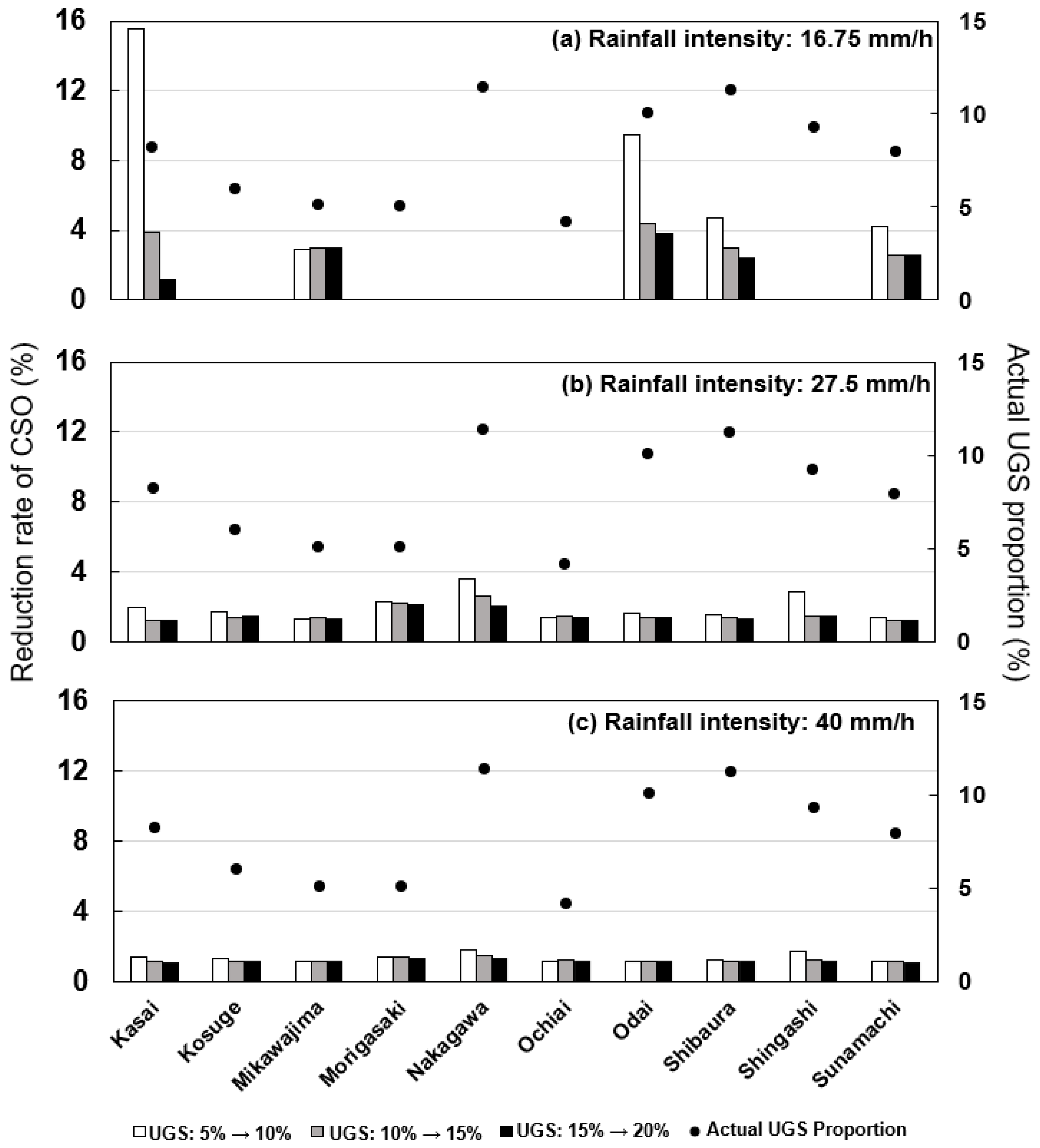
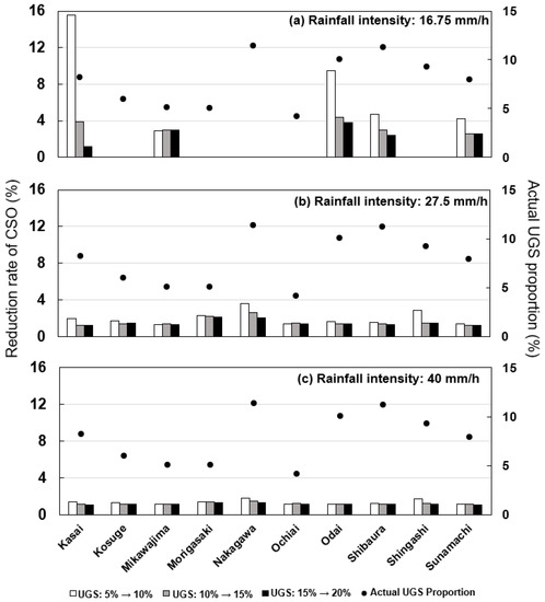
3.2. Response of CSO to the Change in UGS Proportion
4. Discussion
4.1. Proposed Method for Assessing CSO in Urban Areas
4.2. Estimated CSO in Current Land Use
4.3. Capacity of UGS in Mitigating CSO
5. Conclusions
Supplementary Materials
Author Contributions
Funding
Data Availability Statement
Conflicts of Interest
References
- Tibbetts, J. Combined sewer systems: Down, dirty, and out of date. Environ. Health Perspect. 2005, 113, A464-7. [Google Scholar] [CrossRef] [PubMed]
- Ham, Y.S.; Kobori, H.; Takasago, M. Effects of combined sewer overflow and stormwater on indicator bacteria concentrations in the tama river due to the high population density of Tokyo metropolitan area. Environ. Monit. Assess. 2009, 152, 459–468. [Google Scholar] [CrossRef] [PubMed]
- Mailhot, A.; Talbot, G.; Lavallée, B. Relationships between rainfall and Combined Sewer Overflow (CSO) occurrences. J. Hydrol. 2015, 523, 602–609. [Google Scholar] [CrossRef]
- Pennino, M.J.; McDonald, R.I.; Jaffe, P.R. Watershed-scale impacts of stormwater green infrastructure on hydrology, nutrient fluxes, and combined sewer overflows in the mid-Atlantic region. Sci. Total Environ. 2016, 565, 1044–1053. [Google Scholar] [CrossRef]
- Rizzo, A.; Tondera, K.; Pálfy, T.G.; Dittmer, U.; Meyer, D.; Schreiber, C.; Zacharias, N.; Ruppelt, J.P.; Esser, D.; Molle, P.; et al. Constructed wetlands for combined sewer overflow treatment: A state-of-the-art review. Sci. Total Environ. 2020, 727, 138618. [Google Scholar] [CrossRef]
- Passerat, J.; Ouattara, N.K.; Mouchel, J.M.; Rocher, V.; Servais, P. Impact of an intense combined sewer overflow event on the microbiological water quality of the Seine River. Water Res. 2011, 45, 893–903. [Google Scholar] [CrossRef]
- Inoue, K.; Asami, T.; Shibata, T.; Furumai, H.; Katayama, H. Spatial and temporal profiles of enteric viruses in the coastal waters of Tokyo Bay during and after a series of rainfall events. Sci. Total Environ. 2020, 727, 138502. [Google Scholar] [CrossRef]
- Poopipattana, C.; Suzuki, M.; Furumai, H. Impact of long-duration CSO events under different tidal change conditions on distribution of microbial indicators and PPCPs in Sumida river estuary of Tokyo Bay, Japan. Environ. Sci. Pollut. Res. 2021, 28, 7212–7225. [Google Scholar] [CrossRef]
- Phillips, P.J.; Chalmers, A.T.; Gray, J.L.; Kolpin, D.W.; Foreman, W.T.; Wall, G.R. Combined sewer overflows: An environmental source of hormones and wastewater micropollutants. Environ. Sci. Technol. 2012, 46, 5336–5343. [Google Scholar] [CrossRef]
- Şenik, B.; Uzun, O. A process approach to the open green space system planning. Landsc. Ecol. Eng. 2022, 18, 203–219. [Google Scholar] [CrossRef]
- Song, P.; Kim, G.; Mayer, A.; He, R.; Tian, G. Assessing the ecosystem services of various types of urban green spaces based on i-Tree Eco. Sustainability 2020, 12, 1630. [Google Scholar] [CrossRef]
- European Commission. Communication from the Commission to the European Parliament, the Council, the European Economic and Social Committee and the Committee of the Regions Green Infrastructure (GI)—Enhancing Europe’s Natural Capital. 2013. Available online: https://eur-lex.europa.eu/legal-content/EN/TXT/?uri=CELEX:52013DC0249 (accessed on 10 December 2022).
- European Commission. Ecosystem Services and Green Infrastructure. Environment. 2020. Available online: https://ec.europa.eu/environment/nature/ecosystems/index_en.htm (accessed on 28 December 2022).
- US EPA. What Is Green Infrastructure. Green Infrastruct. 2020. Available online: https://www.epa.gov/green-infrastructure/what-green-infrastructur (accessed on 28 December 2022).
- Kabisch, N.; van den Bosch, M.; Lafortezza, R. The health benefits of nature-based solutions to urbanization challenges for children and the elderly—A systematic review. Environ. Res. 2017, 159, 362–373. [Google Scholar] [CrossRef]
- Benedict, M.A.; McMahon, E.T. Smart Conservation for the 21st Century. Green Infrastruct. 2002, 20, 12–17. [Google Scholar]
- Tzoulas, K.; Korpela, K.; Venn, S.; Yli-Pelkonen, V.; Kaźmierczak, A.; Niemela, J.; James, P. Promoting ecosystem and human health in urban areas using Green Infrastructure: A literature review. Landsc. Urban Plan. 2007, 81, 167–178. [Google Scholar] [CrossRef]
- Yang, B.; Lee, D. Urban green space arrangement for an optimal landscape planning strategy for runoff reduction. Land 2021, 10, 897. [Google Scholar] [CrossRef]
- Yang, B.; Lee, D.K. Planning strategy for the reduction of runoff using urban green space. Sustainability 2021, 13, 2238. [Google Scholar] [CrossRef]
- Yang, L.; Zhang, L.; Li, Y.; Wu, S. Water-related ecosystem services provided by urban green space: A case study in Yixing City (China). Landsc. Urban Plan. 2015, 136, 40–51. [Google Scholar] [CrossRef]
- ElZein, Z.A.K.A.A.; Abdou, A.; Abd ElGawad, I. Constructed wetlands as a sustainable wastewater treatment method in communities. Procedia Environ. Sci. 2016, 34, 605–617. [Google Scholar] [CrossRef]
- Zhang, B.; Xie, G.; Zhang, C.; Zhang, J. The economic benefits of rainwater-runoff reduction by urban green spaces: A case study in Beijing, China. J. Environ. Manag. 2012, 100, 65–71. [Google Scholar] [CrossRef]
- Maragno, D.; Gaglio, M.; Robbi, M.; Appiotti, F.; Fano, E.A.; Gissi, E. Fine-scale analysis of urban flooding reduction from green infrastructure: An ecosystem services approach for the management of water flows. Ecol. Modell. 2018, 386, 1–10. [Google Scholar] [CrossRef]
- Li, F.; Liu, Y.; Engel, B.A.; Chen, J.; Sun, H. Green infrastructure practices simulation of the impacts of land use on surface runoff: Case study in Ecorse River watershed, Michigan. J. Environ. Manag. 2019, 233, 603–611. [Google Scholar] [CrossRef] [PubMed]
- Stefanakis, A.I. The role of constructed wetlands as green infrastructure for sustainable urban water management. Sustainability 2019, 11, 6981. [Google Scholar] [CrossRef]
- Eco Justice. Green Cities, Great Lakes. Using Green Infrastructure to Reduce Combined Sewer Overflows. 2008. Available online: https://ecojustice.ca/wp-content/uploads/2014/11/Green-Cities-Great-Lakes-2008.pdf (accessed on 10 December 2022).
- Yang, B.; Li, S. Green infrastructure design for stormwater runoff and water quality: Empirical evidence from large watershed-scale community developments. Water 2013, 5, 2038–2057. [Google Scholar] [CrossRef]
- Sharma, R.; Malaviya, P. Management of Stormwater Pollution Using Green Infrastructure: The Role of Rain Gardens. Wiley Water 2021, 8, e1507. [Google Scholar] [CrossRef]
- Wise, S. Green infrastructure rising. Planning 2008, 74, 14–19. [Google Scholar]
- U.S. EPA. Storm Water Management Model (SWMM). United States Environmental Protection Agency. 2022. Available online: https://www.epa.gov/water-research/storm-water-management-model-swmm (accessed on 19 December 2022).
- Tao, J.; Li, Z.; Peng, X.; Ying, G. Quantitative analysis of impact of green stormwater infrastructures on combined sewer overflow control and urban flooding control. Front. Environ. Sci. Eng. 2017, 11, 11. [Google Scholar] [CrossRef]
- Ogahara, Y.; Taura, F.; Shimamura, Y. Flood and cso surpression effect by green infrastructure targeting upstream zempukuji-river basin. J. Jpn. Soc. Civ. Eng. Ser. B1 Hydraul. Eng. 2018, 74, 355–360. [Google Scholar] [CrossRef]
- Jean, M.-È.; Morin, C.; Duchesne, S.; Pelletier, G.; Pleau, M. Real-time model predictive and rule-based control with green infrastructures to reduce combined sewer overflows. Water Res. 2022, 221, 118753. [Google Scholar] [CrossRef]
- Maeda, M.; Mizushima, H.; Ito, K. Development of the real-time control (RTC) system for Tokyo sewage system. Water Sci. Technol. 2005, 51, 213–220. [Google Scholar] [CrossRef]
- Earth Observation Research Center (EORC)/Japan Aerospace Exploration Agency (JAXA). Advanced Land Observing Satellite. Available online: https://www.eorc.jaxa.jp/ALOS/jp/index_j.htm (accessed on 30 July 2021).
- Ministry of Land Infrastructure Transport and Tourism (MLIT). National Land Information Database. Available online: https://nlftp.mlit.go.jp/ksj/index.html (accessed on 30 July 2021).
- Japan Meteorological Agency. Meteorological Data in the Past. Available online: https://www.jma.go.jp/jma/index.html (accessed on 1 December 2022).
- Sekine, M.; Huruki, Y.; Sekine, T. Numerical simulation of inundation in urban area of tokyo and underground space. J. Jpn. Soc. Civ. Eng. B1 Hydraul. Eng. 2015, 71, 1435–1440. [Google Scholar]
- Sharp, R.; Chaplin-Kramer, R.; Wood, S.; Guerry, A.; Tallis, H.; Ricketts, T.; Nelson, E.; Ennaanay, D.; Wolny, S.; Olwero, N.; et al. InVEST User’s Guide; The Natural Capital Project: Stanford, CA, USA, 2018. [Google Scholar] [CrossRef]
- Mockus, V. Chapter 10 Estimation of Direct Runoff from Storm Rainfall. In National Engineering Handbook, Section 4, Hydrology; United States Department of Agriculture: Washington, DC, USA, 1964. Available online: https://directives.sc.egov.usda.gov/OpenNonWebContent.aspx?content=41607.wba (accessed on 20 December 2022).
- Open Street Map Foundation. Open Street Map Database. Available online: https://www.openstreetmap.org/#map=5/35.588/134.380 (accessed on 30 July 2021).
- ESRI. Network Analyst: ArcGIS 10; Environmental Systems Research Institute: Redlands, CA, USA, 2010. [Google Scholar]
- Church, R.L. Geographic Information Systems and Transportation Research. Transp. Res. Part C Emerg. Technol. 2002, 10, 79–92. [Google Scholar]
- Tokyo Metropolitan Government Bureau of Sewerage. SEWERAGE in TOKYO 2020. Tokyo Metropolitan Government Bureau of Sewerage. 2020. Available online: https://www.gesui.metro.tokyo.lg.jp/english/pdf/full_text_en.pdf (accessed on 19 December 2022).
- Kong, F.; Yin, H.; James, P. Using high-resolution satellite images to map the urban forest: A comparison of pixel-based and object-based classification approaches in a case study of megacities (Beijing/London/New York City). Urban For. Urban Green. 2016, 17, 212–226. [Google Scholar]
- Yu, Y.; Kojima, K.; An, K.; Furumai, H. Cluster analysis for characterization of rainfalls and CSO behaviours in an urban drainage area of Tokyo. Water Sci. Technol. 2013, 68, 544–551. [Google Scholar] [CrossRef]
- Inoue, S. [Current situation of measures against stormwater and green infrastructure in Japan] Nippon no usuitaisaku no genjyo to guri-n infura. J. Jpn. Soc. Reveg. Technol. 2017, 42, 409–411. [Google Scholar] [CrossRef]
- Grabowski, Z.J.; McPhearson, T.; Matsler, A.M.; Groffman, P.; Pickett, S.T. What is green infrastructure? A study of definitions in US city planning. Front. Ecol. Environ. 2022, 20, 152–160. [Google Scholar] [CrossRef]
- Bhandari, S.; Zhang, C. Urban Green Space Prioritization to Mitigate Air Pollution and the Urban Heat Island Effect in Kathmandu Metropolitan City, Nepal. Land 2022, 11, 2074. [Google Scholar] [CrossRef]
- Zhao, W.; Zhang, L.; Li, X.; Peng, L.; Wang, P.; Wang, Z.; Jiao, L.; Wang, H. Residents’ Preference for Urban Green Space Types and Their Ecological-Social Services in China. Land 2022, 11, 2239. [Google Scholar] [CrossRef]
- Alves, A.; Vojinovic, Z.; Kapelan, Z.; Sanchez, A.; Gersonius, B. Exploring trade-offs among the multiple benefits of green-blue-grey infrastructure for urban flood mitigation. Sci. Total Environ. 2020, 703, 134980. [Google Scholar] [CrossRef]
- USDA; Natural Resources Conservation Service. Chapter 7 Hydrologic Soil Groups. In National Engineering Handbook; United States Department of Agriculture: Washington, DC, USA, 2007. Available online: https://directives.sc.egov.usda.gov/OpenNonWebContent.aspx?content=17757.wba) (accessed on 19 December 2022).
- USDA-SCS. Urban Hydrology for Small Watersheds; Technical Release No. 55 (TR-55); USDASCS: Washington, DC, USA, 1986. Available online: https://directives.sc.egov.usda.gov/OpenNonWebContent.aspx?content=22162.wba (accessed on 19 December 2022).






| Type of Rainfall Event | No. of Events | Average Rainfall Intensity (mm/h) | Maximum Rainfall Intensity (mm/h) |
|---|---|---|---|
| All events | 642 | 1.77 | 40.0 |
| More than 10 mm/h | 60 | 14.15 | 40.0 |
| More than 10 mm/h and lasting less than 3 h | 10 | 16.75 | 27.5 |
Disclaimer/Publisher’s Note: The statements, opinions and data contained in all publications are solely those of the individual author(s) and contributor(s) and not of MDPI and/or the editor(s). MDPI and/or the editor(s) disclaim responsibility for any injury to people or property resulting from any ideas, methods, instructions or products referred to in the content. |
© 2023 by the authors. Licensee MDPI, Basel, Switzerland. This article is an open access article distributed under the terms and conditions of the Creative Commons Attribution (CC BY) license (https://creativecommons.org/licenses/by/4.0/).
Share and Cite
Ogawa, R.; Zhang, Y.; Theng, V.; Guo, Z.; Wang, M.; Yoshimura, C. Capacity Assessment of Urban Green Space for Mitigating Combined Sewer Overflows in the Tokyo Metropolitan Area. Land 2023, 12, 993. https://doi.org/10.3390/land12050993
Ogawa R, Zhang Y, Theng V, Guo Z, Wang M, Yoshimura C. Capacity Assessment of Urban Green Space for Mitigating Combined Sewer Overflows in the Tokyo Metropolitan Area. Land. 2023; 12(5):993. https://doi.org/10.3390/land12050993
Chicago/Turabian StyleOgawa, Ryohei, Ye Zhang, Vouchlay Theng, Zhongyu Guo, Manna Wang, and Chihiro Yoshimura. 2023. "Capacity Assessment of Urban Green Space for Mitigating Combined Sewer Overflows in the Tokyo Metropolitan Area" Land 12, no. 5: 993. https://doi.org/10.3390/land12050993
APA StyleOgawa, R., Zhang, Y., Theng, V., Guo, Z., Wang, M., & Yoshimura, C. (2023). Capacity Assessment of Urban Green Space for Mitigating Combined Sewer Overflows in the Tokyo Metropolitan Area. Land, 12(5), 993. https://doi.org/10.3390/land12050993

