Interannual Variation and Control Factors of Soil Respiration in Xeric Shrubland and Agricultural Sites from the Chihuahuan Desert, Mexico
Abstract
:1. Introduction
2. Materials and Methods
2.1. Site Description
2.2. Sampling and Measurements
2.3. Data Analysis
3. Results
3.1. Soil Characteristics
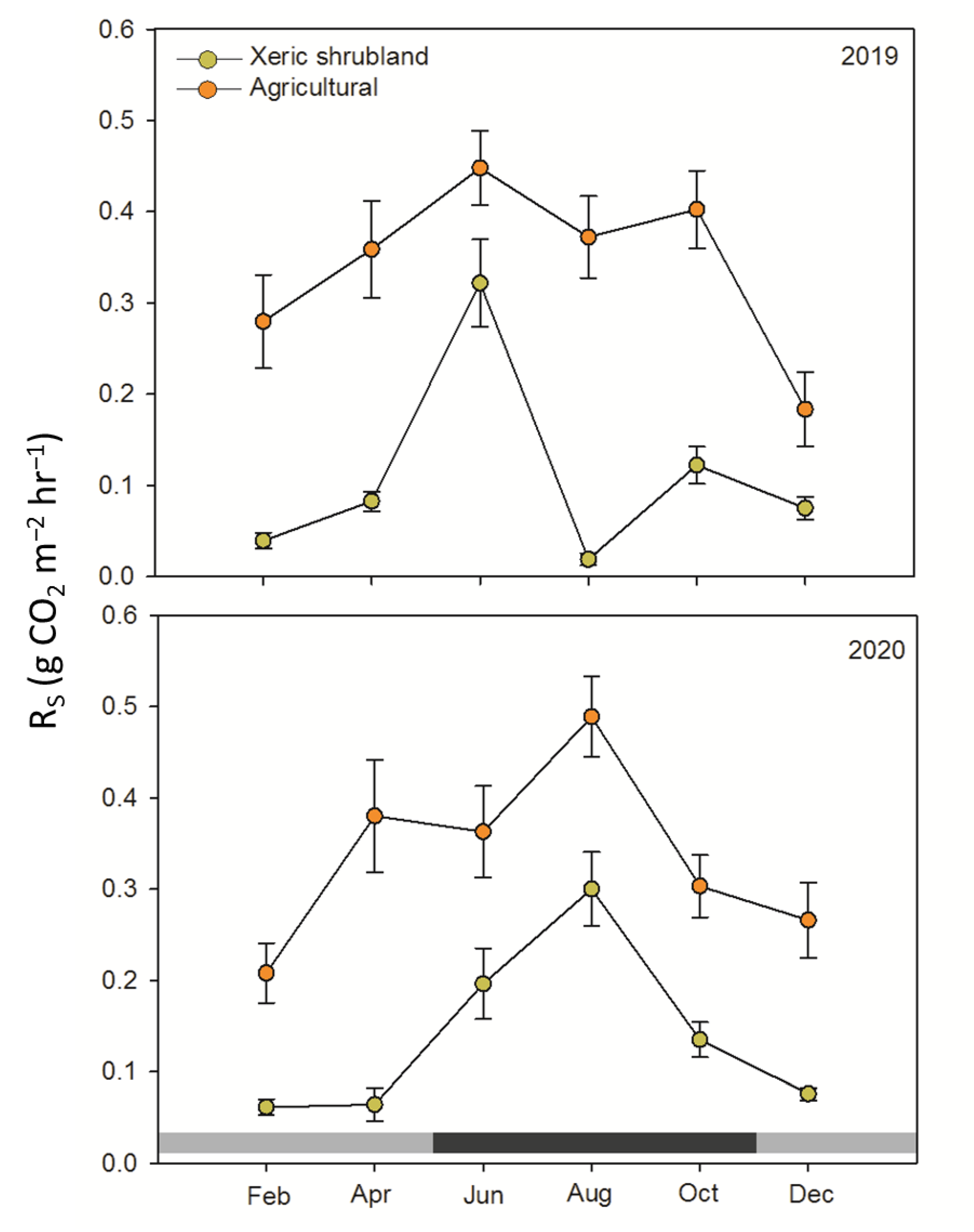
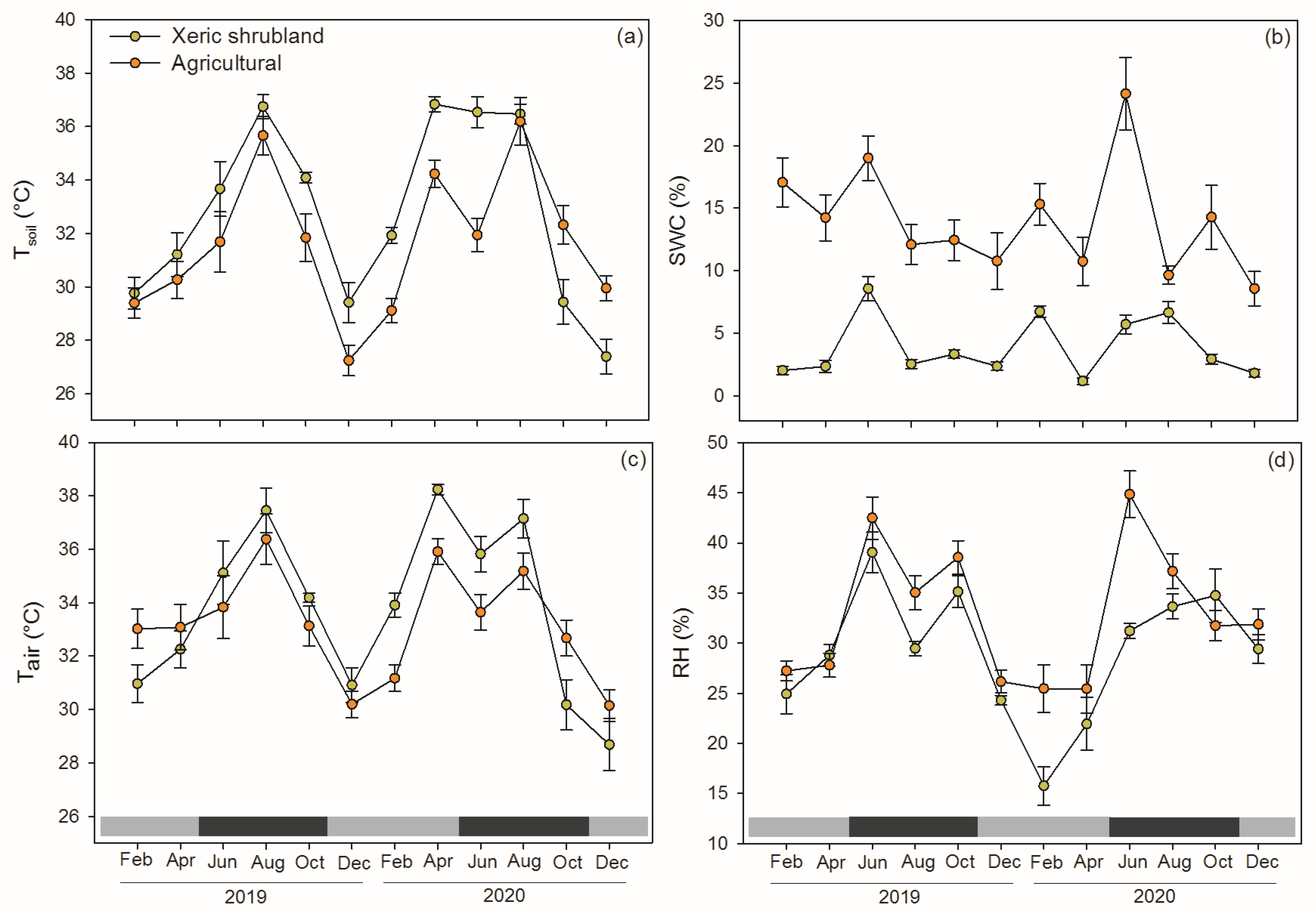
3.2. Interannual Variation in Soil Respiration and Environmental Conditions
3.3. Control Factors of Soil Respiration
4. Discussion
5. Conclusions
Supplementary Materials
Author Contributions
Funding
Data Availability Statement
Acknowledgments
Conflicts of Interest
References
- Amelung, W.; Bossio, D.; de Vries, W.; Kögel-Knabner, I.; Lehmann, J.; Amundson, R.; Bol, R.; Collins, C.; Lal, R.; Leifeld, J. Towards a global-scale soil climate mitigation strategy. Nat. Commun. 2020, 11, 5427. [Google Scholar] [CrossRef] [PubMed]
- Lal, R. Carbon cycling in global drylands. Curr. Clim. Change Rep. 2019, 5, 221–232. [Google Scholar] [CrossRef]
- Bond-Lamberty, B.; Thomson, A. Temperature-associated increases in the global soil respiration record. Nature 2010, 464, 579–582. [Google Scholar] [CrossRef] [PubMed]
- Stockmann, U.; Adams, M.A.; Crawford, J.W.; Field, D.J.; Henakaarchchi, N.; Jenkins, M.; Minasny, B.; McBratney, A.B.; De Courcelles, V.d.R.; Singh, K. The knowns, known unknowns and unknowns of sequestration of soil organic carbon. Agric. Ecosyst. Environ. 2013, 164, 80–99. [Google Scholar] [CrossRef]
- Ahlström, A.; Raupach, M.R.; Schurgers, G.; Smith, B.; Arneth, A.; Jung, M.; Reichstein, M.; Canadell, J.G.; Friedlingstein, P.; Jain, A.K.; et al. The dominant role of semi-arid ecosystems in the trend and variability of the land CO2 sink. Science 2015, 348, 895. [Google Scholar] [CrossRef] [PubMed]
- Phillips, C.L.; Nickerson, N. Soil Respiration. In Reference Module in Earth Systems and Environmental Sciences; Elsevier: Amsterdam, The Netherlands, 2015. [Google Scholar]
- Olsson, L.; Barbosa, H.A.; Bhadwal, S.; Cowie, A.; Delusca, K.; Flores-Renteria, D.; Hermans, K.; Jobbagy, E.; Kurz, W.; Li, D.; et al. Land Degradation. In Climate Change and Land: An IPCC Special Report on Climate Change, Desertification, Land Degradation, Sustainable Land Management, Food Security, and Greenhouse Gas Fluxes in Terrestrial Ecosystems; Shukla, P.R., Skea, J., Calvo Buendia, E., Masson-Delmotte, V., Pörtner, H.-O., Roberts, D.C., Zhai, P., Slade, R., Connors, S., van Diemen, R., et al., Eds.; IPCC: Geneva, Switzerland, 2019. [Google Scholar]
- Friedlingstein, P.; O’Sullivan, M.; Jones, M.W.; Andrew, R.M.; Hauck, J.; Olsen, A.; Peters, G.P.; Peters, W.; Pongratz, J.; Sitch, S.; et al. Global carbon budget 2020. Earth Syst. Sci. Data 2020, 12, 3269–3340. [Google Scholar] [CrossRef]
- Zhang, Y.; Guo, S.; Liu, Q.; Jiang, J.; Wang, R.; Li, N. Responses of soil respiration to land use conversions in degraded ecosystem of the semi-arid Loess Plateau. Ecol. Eng. 2015, 74, 196–205. [Google Scholar] [CrossRef]
- Lima, J.R.d.S.; Souza, R.M.S.; Santos, E.S.d.; Souza, E.S.d.; Oliveira, J.E.d.S.; Medeiros, É.V.d.; Pessoa, L.G.M.; Antonino, A.C.D.; Hammecker, C. Impacts of land-use changes on soil respiration in the semi-arid region of Brazil. Rev. Bras. Cienc. Solo 2020, 44, e0200092. [Google Scholar] [CrossRef]
- Xue, H.; Tang, H. Responses of soil respiration to soil management changes in an agropastoral ecotone in Inner Mongolia, China. Ecol. Evol. 2018, 8, 220–230. [Google Scholar] [CrossRef]
- Meena, A.; Hanief, M.; Dinakaran, J.; Rao, K.S. Soil moisture controls the spatio-temporal pattern of soil respiration under different land use systems in a semi-arid ecosystem of Delhi, India. Ecol. Process. 2020, 9, 15. [Google Scholar] [CrossRef]
- Poulter, B.; Frank, D.; Ciais, P.; Myneni, R.B.; Andela, N.; Bi, J.; Broquet, G.; Canadell, J.G.; Chevallier, F.; Liu, Y.Y.; et al. Contribution of semi-arid ecosystems to interannual variability of the global carbon cycle. Nature 2014, 509, 600–603. [Google Scholar] [CrossRef] [PubMed]
- CICESE. CLICOM. Obtenido de Base de Datos Climatológica Nacional. Available online: http://clicom-mex.cicese.mx (accessed on 21 March 2023).
- WRB; IWG. World Reference Base for Soil Resources 2015; FAO: Rome, Italy, 2015; Volume 106, p. 203. [Google Scholar]
- Villarreal-Quintanilla, J.; Encina-Domínguez, J.A. Plantas vasculares endémicas de Coahuila y algunas áreas adyacentes, México. Acta Botánica Mex. 2005, 70, 1–46. [Google Scholar] [CrossRef]
- Heinemeyer, A.; Di Bene, C.; Lloyd, A.R.; Tortorella, D.; Baxter, R.; Huntley, B.; Gelsomino, A.; Ineson, P. Soil respiration: Implications of the plant-soil continuum and respiration chamber collar-insertion depth on measurement and modelling of soil CO2 efflux rates in three ecosystems. Eur. J. Soil Sci. 2011, 62, 82–94. [Google Scholar] [CrossRef]
- Salehi, M.; Beni, O.H.; Harchegani, H.B.; Borujeni, I.E.; Motaghian, H.J.P. Refining soil organic matter determination by loss-on-ignition. Pedosphere 2011, 21, 473–482. [Google Scholar] [CrossRef]
- Gregorich, E.G.; Wen, G.; Voroney, R.P.; Kachanoski, R.G. Calibration of a rapid direct chloroform extraction method for measuring soil microbial biomass C. Soil Biol. Biochem. 1990, 22, 1009–1011. [Google Scholar] [CrossRef]
- Campuzano, E.F.; Briones, O.; Larsen, J.; Guillen-Cruz, G.; Fernández-Luqueño, F.; Flores-Renteria, D. Procedimiento para evaluar la degradación biológica del suelo en zonas áridas del noreste de México. Real. Datos Espac. Rev. Int. Estadística Geogr. 2022, 13, 38–57. [Google Scholar]
- Flores-Rentería, D.; Delgado-Balbuena, J.; Campuzano, E.F.; Curiel Yuste, J. Seasonal controlling factors of CO2 exchange in a semiarid shrubland in the Chihuahuan Desert, Mexico. Sci. Total Environ. 2023, 858, 159918. [Google Scholar] [CrossRef]
- Stevenson, B.A.; Sarmah, A.K.; Smernik, R.; Hunter, D.W.F.; Fraser, S. Soil carbon characterization and nutrient ratios across land uses on two contrasting soils: Their relationships to microbial biomass and function. Soil Biol. Biochem. 2016, 97, 50–62. [Google Scholar] [CrossRef]
- Iriondo, J.M.; Albert, M.A.J.; Escudero, A. Structural equation modelling: An alternative for assessing causal relationships in threatened plant populations. Biol. Conserv. 2003, 113, 367–377. [Google Scholar] [CrossRef]
- Shipley, B. Cause and Correlation in Biology: A User’s Guide to Path Analysis, Structural Equations and Causal Inference; Cambridge University Press: Cambridge, UK, 2002; p. 332. [Google Scholar]
- Byrne, B.M. Structural Equation Modeling with AMOS: Basic Concepts, Applications, and Programming, 3rd ed.; Taylor & Francis: New York, NY, USA, 2016. [Google Scholar]
- Polanco-Martínez, J.M.; López-Martínez, J.L. A non-parametric method to test the statistical significance in rolling window correlations, and applications to ecological time series. Ecol. Inform. 2021, 64, 101379. [Google Scholar] [CrossRef]
- Polanco-Martínez, J.M. RolWinMulCor: An R package for estimating rolling window multiple correlation in ecological time series. Ecol. Inform. 2020, 60, 101163. [Google Scholar] [CrossRef]
- Gile, L.H. A classification of ca horizons in soils of a desert region, Dona Ana County, New Mexico. Soil Sci. Soc. Am. J. 1961, 25, 52–61. [Google Scholar] [CrossRef]
- Lange, M.; Habekost, M.; Eisenhauer, N.; Roscher, C.; Bessler, H.; Engels, C.; Oelmann, Y.; Scheu, S.; Wilcke, W.; Schulze, E.-D. Biotic and abiotic properties mediating plant diversity effects on soil microbial communities in an experimental grassland. PLoS ONE 2014, 9, e96182. [Google Scholar] [CrossRef] [PubMed]
- Craig, M.E.; Pearson, S.M.; Fraterrigo, J.M. Grass invasion effects on forest soil carbon depend on landscape-level land use patterns. Ecology 2015, 96, 2265–2279. [Google Scholar] [CrossRef]
- Hu, S.; Li, Y.; Chang, S.X.; Li, Y.; Yang, W.; Fu, W.; Liu, J.; Jiang, P.; Lin, Z. Soil autotrophic and heterotrophic respiration respond differently to land-use change and variations in environmental factors. Agric. For. Meteorol. 2018, 250, 290–298. [Google Scholar] [CrossRef]
- Schlesinger, W.H.; Pilmanis, A.M. Plant-soil interactions in deserts. Biogeochemistry 1998, 42, 169–187. [Google Scholar] [CrossRef]
- Sierra, C.A.; Trumbore, S.E.; Davidson, E.A.; Vicca, S.; Janssens, I. Sensitivity of decomposition rates of soil organic matter with respect to simultaneous changes in temperature and moisture. J. Adv. Model. Earth Syst. 2015, 7, 335–356. [Google Scholar] [CrossRef]
- Fitz Patrick, E. Introducción a la Ciencia de los Suelos; Editorial Trillas: Mexico City, Mexico, 1996; pp. 181–182. [Google Scholar]
- Moore, J.; Klose, S.; Tabatabai, M. Soil microbial biomass carbon and nitrogen as affected by cropping systems. Biol. Fertil. Soils 2000, 31, 200–210. [Google Scholar] [CrossRef]
- Parsons, A.N.; Barrett, J.; Wall, D.H.; Virginia, R.A. Soil carbon dioxide flux in Antarctic dry valley ecosystems. Ecosystems 2004, 7, 286–295. [Google Scholar] [CrossRef]
- Vargas, R.; Sánchez-Cañete, P.E.; Serrano-Ortiz, P.; Curiel Yuste, J.; Domingo, F.; López-Ballesteros, A.; Oyonarte, C. Hot-moments of soil CO2 efflux in a water-limited grassland. Soil Syst. 2018, 2, 47. [Google Scholar] [CrossRef]
- Campuzano, E.F.; Delgado-Balbuena, J.; Flores-Renteria, D. Controlling factors of the ecosystem and soil respiration in a xeric shrubland in the Chihuahuan Desert, Mexico. Terra Latinoam. 2021, 39, e1251. [Google Scholar] [CrossRef]
- Lee, J.; McKnight, J.; Skinner, L.S.; Sherfy, A.; Tyler, D.; English, B. Soil carbon dioxide respiration in switchgrass fields: Assessing annual, seasonal and daily flux patterns. Soil Syst. 2018, 2, 13. [Google Scholar] [CrossRef]
- Jia, X.; Mu, Y.; Zha, T.; Wang, B.; Qin, S.; Tian, Y. Seasonal and interannual variations in ecosystem respiration in relation to temperature, moisture, and productivity in a temperate semi-arid shrubland. Sci. Total Environ. 2020, 709, 136210. [Google Scholar] [CrossRef] [PubMed]
- Wang, B.; Zha, T.S.; Jia, X.; Wu, B.; Zhang, Y.Q.; Qin, S.G. Soil moisture modifies the response of soil respiration to temperature in a desert shrub ecosystem. Biogeosciences 2014, 11, 259–268. [Google Scholar] [CrossRef]
- Oyonarte, C.; Rey, A.; Raimundo, J.; Miralles, I.; Escribano, P. The use of soil respiration as an ecological indicator in arid ecosystems of the SE of Spain: Spatial variability and controlling factors. Ecol. Indic. 2012, 14, 40–49. [Google Scholar] [CrossRef]
- Schjønning, P.; Thomsen, I.K.; Moldrup, P.; Christensen, B.T. Linking soil microbial activity to water-and air-phase contents and diffusivities. Soil Sci. Soc. Am. J. 2003, 67, 156–165. [Google Scholar] [CrossRef]
- Oorts, K.; Merckx, R.; Gréhan, E.; Labreuche, J.; Nicolardot, B. Determinants of annual fluxes of CO2 and N2O in long-term no-tillage and conventional tillage systems in northern France. Soil Tillage Res. 2007, 95, 133–148. [Google Scholar] [CrossRef]
- Campbell, B.; Chen, L.; Dygert, C.; Dick, W. Tillage and crop rotation impacts on greenhouse gas fluxes from soil at two long-term agronomic experimental sites in Ohio. J. Soils Water Conserv. 2014, 69, 543–552. [Google Scholar] [CrossRef]
- Messori, G.; Ruiz-Pérez, G.; Manzoni, S.; Vico, G. Climate drivers of the terrestrial carbon cycle variability in Europe. Environ. Res. Lett. 2019, 14, 063001. [Google Scholar] [CrossRef]
- Talmon, Y.; Sternberg, M.; Gruenzweig, J.M. Impact of rainfall manipulations and biotic controls on soil respiration in Mediterranean and desert ecosystems along an aridity gradient. Glob. Change Biol. 2011, 17, 1108–1118. [Google Scholar] [CrossRef]
- Zhang, Q.; Phillips, R.P.; Manzoni, S.; Scott, R.L.; Oishi, A.C.; Finzi, A.; Daly, E.; Vargas, R.; Novick, K.A. Changes in photosynthesis and soil moisture drive the seasonal soil respiration-temperature hysteresis relationship. Agric. For. Meteorol. 2018, 259, 184–195. [Google Scholar] [CrossRef]
- Yu, Y.; Zhao, C.; Jia, H.; Niu, B.; Sheng, Y.; Shi, F. Effects of nitrogen fertilizer, soil temperature and moisture on the soil-surface CO2 efflux and production in an oasis cotton field in arid northwestern China. Geoderma 2017, 308, 93–103. [Google Scholar] [CrossRef]
- Nan, W.; Yue, S.; Li, S.; Huang, H.; Shen, Y. The factors related to carbon dioxide effluxes and production in the soil profiles of rain-fed maize fields. Agric. Ecosyst. Environ. 2016, 216, 177–187. [Google Scholar] [CrossRef]
- Cable, J.M.; Ogle, K.; Lucas, R.W.; Huxman, T.E.; Loik, M.E.; Smith, S.D.; Tissue, D.T.; Ewers, B.E.; Pendall, E.; Welker, J.M. The temperature responses of soil respiration in deserts: A seven desert synthesis. Biogeochemistry 2011, 103, 71–90. [Google Scholar] [CrossRef]
- Rey, A.; Pegoraro, E.; Oyonarte, C.; Were, A.; Escribano, P.; Raimundo, J. Impact of land degradation on soil respiration in a steppe (Stipa tenacissima L.) semi-arid ecosystem in the SE of Spain. Soil Biol. Biochem. 2011, 43, 393–403. [Google Scholar] [CrossRef]
- Raich, J.W.; Potter, C.S.; Bhagawati, D. Interannual variability in global soil respiration, 1980–1994. Glob. Chang. Biol. 2002, 8, 800–812. [Google Scholar] [CrossRef]
- Bilandžija, D.; Zgorelec, Ž.; Kisić, I. Influence of tillage practices and crop type on soil CO2 emissions. Sustainability 2016, 8, 90. [Google Scholar] [CrossRef]
- Xu, M.; Shang, H. Contribution of soil respiration to the global carbon equation. J. Plant Physiol. 2016, 203, 16–28. [Google Scholar] [CrossRef]
- Melillo, J.M.; Frey, S.D.; DeAngelis, K.M.; Werner, W.J.; Bernard, M.J.; Bowles, F.P.; Pold, G.; Knorr, M.A.; Grandy, A.S. Long-term pattern and magnitude of soil carbon feedback to the climate system in a warming world. Science 2017, 358, 101–105. [Google Scholar] [CrossRef]
- Ogaji, J. Sustainable agriculture in the UK. Environ. Dev. Sustain. 2005, 7, 253–270. [Google Scholar] [CrossRef]
- Liu, X.; Zhang, W.; Zhang, B.; Yang, Q.; Chang, J.; Hou, K. Diurnal variation in soil respiration under different land uses on Taihang Mountain, North China. Atmos. Environ. 2016, 125, 283–292. [Google Scholar] [CrossRef]
- Motavalli, P.P.; Discekici, H.; Kuhn, J. The impact of land clearing and agricultural practices on soil organic C fractions and CO2 efflux in the Northern Guam aquifer. Agric. Ecosyst. Environ. 2000, 79, 17–27. [Google Scholar] [CrossRef]
- Sun, W.; Zhao, X.; Gao, X.; Shi, W.; Ling, Q.; Siddique, K.H. Impacts of land use conversion on the response of soil respiration to precipitation in drylands: A case study with four-yearlong observations. Agric. For. Meteorol. 2021, 304, 108426. [Google Scholar] [CrossRef]
- Fan, L.-C.; Yang, M.-Z.; Han, W.-Y. Soil respiration under different land uses in eastern China. PLoS ONE 2015, 10, e0124198. [Google Scholar] [CrossRef]
- Han, G.; Xing, Q.; Luo, Y.; Rafique, R.; Yu, J.; Mikle, N. Vegetation types alter soil respiration and its temperature sensitivity at the field scale in an estuary wetland. PLoS ONE 2014, 9, e91182. [Google Scholar] [CrossRef]







| Soil Properties | Xeric Shrubland | Agricultural | F | p | g.l. |
|---|---|---|---|---|---|
| Total carbon (%) | 6.96 ± 0.52 a | 5.02 ± 0.38 b | 9.13 | <0.05 | 1 |
| Total nitrogen (%) | 0.25 ± 0.02 a | 0.25 ± 0.03 a | 0.004 | 0.95 | 1 |
| Bulk density (g cm−3) | 1.14 ± 0.02 a | 1.09 ± 0.02 a | 3.05 | 0.08 | 1 |
| Sand (%) | 41.25 ± 3.60 a | 23.56 ± 2.29 b | 17.23 | <0.0001 | 1 |
| Silt (%) | 56.33 ± 3.52 b | 70.47 ± 2.16 a | 11.72 | <0.001 | 1 |
| Clay (%) | 1.54 ± 0.27 b | 5.98 ± 0.38 a | 90.32 | <0.0001 | 1 |
| Soil Properties | Dry Season | Rainy Season | ||
|---|---|---|---|---|
| Xeric Shrubland | Agricultural | Xeric Shrubland | Agricultural | |
| Soil respiration (g CO2 m−2 hr−1) | 0.064 ± 0.003 b | 0.288 ± 0.016 a | 0.196 ± 0.013 b | 0.483 ± 0.022 a |
| Soil organic matter (%) | 3.90 ± 0.13 b | 4.96 ± 0.22 a | 3.36 ± 0.14 b | 4.51 ± 0.22 a |
| Microbial biomass carbon(mg C glucose kg−1) | 36.29 ± 2.23 b | 56.96 ± 2.51 a | 54.80 ± 3.14 b | 83.11 ± 3.07 a |
| pH | 8.14 ± 0.02 a | 7.98 ± 0.03 b | 7.93 ± 0.02 a | 7.67 ± 0.04 b |
| Electric conductivity (ms/cm−1) | 839.05 ± 23.29 b | 1439.58 ± 47.73 a | 509 ± 38.84 b | 811.98 ± 55.25 a |
Disclaimer/Publisher’s Note: The statements, opinions and data contained in all publications are solely those of the individual author(s) and contributor(s) and not of MDPI and/or the editor(s). MDPI and/or the editor(s) disclaim responsibility for any injury to people or property resulting from any ideas, methods, instructions or products referred to in the content. |
© 2023 by the authors. Licensee MDPI, Basel, Switzerland. This article is an open access article distributed under the terms and conditions of the Creative Commons Attribution (CC BY) license (https://creativecommons.org/licenses/by/4.0/).
Share and Cite
Guillen-Cruz, G.; Campuzano, E.F.; Juárez-Altamirano, R.; López-García, K.L.; Torres-Arreola, R.; Flores-Rentería, D. Interannual Variation and Control Factors of Soil Respiration in Xeric Shrubland and Agricultural Sites from the Chihuahuan Desert, Mexico. Land 2023, 12, 1961. https://doi.org/10.3390/land12111961
Guillen-Cruz G, Campuzano EF, Juárez-Altamirano R, López-García KL, Torres-Arreola R, Flores-Rentería D. Interannual Variation and Control Factors of Soil Respiration in Xeric Shrubland and Agricultural Sites from the Chihuahuan Desert, Mexico. Land. 2023; 12(11):1961. https://doi.org/10.3390/land12111961
Chicago/Turabian StyleGuillen-Cruz, Gabriela, Emmanuel F. Campuzano, René Juárez-Altamirano, Karla Liliana López-García, Roberto Torres-Arreola, and Dulce Flores-Rentería. 2023. "Interannual Variation and Control Factors of Soil Respiration in Xeric Shrubland and Agricultural Sites from the Chihuahuan Desert, Mexico" Land 12, no. 11: 1961. https://doi.org/10.3390/land12111961
APA StyleGuillen-Cruz, G., Campuzano, E. F., Juárez-Altamirano, R., López-García, K. L., Torres-Arreola, R., & Flores-Rentería, D. (2023). Interannual Variation and Control Factors of Soil Respiration in Xeric Shrubland and Agricultural Sites from the Chihuahuan Desert, Mexico. Land, 12(11), 1961. https://doi.org/10.3390/land12111961

