Endogenous Land Supply Policy, Economic Fluctuations and Social Welfare Analysis in China
Abstract
:1. Introduction
2. The Model
2.1. The Representative Household
2.2. The Representative Goods Firm
2.3. The Representative Housing Firm
2.4. The Local Government
2.5. Market Clearing Conditions and Equilibrium
3. Calibration and Estimation
3.1. Parameter Values and Steady-States
3.2. Estimating Shocks
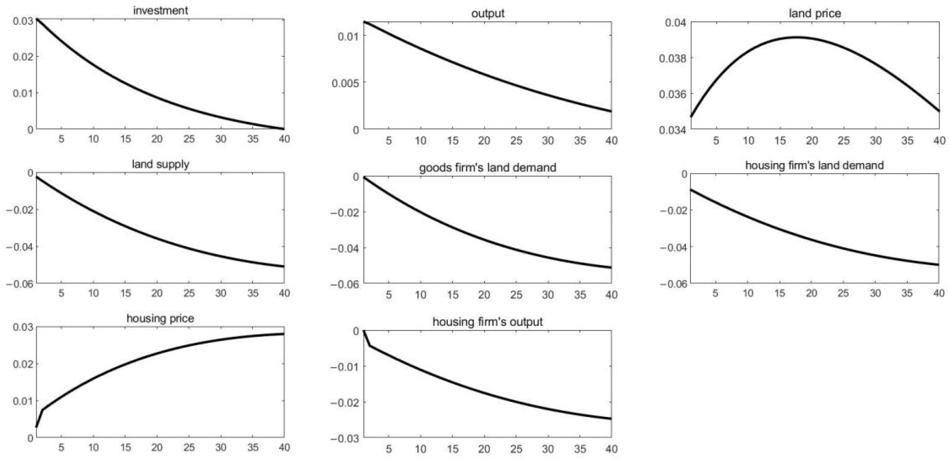
3.3. Impulse Responses
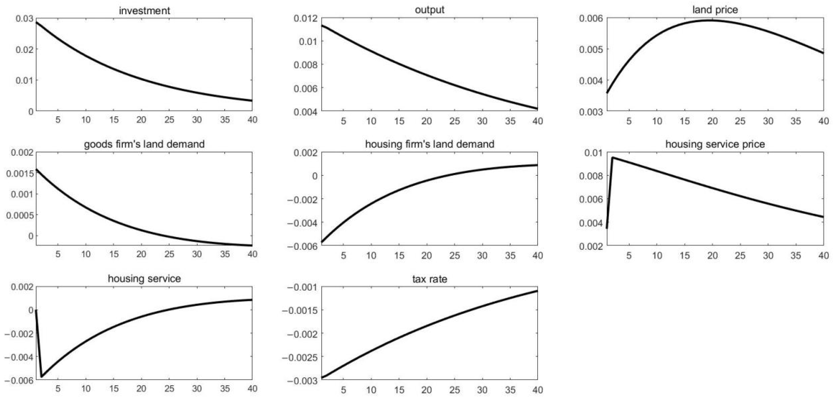
4. Counterfactual Exercises
4.1. Case One: Endogenous Land Supply and
4.2. Case Two: Fixed Land Supply and
4.3. Case Three: Fixed Land Supply and
4.4. Welfare Analysis: The Optimal Land Supply Policy
4.5. Robustness Check: Social Planning Problem
4.6. Discussion
5. Conclusions and Policy Implications
5.1. Conclusions
5.2. Policy Implications
Funding
Data Availability Statement
Conflicts of Interest
Appendix A. Social Planner Problem
| 1 | An example is [2]. Motivated by the observation that land prices have strong positive correlation with business investment, they propose a model in which firms in the economy face borrowing constraints and use land as loan collateral. As a result, whenever land prices rise (fall) in the economy, firms’ borrowing constraints become looser (tighter), which lead to increase (decrease) in business investment. |
| 2 | Throughout this paper, land supply refers to the amount of land—measured by areas—that has been sold in the land market. |
| 3 | In fact, many believe the spending program was substantially larger than four trillion RMB as its name would suggest. A more recognized figure puts the program to be in excess of ten trillion RMB. |
| 4 | The data of hours worked are not available in China, so I choose numbers of employees to measure labor input. |
| 5 |
References
- Davis, M.A.; Heathcote, J. The Price and Quantity of Residential Land in the United States. J. Monet. Econ. 2007, 54, 2595–2620. [Google Scholar] [CrossRef]
- Liu, Z.; Wang, P.; Zha, T. Land-Price Dynamics and Macroeconomic Fluctuation. Econometrica 2013, 81, 1147–1184. [Google Scholar]
- Kwon, E. Monetary Policy, Land Prices, and Collateral Effects on Economic Fluctuations: Evidence from Japan. J. Jpn. Int. Econ. 1998, 12, 175–203. [Google Scholar] [CrossRef]
- Saiz, A. The Geographic Determinants of Housing Supply. Q. J. Econ. 2010, 125, 1253–1296. [Google Scholar] [CrossRef]
- Miao, J.; Wang, P.; Zhou, J. Housing Bubbles and Policy Analysis; Working Paper; Boston University: Boston, MA, USA, 2014. [Google Scholar]
- Liu, Z.; Miao, J.; Zha, T. Land Prices and Unemployment. J. Monet. Econ. 2016, 80, 86–105. [Google Scholar] [CrossRef]
- Du, X.; Huang, Z. How Does The G20 Summit Affect Land Market? Evidence from China. Int. J. Strateg. Prop. Manag. 2021, 25, 432–445. [Google Scholar] [CrossRef]
- Kiyotaki, N.; Moore, J. Credit Cycles. J. Political Econ. 1997, 105, 211–248. [Google Scholar] [CrossRef]
- Gan, J. Collateral, Debt Capacity, and Corporate Investment: Evidence from a Natural Experiment. J. Financ. Econ. 2007, 85, 709–734. [Google Scholar] [CrossRef]
- Mo, J. Land Financing and Economic Growth: Evidence from Chinese Counties. China Econ. Rev. 2018, 50, 218–239. [Google Scholar] [CrossRef]
- Chen, C.; Restuccia, D.; Santaeulàlia-Llopis, R. The Effects of Land Markets on Resource Allocation and Agricultural Productivity; NBER Working Paper 24034; National Bureau of Economic Research: Cambridge, MA, USA, 2021.
- Li, L.; Bao, X.H.; Robinson, G.M. The Return of State Control and Its Impact on Land Market Efficiency in Urban China. Land Use Policy 2020, 99, 104878. [Google Scholar] [CrossRef]
- Greenwood, J.; Hercowitz, Z.; Krusell, P. Long-Run Implications of Investment-Specifific Technological Change. Am. Econ. Rev. 1997, 87, 342–362. [Google Scholar]
- Christiano, L.; Eichenbaum, M.; Evans, C. Nominal Rigidities and the Dynamics Effects of a Shock to Monetary Policy. J. Political Econ. 2005, 113, 1–45. [Google Scholar] [CrossRef] [Green Version]
- Campbell, J.R.; Hercowitz, Z. The Role of Collateralized Household Debt in Macroeconomic Stabilization; NBER Working Paper Series, No. 11330; National Bureau of Economic Research: Cambridge, MA, USA, 2006.
- Taylor, J.B. Housing and Monetary Policy; NBER Working Paper Series, No. 13682; National Bureau of Economic Research: Cambridge, MA, USA, 2007.
- He, C.; Wright, R.; Zhu, Y. Housing and Liquidity. Rev. Econ. Dyn. 2014, 18, 435–455. [Google Scholar] [CrossRef]
- Chaney, T.; Sraer, D.; Thesmar, D. The Collateral Channel: How Real Estate Shocks Affect Corporate Investment. Am. Econ. Rev. 2012, 102, 2381–2409. [Google Scholar] [CrossRef]
- Case, K.E. Real Estate and the Macroeconomy. Brook. Pap. Econ. Act. 2000, 31, 119–162. [Google Scholar] [CrossRef]
- Glaeser, E.L.; Gyourko, J.; Saks, R. Why Have Housing Prices Gone Up? Am. Econ. Rev. Pap. Proc. 2005, 95, 329–333. [Google Scholar] [CrossRef]
- Lustig, H.; Nieuwerburgh, S.V. Housing Collateral, Consumption Insurance and Risk Premia: An Empirical Perspective. J. Financ. 2005, 60, 1167–1219. [Google Scholar] [CrossRef]
- Sinai, T.; Souleles, N.S. Owner-Occupied Housing as a Hedge Against Rent Risk. Q. J. Econ. 2005, 120, 763–789. [Google Scholar]
- Ortalo-Magnè, F.; Rady, S. Housing Market Dynamics: On the Contribution of Income Shocks and Credit Constraints. Rev. Econ. Stud. 2006, 73, 459–485. [Google Scholar] [CrossRef]
- Iacoviello, M. House Prices, Borrowing Constraints, and Monetary Policy in the Business Cycle. Rev. Econ. Dyn. 2005, 95, 739–764. [Google Scholar] [CrossRef]
- Iacoviello, M.; Neri, S. Housing Market Spillovers: Evidence from an Estimated DSGE Model. Am. Econ. J. Macroecon. 2010, 2, 125–164. [Google Scholar] [CrossRef]
- McCarthy, J.; Steindel, C. Housing Activity and Consumer Spending. Bus. Econ. 2007, 42, 6–21. [Google Scholar] [CrossRef]
- Campbell, J.; Cocco, J. How Do House Prices Affect Consumption? Evidence from Micro Data. J. Monet. Econ. 2007, 54, 591–621. [Google Scholar] [CrossRef] [Green Version]
- Campbell, S.D.; Davis, M.A.; Gallin, J.; Martin, R.F. What Moves Housing Markets? A Variance Decomposition of the Rent-Price Ratio. J. Urban Econ. 2009, 66, 90–102. [Google Scholar] [CrossRef]
- Kahn, J.A. What Drives Housing Prices? Fed. Reserve Bank N. Y. Staff Rep. 2008, 626, 1–42. [Google Scholar] [CrossRef]
- Wu, J.; Gyourko, J.; Deng, Y. Is There Evidence of a Real Estate Collateral Channel Effect on Listed Firm Investment in China? NBER Working Paper Series, No. 18762; National Bureau of Economic Research: Cambridge, MA, USA, 2013.
- Fang, H.; Gu, Q.; Xiong, W.; Zhou, L. Demystifying the Chinese Housing Boom; NBER Working Paper 21112; National Bureau of Economic Research: Cambridge, MA, USA, 2015.
- An, G.; Becker, C.; Chen, E. Housing Price Appreciation and Economic Integration in A Transition Economy: Evidence from Kazakhstan. J. Hous. Econ. 2021, 52, 101765. [Google Scholar] [CrossRef]
- Chapelle, G.; Wasmer, E.; Bono, P.H. An Urban Lbor Market with Frictional Housing Markets: Theory and An Application to The Paris Urban Area. J. Econ. Geogr. 2021, 21, 97–126. [Google Scholar] [CrossRef]
- Maynou, L.; Monfort, M.; Morley, B.; Ordóez, J. Club Convergence in European Housing Prices: The Role of Macroeconomic and Housing Market Fundamentals. Econ. Model. 2021, 103, 105595. [Google Scholar] [CrossRef]
- Shabrina, Z.; Arcaute, E.; Batty, M. Airbnb and Its Potential Impact on The London Housing Market. Urban Stud. 2022, 59, 197–221. [Google Scholar] [CrossRef]
- Aoki, K.; Proudman, J.; Vlieghe, G.W. House Prices, Consumption, and Monetary Policy: A Financial Accelerator Approach. J. Financ. Intermediation 2004, 13, 414–435. [Google Scholar] [CrossRef]
- Piazzesi, M.; Schneider, M.; Tuzel, S. Housing, Consumption, and Asset Pricing. J. Financ. Econ. 2007, 83, 531–569. [Google Scholar] [CrossRef]
- Favilukis, J.; Ludvigson, S.; Nieuwerburgh, S. The Macroeconomic Effects of Housing Wealth, Housing Finance, and Limited Risk-Sharing in General Equilibrium. J. Political Econ. 2017, 125, 140–223. [Google Scholar] [CrossRef]
- Franjo, L. International Interest Rates, The Current Account and Housing Markets. Econ. Model. 2018, 75, 268–280. [Google Scholar] [CrossRef]
- Li, S.; Suardi, S.; Wee, B. Bank Lending Behavior and Housing Market Booms: The Australian Evidence. Int. Rev. Econ. Financ. 2022, 819, 184–204. [Google Scholar] [CrossRef]
- Iacoviello, M. Financial Business Cycles. Rev. Econ. Dyn. 2015, 18, 140–163. [Google Scholar] [CrossRef]
- Brandt, L.; Hsieh, C.T.; Zhu, X. Growth and Structural Transformation in China. In China’s Great Economic Transformation; Brandt, L., Rawski, T.G., Eds.; Cambridge University Press: Cambridge, UK, 2008. [Google Scholar]
- Miao, J.; Wang, P.; Xu, Z. A Bayesian Dynamic Stochastic General Equilibrium Model of Stock Market Bubbles and Business Cycles. Quant. Econ. 2015, 6, 599–635. [Google Scholar] [CrossRef]
- Chang, C.; Liu, Z.; Spiegel, M.M. Capital Controls and Optimal Chinese Monetary Policy. J. Monet. Econ. 2015, 74, 1–15. [Google Scholar] [CrossRef]
- Basu, S. Intermediate Goods and Business Cycles: Implications for Productivity and Welfare. Am. Econ. Rev. 1995, 85, 512–531. [Google Scholar]
- Sims, C.A.; Zha, T. Bayesian Methods for Dynamic Multivariate Models. Int. Econ. Rev. 1998, 39, 949–968. [Google Scholar] [CrossRef]
- Miao, J.; Wang, P.; Zha, T. Liquidity Premia, Price-Rent Dynamics and Business Cycles; Working Paper; Boston University: Boston, MA, USA, 2014. [Google Scholar]
- Li, X.; Hui, C.M.; Shen, J. The Consequences of Chinese Outward Real Estate Investment: Evidence from Hong Kong Land Market. Habitat Int. 2020, 98, 102151. [Google Scholar] [CrossRef]
- Arestis, P.; Zhang, S. Are There Irrational Bubbles under The High Residential Housing Prices in China’s Major Cities? Panoeconomicus 2020, 67, 1–26. [Google Scholar] [CrossRef]
- Chen, C.; Chiang, S. Time-varying Spillovers Among First-tier Housing Markets in China. Urban Stud. 2020, 57, 844–864. [Google Scholar] [CrossRef]








| 2003–2008 | 2009–2014 | 2003–2008 | 2009–2014 | ||
|---|---|---|---|---|---|
| Beijing | −0.4321 | 0.5522 | Jiangxi | 0.1731 | 0.5250 |
| Tianjin | −0.2829 | 0.6659 | Shandong | −0.7226 | 0.1137 |
| Hebei | −0.1272 | −0.2077 | Henan | 0.4657 | −0.1378 |
| Shanxi | 0.2162 | 0.6513 | Hubei | −0.7393 | −0.0436 |
| Inner Mongolia | 0.2836 | −0.0876 | Hunan | −0.4645 | 0.2663 |
| Liaoning | −0.7199 | 0.7771 | Guangdong | 0.2943 | −0.3180 |
| Jilin | −0.6314 | −0.2737 | Guangxi | 0.2298 | 0.2986 |
| Hei Longjiang | −0.0069 | 0.4189 | Hainan | −0.6647 | 0.5253 |
| Shanghai | −0.7387 | 0.4606 | Chongqing | −0.7877 | 0.4152 |
| Jiangsu | −0.5729 | 0.0001 | Sichuan | −0.7075 | −0.1250 |
| Zhejiang | −0.9580 | 0.4560 | Guizhou | −0.6106 | 0.6813 |
| Anhui | −0.7664 | 0.1615 | Xizang | 0.0474 | −0.2823 |
| Fujian | 0.5804 | 0.3544 | Yunnan | 0.1602 | 0.0272 |
| Shanxi | −0.3756 | 0.0315 | Gansu | −0.0906 | 0.2487 |
| Qinghai | −0.0262 | 0.2477 | Ningxia | −0.2555 | −0.1926 |
| Xinjiang | −0.1922 | 0.5383 |
| Std. Dev. | Mean | Min | Max | |
|---|---|---|---|---|
| U.S. (residential) | 0.14 | 0.44 | 0.25 | 0.65 |
| China (residential) | 22.87 | 4.61 | −26.39 | 41.36 |
| China (aggregate) | 24.80 | 8.06 | −31.52 | 54.43 |
| 2003 | 2004 | 2005 | 2006 | 2007 | 2008 | 2009 |
|---|---|---|---|---|---|---|
| 57.93 | 54.30 | 39.35 | 44.30 | 51.96 | 36.35 | 53.02 |
| 2010 | 2011 | 2012 | 2013 | 2014 | 2015 | |
| 67.74 | 61.23 | 45.93 | 63.53 | 45.31 | 37.63 |
| Parameter | Description | Value |
|---|---|---|
| Share of capital and land in firm’s production | 0.5 | |
| Subjective discounting factor | 0.99 | |
| Inverse Frisch elasticity | 2 | |
| Share of land in housing sector’s production | 0.5 | |
| Share of land relative to capital in firm’s production | 0.0697 | |
| Steady state of tax rate of local government | 0.0760 | |
| Steady state of depreciation rate | 0.0250 | |
| Steady state of consumption-output ratio | 0.3795 | |
| Steady state of local government spending-output ratio (before 2008) | 0.1369 | |
| Steady state of local government spending-output ratio (after 2008) | 0.1906 | |
| Steady state of land sales-output ratio | 0.0943 | |
| Steady state of residential land-total land supply ratio | 0.2168 |
| Parameter | Distribution | Prior | Std. Dev. | Posterior | 90% Probability Interval |
|---|---|---|---|---|---|
| Beta | 0.5000 | 0.2000 | 0.9129 | [0.8554, 0.9719] | |
| Beta | 0.5000 | 0.2000 | 0.4107 | [0.2254, 0.6034] | |
| Beta | 0.5000 | 0.2000 | 0.9109 | [0.8369, 0.9944] | |
| Beta | 0.5000 | 0.2000 | 0.7798 | [0.6896, 0.8844] | |
| InvGamma | 0.0100 | Inf | 0.0079 | [0.0061, 0.0100] | |
| InvGamma | 0.0100 | Inf | 0.0829 | [0.0693, 0.0986] | |
| InvGamma | 0.0100 | Inf | 0.0107 | [0.0092, 0.0126] | |
| InvGamma | 0.0100 | Inf | 0.0092 | [0.0079, 0.0107] |
| Std. Dev. | |||
|---|---|---|---|
| China’s data | 1.7116 | - | |
| 1 | baseline model | 1.7767 | - |
| 2 | Endogenous land supply, no intermediate goods | 4.8483 | 36.65% |
| 3 | Exogenous land supply, with intermediate goods | 5.3428 | 33.25% |
| 4 | Exogenous land supply, no intermediate goods | 5.3489 | 33.21% |
| Dates | Major Structural Changes | The Condition of China | Document Effect |
|---|---|---|---|
| 2003 | Document from State Council NO.18 [2003] | Overheated investment in real estate | Tighten land supply and make housing market and economy less pronounced |
| 2004 | Document from State Council NO.28 [2004] | Overheated investment in real estate | |
| 2005 | Document from State Council NO.26 [2005] | Rapid decline in the real estate market growth | Increase land supply and simulate real estate investment |
| 2008 | “The four-trillion” plan | Financial crisis | Land supply kept relatively loose to simulate economy |
| 2010 | Document from State Council NO.04 [2010] | Two years after financial crisis |
Publisher’s Note: MDPI stays neutral with regard to jurisdictional claims in published maps and institutional affiliations. |
© 2022 by the author. Licensee MDPI, Basel, Switzerland. This article is an open access article distributed under the terms and conditions of the Creative Commons Attribution (CC BY) license (https://creativecommons.org/licenses/by/4.0/).
Share and Cite
He, Y. Endogenous Land Supply Policy, Economic Fluctuations and Social Welfare Analysis in China. Land 2022, 11, 1542. https://doi.org/10.3390/land11091542
He Y. Endogenous Land Supply Policy, Economic Fluctuations and Social Welfare Analysis in China. Land. 2022; 11(9):1542. https://doi.org/10.3390/land11091542
Chicago/Turabian StyleHe, Yiyao. 2022. "Endogenous Land Supply Policy, Economic Fluctuations and Social Welfare Analysis in China" Land 11, no. 9: 1542. https://doi.org/10.3390/land11091542
APA StyleHe, Y. (2022). Endogenous Land Supply Policy, Economic Fluctuations and Social Welfare Analysis in China. Land, 11(9), 1542. https://doi.org/10.3390/land11091542

