Analysis of the Difference in Changes to Farmers’ Livelihood Capital under Different Land Transfer Modes—A Case Study of Manas County, Xinjiang, China
Abstract
:1. Introduction
2. Materials and Methods
2.1. Study Area Overview
2.2. Data Source and Sample Characteristics
2.3. Research Methodology
2.3.1. Division of Farmers and Land Transfer Mode
2.3.2. Quantitative Model of Livelihood Capital
2.3.3. Difference-in-Differences Model
3. Results and Analysis
3.1. Analysis of Changes in Livelihood Capital of Different Types of Farmers
3.1.1. Description of Differences in Livelihood Capital of Different Types of Farmers
3.1.2. Analysis of the Direction of Change in Livelihood Capital of Different Types of Farmers
3.2. Analysis of Changes in Farmers’ Livelihood Capital under Different Land Transfer Modes
3.2.1. Descriptive Analysis of the Impact of Different Land Transfer Modes on Farmers’ Livelihood Capital
3.2.2. Econometric Analysis of the Impact of Different Transfer Modes on the Livelihood Capital of Farmers
3.2.3. Robustness Test
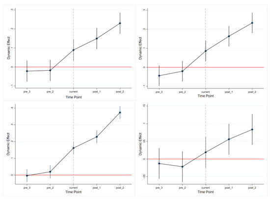
Parallel Trend Test
Non-Observed Factor Effects
4. Discussion
5. Conclusions
- (1)
- Land transfer had a favorable and clear effect on farmers’ capital for livelihood. The effect of land transfer on farmers’ ability to maintain their way of life was higher when more agricultural operations are engaged. Following land transfers, all types of farmers, from big to small, experienced a transition in their capital of livelihood; purely agricultural farmers > agricultural part-time farmers > non-agricultural part-time farmers > non-agricultural farmers.
- (2)
- Distinct categories of farmers experienced different changes in their means of subsistence as a result of land transfers. Production capital and natural capital of purely agricultural farmers rose greatly, whereas social capital and natural capital of part-time farmers fell or increased significantly. Non-agricultural farmers’ capital of all types did not change greatly.
- (3)
- The capital that supports farmers’ livelihoods was found to be affected differently by various land transfer methods. Following land transfer, communal management is more effective than family management, and individual management is more effective than small-scale farming. When comparing the land stock cooperation mode with rural cooperatives as the main body, against the land leaseback and re-contract mode with “village collective + planting leading firm” as the primary management body, the improvement of farmers’ livelihood capital was more evident. As a result, the modes of land leaseback and re-contract were found to enhance effectively the method of land transfer for farmers’ livelihood capital.
- (1)
- It is advised that the government strengthen the framework for securing land transfers, and increase farmers’ job opportunities. Making it possible for farmers to receive greater advantages from land transfer would encourage more farmers to participate in land transfer. In order to boost farmers’ farming ability, we should provide the transferred farmers with suitable subsidies, strengthen rural infrastructure, and undertake unified land management training. Meanwhile, for farmers who have been relocated, we should improve social security, offer assistance and job possibilities, and promote the migration of labor to secondary and tertiary industries.
- (2)
- The government should actively encourage land scale transfer and management while nurturing new commercial entities. We should actively promote the circulation of the entire village, encourage collective management, maximize the allocation of collective land resources, cultivate the development of rural cooperatives, position large farmers, establish leading businesses, form other teams, increase scientific and technological training, establish an industry chain for the production, processing, and sale of agricultural products, and actively advance the construction of “village colliders”.
Author Contributions
Funding
Institutional Review Board Statement
Informed Consent Statement
Data Availability Statement
Conflicts of Interest
References
- Li, C.; Jiao, Y.; Sun, T.; Liu, A. Alleviating multi-dimensional poverty through land transfer: Evidence from poverty-stricken villages in China. China Econ. Rev. 2021, 69, 101670. [Google Scholar] [CrossRef]
- Liu, Z.; Rommel, J.; Feng, S.; Hanisch, M. Can land transfer through land cooperatives foster off-farm employment in China? China Econ. Rev. 2017, 45, 35–44. [Google Scholar] [CrossRef]
- Donghui, P.; Jingrong, L.; Krishna, P.; Yunsheng, M. Land transfer and food crop planting decisions in China. Appl. Econ. Lett. 2021, 28, 1777–1783. [Google Scholar] [CrossRef]
- Karita, K. Creating land markets for rural revitalization: Land transfer, property rights and gentrification in China. J. Rural. Stud. 2020, 81, 68–77. [Google Scholar] [CrossRef]
- Chao, Z.; Yunjuan, L.; Anthony, F. Tracing Agricultural Land Transfer in China: Some Legal and Policy Issues. Land 2021, 10, 58. [Google Scholar] [CrossRef]
- Qiu, T.; Luo, B.; Li, S.; He, Q. Does the basic farmland preservation hinder land transfers in rural China? China Agric. Econ. Rev. 2020, 12, 39–56. [Google Scholar] [CrossRef]
- Li, H.; Zhang, X.; Li, H. Has farmer welfare improved after rural residential land circulation? J. Rural. Stud. 2019, 93, 479–486. [Google Scholar] [CrossRef]
- Wang, J.; Xin, L.; Wang, Y. How farmers’ non-agricultural employment affects rural land circulation in China? J. Geogr. Sci. 2020, 30, 378–400. [Google Scholar] [CrossRef]
- Wineman, A.; Liverpool-Tasie, L.S. Land markets and the distribution of land in northwestern Tanzania. Land Use Policy 2017, 69, 550–563. [Google Scholar] [CrossRef]
- Xu, D.; Yong, Z.; Deng, X.; Zhuang, L.; Qing, C. Rural-Urban Migration and its Effect on Land Transfer in Rural China. Land 2020, 9, 81. [Google Scholar] [CrossRef] [Green Version]
- Loka, A.; Danielle, D.; Fiona, W. Property rights and rural justice: A study of U.S. right-to-farm laws. J. Rural. Stud. 2019, 67, 120–129. [Google Scholar] [CrossRef]
- Leonhardt, H.; Braito, M.; Penker, M. Why do farmers care about rented land? Investigating the context of farmland tenure. J. Soil Water Conserv. 2021, 76, 89–102. [Google Scholar] [CrossRef]
- Kibrom, A.; Jordan, C.; Guush, B. Are land rental markets responding to rising population pressures and land scarcity in sub-Saharan Africa. Land Use Policy 2020, 101, 105139. [Google Scholar] [CrossRef]
- Dongliang, Z. Farmers Are Growing Further and Further from the Land: Land Transfer and the Practice of Three Rights Separation in China. Soc. Sci. China 2021, 42, 24–43. [Google Scholar] [CrossRef]
- Shengbin, O.; Ligen, C. Study on the performance of rural collective land transfer system*—Comparative Analysis of typical cases based on Anhui and Guangxi. Rural. Econ. 2014, 2014, 31–34. [Google Scholar]
- Fei, M.; Xiangzhi, K. Government support and model innovation of rural land transfer -- experience and Enlightenment from Jiangjin District, Chongqing. J. Southwest Univ. (Soc. Sci. Ed.) 2011, 37, 126–131. [Google Scholar] [CrossRef]
- Han, Z.; Yanmin, S. Study on rural land circulation model in Underdeveloped Areas. Econ. Rev. J. 2015, 3, 98–102. [Google Scholar] [CrossRef]
- Cai, J.; Wang, T.; Xia, X.; Chen, Y.; Lv, H.; Li, N. Analysis on the Choice of Livelihood Strategy for Peasant Households Renting out Farmland: Evidence from Western Poverty-Stricken Areas in China. Sustainability 2019, 11, 1424. [Google Scholar] [CrossRef] [Green Version]
- Uddin, M.E.; Pervez, A.K.M.K.; Qijie, G. Effect of voluntary cooperativisation on livelihood capital of smallholder dairy farmers in the southwest of Bangladesh. Geo J. 2020, 87, 111–130. [Google Scholar] [CrossRef]
- Manlosa Aisa, O.; Hanspach, J.; Schultner, J.; Dorresteijn, I.; Fischer, J. Livelihood strategies, capital assets, and food security in rural Southwest Ethiopia. Food Secur. 2019, 11, 167–181. [Google Scholar] [CrossRef] [Green Version]
- Chowdhury, T.A. Applying and extending the sustainable livelihoods approach: Identifying the livelihood capitals and well-being achievements of indigenous people in Bangladesh. J. Soc. Econ. Dev. 2021, 23, 302–320. [Google Scholar] [CrossRef]
- He, Y.; Ahmed, T. Farmers’ Livelihood Capital and Its Impact on Sustainable Livelihood Strategies: Evidence from the Poverty-Stricken Areas of Southwest China. Sustainability 2022, 14, 4955. [Google Scholar] [CrossRef]
- Zhang, C.; Chen, D. Fragmentation Reduction through Farmer-Led Land Transfer and Consolidation? Experiences of Rice Farmers in Wuhan Metropolitan Area, China. Agriculture 2021, 11, 631. [Google Scholar] [CrossRef]
- Ann, G.; Camilla, E. Retired Farmers and New Land Users: How Relations to Land and People Influence Farmers’ Land Transfer Decisions. Sociol. Rural. 2018, 58, 707–725. [Google Scholar] [CrossRef]
- Yahui, W.; Xiubin, L.; Liangjie, X.; Minghong, T.; Min, J. Spatiotemporal changes in Chinese land circulation between 2003 and 2013. J. Geogr. Sci. 2018, 28, 707–724. [Google Scholar] [CrossRef] [Green Version]
- Ole, M.; Charlotte Filt, M. Land Sparing and Land Sharing Policies in Developing Countries–Drivers and Linkages to Scientific Debates. World Dev. 2017, 98, 523–535. [Google Scholar] [CrossRef]
- van Keulen, H.; Kuyvenhoven, A.; Ruben, R. Sustainable land use and food security in developing countries: DLV’s approach to policy support. Agric. Syst. 1998, 58, 285–307. [Google Scholar] [CrossRef]
- Kang, M.; Yuxiu, Z.; Mengying, R.; Jing, G.; Tuanyao, C. Land Subsidence in a Coal Mining Area Reduced Soil Fertility and Led to Soil Degradation in Arid and Semi-Arid Regions. Int. J. Environ. Res. Public Health 2019, 16, 3929. [Google Scholar] [CrossRef] [Green Version]
- Dingde, X.; Sha, C.; Xi, W.X.; Quan, L.S. Influences of labor migration on rural household land transfer: A case study of Sichuan Province, China Science. J. Mt. 2018, 15, 2055–2067. [Google Scholar] [CrossRef]
- Yi, S.; Junxiao, Y.; Yan, W. The empirical study on influencing factors of farmers’scale oper ation performance based on investigation of farmers’agricultural land transfer. Chin. J. Agric. Resour. Reg. Plan. 2014, 35, 26–33. [Google Scholar] [CrossRef]
- Yan, W.; Xiaojun, Y. Empirical research on influencing factors of farmer’s farmland transfer behav- ior in Manas county, Xinjiang. J. Arid. Land Resour. Environ. 2013, 27, 7–13. [Google Scholar] [CrossRef]
- Yan, W.; Xiaoping, S.; Xiaojun, Y. The analysis of influencing factors about farmers’ farmland transfer behavior in Arid Areas of Xinjiang: Based on structural equation model and the empirical research of farmers in Manas. Wuhan Univ. Technol. (Soc. Sci. Ed.) 2015, 28, 635–642. [Google Scholar] [CrossRef]
- Liu, Z.; Chen, Q.; Xie, H. Influence of the Farmer’s Livelihood Assets on Livelihood Strategies in the Western Mountainous Area, China. Sustainability 2018, 10, 875. [Google Scholar] [CrossRef] [Green Version]
- Huanxin, Y.; Kai, H.; Xin, D.; Dingde, X. Livelihood Capital and Land Transfer of Different Types of Farmers: Evidence from Panel Data in Sichuan Province, China. Land 2021, 10, 532. [Google Scholar] [CrossRef]
- Gao, W.; Han, R. Xin Jiang Statistical Yearbook; Han, R., Ed.; China Statistical Press: Beijing, China, 2021; pp. 4–5. ISBN 978-7-5037-9541-1. [Google Scholar]
- Gao, W.; Han, R. Xin Jiang Statistical Yearbook; Han, R., Ed.; China Statistics Press: Beijing, China, 2020; pp. 4–5. ISBN 978-7-5037-8903-8. [Google Scholar]
- Temu, A.E.; Due, J.M. Participatory appraisal approaches versus sample survey data collection: A case of smallholder farmers well-being ranking in Njombe District, Tanzania. J. Afr. Econ. 2000, 9, 44–62. [Google Scholar] [CrossRef]
- Jian, Z.; Peixin, C. The effect of different farmland transfer patterns on household agricultural productivity based on surveys of four counties in Jiangsu Province. Resour. Sci. 2017, 39, 629–640. [Google Scholar] [CrossRef]
- Weiming, T.; Kevin, L.; Pingyu, Z. Land Consolidation in Rural China: Life Satisfaction among Resettlers and Its Determinants. Land 2020, 9, 118. [Google Scholar] [CrossRef] [Green Version]
- Xueqi, W.; Wei, Z.; Gaoli, Z.; Tieyi, C. The impact of local government-dominated farmland transfer on farmer’s transfer scale and grain yield in five cities in Jiangsu. Resour. Sci. 2018, 40, 326–334. [Google Scholar] [CrossRef] [Green Version]
- Huiqin, L.; Peter, N.; Xuelian, X.; Jingjing, L. A New Livelihood Sustainability Index for Rural Revitalization Assessment—A Modelling Study on Smart Tourism Specialization in China. Sustainability 2020, 12, 3148. [Google Scholar] [CrossRef] [Green Version]
- Shichao, Z.; Dongsheng, Z.; Jiajia, J. Integrated features and benefits of livelihood capital of farmers after land transfer based on livelihood transformation. Trans. Chin. Soc. Agric. Eng. 2018, 34, 274–281. [Google Scholar] [CrossRef]
- Liu, Z.; Chen, Q.; Xie, H. Comprehensive Evaluation of Farm Household Livelihood Assets in a Western Mountainous Area of China: A Case Study in Zunyi City. J. Resour. Ecol. 2018, 9, 154–163. [Google Scholar] [CrossRef]
- Lyu, X.; Peng, W.; Niu, S.; Qu, Y.; Xin, Z. Evaluation of sustainable intensification of cultivated land use according to farming households’ livelihood types. Ecol. Indic. 2022, 138, 108848. [Google Scholar] [CrossRef]
- Patrick, A.P. The treatment effect, the cross difference, and the interaction term in nonlinear “difference-in-differences” models. Econ. Lett. 2012, 115, 85–87. [Google Scholar] [CrossRef] [Green Version]
- Andrew, M.R.; Evangelos, K.; Ariel, L.; James, F.B. Now trending: Coping with non-parallel trends in difference-in-differences analysis. Stat. Methods Med. Res. 2019, 28, 3697–3711. [Google Scholar] [CrossRef]
- Ahlfeldt Gabriel, M. Weights to Address Non-parallel Trends in Panel Difference-in-differences Models. CESifo Econ. Stud. 2018, 64, 216–240. [Google Scholar] [CrossRef]
- Jiang, X.; Lu, X.; Liu, Q.; Chang, C.; Qu, L. The effects of land transfer marketization on the urban land use efficiency: An empirical study based on 285 cities in China. Ecol. Indic. 2021, 132, 108296. [Google Scholar] [CrossRef]
- Shiman, W.; Yanmei, Y.; Chaozheng, Z.; Ye, S.; Gaohui, W. Effects of Property Rights Adjustment in Rural Land Consolidation on Farmers’ Livelihood Capital Under the Sustainable Livelihood Framework. China Land Sci. 2019, 33, 79–88. [Google Scholar] [CrossRef]
- Li, R.; Miao, Z.; Yinrong, C. The Relationship between Livelihood Capital, Multi-functional Value Perception of Cultivated Land and Farmers’ Willingness to Land Transfer: A Regional Observations in the Period of Poverty Alleviation and Rural Revitalization. China Land Sci. 2022, 36, 56–65. [Google Scholar] [CrossRef]
- Shanhui, S.; Wei, L. Performance Evaluation and Sensitivity Analysis of Rural Land Circulation Mode. Complexity 2021, 2021, 6615306. [Google Scholar] [CrossRef]
- Chaozheng, Z.; Gangjiao, Y. Change of Farmers’ Livelihood Capital before and after Rural Land Consolidation in Different Modes. China Land Sci. 2018, 32, 90–96. [Google Scholar] [CrossRef]
- Wenxiong, W.; Xin, Z.; Lihong, Y.; Gangjiao, Y. Comparative Study on Land Use Efficiency before and after Rural Land Consolidation in Different Modes. J. Nat. Resour. 2015, 30, 1104–1117. [Google Scholar] [CrossRef]




| Town Name | Village Name | Number of Questionnaires Distributed | Number of Questionnaires Returned | Questionnaire Return Rate |
|---|---|---|---|---|
| Letuyi Town | Xiazhuangzi Village | 50 | 49 | 98.0% |
| Zhangjiazhuang Village | 50 | 47 | 94.0% | |
| Baojiadian Town | Dawanzi Village | 50 | 50 | 100.0% |
| Sifuzhuang Village | 50 | 46 | 92.0% | |
| Beiwucha Town | Hongliukeng Village | 50 | 50 | 100.0% |
| Xigou Village | 50 | 48 | 96.0% | |
| Lanzhouwan Town | Dongmaidi Village | 50 | 48 | 96.0% |
| West Next Door Village | 50 | 47 | 94.0% | |
| Surrounding non-transferred villages | 200 | 186 | 93.0% | |
| Type | Feature Description | Statistics | |
|---|---|---|---|
| Quantity | Percentage | ||
| Farmers’ characteristics | |||
| Age | Under 30 years old | 65 | 11.4% |
| 30–40 years old | 167 | 29.2% | |
| 40–50 years old | 233 | 40.8% | |
| Over 60 years old | 106 | 18.6% | |
| Education level | Elementary school and below | 117 | 20.5% |
| Junior high school | 305 | 53.4% | |
| High school | 106 | 18.6% | |
| College and above | 43 | 7.5% | |
| Social identity | General public | 521 | 91.2% |
| Public officials | 50 | 8.8% | |
| Agricultural Resource Endowment | |||
| Number of agricultural laborers | 1 person | 105 | 18.4% |
| 2–3 people | 296 | 51.8% | |
| More than 3 people | 170 | 29.8% | |
| Existing arable land area | Less than 2 hm² | 97 | 17.0% |
| 2–10 hm² | 237 | 41.5% | |
| More than 10 hm² | 237 | 41.5% | |
| Productive agricultural tools | There are | 272 | 47.6% |
| None | 299 | 52.4% | |
| Farmers Type | Classification Criteria | Quantity | Percentage of | |
|---|---|---|---|---|
| Is There Any Non-Agricultural Occupation | Share of Non-Farm Income | |||
| Purely agricultural farmers | No | ≤10 percent | 145 | 23.5% |
| Agricultural part-time farmers | Yes | 10% < x ≤ 50% | 163 | 23.1% |
| Non-agricultural part-time farmers | Yes | 50% < x ≤ 90% | 187 | 24.5% |
| Non-agricultural farmers | Yes | >90% | 128 | 28.9% |
| Township Name | Village Name | Land Transfer Model | Mode of Operation | Meaning | Features |
|---|---|---|---|---|---|
| Letuyi Town | Xiazhuangzi Village | Leaseback and re-contracting | Collective operation | The village collectives or leading plantation companies lease land from farmers, plan the land use in a unified manner, and build farming infrastructure before contracting the land to farmers for cultivation [38]. | Unified land management and re-planning; land scaling; improved land use efficiency. |
| Zhangjiazhuang Village | |||||
| Lanzhouwan Township | Dongmaidi Village | Joint-stock cooperative | Farmers voluntarily join together and use their contracted land rights as shares. They give up their land in whole or in part, to be managed and controlled by a collective or professional land operator. At the end of the year the cooperative society divides the profits gained from the operation according to the shares. | Increases the source of farmers’ income; achieves resource integration and prioritizes the more efficient use of resources. | |
| Xigebi Village | |||||
| Baojiadian Township | Dawanzi Village | Centralized and continuous | Family operation | Farmers with planting experience, mastering planting technology, take advantage of their own land. Some farmers are contracted in a group to achieve large-scale operation. [39] | To a certain extent, realizes large-scale operation and mechanized farming to improve farming efficiency and reduce agricultural input costs. |
| Sifuzhuang Village | |||||
| North Wuchang Town | Hongliukeng Village | Farmers’ spontaneous mode | Individual operation | Small-scale land transfer between friends, relatives, neighbors, or farmers who know each other within the village [40]. | The transfer is more flexible, and the inflow party can choose the scale of land transfer. After the transfer, the operation is still fragmented and the land benefits are not significant. |
| Xigou Village |
| Livelihood Capital | Livelihood Indicators | Indicator Meaning and Assignment | Weights |
|---|---|---|---|
| Natural capital | Contracted land area | Area of all contracted land per farming household in survey villages (ha.) | 0.077 |
| Quality of contracted land | Very good = 1, good = 0.8, average = 0.6, poor = 0.4, very poor = 0.2 | 0.069 | |
| Annual production of land | Annual yield of cotton on contracted land of farmers in surveyed villages (kg/ha.) | 0.072 | |
| Financial capital | Annual household income | Amount of net household income per farm household in surveyed villages (10,000 yuan) | un RMB0.087 |
| Family savings | Amount of household savings per farm household in surveyed villages (10,000 yuan) | 0.044 | |
| Government subsidies | Yes = 1, No = 0 | 0.043 | |
| Living capital | Housing conditions | Translated into RMB according to the current year’s housing price and existing housing area (Yuan) | 0.052 |
| Livestock, aquaculture | Yes = 1, No = 0 | 0.032 | |
| Transportation owned | Minivan/commercial vehicle = 1, small car = 0.8, electric car = 0.5, bicycle = 0.2, none = 0 | 0.045 | |
| Produced capital | Number of productive tools | Number of mechanized tools used for agricultural production in the homes of farmers in surveyed villages (units) | 0.056 |
| The degree of improvement of rural infrastructure | Very good = 1, good = 0.8, average = 0.6, poor = 0.4, very poor = 0.2 | 0.044 | |
| Water irrigation facilities | Very good = 1, good = 0.8, average = 0.6, poor = 0.4, very poor = 0.2 | 0.041 | |
| Social capital | Social Security level | Very good = 1, good = 0.8, average = 0.6, poor = 0.4, very poor = 0.2 | 0.04 |
| Availability of official positions | Yes = 1, No = 0 | 0.058 | |
| Level of policy understanding | Very good = 1, good = 0.8, average = 0.6, poor = 0.4, very poor = 0.2 | 0.06 | |
| Human capital | Number of laborers | Number of existing labor force in farm households in surveyed villages | 0.082 |
| Educational level of family members | College and above = 1, high school = 0.8, middle school = 0.6, elementary school = 0.4, illiterate = 0.2 | 0.042 | |
| Workforce health status | Very good = 1, good = 0.8, average = 0.6, poor = 0.4, very poor = 0.2 | 0.056 |
| Pure Agricultural Farmers | Natural Capital | Financial Capital | Living Capital | Produced Capital | Social Capital | Human Capital | Livelihood Capital |
|---|---|---|---|---|---|---|---|
| Before transfer | 0.459 | 0.297 | 0.304 | 0.335 | 0.271 | 0.373 | 2.039 |
| After transfer | 0.475 | 0.325 | 0.319 | 0.39 | 0.283 | 0.385 | 2.177 |
| diff | 0.016 | 0.028 | 0.015 | 0.055 | 0.012 | 0.012 | 0.138 |
| Agricultural Part-Time Farmers | Natural Capital | Financial Capital | Living Capital | Produced Capital | Social Capital | Human Capital | Livelihood Capital |
| Before transfer | 0.401 | 0.376 | 0.342 | 0.324 | 0.311 | 0.487 | 2.241 |
| After transfer | 0.395 | 0.41 | 0.355 | 0.339 | 0.338 | 0.509 | 2.346 |
| diff | −0.006 | 0.034 | 0.013 | 0.015 | 0.027 | 0.022 | 0.105 |
| Non-Agricultural Part-Time Farmers | Natural Capital | Financial Capital | Living Capital | Produced Capital | Social Capital | Human Capital | Livelihood Capital |
| Before transfer | 0.374 | 0.392 | 0.361 | 0.331 | 0.357 | 0.494 | 2.309 |
| After transfer | 0.354 | 0.43 | 0.38 | 0.305 | 0.399 | 0.522 | 2.39 |
| diff | −0.02 | 0.038 | 0.019 | −0.026 | 0.042 | 0.028 | 0.081 |
| Non-Agricultural Farmers | Natural Capital | Financial Capital | Living Capital | Produced Capital | Social Capital | Human Capital | Livelihood Capital |
| Before transfer | 0.358 | 0.573 | 0.372 | 0.277 | 0.427 | 0.546 | 2.553 |
| After transfer | 0.343 | 0.587 | 0.385 | 0.268 | 0.438 | 0.557 | 2.578 |
| diff | −0.015 | 0.014 | 0.013 | −0.009 | 0.011 | 0.011 | 0.025 |
| The Farmers’ Spontaneous Mode | Farmers Not Participating in Land Transfer | Farmers Participating in Land Transfer | Diff |
|---|---|---|---|
| Before transfer | 2.198 | 2.236 | 0.038 |
| After transfer | 2.206 | 2.302 | 0.096 |
| diff | 0.008 | 0.066 | 0.058 |
| Centralized and Continuous Mode | Farmers Not Participating in Land Transfer | Farmers Participating in Land Transfer | Diff |
| Before transfer | 2.211 | 2.25 | 0.039 |
| After transfer | 2.217 | 2.327 | 0.11 |
| diff | 0.006 | 0.077 | 0.071 |
| Joint-Stock Cooperative Model | Farmers Not Participating in Land Transfer | Farmers Participating in Land Transfer | Diff |
| Before transfer | 2.217 | 2.251 | 0.034 |
| After transfer | 2.216 | 2.361 | 0.145 |
| diff | −0.001 | 0.11 | 0.111 |
| Leaseback and Re-Contracting Mode | Farmers Not Participating in Land Transfer | Farmers Participating in Land Transfer | Diff |
| Before transfer | 2.225 | 2.262 | 0.037 |
| After transfer | 2.219 | 2.378 | 0.159 |
| diff | −0.006 | 0.116 | 0.122 |
| Experimental Group | Control Group | |||||
|---|---|---|---|---|---|---|
| Group Name | Farmers | Mode | Business Method | Group Name | Farmers | Mode |
| A1 | Hongliukeng Village, Xigou Village | The farmers’ spontaneous mode | Individual business | B1 | Farmers in surrounding non-transferred villages | Uncirculated |
| A2 | Dawanzi Village, Sifuzhuang Village | Centralized and continuous mode | Family business | |||
| A3 | Dongmaidi Village, West Next Door Village | Joint-stock cooperative model | Collective management | |||
| Xiazhuangzi Village, Zhangjiazhuang Village | Leaseback and re-contracting mode | |||||
| (1) Individual Operation | (2) Family Operation | (3) Collective Operation | |
|---|---|---|---|
| VARIABLES | Total | Total | Total |
| DID | 0.170 *** | 0.183 *** | 0.249 *** |
| (0.0162) | (0.0137) | (0.0104) | |
| Post | 0.0614 *** | 0.0673 *** | 0.0508 *** |
| (0.0133) | (0.00916) | (0.00839) | |
| Constant | 2.263 *** | 2.268 *** | 2.303 *** |
| (0.00381) | (0.00377) | (0.00250) | |
| Observations | 852 | 852 | 1710 |
| R-squared | 0.399 | 0.443 | 0.499 |
| Number of id | 142 | 142 | 286 |
| (1) | (2) | (3) | (4) | (5) | (6) | (7) | |
|---|---|---|---|---|---|---|---|
| Variables | Total | Natural Capital | Financial Capital | Living Capital | Produced Capital | Social Capital | Human Capital |
| DID | 0.0480 *** | 0.00121 | 0.0166 * | 0.0110 *** | 0.00637 ** | 0.0150 *** | −0.00223 |
| (0.0132) | (0.00160) | (0.00991) | (0.00367) | (0.00311) | (0.00480) | (0.00515) | |
| Post | 0.254 *** | 0.0480 *** | 0.0285 *** | 0.0423 *** | 0.0490 *** | 0.0374 *** | 0.0484 *** |
| (0.00837) | (0.00119) | (0.00656) | (0.00249) | (0.00232) | (0.00325) | (0.00348) | |
| Constant | 2.272 *** | 0.372 *** | 0.453 *** | 0.338 *** | 0.300 *** | 0.371 *** | 0.438 *** |
| (0.00329) | (0.000401) | (0.00247) | (0.000916) | (0.000779) | (0.00120) | (0.00129) | |
| R-squared | 0.530 | 0.647 | 0.057 | 0.396 | 0.427 | 0.272 | 0.242 |
Publisher’s Note: MDPI stays neutral with regard to jurisdictional claims in published maps and institutional affiliations. |
© 2022 by the authors. Licensee MDPI, Basel, Switzerland. This article is an open access article distributed under the terms and conditions of the Creative Commons Attribution (CC BY) license (https://creativecommons.org/licenses/by/4.0/).
Share and Cite
Liu, D.; Wang, Y.; Chen, Y.; Yang, G.; Xu, H.; Ma, Y. Analysis of the Difference in Changes to Farmers’ Livelihood Capital under Different Land Transfer Modes—A Case Study of Manas County, Xinjiang, China. Land 2022, 11, 1369. https://doi.org/10.3390/land11081369
Liu D, Wang Y, Chen Y, Yang G, Xu H, Ma Y. Analysis of the Difference in Changes to Farmers’ Livelihood Capital under Different Land Transfer Modes—A Case Study of Manas County, Xinjiang, China. Land. 2022; 11(8):1369. https://doi.org/10.3390/land11081369
Chicago/Turabian StyleLiu, Difan, Yuejian Wang, Yuejiao Chen, Guang Yang, Hailiang Xu, and Yuxiang Ma. 2022. "Analysis of the Difference in Changes to Farmers’ Livelihood Capital under Different Land Transfer Modes—A Case Study of Manas County, Xinjiang, China" Land 11, no. 8: 1369. https://doi.org/10.3390/land11081369
APA StyleLiu, D., Wang, Y., Chen, Y., Yang, G., Xu, H., & Ma, Y. (2022). Analysis of the Difference in Changes to Farmers’ Livelihood Capital under Different Land Transfer Modes—A Case Study of Manas County, Xinjiang, China. Land, 11(8), 1369. https://doi.org/10.3390/land11081369
