Evaluating the Effect of the Location and Design of Retention Ponds on Flooding in a Peri-Urban River Catchment
Abstract
:1. Introduction
2. Data and Methods
2.1. Case Study: Braid Burn Catchment
2.2. Blackford and Oxgangs Ponds
2.3. Upper and Lower Ponds
2.4. Discharge, Rainfall and Catchment Boundary Data
2.5. Hydrological Modeling
3. Results
3.1. Model Calibration
3.2. Change in Discharge to the Water Courses Adjacent to the Ponds
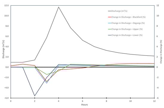
3.3. Change in Discharge at the Catchment Outlet for a 1 in 100 Year 1 h Event
3.4. Change in Discharge at the Catchment Outlet for 10 Rainfall Events
4. Discussion
5. Conclusions
Author Contributions
Funding
Institutional Review Board Statement
Informed Consent Statement
Data Availability Statement
Acknowledgments
Conflicts of Interest
References
- Miller, J.D.; Hutchins, M. The impacts of urbanisation and climate change on urban flooding and urban water quality: A review of the evidence concerning the United Kingdom. J. Hydrol. Reg. Stud. 2017, 12, 345–362. [Google Scholar] [CrossRef] [Green Version]
- Blum, A.G.; Ferraro, P.J.; Archfield, S.A.; Ryberg, K.R. Causal effect of impervious cover on annual flood magnitude for the United States. Geophys. Res. Lett. 2020, 47, e2019GL086480. [Google Scholar] [CrossRef] [Green Version]
- Bhaskar, A.S.; Hopkins, K.G.; Smith, B.K.; Stephens, T.A.; Miller, A.J. Hydrologic signals and surprises in US streamflow records during urbanization. Water Resour. Res. 2020, 56, e2019WR027039. [Google Scholar] [CrossRef]
- Tierolf, L.; de Moel, H.; van Vliet, J. Modeling urban development and its exposure to river flood risk in Southeast Asia. Comput. Environ. Urban Syst. 2021, 87, 101620. [Google Scholar] [CrossRef]
- Shuster, W.D.; Bonta, J.; Thurston, H.; Warnemuende, E.; Smith, D.R. Impacts of impervious surface on watershed hydrology: A review. Urban Water J. 2005, 2, 263–275. [Google Scholar] [CrossRef]
- Putro, B.; Kjeldsen, T.R.; Hutchins, M.G.; Miller, J. An empirical investigation of climate and land-use effects on water quantity and quality in two urbanising catchments in the southern United Kingdom. Sci. Total Environ. 2016, 548, 164–172. [Google Scholar] [CrossRef] [Green Version]
- Oudin, L.; Salavati, B.; Furusho-Percot, C.; Ribstein, P.; Saadi, M. Hydrological impacts of urbanization at the catchment scale. J. Hydrol. 2018, 559, 774–786. [Google Scholar] [CrossRef] [Green Version]
- Hu, S.; Fan, Y.; Zhang, T. Assessing the effect of land use change on surface runoff in a rapidly urbanized city: A case study of the central area of Beijing. Land 2020, 9, 17. [Google Scholar] [CrossRef] [Green Version]
- Birkinshaw, S.J.; Kilsby, C.; O’Donnell, G.; Quinn, P.; Adams, R.; Wilkinson, M.E. Stormwater Detention Ponds in Urban Catchments—Analysis and Validation of Performance of Ponds in the Ouseburn Catchment, Newcastle upon Tyne, UK. Water 2021, 13, 2521. [Google Scholar] [CrossRef]
- Ellis, J.B. Sustainable surface water management and green infrastructure in UK urban catchment planning. J. Environ. Plan. Manag. 2013, 56, 24–41. [Google Scholar] [CrossRef]
- Maes, J.; Jacobs, S. Nature-based solutions for Europe’s sustainable development. Conserv. Lett. 2017, 10, 121–124. [Google Scholar] [CrossRef] [Green Version]
- Nesshöver, C.; Assmuth, T.; Irvine, K.N.; Rusch, G.M.; Waylen, K.A.; Delbaere, B.; Haase, D.; Jones-Walters, L.; Keune, H.; Kovacs, E.; et al. The science, policy and practice of nature-based solutions: An interdisciplinary perspective. Sci. Total Environ. 2017, 579, 1215–1227. [Google Scholar] [CrossRef]
- Pauleit, S.; Ambrose-Oji, B.; Andersson, E.; Anton, B.; Buijs, A.; Haase, D.; Elands, B.; Hansen, R.; Kowarik, I.; Kronenberg, J.; et al. Advancing urban green infrastructure in Europe: Outcomes and reflections from the GREEN SURGE project. Urban For. Urban Green. 2019, 40, 4–16. [Google Scholar] [CrossRef]
- Bell, C.D.; Wolfand, J.M.; Panos, C.L.; Bhaskar, A.S.; Gilliom, R.L.; Hogue, T.S.; Hopkins, H.G.; Jefferson, A.J. Stormwater control impacts on runoff volume and peak flow: A meta-analysis of watershed modelling studies. Hydrol. Processes 2020, 34, 3134–3152. [Google Scholar] [CrossRef]
- O’Donnell, E.; Thorne, C.; Ahilan, S.; Arthur, S.; Birkinshaw, S.; Butler, D.; Dawson, D.; Everett, G.; Fenner, R.; Glenis, V.; et al. The blue-green path to urban flood resilience. Blue-Green Syst. 2020, 2, 28–45. [Google Scholar] [CrossRef] [Green Version]
- Qi, Y.; Chan FK, S.; Thorne, C.; O’Donnell, E.; Quagliolo, C.; Comino, E.; Pezzoli, A.; LI, L.; Griffiths, J.; Sang, Y.; et al. Addressing challenges of urban water management in Chinese sponge cities via nature-based solutions. Water 2020, 12, 2788. [Google Scholar] [CrossRef]
- Ureta, J.; Motallebi, M.; Vassalos, M.; Alhassan, M.; Ureta, J.C. Valuing stakeholder preferences for environmental benefits of stormwater ponds: Evidence from choice experiment. J. Environ. Manag. 2021, 293, 112828. [Google Scholar] [CrossRef]
- Melville-Shreeve, P.; Cotterill, S.; Grant, L.; Arahuetes, A.; Stovin, V.; Farmani, R.; Butler, D. State of SuDS delivery in the United Kingdom. Water Environ. J. 2018, 32, 9–16. [Google Scholar] [CrossRef]
- Jefferson, A.J.; Bhaskar, A.S.; Hopkins, K.G.; Fanelli, R.; Avellaneda, P.M.; McMillan, S.K. Stormwater management network effectiveness and implications for urban watershed function: A critical review. Hydrol. Processes 2017, 31, 4056–4080. [Google Scholar] [CrossRef]
- McCuen, R.H. A regional approach to urban storm water detention. Geophys. Res. Lett. 1974, 1, 321–322. [Google Scholar] [CrossRef]
- Emerson, C.H.; Welty, C.; Traver, R.G. Watershed-scale evaluation of a system of storm water detention basins. J. Hydrol. Eng. 2005, 10, 237–242. [Google Scholar] [CrossRef]
- Goff, K.M.; Gentry, R.W. The influence of watershed and development characteristics on the cumulative impacts of stormwater detention ponds. Water Resour. Manag. 2006, 20, 829–860. [Google Scholar] [CrossRef]
- Kaini, P.; Artita, K.; Nicklow, J.W. Evaluating optimal detention pond locations at a watershed scale. In Proceedings of the World Environmental and Water Resources Congress, Tampa, FL, USA, 15–19 May 2007; pp. 1–8. [Google Scholar]
- Fang, Z.; Zimmer, A.; Bedient, P.B.; Robinson, H.; Christian, J.; Vieux, B.E. Using a distributed hydrologic model to evaluate the location of urban development and flood control storage. J. Water Resour. Plan. Manag. 2010, 136, 597–601. [Google Scholar] [CrossRef]
- Ravazzani, G.; Gianoli, P.; Meucci, S.; Mancini, M. Assessing downstream impacts of detention basins in urbanized river basins using a distributed hydrological model. Water Resour. Manag. 2014, 28, 1033–1044. [Google Scholar] [CrossRef]
- Ronalds, R.; Zhang, H. Assessing the impact of urban development and on-site stormwater detention on regional hydrology using Monte Carlo simulated rainfall. Water Resour. Manag. 2019, 33, 2517–2536. [Google Scholar] [CrossRef]
- Gowans, I.A.T.; Dougall, T.; Davies, J. Braid Burn Flood Storage Reservoirs. In Dams: Engineering in a Social & Environmental Context; Thomas Telford: London, UK, 2012. [Google Scholar]
- Jarvie, J.; Arthur, S.; Beevers, L. Valuing multiple benefits, and the public perception of SUDS ponds. Water 2017, 9, 128. [Google Scholar] [CrossRef] [Green Version]
- Krivtsov, V.; Forbes, H.; Birkinshaw, S.; Olive, V.; Chamberlain, D.; Buckman, J.; Yahr, R.; Arthur, S.; Christie, D.; Monteiro, Y.; et al. Ecosystem services provided by urban ponds and green spaces: A detailed study of a semi-natural site with global importance for research. Blue-Green Syst. 2022, 4, 1–23. [Google Scholar] [CrossRef]
- Lewis, E.; Quinn, N.; Blenkinsop, S.; Fowler, H.J.; Freer, J.; Tanguy, M.; Hitt, O.; Coxon, G.; Bates, P.; Woods, R. A rule based quality control method for hourly rainfall data and a 1 km resolution gridded hourly rainfall dataset for Great Britain: CEH-GEAR1hr. J. Hydrol. 2018, 564, 930–943. [Google Scholar] [CrossRef]
- Robinson, E.L.; Blyth, E.M.; Clark, D.B.; Comyn-Platt, E.; Rudd, A.C. Climate Hydrology and Ecology Research Support System Potential Evapotranspiration Dataset for Great Britain (1961–2017) [CHESS-PE]; NERC Environmental Information Data Centre: Lancaster, UK, 2020. [Google Scholar]
- Scottish Environment Protection Agency. 2022. Available online: https://timeseriesdoc.sepa.org.uk (accessed on 10 February 2022).
- Vesuviano, G.; Stewart, E.; Spencer, P.; Miller, J.D. The effect of depth-duration-frequency model recalibration on rainfall return period estimates. J. Flood Risk Manag. 2021, 14, e12703. [Google Scholar] [CrossRef]
- National River Flow Archive. 2022. Available online: http://nrfa.ceh.ac.uk (accessed on 10 February 2022).
- Ewen, J.; Parkin, G.; O’Connell, P.E. SHETRAN: Distributed river basin flow and transport modeling system. J. Hydrol. Eng. 2000, 5, 250–258. [Google Scholar] [CrossRef] [Green Version]
- Abbott, M.B.; Bathurst, J.C.; Cunge, J.A.; O’Connell, P.E.; Rasmussen, J. An introduction to the European hydrological system—Systeme Hydrologique Europeen, “SHE”, 1: History and philosophy of a physically-based, distributed modelling system. J. Hydrol. 1986, 87, 45–49. [Google Scholar] [CrossRef]
- de Hipt, F.O.; Diekkrüger, B.; Steup, G.; Yira, Y.; Hoffmann, T.; Rode, M.; Näschen, K. Modeling the effect of land use and climate change on water resources and soil erosion in a tropical West African catch-ment (Dano, Burkina Faso) using SHETRAN. Sci. Total Environ. 2019, 653, 431–445. [Google Scholar] [CrossRef]
- Sreedevi, S.; Eldho, T.I. Effects of grid-size on effective parameters and model performance of SHETRAN for estimation of streamflow and sediment yield. Int. J. River Basin Manag. 2021, 19, 535–551. [Google Scholar] [CrossRef]
- Birkinshaw, S.J.; O’Donnell, G.; Glenis, V.; Kilsby, C. Improved hydrological modelling of urban catchments using runoff coefficients. J. Hydrol. 2021, 594, 125884. [Google Scholar] [CrossRef]
- Shetran. 2022. Available online: https://research.ncl.ac.uk/shetran/ (accessed on 18 August 2022).
- Lewis, E.; Birkinshaw, S.; Kilsby, C.; Fowler, H.J. Development of a system for automated setup of a physically-based, spatially-distributed hydrological model for catchments in Great Britain. Environ. Model. Softw. 2018, 108, 102–110. [Google Scholar] [CrossRef]
- British Geological Survey. Geology of Britain Viewer. 2022. Available online: https://mapapps.bgs.ac.uk/geologyofbritain/home.html (accessed on 10 February 2022).
- Moriasi, D.N.; Arnold, J.G.; van Liew, M.W.; Bingner, R.L.; Harmel, R.D.; Veith, T.L. Model evaluation guidelines for systematic quantification of accuracy in watershed simulations. Trans. ASABE 2007, 50, 885–900. [Google Scholar] [CrossRef]
- Lane, R.A.; Coxon, G.; Freer, J.E.; Wagener, T.; Johnes, P.J.; Bloomfield, J.P.; Greene, S.; Macleod, C.J.A.; Reaney, S.M. Benchmarking the predictive capability of hydrological models for river flow and flood peak predictions across over 1000 catchments in Great Britain. Hydrol. Earth Syst. Sci. 2019, 23, 4011–4032. [Google Scholar] [CrossRef] [Green Version]
- Krivtsov, V.; Birkinshaw, S.; Arthur, S.; Knott, D.; Monfries, R.; Wilson, K.; Christie, D.; Chamberlain, D.; Brownless, P.; Kelly, D.; et al. Flood resilience, amenity and biodiversity benefits of an historic urban pond. Philos. Trans. R. Soc. A 2020, 378, 20190389. [Google Scholar] [CrossRef] [Green Version]









| Soil/Aquifer | Deep at Base of Layer (m) | Saturated Moisture Content (-) | Residual Moisture Content (-) | Saturated Hydraulic Conductivity (m/Day) |
|---|---|---|---|---|
| Soil 1 | 0.2 | 0.45 | 0.10 | 50.0 * |
| Soil 2 | 1 | 0.45 | 0.10 | 150.0 * |
| Aquifer | 5 | 0.4 | 0.20 | 1 * |
| Vegetation Type | Canopy Storage Capacity (mm) | Leaf Area Index (-) | Actual/Potential Evaporation Ratio (-) | Strickler Overland Flow (m1/3 s−1) |
|---|---|---|---|---|
| Forest | 5 | 5.0 | 1.00 | 1.0 * |
| Grassland | 1.5 | 3.0 | 0.60 | 4.0 * |
| Urban | 0.3 | 0.3 | 0.20 | 10.0 * |
| Water | 0 | 0 | 1.00 | 30.0 * |
| Pond | Peak Flow (m3/s) | Increased Storage | Standard Storage | Decreased Storage | |||
|---|---|---|---|---|---|---|---|
| Reduction in Peak (%) | Lag Time (Hours) | Reduction in Peak (%) | Lag Time (Hours) | Reduction in Peak (%) | Lag Time (Hours) | ||
| Blackford | 0.24 | 92 | 14.5 | 86 | 5 | 71 | 2.25 |
| Oxgangs | 0.30 | 85 | 1.25 | 65 | 0.75 | 28 | 0.25 |
| Upper | 0.33 | 85 | 1.25 | 59 | 0.5 | 27 | 0.25 |
| Lower | 0.35 | 83 | 1.5 | 60 | 0.5 | 27 | 0.25 |
| Event | Total Rainfall (mm) | Length of Event (Hours) | Peak Flow (m3/s) | Blackford (%) | Oxgangs (%) | Upper (%) | Lower (%) | All Ponds (%) |
|---|---|---|---|---|---|---|---|---|
| 22 October 2002 | 67 | 48 | 6.7 | −0.39 | −0.04 | −0.10 | −0.08 | −0.60 |
| 22 January 2003 | 9.6 | 8 | 1.1 | −0.63 | −0.18 | −0.71 | 0.34 | −1.17 |
| 24 October 2004 | 11.8 | 4 | 3.4 | −0.82 | −0.32 | −0.74 | 0.20 | −1.36 |
| 12 October 2005 | 73 | 44 | 3.7 | −0.41 | 0.03 | 0.01 | 0.06 | −0.32 |
| 14 September 2006 | 11.6 | 4 | 2.2 | −0.61 | −0.34 | −0.58 | 0.31 | −0.70 |
| 19 August 2007 | 38 | 34 | 3.6 | −0.61 | 0.09 | 0.07 | 0.14 | −0.30 |
| 6 August 2008 | 75 | 47 | 13.3 | −1.03 | 0.17 | 0.07 | 0.07 | −0.73 |
| 4 September 2009 | 15.6 | 11 | 3.4 | −0.69 | −0.14 | −0.20 | −0.12 | −1.06 |
| 100-year 1 h | 37 | 1 | 11.7 | −0.51 | 0.26 | −0.77 | 0.51 | −0.43 |
| 100-year 6 h | 65 | 6 | 28.2 | −1.03 | −0.11 | −0.46 | 0.14 | −1.49 |
Publisher’s Note: MDPI stays neutral with regard to jurisdictional claims in published maps and institutional affiliations. |
© 2022 by the authors. Licensee MDPI, Basel, Switzerland. This article is an open access article distributed under the terms and conditions of the Creative Commons Attribution (CC BY) license (https://creativecommons.org/licenses/by/4.0/).
Share and Cite
Birkinshaw, S.J.; Krivtsov, V. Evaluating the Effect of the Location and Design of Retention Ponds on Flooding in a Peri-Urban River Catchment. Land 2022, 11, 1368. https://doi.org/10.3390/land11081368
Birkinshaw SJ, Krivtsov V. Evaluating the Effect of the Location and Design of Retention Ponds on Flooding in a Peri-Urban River Catchment. Land. 2022; 11(8):1368. https://doi.org/10.3390/land11081368
Chicago/Turabian StyleBirkinshaw, Stephen J., and Vladimir Krivtsov. 2022. "Evaluating the Effect of the Location and Design of Retention Ponds on Flooding in a Peri-Urban River Catchment" Land 11, no. 8: 1368. https://doi.org/10.3390/land11081368
APA StyleBirkinshaw, S. J., & Krivtsov, V. (2022). Evaluating the Effect of the Location and Design of Retention Ponds on Flooding in a Peri-Urban River Catchment. Land, 11(8), 1368. https://doi.org/10.3390/land11081368

