Model-Based Yield Gap Assessment in Nepal’s Diverse Agricultural Landscape
Abstract
:1. Introduction
- (i)
- How large is the current yield gap for the five key arable crops grown in the country (rice, wheat, maize, millet, and barley)?
- (ii)
- How much fertilizer is needed to close the yield gap, and where should it be applied?
- (iii)
- How much irrigation water is needed to close the yield gap, and which are the priority regions where irrigated areas should be increased?
2. Materials and Methods
2.1. Study Area
2.2. Derivation of Simulation Units
| Elevation Classes | Slope Classes | Soil Typological Units | |||
|---|---|---|---|---|---|
| Elevation [m] | Classification [31] | Class | Slope [%] | Class | Dominant Soil |
| <300 | Lower Tropical | 1 | <3 | 1 | Eutric Cambisols (Be) |
| 300–1000 | Upper Tropical | 2 | 3–6 | 2 | Eutric Fluvisols (Je) |
| 1000–2000 | Subtropical | 3 | 6–10 | 3 | Calcic Cambisols (Bk) |
| 2000–3000 | Temperate | 4 | 10–15 | 4 | Dystric Regosols (Rd) |
| 3000–4000 | Subalpine | 5 | 15–30 | 5 | Dystric Cambisols (Bd) |
| 4000–5000 | Alpine | 6 | 30–50 | 6 | Humic Acrisols (Ah) |
| >5000 | Trans Himalayan | 7 | >50 | 7 | Humic Acrisols (Ah) |
| 8 | Rankers (U) | ||||
| 9 | No soils (RK2) | ||||
| 10 | Lithosols (I) | ||||
2.3. Simulation Framework and Input Data
2.4. Model Calibration
2.5. Simulation Scenarios
- (1)
- Current management practices (current yield);
- (2)
- Current management practices with additional fertilizer applications up to a maximum of 300 kg/ha per year (additional fertilizer);
- (3)
- Current management practices with additional irrigation of up to 2000 mm per year (additional irrigation);
- (4)
- Current management practices with additional fertilizer and irrigation applications with the same maxima as in (2) and (3) (attainable yield).
3. Results
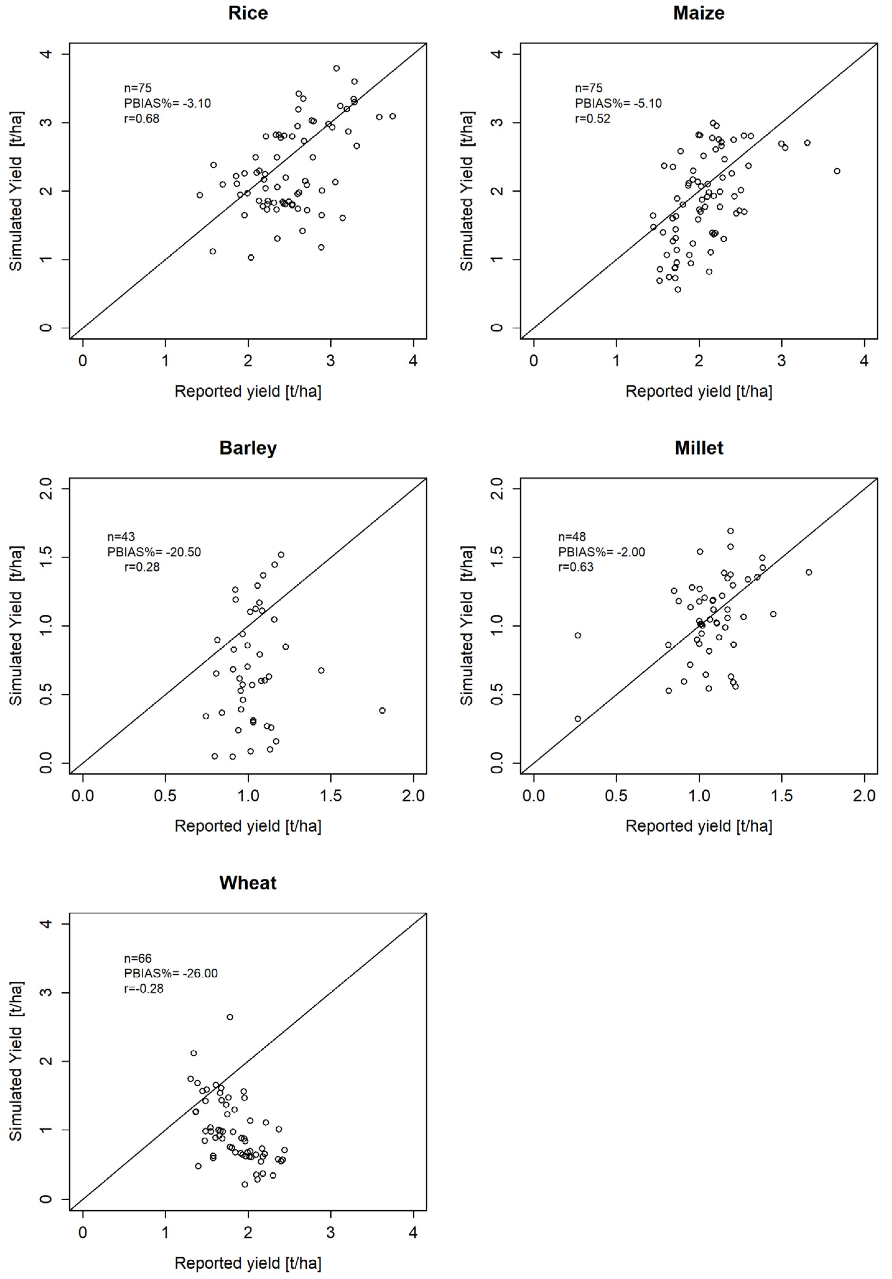
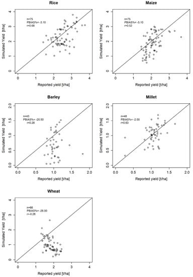
3.1. Calibration of Crop Yields
3.2. Yield Gaps in Nepal
3.3. Additional Irrigation and Fertilizer Requirements for Closing the Yield Gaps in Nepal
3.4. Effects of Closing the Yield Gaps on Food Self-Sufficiency in Nepal
4. Discussion
5. Conclusions
Supplementary Materials
Author Contributions
Funding
Data Availability Statement
Acknowledgments
Conflicts of Interest
Appendix A
| Rice | Maize | Wheat | Barley | Millet | ||||||
|---|---|---|---|---|---|---|---|---|---|---|
| District | Sim. | Rep. | Sim. | Rep. | Sim. | Rep. | Sim. | Rep. | Sim. | Rep. |
| Achham | 1.86 | 2.13 | 1.07 | 1.61 | 0.98 | 1.49 | 1.31 | 1.09 | 1.35 | 1.17 |
| Arghakhanchi | 2.25 | 2.20 | 2.14 | 1.99 | 0.89 | 1.61 | 0.26 | 1.03 | 1.05 | 1.07 |
| Baglung | 1.98 | 2.62 | 2.61 | 2.20 | 1.37 | 1.73 | 0.58 | 1.44 | 1.06 | 1.17 |
| Baitadi | 1.65 | 1.96 | 0.75 | 1.64 | 1.26 | 1.37 | 0.04 | 0.91 | 1.22 | 1.14 |
| Bajhang | 1.95 | 1.91 | 1.48 | 1.45 | 0.84 | 1.48 | 0.74 | 1.00 | 0.72 | 0.95 |
| Bajura | 2.11 | 1.86 | 1.63 | 1.72 | 1.68 | 1.39 | 1.1 | 1.04 | 1.14 | 0.95 |
| Banke | 3.03 | 2.77 | 2.12 | 1.87 | 0.57 | 2.42 | ||||
| Bara | 3.09 | 3.75 | 2.37 | 2.60 | 0.63 | 2.89 | ||||
| Bardiya | 3.24 | 3.12 | 2.30 | 1.93 | 0.43 | 2.47 | ||||
| Bhaktapur | 2.33 | 5.74 | 2.70 | 3.31 | 1.04 | 2.93 | 0.74 | 1.23 | 1.07 | 1.27 |
| Bhojpur | 2.2 | 2.45 | 1.92 | 2.10 | 1.56 | 1.95 | 0.23 | 1.14 | 1.21 | 1.03 |
| Chitawan | 3.79 | 3.07 | 2.02 | 2.50 | 0.62 | 2.45 | ||||
| Dadeldhura | 1.83 | 2.31 | 0.87 | 1.71 | 1.27 | 1.37 | 0.97 | 1.18 | 0.88 | |
| Dailekh | 1.81 | 2.45 | 1.07 | 1.88 | 1.03 | 1.54 | 1.06 | 1.01 | 1.38 | 1.19 |
| Dang | 3.2 | 3.19 | 2.81 | 2.01 | 0.37 | 2.18 | ||||
| Darchula | 1.03 | 2.03 | 0.96 | 1.73 | 0.48 | 1.40 | 0.44 | 0.84 | 0.53 | 0.82 |
| Dhading | 1.72 | 2.71 | 0.94 | 1.90 | 0.97 | 1.82 | 2.03 | 0.91 | 1.28 | 0.96 |
| Dhankuta | 1.96 | 2.60 | 1.73 | 2.00 | 1.47 | 1.95 | 0.1 | 1.13 | 1.18 | 1.00 |
| Dhanusha | 2.73 | 2.68 | 2.81 | 2.54 | 0.69 | 2.03 | ||||
| Dolakha | 2.17 | 2.19 | 2.17 | 1.93 | 1.59 | 1.50 | 0.92 | 0.81 | 1.02 | 1.11 |
| Dolpa | 1.12 | 1.57 | 0.88 | 1.71 | 1.42 | 1.48 | 0.93 | 0.97 | 0.86 | 0.81 |
| Doti | 1.82 | 2.43 | 0.73 | 1.71 | 0.99 | 1.67 | 0.51 | 0.95 | 1.03 | 1.10 |
| Gorkha | 2.09 | 2.71 | 1.39 | 2.20 | 0.74 | 1.81 | 0.67 | 1.13 | 0.82 | 1.06 |
| Gulmi | 1.73 | 2.34 | 1.80 | 1.80 | 0.88 | 1.69 | 0.25 | 1.11 | 0.63 | 1.19 |
| Humla | 1.94 | 1.42 | 0.69 | 1.52 | 2.06 | 0.91 | 1.22 | 0.92 | 1.26 | 0.85 |
| Ilam | 1.85 | 2.49 | 1.39 | 2.16 | 1.13 | 2.03 | 0.32 | 0.74 | 0.90 | 0.99 |
| Jajarkot | 1.73 | 2.23 | 1.14 | 1.73 | 0.84 | 1.18 | 1.34 | 1.16 | 1.50 | 1.38 |
| Jhapa | 2.66 | 3.31 | 2.47 | 2.30 | 0.53 | 2.47 | ||||
| Jumla | 2.38 | 1.58 | 1.64 | 1.44 | 2.36 | 1.09 | 1.17 | 1.07 | 1.42 | 1.38 |
| Kabhrepalanchok | 2.13 | 3.06 | 1.99 | 2.25 | 0.88 | 1.92 | 0.52 | 1.02 | 0.94 | 1.01 |
| Kailali | 3.35 | 2.67 | 2.35 | 1.68 | 0.29 | 2.11 | ||||
| Kalikot | 2.1 | 1.69 | 2.37 | 1.58 | 1.74 | 1.30 | 1.12 | 1.08 | 1.30 | 1.20 |
| Kanchanpur | 3.42 | 2.61 | 2.58 | 1.78 | 0.35 | 2.10 | ||||
| Kapilbastu | 2.81 | 2.43 | 1.93 | 2.18 | 0.66 | 2.20 | ||||
| Kaski | 1.18 | 2.88 | 1.77 | 2.25 | 0.84 | 1.97 | 0.19 | 1.17 | 0.59 | 1.21 |
| Kathmandu | 2.26 | 5.36 | 2.69 | 2.99 | 1.01 | 2.37 | 0.75 | 1.00 | 1.04 | 1.00 |
| Khotang | 2.04 | 2.21 | 2.07 | 2.03 | 1.61 | 1.67 | 0.39 | 0.97 | 1.27 | 1.00 |
| Lalitpur | 1.73 | 5.05 | 1.68 | 2.45 | 0.71 | 2.44 | 0.01 | 1.51 | 0.86 | 1.21 |
| Lamjung | 2.06 | 2.35 | 1.37 | 2.18 | 0.88 | 1.95 | 0.88 | 0.91 | 0.87 | 1.00 |
| Mahottari | 2.82 | 2.37 | 2.77 | 2.16 | 0.66 | 1.91 | ||||
| Makawanpur | 2.98 | 2.97 | 2.20 | 2.28 | 0.34 | 2.30 | ||||
| Morang | 2.87 | 3.21 | 2.71 | 2.27 | 0.54 | 2.16 | ||||
| Mugu | 2.22 | 1.85 | 1.11 | 2.14 | 2.12 | 1.34 | 1.17 | 0.92 | 1.39 | 1.66 |
| Myagdi | 1.42 | 2.66 | 1.30 | 2.30 | 2.64 | 1.78 | 1.46 | 1.20 | 1.00 | 1.02 |
| Nawalparasi East | 3.6 | 3.29 | 1.93 | 2.43 | 0.55 | 2.40 | ||||
| Nawalparasi West | 3.3 | 3.29 | 2.29 | 3.67 | 0.55 | 2.40 | ||||
| Nuwakot | 1.61 | 3.14 | 0.82 | 2.12 | 1.10 | 2.21 | 2.2 | 0.94 | 1.36 | 1.35 |
| Okhaldhunga | 1.84 | 2.42 | 2.08 | 1.87 | 1.65 | 1.61 | 0.53 | 0.97 | 1.34 | 1.29 |
| Palpa | 2.15 | 2.69 | 1.88 | 2.03 | 0.64 | 1.93 | 1.06 | 0.65 | 1.04 | |
| Panchthar | 2.3 | 2.13 | 1.40 | 1.56 | 1.43 | 1.68 | 0.62 | 0.91 | 1.09 | 1.45 |
| Parbat | 1.31 | 2.35 | 1.77 | 2.07 | 0.98 | 1.69 | 0.26 | 0.94 | 0.60 | 0.91 |
| Parsa | 3.08 | 3.58 | 2.63 | 3.04 | 0.67 | 2.67 | ||||
| Pyuthan | 1.86 | 2.24 | 0.86 | 1.53 | 0.76 | 1.78 | 0.27 | 1.81 | 1.18 | 1.08 |
| Ramechhap | 1.81 | 2.23 | 1.98 | 2.12 | 1.47 | 1.76 | 0.63 | 0.81 | 1.19 | 1.08 |
| Rasuwa | 2.8 | 2.22 | 0.56 | 1.74 | 1.23 | 1.75 | 2.29 | 1.10 | 1.02 | 1.02 |
| Rautahat | 3.19 | 2.61 | 2.52 | 2.05 | 0.62 | 2.18 | ||||
| Rolpa | 1.78 | 2.18 | 1.27 | 1.68 | 0.92 | 1.65 | 0.54 | 1.10 | 1.54 | 1.01 |
| Rukum East | 1.81 | 2.53 | 1.44 | 1.71 | 0.59 | 1.58 | 2.21 | 1.01 | 1.69 | 1.19 |
| Rukum West | 1.79 | 2.53 | 1.32 | 1.71 | 0.63 | 1.58 | 1.9 | 1.01 | 1.58 | 1.19 |
| Rupandehi | 3.34 | 3.28 | 2.26 | 2.40 | 0.58 | 2.60 | ||||
| Salyan | 1.74 | 2.60 | 1.24 | 1.93 | 1.00 | 1.64 | 0.46 | 0.96 | 1.39 | 1.15 |
| Sankhuwasabha | 2.26 | 1.95 | 1.89 | 1.73 | 1.29 | 1.83 | 0.37 | 0.96 | 1.01 | 1.01 |
| Saptari | 2.8 | 2.53 | 2.99 | 2.17 | 0.73 | 2.17 | ||||
| Sarlahi | 2.95 | 2.60 | 2.80 | 2.63 | 0.64 | 2.09 | ||||
| Sindhuli | 2.49 | 2.35 | 2.75 | 2.24 | 0.62 | 2.02 | ||||
| Sindhupalchok | 2.82 | 2.34 | 2.10 | 2.10 | 0.98 | 1.55 | 0.95 | 1.16 | 0.92 | 1.12 |
| Siraha | 2.78 | 2.39 | 2.66 | 2.27 | 0.68 | 1.99 | ||||
| Solukhumbu | 1.97 | 1.99 | 1.58 | 1.99 | 1.57 | 1.45 | 1.29 | 1.06 | 1.12 | 1.17 |
| Sunsari | 2.93 | 3.02 | 2.75 | 2.42 | 0.58 | 2.36 | ||||
| Surkhet | 3.02 | 2.79 | 2.95 | 2.21 | 0.22 | 1.96 | ||||
| Syangja | 1.65 | 2.89 | 1.70 | 2.55 | 0.62 | 1.97 | 0.1 | 1.02 | 0.56 | 1.22 |
| Tanahu | 2.01 | 2.89 | 1.71 | 2.49 | 0.68 | 1.84 | 0.05 | 0.80 | 0.55 | 1.06 |
| Taplejung | 2.49 | 2.09 | 1.70 | 2.02 | 1.52 | 2.76 | 0.54 | 1.08 | 0.99 | 1.16 |
| Terhathum | 2.27 | 2.10 | 1.60 | 1.68 | 1.54 | 1.66 | 0.28 | 1.03 | 1.12 | 1.09 |
| Udayapur | 2.49 | 2.78 | 2.82 | 1.99 | 0.61 | 2.04 | ||||





References
- Van Dijk, M.; Morley, T.; Rau, M.L.; Saghai, Y. A meta-analysis of projected global food demand and population at risk of hunger for the period 2010–2050. Nat. Food 2021, 2, 494–501. [Google Scholar] [CrossRef]
- Cassman, K.G.; Grassini, P. A global perspective on sustainable intensification research. Nat. Sustain. 2020, 3, 262–268. [Google Scholar] [CrossRef]
- Struik, P.C.; Kuyper, T. Sustainable intensification in agriculture: The richer shade of green. A review. Agron. Sustain. Dev. 2017, 37, 39. [Google Scholar] [CrossRef]
- Foley, J.A.; Ramankutty, N.; Brauman, K.A.; Cassidy, E.S.; Gerber, J.S.; Johnston, M.; Mueller, N.D.; O’Connell, C.; Ray, D.K.; West, P.C.; et al. Solutions for a cultivated planet. Nature 2011, 478, 337–342. [Google Scholar] [CrossRef] [PubMed]
- Licker, R.; Johnston, M.; Foley, J.A.; Barford, C.; Kucharik, C.J.; Monfreda, C.; Ramankutty, N. Mind the gap: How do climate and agricultural management explain the ‘yield gap’ of croplands around the world? Glob. Ecol. Biogeogr. 2010, 19, 769–782. [Google Scholar] [CrossRef]
- Van Ittersum, M.K.; Cassman, K.G.; Grassini, P.; Wolf, J.; Tittonell, P.; Hochman, Z. Yield gap analysis with local to global relevance—A review. Field Crops Res. 2013, 143, 4–17. [Google Scholar] [CrossRef]
- Pradhan, P.; Fischer, G.; van Velthuizen, H.; Reusser, D.E.; Kropp, J.P. Closing Yield Gaps: How Sustainable Can We Be? PLoS ONE 2015, 10, e0129487. [Google Scholar] [CrossRef]
- International Centerfor Tropical Agriculture; World Bank; CGIAR Research Program on Climate Change Agriculture and Food Security; Local Initiatives for Biodiversity Research and Development. Climate-Smart Agriculture in Nepal. CSA Country Profiles for Asia Series; CIAT World Bank: Rome, Italy; CCAFS: New Delhi, India; LI-BIRD: Pokhara, Nepal, 2017; Volume 26. [Google Scholar]
- Hussain, A.; Rasul, G.; Mahapatra, B.; Wahid, S.; Tuladhar, S. Climate change-induced hazards and local adaptations in agriculture: A study from Koshi River Basin, Nepal. Nat. Hazards 2018, 91, 1365–1383. [Google Scholar] [CrossRef]
- World Bank. Fertilizer Consumption (Kilograms per Hectare of Arable Land); World Bank: Washington, DC, USA, 2014. [Google Scholar]
- Department of Water Resources and Irrigation. Irrigation Master Plan Preparation through Integrated River Basin Planning (Dataset); Water Resources Project Preparatory Facility, Department of Water Resources and Irrigation, Ministry of Energy, Water Resources and Irrigation (MoEWRI): Kathmandu, Nepal, 2019.
- Bigyan, K.C.; Pandit, R.; Kandel, B.P.; Kumar, K.C.K.; Arpana, K.C.; Poudel, M.R. Scenario of Plant Breeding in Nepal and Its Application in Rice. Int. J. Agron. 2021, 2021, 5520741. [Google Scholar] [CrossRef]
- Sharma, R. The scale and drivers of informal trade in agricultural products across the Nepal–India borders. In Proceedings of the SAARC Agricultural Trade Forum, Organized by SAARC Agriculture Centre and FAO, Dhaka, Bangladesh, 22–23 May 2017; pp. 22–23. [Google Scholar]
- FAOSTAT. Cereals Import in Nepal. 1989 to 2020; FAOSTAT: Rome, Italy, 2020. [Google Scholar]
- Ministry of Agricultural Development (MOAD). Agricultural Statistics of Cereal Crops in Nepal (1979 to 2014). Available online: http://rds.icimod.org/Home/DataDetail?metadataId=17200 (accessed on 12 June 2021).
- Cortner, O.; Garrett, R.D.; Valentim, J.F.; Ferreira, J.; Niles, M.T.; Reis, J.; Gil, J. Perceptions of integrated crop-livestock systems for sustainable intensification in the Brazilian Amazon. Land Use Policy 2019, 82, 841–853. [Google Scholar] [CrossRef]
- Gyawali, D.R.; Shirsath, P.B.; Kanel, D.; Burja, K.; Khatri-Chhetri, A.; Aggarwal, P.K.; Hansen, J.; Rose, A. In-season crop yield forecasting using CCAFS Regional Agricultural Forecasting Toolbox (CRAFT) in Nepal. In CCAFS Working Paper No. 227; CGIAR Research Program on Climate Change, Agriculture and Food Security (CCAFS): Wageningen, The Netherlands, 2018. [Google Scholar]
- Campolo, J.; Güereña, D.; Maharjan, S.; Lobell, D.B. Evaluation of soil-dependent crop yield outcomes in Nepal using ground and satellite-based approaches. Field Crops Res. 2021, 260, 107987. [Google Scholar] [CrossRef]
- Matthews, R.B.; Pilbeam, C. Modelling the long-term productivity and soil fertility of maize/millet cropping systems in the mid-hills of Nepal. Agric. Ecosyst. Environ. 2005, 111, 119–139. [Google Scholar] [CrossRef]
- Jha, P.K.; Athanasiadis, P.; Gualdi, S.; Trabucco, A.; Mereu, V.; Shelia, V.; Hoogenboom, G. Using daily data from seasonal forecasts in dynamic crop models for yield prediction: A case study for rice in Nepal’s Terai. Agric. For. Meteorol. 2019, 265, 349–358. [Google Scholar] [CrossRef]
- World Bank. Nepal in Data; World Bank: Washington, DC, USA, 2020. [Google Scholar]
- Pokhrel, C. Agriculture Diversification in Nepal. In Agriculture Transformation in Nepal; Thapa, G., Kumar, A., Joshi, P.K., Eds.; Springer Nature Singapore pte Ltd.: Singapore, 2019; p. 323. [Google Scholar]
- Paudel, B.; Panday, D.; Dhakal, K. Climate. In The Soils of Nepal; Ojha, R.B., Panday, D., Eds.; Springer International Publishing: Cham, Switzerland, 2021; pp. 15–27. [Google Scholar]
- Karki, R.; Hasson, S.; Schickhoff, U.; Scholten, T.; Bohner, J. Rising Precipitation Extremes across Nepal. Climate 2017, 5, 4. [Google Scholar] [CrossRef]
- Department of Hydrology and Meteorology (DHM). Climate and Climatic variability of Nepal-2015. Tech. Rep. 2015, 1, 41. [Google Scholar]
- Khadka, D.; Pathak, D. Climate change projection for the marsyangdi river basin, Nepal using statistical downscaling of GCM and its implications in geodisasters. Geoenviron. Disasters 2016, 3, 15. [Google Scholar] [CrossRef]
- Talchabhadel, R.; Karki, R.; Yadav, M.; Maharjan, M.; Aryal, A.; Thapa, B.R. Spatial distribution of soil moisture index across Nepal: A step towards sharing climatic information for agricultural sector. Theor. Appl. Climatol. 2019, 137, 3089–3102. [Google Scholar] [CrossRef]
- Skalský, R.; Tarasovicová, Z.; Balkovic, J.; Schmid, E.; Fuchs, M.; Moltchanova, E.; Kindermann, G.; Scholtz, P. Geo-bene global database for bio-physical modeling v. 1.0. Concepts, methodologies and data. GEO-BENE Database Rep. 2008, 1, 58. [Google Scholar]
- Jarvis, A.; Reuter, H.I.; Nelson, A.; Guevara, E. Hole-Filled SRTM for the Globe Version 4. The CGIAR-CSI SRTM 90m Database. 2008; Volume 15, pp. 25–54. Available online: http://srtm.csi.cgiar.org (accessed on 12 June 2021).
- Jones, P.G.; Thornton, P.K. Representative soil profiles for the Harmonized World Soil Database at different spatial resolutions for agricultural modelling applications. Agric. Syst. 2015, 139, 93–99. [Google Scholar] [CrossRef]
- Barnekow Lillesø, J.-P.; Shrestha, T.B.; Dhakal, L.P.; Nayaju, R.P.; Shrestha, R. The map of potential vegetation of Nepal: A forestry/agro-ecological/biodiversity classification system. Dev. Environ. 2005, 2, 76. [Google Scholar]
- GADM. GADM Database of Global Administrative Areas, Version 2.8. 2015. 2018. Available online: http://www.gadm.org (accessed on 12 June 2021).
- Uddin, K.; Shrestha, H.L.; Murthy, M.; Bajracharya, B.; Shrestha, B.; Gilani, H.; Pradhan, S.; Dangol, B. Development of 2010 national land cover database for the Nepal. J. Environ. Manag. 2015, 148, 82–90. [Google Scholar] [CrossRef] [PubMed]
- Eyring, V.; Bony, S.; Meehl, G.A.; Senior, C.A.; Stevens, B.; Stouffer, R.J.; Taylor, K.E. Overview of the Coupled Model Intercomparison Project Phase 6 (CMIP6) experimental design and organization. Geosci. Model Dev. 2016, 9, 1937–1958. [Google Scholar] [CrossRef]
- Williams, J.R.; Jones, C.A.; Kiniry, J.R.; Spanel, D.A. The Epic Crop Growth-Model. Trans. ASAE 1989, 32, 497–511. [Google Scholar] [CrossRef]
- Di Bene, C.; Diacono, M.; Montemurro, F.; Testani, E.; Farina, R. EPIC model simulation to assess effective agro-ecological practices for climate change mitigation and adaptation in organic vegetable system. Agron. Sustain. Dev. 2022, 42, 7. [Google Scholar] [CrossRef]
- Gaiser, T.; de Barros, I.; Sereke, F.; Lange, F.M. Validation and reliability of the EPIC model to simulate maize production in small-holder farming systems in tropical sub-humid West Africa and semi-arid Brazil. Agric. Ecosyst. Environ. 2010, 135, 318–327. [Google Scholar] [CrossRef]
- Zhang, J.; Balkovic, J.; Azevedo, L.B.; Skalsky, R.; Bouwman, A.F.; Xu, G.; Wang, J.; Xu, M.; Yu, C. Analyzing and modelling the effect of long-term fertilizer management on crop yield and soil organic carbon in China. Sci. Total Environ. 2018, 627, 361–372. [Google Scholar] [CrossRef]
- Balkovič, J.; van der Velde, M.; Schmid, E.; Skalský, R.; Khabarov, N.; Obersteiner, M.; Stürmer, B.; Xiong, W. Pan-European crop modelling with EPIC: Implementation, up-scaling and regional crop yield validation. Agric. Syst. 2013, 120, 61–75. [Google Scholar] [CrossRef]
- Schierhorn, F.; Faramarzi, M.; Prishchepov, A.V.; Koch, F.J.; Muller, D. Quantifying yield gaps in wheat production in Russia. Environ. Res. Lett. 2014, 9, 084017. [Google Scholar] [CrossRef]
- Lu, C.; Fan, L. Winter wheat yield potentials and yield gaps in the North China Plain. Field Crops Res. 2013, 143, 98–105. [Google Scholar] [CrossRef]
- Xiong, W.; Skalsky, R.; Porter, C.H.; Balkovic, J.; Jones, J.W.; Yang, D. Calibration-induced uncertainty of the EPIC model to estimate climate change impact on global maize yield. J. Adv. Model. Earth Syst. 2016, 8, 1358–1375. [Google Scholar] [CrossRef]
- Liu, J.; You, L.; Amini, M.; Obersteiner, M.; Herrero, M.; Zehnder Alexander, J.B.; Yang, H. A high-resolution assessment on global nitrogen flows in cropland. Proc. Natl. Acad. Sci. USA 2010, 107, 8035–8040. [Google Scholar] [CrossRef] [PubMed]
- Liu, W.; Yang, H.; Liu, J.; Azevedo, L.B.; Wang, X.; Xu, Z.; Abbaspour, K.C.; Schulin, R. Global assessment of nitrogen losses and trade-offs with yields from major crop cultivations. Sci. Total Environ. 2016, 572, 526–537. [Google Scholar] [CrossRef] [PubMed]
- Balkovic, J.; Skalsky, R.; Folberth, C.; Khabarov, N.; Schmid, E.; Madaras, M.; Obersteiner, M.; van der Velde, M. Impacts and Uncertainties of+2 degrees C of Climate Change and Soil Degradation on European Crop Calorie Supply. Earths Future 2018, 6, 373–395. [Google Scholar] [CrossRef] [PubMed]
- Bouraoui, F.; Grizzetti, B. An integrated modelling framework to estimate the fate of nutrients: Application to the Loire (France). Ecol. Model. 2008, 212, 450–459. [Google Scholar] [CrossRef]
- Thomson, A.M.; Izaurralde, R.C.; Rosenberg, N.J.; He, X.X. Climate change impacts on agriculture and soil carbon sequestration potential in the Huang-Hai Plain of China. Agric. Ecosyst. Environ. 2006, 114, 195–209. [Google Scholar] [CrossRef]
- Folberth, C.; Gaiser, T.; Abbaspour, K.C.; Schulin, R.; Yang, H. Regionalization of a large-scale crop growth model for sub-Saharan Africa: Model setup, evaluation, and estimation of maize yields. Agric. Ecosyst. Environ. 2012, 151, 21–33. [Google Scholar] [CrossRef]
- Muller, C.; Elliott, J.; Chryssanthacopoulos, J.; Arneth, A.; Balkovic, J.; Ciais, P.; Deryng, D.; Folberth, C.; Glotter, M.; Hoek, S.; et al. Global gridded crop model evaluation: Benchmarking, skills, deficiencies and implications. Geosci. Model Dev. 2017, 10, 1403–1422. [Google Scholar] [CrossRef]
- Hargreaves, G.H.; Samani, Z.A. Reference Crop Evapotranspiration from Temperature. Appl. Eng. Agric. 1985, 1, 96–99. [Google Scholar] [CrossRef]
- Takeshima, H. Use of Chemical Fertilizers in Nepal-Issues and Implications. In Agricultural Transformation in Nepal: Trends, Prospects, and Policy Options; Springer: Singapore, 2019; pp. 231–260. [Google Scholar] [CrossRef]
- de Salis, H.H.C.; da Costa, A.M.; Vianna, J.H.M.; Schuler, M.A.; Kunne, A.; Fernandes, L.F.S.; Pacheco, F.A.L. Hydrologic Modeling for Sustainable Water Resources Management in Urbanized Karst Areas. Int. J. Environ. Res. Public Health 2019, 16, 2542. [Google Scholar] [CrossRef]
- Niu, X.; Easterling, W.; Hays, C.J.; Jacobs, A.; Mearns, L. Reliability and input-data induced uncertainty of the EPIC model to estimate climate change impact on sorghum yields in the U.S. Great Plains. Agric. Ecosyst. Environ. 2009, 129, 268–276. [Google Scholar] [CrossRef]
- Mueller, N.D.; Gerber, J.S.; Johnston, M.; Ray, D.K.; Ramankutty, N.; Foley, J.A. Closing yield gaps through nutrient and water management. Nature 2012, 490, 254–257. [Google Scholar] [CrossRef] [PubMed]
- Government of Nepal: Ministry of Finance. Public Announcement of Income-Expenditure Details of Fiscal Year 2021/22; Ministry of Finance: Kathmandu, Nepal, 2021; p. 88.
- Cosic, D.; Dahal, S.; Kitzmuller, M. Climbing Higher: Toward a Middle-Income Nepal; World Bank: Washington, DC, USA, 2017. [Google Scholar]
- Shrestha, S. Desperate Farmers Seize Fertilisers in Dhading. Available online: https://kathmandupost.com/national/2022/06/18/farmers-in-dhading-seize-fertilisers-smuggled-from-india (accessed on 22 June 2022).
- Dhakal, C.; Escalante, C.L. The Productivity Effects of Adopting Improved Organic Manure Practices in Nepal. Front. Environ. Sci. 2022, 10, 912860. [Google Scholar] [CrossRef]
- Rai, S. Bhaktapur Does Not Send Garbage to the Sisdole Landfill Site, Rather Sells the Compost from Garbage. Available online: https://nepalsamaya.com/samaj/2022-06-20-163727 (accessed on 22 June 2022).
- Ranjit, A.S.; Shakya, R.; Gwachha, S.; Ganesh, R.; Prajapati, M.; Bhaila, P.; Duwal, I. Assessment of Solid Waste Management in Bhaktapur Municipality. J. Sci. Eng. 2019, 7, 10–19. [Google Scholar] [CrossRef]
- KC, R.B.; Ghimire, T.B.; Joshi, B.K.; Gotame, T.P.; Paneru, P. Proceedings of Stakeholders Workshop on Hybrid Variety Development in Nepal; Directorate of Agricultural Research, Gandaki Province: Lumle, Nepal, 2020.
- Devkota, K.P.; McDonald, A.J.; Khadka, A.; Khadka, L.; Paudel, G.; Devkota, M. Decomposing maize yield gaps differentiates entry points for intensification in the rainfed mid-hills of Nepal. Field Crops Res. 2015, 179, 81–94. [Google Scholar] [CrossRef]







| Fertilizer Type | Terai | Hill | Mountain |
|---|---|---|---|
| Urea | 28 kg/ha | 18 kg/ha | 12 kg/ha |
| Complex | 3 kg/ha | 4 kg/ha | 2 kg/ha |
| DAP | 17 kg/ha | 3 kg/ha | 1 kg/ha |
| Organic N fertilizer | 22 kg/ha | 16 kg/ha | 13 kg/ha |
| Organic P fertilizer | 11 kg/ha | 4 kg/ha | 2 kg/ha |
| Other inorganic | 0 kg/ha | 0 kg/ha | 0 kg/ha |
| Crop | Ecological Zone | Irrigation | Jan. | Feb. | Mar. | Apr. | May | Jun. | Jul. | Aug. | Sep. | Oct. | Nov. | Dec. |
|---|---|---|---|---|---|---|---|---|---|---|---|---|---|---|
| Rice | Hill | Rainfed | TP | TP | H | H | ||||||||
| Irrigated | TP | TP | H | H | ||||||||||
| Terai | Rainfed | TP | TP | H | H | H | ||||||||
| Irrigated | TP | TP | H | H | H | |||||||||
| Maize | Mountain | Rainfed | P | P | H | H | H | |||||||
| Hill | Rainfed | P | P | H | H | |||||||||
| Terai | Rainfed | P | P | H | H | |||||||||
| Wheat | Mountain | Rainfed | H | H | P | P | ||||||||
| Hill | Rainfed | H | H | H | P | P | P | |||||||
| Terai | Rainfed | H | H | P | P | |||||||||
| Millet | Mountain | Rainfed | P | P | H | H | ||||||||
| Hill | Rainfed | P | P | H | H | |||||||||
| Barley | Mountain | Rainfed | H | H | P | P | ||||||||
| Hill | Rainfed | H | H | P | P | P |
| Province | Rice | Wheat | Maize | Millet | Barley |
|---|---|---|---|---|---|
| Province 1 | 859.46 | 157.33 | 890.60 | 30.27 | 0.33 |
| Province 2 | 1329.26 | 1084.56 | 136.67 | ||
| Province 3 | 348.05 | 140.71 | 559.71 | 20.35 | 1.31 |
| Province 4 | 311.38 | 70.50 | 344.26 | 38.30 | 1.52 |
| Province 5 | 896.57 | 651.71 | 397.26 | 3.72 | 1.50 |
| Province 6 | 124.60 | 225.96 | 362.97 | 9.30 | 2.48 |
| Province 7 | 447.54 | 533.09 | 178.81 | 9.01 | 1.05 |
| Nepal (sum) | 4316.85 | 2863.87 | 2870.30 | 110.96 | 8.19 |
| 2020 Imports | 1912 | 300 | 550 | 18 | 0 |
Publisher’s Note: MDPI stays neutral with regard to jurisdictional claims in published maps and institutional affiliations. |
© 2022 by the authors. Licensee MDPI, Basel, Switzerland. This article is an open access article distributed under the terms and conditions of the Creative Commons Attribution (CC BY) license (https://creativecommons.org/licenses/by/4.0/).
Share and Cite
Basukala, A.K.; Rasche, L. Model-Based Yield Gap Assessment in Nepal’s Diverse Agricultural Landscape. Land 2022, 11, 1355. https://doi.org/10.3390/land11081355
Basukala AK, Rasche L. Model-Based Yield Gap Assessment in Nepal’s Diverse Agricultural Landscape. Land. 2022; 11(8):1355. https://doi.org/10.3390/land11081355
Chicago/Turabian StyleBasukala, Amit Kumar, and Livia Rasche. 2022. "Model-Based Yield Gap Assessment in Nepal’s Diverse Agricultural Landscape" Land 11, no. 8: 1355. https://doi.org/10.3390/land11081355
APA StyleBasukala, A. K., & Rasche, L. (2022). Model-Based Yield Gap Assessment in Nepal’s Diverse Agricultural Landscape. Land, 11(8), 1355. https://doi.org/10.3390/land11081355

