Geomorphological Classification of Monogenetic Volcanoes and Its Implication to Tectonic Stress Orientation in the Middle Atlas Volcanic Field (Morocco)
Abstract
1. Introduction
2. Geological and Tectonic Setting
3. Materials and Methods
- In this case, the alignments are established by drawing a line through the axes of the elongated vents (including circular vents that follow the same pattern);
- In case the decision between two alignment trends is possible, the elongated events are used to guide this choice;
- Coalescing cones are mapped as individual vents;
- In cases where there are no elongated vents, the nearest neighbor method guides the identification of volcanoes that have a small distance between them. The alignment of vents is determined by constructing a trace through the center points of a series of vents.
4. Results
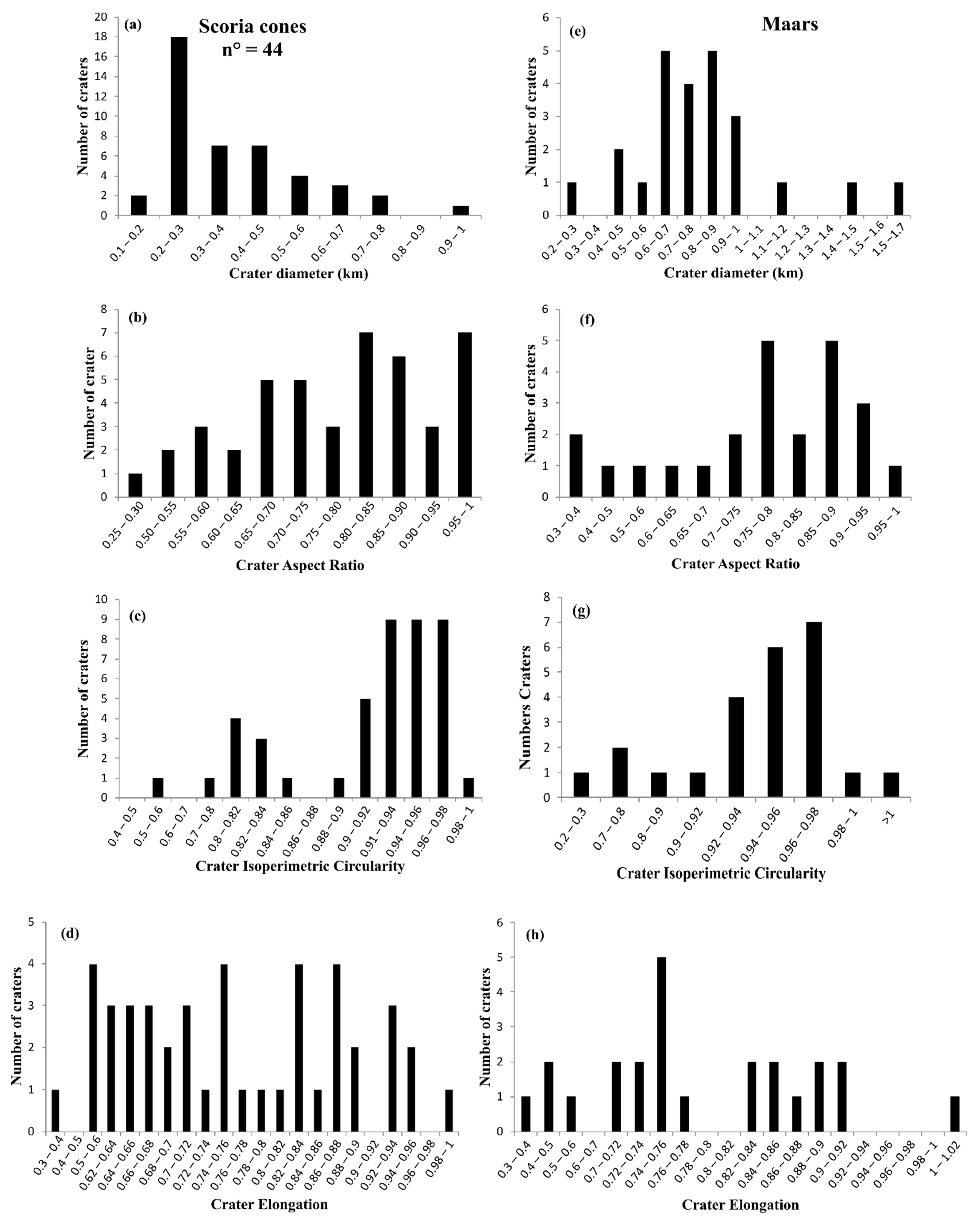
4.1. Morphometric Parameters
4.1.1. Crater diameter, AR, IC, and EL
- Scoria Cones
- 2.
- Maars
4.1.2. Hco/Wco, Wcr/Wco, and Slope (°) vs Hco/Wco
- Scoria cones
- 2.
- Maars
4.1.3. Stress Field Estimate
4.1.4. Classification by Volume/Diameter of the Recognized Craters
4.2. MAVF Eruptive Products
4.2.1. Pyroclastic Fall and Pyroclastic Density Current Deposits
4.2.2. Lava Flow
- Pāhoehoe Lava Flow
- 2.
- Aā lava flow
5. Discussion
- the nature of the ejecta (fine or coarse) which controls the initial slope of the cones. Spatter-dominated cones have a higher degree of slope than scoria cones and are less affected by erosion than scoria cones.
- gravity instability during frequent eruptions.
- vegetation which can retard erosion; and a very influential parameter added by Favalli et al. [45] concerning the modification of Hco/Wco by the burial of lava, which gives important differences.
6. Conclusions
Author Contributions
Funding
Institutional Review Board Statement
Informed Consent Statement
Data Availability Statement
Acknowledgments
Conflicts of Interest
References
- Németh, K.; Kereszturi, G. Monogenetic volcanism: Personal views and discussion. Int. J. Earth Sci. 2015, 104, 2131–2146. [Google Scholar] [CrossRef]
- Wood, C.A. Morphometric analysis of cinder-cone degradation. J. Volcanol. Geotherm. Res. 1980, 8, 137–160. [Google Scholar] [CrossRef]
- Connor, C.B.; Conway, F.M. Basaltic volcanic fields. In Encyclopedia of Volcanoes; Sigurdsson, H., Ed.; Academic Press: San Diego, CA, USA, 2000; pp. 331–343. [Google Scholar]
- Chorowicz, J. The East African rift system. J. Afr. Earth Sci. 2005, 43, 379–410. [Google Scholar] [CrossRef]
- Rapprich, V.; Cajz, V.; Kostak, M.; Pecskay, Z.; Ridkosil, T.; Raska, P.; Radon, M. Reconstruction of eroded monogenic Strombolian cones of Miocene age: A case study on character of volcanic activity of the Jicin Volcanic Field (NE Bohemia) and subsequent erosional rates estimation. J. GEOSCI 2007, 52, 169–180. [Google Scholar] [CrossRef]
- Valentine, G.A.; Gregg, T.K.P. Continental basaltic volcanoes—Processes and problems. J. Volcanol. Geotherm. Res. 2008, 177, 857–873. [Google Scholar] [CrossRef]
- Németh, K.; Casadevall, T.; Moufti, M.R.; Marti, J. Volcanic Geoheritage. Geoheritage 2017, 9, 251–254. [Google Scholar] [CrossRef]
- Baadi, K.; Amine, A.; Zangmo Tefogoum, G.; Sabaoui, A.; Tekiout, B. Volcanic geosites assessment in the Plio-Quaternary Azrou-Timahdite Plateau (Middle Atlas, Morocco). J. Afr. Earth Sci. 2021, 184, 104352. [Google Scholar] [CrossRef]
- Zangmo, G.T.; Kagou, A.D.; Nkouathio, D.G.; Gountie, M.D.; Kamgang, P. The Volcanic Geoheritage of the Mount Bamenda Calderas (Cameroon Line): Assessment for Geotouristic and Geoeducational Purposes. Geoheritage 2017, 9, 255–278. [Google Scholar] [CrossRef]
- Erfurt-Cooper, P. (Ed.) Volcanic Tourist Destinations; Springer: Berlin/Heidelberg, Germany, 2014; p. 384. [Google Scholar]
- Erfurt-Cooper, P. Geotourism in volcanic and geothermal environments: Playing with fire? Geoheritage 2011, 3, 187–193. [Google Scholar] [CrossRef]
- Joyce, B. Volcano tourism in the new Kanawinka Global Geopark of Victoria and SE South Australia. In Volcano and Geothermal Tourism, Sustainable Geo-Resources for Leisure and Recreation; Erfurt-Cooper, P., Cooper, M., Eds.; Earthscan: London, UK, 2010; pp. 302–311. [Google Scholar]
- Ertekin, C.; Ekinci, Y.L.; Buyuksarac, A.; Ekinci, R. Geoheritage in a Mythical and Volcanic Terrain: An Inventory and Assessment Study for Geopark and Geotourism, Nemrut Volcano (Bitlis, Eastern Turkey). Geoheritage 2021, 13, 73. [Google Scholar] [CrossRef]
- Guilbaud, M.-N.; del Pilar Ortega-Larrocea, M.; Cram, S.; de Vries, B.v.W. Xitle Volcano Geoheritage, Mexico City: Raising Awareness of Natural Hazards and Environmental Sustainability in Active Volcanic Areas. Geoheritage 2021, 13, 6. [Google Scholar] [CrossRef]
- Galas, A.; Paulo, A.; Gaidzik, K.; Zavala, B.; Kalicki, T.; Churata, D.; Galas, S.; Marino, J. Geosites and Geotouristic Attractions Proposed for the Project Geopark Colca and Volcanoes of Andagua, Peru. Geoheritage 2018, 10, 707–729. [Google Scholar] [CrossRef]
- Migon, P.; Pijet-Migon, E. Overlooked geomorphological component of volcanic geoheritage-diversity and perspectives for tourism industry, Pogrze Kaczawskie Region, SW Poland. Geoheritage 2016, 8, 333–350. [Google Scholar] [CrossRef]
- Rapprich, V.; Lisec, M.; Fiferna, P.; Zavada, P. Application of Modern Technologies in Popularization of the Czech Volcanic Geoheritage. Geoheritage 2017, 9, 413–420. [Google Scholar] [CrossRef]
- Khalaf, E.; Wahed, M.A.; Maged, A.; Mokhtar, H. Volcanic Geosites and Their Geoheritage Values Preserved in Monogenetic Neogene Volcanic Field, Bahariya Depression, Western Desert, Egypt: Implication for Climatic Change-Controlling Volcanic Eruption. Geoheritage 2019, 11, 855–873. [Google Scholar] [CrossRef]
- Kil, Y.; Ahn, K.S.; Woo, K.S.; Lee, K.C.; Jwa, Y.-J.; Jung, W.; Sohn, Y.K. Geoheritage Values of the Quaternary Hantangang River Volcanic Field in the Central Korean Peninsula. Geoheritage 2019, 11, 765–782. [Google Scholar] [CrossRef]
- El Azzouzi, M.; Maury, R.C.; Bellon, H.; Youbi, N.; Cotten, J.; Kharbouch, F. Petrology and K-Ar chronology of the Neogene-Quaternary Middle Atlas basaltic province, Morocco. Bulletin Société Géologique France 2010, 181, 243–257. [Google Scholar] [CrossRef]
- Blache, J. Termier (Henri).—Etudes géologiques sur le Maroc central et le Moyen-Atlas septentrional. Revue Géographie Alpine 1937, 25, 525–529. [Google Scholar]
- Moukadiri, A.; Kornprobst, J. Garnet and/or Spinel Bearing Pyroxenites in Alkali Basalts Near Azrou (Middle Atlas, Morocco): Mantle Derived Alumina-Rich Xenoliths Related to the “Ariegite-Grospydite” Trend; Elsevier: Amsterdam, The Netherlands, 1984. [Google Scholar]
- Harmand, C.; Moukadiri, A. Synchronisme entre tectonique compressive et volcanisme alcalin; exemple de la province quaternaire du Moyen Atlas (Maroc). Bulletin Société Géologique France 1986, II, 595–603. [Google Scholar] [CrossRef]
- Moukadiri, A.; Pin, C. Géochimie/Geochemistry Géomatériaux / Geomaterials Géochimie (éléments majeurs et terres rares) des granulites méta-sédimentaires en xénolithes dans les basaltes alcalins quaternaires du Moyen Atlas (Maroc): Arguments en faveur de la nature pour partie restitique de la croûte inférieure. Comptes Rendus de l’Académie des Sciences—Series IIA—Earth and Planetary Science 1998, 327, 589–595. [Google Scholar] [CrossRef]
- Natali, C.; Beccaluva, L.; Bianchini, G.; Ellam, R.M.; Siena, F.; Stuart, F.M. Carbonated alkali-silicate metasomatism in the North Africa lithosphere: Evidence from Middle Atlas spinel-lherzolites, Morocco. J. South Am. Earth Sci. 2013, 41, 113–121. [Google Scholar] [CrossRef]
- El Messbahi, H.; Bodinier, J.-L.; Vauchez, A.; Dautria, J.-M.; Ouali, H.; Garrido, C.J. Short wavelength lateral variability of lithospheric mantle beneath the Middle Atlas (Morocco) as recorded by mantle xenoliths. Tectonophysics 2015, 650, 34–52. [Google Scholar] [CrossRef]
- Chanouan, L.; Ikenne, M.; Gahlan, H.A.; Arai, S.; Youbi, N. Petrological characteristics of mantle xenoliths from the Azrou-Timahdite quaternary basalts, middle atlas, Morocco: A mineral chemistry perspective. J. Afr. Earth Sci. 2017, 127, 235–252. [Google Scholar] [CrossRef]
- Bosch, D.; Maury, R.C.; El Azzouzi, M.h.; Bollinger, C.; Bellon, H.; Verdoux, P. Lithospheric origin for Neogene–Quaternary Middle Atlas lavas (Morocco): Clues from trace elements and Sr–Nd–Pb–Hf isotopes. Lithos 2014, 205, 247–265. [Google Scholar] [CrossRef]
- Lakroud, K.; Remmal, T.; El Amrani, I.; Mountaj, S.; El Kamel, F.; Van Wyk de Vries, B.; Boivin, P.; Balcone-Boissard, H.; Makhoukhi, S.; Soufi, M. Monogenetic Strombolian Activity at Aguelmane Sidi Ali Volcano (Middle Atlas Volcanic Province, Morocco). Geogr. Bull. 2019, 60, 109–125. [Google Scholar]
- Benamrane, M.; Jadid, M.; Dahmani, H.; Talbi, F. The eruptive history of the Timahdite monogeneteic Quaternary volcano (Middle Atlas, Morocco). Quaternaire 2020, 31, 309–326. [Google Scholar] [CrossRef]
- Amine, A.; Hassani, I.-E.E.A.E.; Remmal, T.; Kamel, F.E.; Vries, B.V.W.D.; Boivin, P. Geomorphological Classification and Landforms Inventory of the Middle-Atlas Volcanic Province (Morocco): Scientific Value and Educational Potential. Quaest. Geogr. 2019, 38, 107–129. [Google Scholar] [CrossRef]
- Mountaj, S.; Mhiyaoui, H.; Remmal, T.; Makhoukhi, S.; Kamel, F.E. Study of Monogenic Volcanism in a Karstic System: Case of the Maar of Lechmine n’Aït el Haj (Middle Atlas, Morocco). In Updates in Volcanology—Transdisciplinary Nature of Volcano Science; Németh, K., Ed.; IntechOpen: Rijeka, London, UK, 2020; pp. 1–24. [Google Scholar] [CrossRef]
- Mountaj, S.; Remmal, T.; El Amrani, I.E.E.; Makhoukhi, S.; Lakroud, K.; de Vries, B.V. Phreatomagmatic plioquaternary volcanism in the Middle Atlas: Analysis of the eruptive sequence of the Lechmine n’Ait El Haj maar. Arab. J. Geosci. 2020, 13, 559. [Google Scholar] [CrossRef]
- Mountaj, S.; Toufik, R.; Lakroud, K.; Boivin, P.; el Amrani, I.-e.E.H.; El Kamel, F.; Makhoukhi, S.; Jounaid, H.; Amraoui, F.; Soufi, M. The Volcanic Field of the Middle Atlas Causse: Highlights and Heritage Appropriation. Geogr. Bull. 2019, 60, 127–147. [Google Scholar]
- Scott, D.H.; Trask, N.J. Geology of the Lunar Crater volcanic field, Nye County, Nevada. U.S. Geol. Surv. Prof. Paper 1971, 599-I, 1–22. [Google Scholar]
- Settle, M. Structure and Emplacement of Cinder Cone Fields. Am. J. Sci. 1979, 279, 1089–1107. [Google Scholar] [CrossRef]
- Hooper, D.M.; Sheridan, M.F. Computer-simulation models of scoria cone degradation. J. Volcanol. Geotherm. Res. 1998, 83, 241–267. [Google Scholar] [CrossRef]
- Inbar, M.; Risso, C. A morphological and morphometric analysis of a high density cinder cone volcanic field—Payun Matru, south-central Andes, Argentina. Zeitschrift für Geomorphologie 2001, 45, 321–343. [Google Scholar] [CrossRef]
- Grosse, P.; de Vries, B.V.; Euillades, P.A.; Kervyn, M.; Petrinovic, I.A. Systematic morphometric characterization of volcanic edifices using digital elevation models. Geomorphology 2012, 136, 114–131. [Google Scholar] [CrossRef]
- Bemis, K.; Walker, J.; Borgia, A.; Turrin, B.; Neri, M.; Swisher, C., III. The growth and erosion of cinder cones in Guatemala and El Salvador; models and statistics. J. Volcanol. Geotherm. Res. 2011, 201, 39–52. [Google Scholar] [CrossRef]
- Kereszturi, G.; Németh, K. Post-eruptive sediment transport and surface processes on unvegetated volcanic hillslopes—A case study of Black Tank scoria cone, Cima Volcanic Field, California. Geomorphology 2016, 267, 59–75. [Google Scholar] [CrossRef]
- Tibaldi, A. Morphology of pyroclastic cones and tectonics. J. Geophys. Res. -Solid Earth 1995, 100, 24521–24535. [Google Scholar] [CrossRef]
- Fornaciai, A.; Favalli, M.; Karatson, D.; Tarquini, S.; Boschi, E. Morphometry of scoria cones, and their relation to geodynamic setting; a DEM-based analysis. J. Volcanol. Geotherm. Res. 2012, 217–218, 56–72. [Google Scholar] [CrossRef]
- Uslular, G.; Le Corvec, N.; Mazzarini, F.; Legrand, D.; Gencalioglu-Kuscu, G. Morphological and multivariate statistical analysis of quaternary monogenetic vents in the Central Anatolian Volcanic Province (Turkey): Implications for the volcano-tectonic evolution. J. Volcanol. Geotherm. Res. 2021, 416, 107280. [Google Scholar] [CrossRef]
- Favalli, M.; Karatson, D.; Mazzarini, F.; Pareschi, M.T.; Boschi, E. Morphometry of scoria cones located on a volcano flank: A case study from Mt. Etna (Italy), based on high-resolution LiDAR data. J. Volcanol. Geotherm. Res. 2009, 186, 320–330. [Google Scholar] [CrossRef]
- Bemis, K.; Ferencz, M. Morphometric analysis of scoria cones: The potential for inferring process from shape. In Monogenetic Volcanism; Németh, K., Carrasco-Nuñez, G., Aranda-Gomez, J.J., Smith, I.E.M., Eds.; The Geological Society Publishing House: Bath, UK, 2017; Volume 446. [Google Scholar]
- Kereszturi, G.; Jordan, G.; Németh, K.; Doniz-Paez, J.F. Syn-eruptive morphometric variability of monogenetic scoria cones. Bull. Volcanol. 2012, 74, 2171–2185. [Google Scholar] [CrossRef]
- Kereszturi, G.; Németh, K. Structural and morphometric irregularities of eroded Pliocene scoria cones at the Bakony-Balaton Highland Volcanic Field, Hungary. Geomorphology 2012, 136, 45–58. [Google Scholar] [CrossRef]
- Doniz, J.; Romero, C.; Coello, E.; Guillen, C.; Sanchez, N.; Garcia-Cacho, L.; Garcia, A. Morphological and statistical characterisation of recent mafic volcanism on Tenerife (Canary Islands, Spain). J. Volcanol. Geotherm. Res. 2008, 173, 185–195. [Google Scholar] [CrossRef]
- Baez, W.; Carrasco-Nunez, G.; Giordano, G.; Viramonte, J.G.; Chiodi, A. Polycyclic scoria cones of the Antofagasta de la Sierra Basin, southern Puna plateau, Argentina. Spec. Publ. Geol. Soc. Lond. 2016, 446, 311. [Google Scholar] [CrossRef]
- Nakamura, K. Volcanoes as possible indicators of tectonic stress orientation- principal and proposal. J. Volcanol. Geotherm. Res. 1977, 2, 1–16. [Google Scholar] [CrossRef]
- Corazzato, C.; Tibaldi, A. Fracture control on type, morphology and distribution of parasitic volcanic cones: An example from Mt. Etna, Italy. J. Volcanol. Geotherm. Res. 2006, 158, 177–194. [Google Scholar] [CrossRef]
- Marliyani, G.I.; Helmi, H.; Arrowsmith, J.R.; Clarke, A. Volcano morphology as an indicator of stress orientation in the Java Volcanic Arc, Indonesia. J. Volcanol. Geotherm. Res. 2020, 400, 106912. [Google Scholar] [CrossRef]
- Missenard, Y.; Zeyen, H.; Frizon de Lamotte, D.; Leturmy, P.; Petit, C.; Sébrier, M.; Saddiqi, O. Crustal versus asthenospheric origin of relief of the Atlas Mountains of Morocco. J. Geophys. Res. Solid Earth 2006, 111. [Google Scholar] [CrossRef]
- de Lamotte, D.F.; Leturmy, P.; Missenard, Y.; Khomsi, S.; Ruiz, G.; Saddiqi, O.; Guillocheau, F.; Michard, A. Mesozoic and Cenozoic vertical movements in the Atlas system (Algeria, Morocco, Tunisia): An overview. Tectonophysics 2009, 475, 9–28. [Google Scholar] [CrossRef]
- Fedan, B. Evolution Géodynamique d’un Bassin Intra-Plaque Sur Décrochement: Le Moyen Atlas Durant Le Méso-Cénozoïque. Trav. Inst. Sci. Rabat. 1988, 18, 142. [Google Scholar]
- Froitzheim, N.; Stets, J.; Wurster, P. Aspects of Western High Atlas Tectonics. In The Atlas System of Morocco; Jacobshagen, V.H., Ed.; Springer-Verlag: Berlin/Heidelberg, Germany, 1988; Volume Lecture Notes in Earth Sciences, pp. 219–244. [Google Scholar]
- Choubert, G.; Marcais, J. Aperçu Structural in Géologie Du Maroc; XIXéme Congés Géol. Inten.: Alger, Algiers, 1952; Volume 3ème série, pp. 9–73. [Google Scholar]
- Charriere, A. Evolution neogene de bassins continentaux et marins dans le Moyen Atlas central (Maroc). Bulletin Société Géologique France 1984, S7-XXVI, 1127–1136. [Google Scholar] [CrossRef]
- Choubert, G. Carte Géologique Du Maroc Au 1/500 000, Feuille de Rabat. Notes Mém. Serv. Géol. Maroc 1956, 70. [Google Scholar]
- Hollard, H.; Choubert, G.; Bronner, G.; Marchand, J.; Sougy, J. Carte Géologique Du Maroc, Scale 1: 1,000,000. Serv. Carte géol. Maroc 1985, 260. [Google Scholar]
- Amraoui, F. Contribution à La Reconnaissance Des Aquifères Karstique, Cas Du Lias de La Plaine de Sais et Du Causse Moyen Atlasique Tabulaire (Maroc); Hassan ii Ain Chock University: Casablanca, Morocco, 2005. [Google Scholar]
- Herbig, H.-G. Synsedimentary Tectonics in the Northern Middle Atlas (Morocco) during the Late Cretaceous and Tertiary. In The Atlas System of Morocco; Jacobshagen, V.H., Ed.; Springer: Berlin/Heidelberg, Germany, 1988; Volume 15, pp. 321–337. [Google Scholar]
- Charrière, A. Héritage Hercynien et Évolution Géodynamique Alpine d’une Chaine Intracontinentale: Le Moyen-Atlas Au Sud-Est de Fes (Maroc). 1990. Available online: https://www.theses.fr/1990TOU30053 (accessed on 22 October 2022).
- Ait Brahim, L.; Chotin, P.; Hinaj, S.; Abdelouafi, A.; El Adraoui, A.; Nakcha, C.; Dhont, D.; Charroud, M.; Sossey Alaoui, F.; Amrhar, M.; et al. Paleostress evolution in the Moroccan African margin from Triassic to Present. Tectonophysics 2002, 357, 187–205. [Google Scholar] [CrossRef]
- Morel, J.L.; Zouine, M.; Poisson, A. Relations entre la subsidence des bassins moulouyens et la creation des reliefs atlasiques (Maroc); un exemple d’inversion tectonique depuis le Neogene. Bulletin Société Géologique France 1993, 164, 79–91. [Google Scholar]
- Petit, J.P.; Raynaud, S.; Cautru, J.P. Microtectonique cassante lors du plissement d’un conglomerat (Mio-Pliocene du Haut Atlas; Maroc). Bulletin Société Géologique France 1985, I, 415–421. [Google Scholar] [CrossRef]
- Chardon, M. Martin (J.)—Le Moyen Atlas Central. Etude géomorphologique. Revue Géographie Alpine 1982, 70, 444. [Google Scholar]
- Lowell, J.D. Mechanics of basin inversion from worldwide examples. Geol. Soc. Lond. Spec. Publ. 1995, 88, 39–57. [Google Scholar] [CrossRef]
- Outtani, F.; Addoum, B.; Mercier, E.; de Lamotte, D.F.; Andrieux, J. Geometry and kinematics of the South Atlas Front, Algeria and Tunisia. Tectonophysics 1995, 249, 233–248. [Google Scholar] [CrossRef]
- Thomas, G.; Fedan, B. Découverte de dépôts néogènes déformés par l’accident nord-moyen atlasique (Maroc). Implications sur son activité mio-plio-quaternaire au Nord de Boulemane. Géologie Méditerranéenne 1985, 12, 151–154. [Google Scholar]
- Ayarza, P.; Alvarez-Lobato, F.; Teixell, A.; Arboleya, M.L.; Tesón, E.; Julivert, M.; Charroud, M. Crustal structure under the central High Atlas Mountains (Morocco) from geological and gravity data. Tectonophysics 2005, 400, 67–84. [Google Scholar] [CrossRef]
- Teixell, A.; Ayarza, P.; Zeyen, H.; Fernàndez, M.; Arboleya, M.-L. Effects of mantle upwelling in a compressional setting: The Atlas Mountains of Morocco. Terra Nova 2005, 17, 456–461. [Google Scholar] [CrossRef]
- Fullea, J.; Fernàndez, M.; Afonso, J.C.; Vergés, J.; Zeyen, H. The structure and evolution of the lithosphere–asthenosphere boundary beneath the Atlantic–Mediterranean Transition Region. Lithos 2010, 120, 74–95. [Google Scholar] [CrossRef]
- Bezada, M.J.; Humphreys, E.D.; Davila, J.M.; Carbonell, R.; Harnafi, M.; Palomeras, I.; Levander, A. Piecewise delamination of Moroccan lithosphere from beneath the Atlas Mountains. Geochem. Geophys. Geosyst. 2014, 15, 975–985. [Google Scholar] [CrossRef]
- Miller, M.S.; Becker, T.W. Reactivated lithospheric-scale discontinuities localize dynamic uplift of the Moroccan Atlas Mountains. Geology 2014, 42, 35–38. [Google Scholar] [CrossRef]
- Palomeras, I.; Thurner, S.; Levander, A.; Liu, K.; Villasenor, A.; Carbonell, R.; Harnafi, M. Finite-frequency Rayleigh wave tomography of the western Mediterranean: Mapping its lithospheric structure. Geochem. Geophys. Geosyst. 2014, 15, 140–160. [Google Scholar] [CrossRef]
- Duggen, S.; Hoernle, K.A.; Hauff, F.; Klügel, A.; Bouabdellah, M.; Thirlwall, M.F. Flow of Canary mantle plume material through a subcontinental lithospheric corridor beneath Africa to the Mediterranean. Geology 2009, 37, 283–286. [Google Scholar] [CrossRef]
- Missenard, Y.; Cadoux, A. Can Moroccan Atlas lithospheric thinning and volcanism be induced by Edge-Driven Convection? Terra Nova 2012, 24, 27–33. [Google Scholar] [CrossRef]
- Fullea Urchulutegui, J.; Fernàndez, M.; Zeyen, H. Lithospheric structure in the Atlantic–Mediterranean transition zone (southern Spain, northern Morocco): A simple approach from regional elevation and geoid data. Comptes Rendus Geosci. 2006, 338, 140–151. [Google Scholar] [CrossRef]
- Termier, H.; Termier, G.; Jouravsky, G. Une Roche Volcanique à Gros Grain de La Famille Des Ijolites: La Talzastite. Notes du Service Géologique du Maroc 1948, 1, 81–120. [Google Scholar]
- Harmand, C.; Cantagrel, J.M. Le volcanisme alcalin tertiaire et quaternaire du moyen atlas (Maroc): Chronologie K/Ar et cadre géodynamique. J. Afr. Earth Sci. 1984, 2, 51–55. [Google Scholar] [CrossRef]
- Doniz-Paez, J.; Romero-Ruiz, C.; Sanchez, N. Quantitative size classification of scoria cones: The case of Tenerife (Canary Islands, Spain). Phys. Geogr. 2012, 33, 514–535. [Google Scholar] [CrossRef]
- Hasenaka, T.; Carmichael, I.S.E. A compilation of location, size, and geomorphological parameters of volcanoes of the Michoacan-Guanajuato volcanic field, central Mexico. Geofis. Int. 1985, 24, 577–608. [Google Scholar] [CrossRef]
- Graettinger, A.H. Trends in maar crater size and shape using the global Maar Volcano Location and Shape (MaarVLS) database. J. Volcanol. Geotherm. Res. 2018, 357, 1–13. [Google Scholar] [CrossRef]
- Paulsen, T.S.; Wilson, T.J. New criteria for systematic mapping and reliability assessment of monogenetic volcanic vent alignments and elongate volcanic vents for crustal stress analyses. Tectonophysics 2010, 482, 16–28. [Google Scholar] [CrossRef]
- Nichols, C.; Graettinger, A. The influence of regional stress and structural control on the shape of maar craters. Volcanica 2021, 4, 23–39. [Google Scholar] [CrossRef]
- Moufti, M.R.; Németh, K.; Murcia, H.; Lindsay, J.M.; El-Masry, N. Geosite of a steep lava spatter cone of the 1256 AD, Al Madinah eruption, Kingdom of Saudi Arabia. Cent. Eur. J. Geosci. 2013, 5, 189–195. [Google Scholar] [CrossRef]
- Seib, N.; Kley, J.; Buchel, G. Identification of maars and similar volcanic landforms in the West Eifel Volcanic Field through image processing of DTM data: Efficiency of different methods depending on preservation state. Int. J. Earth Sci. 2013, 102, 875–901. [Google Scholar] [CrossRef]
- Németh, B.; Németh, K.; Procter, J.N. Visitation Rate Analysis of Geoheritage Features from Earth Science Education Perspective Using Automated Landform Classification and Crowdsourcing: A Geoeducation Capacity Map of the Auckland Volcanic Field, New Zealand. Geosciences 2021, 11, 480. [Google Scholar] [CrossRef]
- Porter, S.C. Distribution, morphology, and size frequency of cinder cones on Mauna Kea Volcano, Hawaii. Geol. Soc. Am. Bull. 1972, 83, 3613–3626. [Google Scholar] [CrossRef]
- Sato, H.; Taniguchi, H. Relationship between crater size and ejecta volume of recent magmatic and phreato-magmatic eruptions: Implications for energy partitioning. Geophys. Res. Lett. 1997, 24, 205–208. [Google Scholar] [CrossRef]
- Gevrek, A.I.; Kazanci, N. A Pleistocene, pyroclastic-poor maar from central Anatolia, Turkey: Influence of a local fault on a phreatomagmatic eruption. J. Volcanol. Geotherm. Res. 2000, 95, 309–317. [Google Scholar] [CrossRef]
- Sheridan, M.F.; Wohletz, K.H. Hydrovolcanism—Basic considerations and review. J. Volcanol. Geotherm. Res. 1983, 17, 1–29. [Google Scholar] [CrossRef]
- Morrissey, M.M.; Zimanowski, B.; Wohletz, K.; Büttner, R. Phreatomagmatic fragmentation. In Encyclopedia of Volcanoes; Sigurdsson, H., Houghton, B.F., McNutt, S.R., Rymer, H., Stix, J., Eds.; Academic Press: New York, NY, USA, 2000; pp. 431–446. [Google Scholar]
- White, J.D.L.; Valentine, G.A. Magmatic versus phreatomagmatic fragmentation: Absence of evidence is not evidence of absence. Geosphere 2016, 12, 1478–1488. [Google Scholar] [CrossRef]
- Németh, K.; Kosik, S. Review of Explosive Hydrovolcanism. Geosciences 2020, 10, 44. [Google Scholar] [CrossRef]
- Buchanan, D.J.; Dullforce, T.A. Mechanism for Vapour Explosions. Nature 1973, 245, 32–34. [Google Scholar] [CrossRef]
- Lorenz, V. On the growth of maars and diatremes and its relevance to the formation of tuff rings. Bull. Volcanol. 1986, 48, 265–274. [Google Scholar] [CrossRef]
- Buttner, R.; Dellino, P.; La Volpe, L.; Lorenz, V.; Zimanowski, B. Thermohydraulic explosions in phreatomagmatic eruptions as evidenced by the comparison between pyroclasts and products from Molten Fuel Coolant Interaction experiments. J. Geophys. Res. -Solid Earth 2002, 107, ECV-5. [Google Scholar] [CrossRef]
- Head III, J.W.; Wilson, L. Lava fountain heights at Pu’u’O’o, Kilauea, Hawaii: Indicators of amount and variations of exsolved magma volatiles. J. Geophys. Res. Solid Earth 1987, 92, 13715–13719. [Google Scholar] [CrossRef]
- Head, J.W.; Wilson, L. Basaltic pyroclastic eruptions: Influence of gas release patterns and volume fluxes on fountain structure, and the formation of cinder cones, spatter cones, rootless flows, lava ponds and lava flows. J. Volcanol. Geotherm. Res. 1989, 37, 261–271. [Google Scholar] [CrossRef]
- Duraiswami, R.A.; Gadpallu, P.; Shaikh, T.N.; Cardin, N. Pahoehoe–a′a transitions in the lava flow fields of the western Deccan Traps, India-implications for emplacement dynamics, flood basalt architecture and volcanic stratigraphy. J. Asian Earth Sci. 2014, 84, 146–166. [Google Scholar] [CrossRef]
- Kilburn, C.R.J. Pahoehoe and aa lavas: A discussion and continuation of the model of Peterson and Tilling. J. Volcanol. Geotherm. Res. 1981, 11, 373–382. [Google Scholar] [CrossRef]
- Walker, G.P.L. Volcanic rift zones and their intrusion swarms. J. Volcanol. Geotherm. Res. 1999, 94, 21–34. [Google Scholar] [CrossRef]
- Peterson, D.W.; Tilling, R.I. Transition of basaltic lava from pahoehoe to aa, Kilauea Volcano, Hawaii: Field observations and key factors. J. Volcanol. Geotherm. Res. 1980, 7, 271–293. [Google Scholar] [CrossRef]
- Detay, M.; Hróarsson, B. Mise en place des pāhoehoe par tubes et tunnels de lave: Concept et signatures volcano-géomorphologiques. Géomorphologie Relief Process Environ. 2018, 24, 365–388. [Google Scholar] [CrossRef]
- Kauahikaua, J.P.; Sherrod, D.R.; Cashman, K.V. Hawaiian lava-flow dynamics during the Pu’u O’o-Kupainaha eruption: A tale of two decades. In The Pu’u O’o-Kupaianaha Eruption of Kilauea Volcano, Hawai’i: The first 20 years; Heliker, C., Swanson, D.A., Takahashi, T.J., Eds.; US Geological Survey: Boulder, Co, USA, 2003; Volume US Geological Survey, pp. 63–88. [Google Scholar] [CrossRef]
- Valentine, G.A. Shallow plumbing systems for small-volume basaltic volcanoes, 2: Evidence from crustal xenoliths at scoria cones and maars. J. Volcanol. Geotherm. Res. 2012, 223, 47–63. [Google Scholar] [CrossRef]
- Valentine, G.A.; White, J.D.L. Revised conceptual model for maar-diatremes; subsurface processes, energetics, and eruptive products. Geology 2012, 40, 1111–1114. [Google Scholar] [CrossRef]
- Lorenz, V. Maar-diatreme volcanoes, their formation, and their setting in hard-rock or soft-rock environments. Geolines J. Geol. Inst. AS Czech Repub. 2003, 15, 72–83. [Google Scholar]
- Auer, A.; Martin, U.; Németh, K. The Fekete-hegy (Balaton Highland Hungary) "soft-substrate" and "hard-substrate" maar volcanoes in an aligned volcanic complex—Implications for vent geometry, subsurface stratigraphy and the palaeoenvironmental setting. J. Volcanol. Geotherm. Res. 2007, 159, 225–245. [Google Scholar] [CrossRef]
- White, J.D.L. Impure coolants and interaction dynamics of phreatomagmatic eruptions. J. Volcanol. Geotherm. Res. 1996, 65, 155–170. [Google Scholar] [CrossRef]
- Németh, K.; Martin, U.; Harangi, S. Miocene phreatomagmatic volcanism at Tihany (Pannonian Basin, Hungary). J. Volcanol. Geotherm. Res. 2001, 111, 111–135. [Google Scholar] [CrossRef]
- Kervyn, M.; Ernst, G.G.J.; Carracedo, J.C.; Jacobs, P. Geomorphometric variability of "monogenetic" volcanic cones: Evidence from Mauna Kea, Lanzarote and experimental cones. Geomorphology 2012, 136, 59–75. [Google Scholar] [CrossRef]
- Wood, C.A. Morphometric evolution of cinder cones. J. Volcanol. Geotherm. Res. 1980, 7, 387–413. [Google Scholar] [CrossRef]
- Lamb, H.F.; Damblon, F.; Maxted, R.W. Human Impact on the Vegetation of the Middle Atlas, Morocco, During the Last 5000 Years. J. Biogeogr. 1991, 18, 519–532. [Google Scholar] [CrossRef]
- Nahid, A. Le Quaternaire Continental Marocain. In Tome 1: Six Décennies d’évolution Des Idées Sur Les Méthodes et Concepts En Chronostratigraphie Du Quaternaire Continental Marocain: Entre Les Difficultés Incertitudes Progrès; Marrakech, Morocco, 2001; pp. 1–179. ISBN 322-2001. Available online: http://tierra.rediris.es/CuaternarioyGeomorfologia/images/vol15/Cuaternario15(1-2)_11.pdf? (accessed on 22 October 2022).
- Lenhardt, N.; Borah, S.B.; Lenhardt, S.Z.; Bumby, A.J.; Ibinoof, M.A.; Salih, S.A. The monogenetic Bayuda Volcanic Field, Sudan—New insights into geology and volcanic morphology. J. Volcanol. Geotherm. Res. 2018, 356, 211–224. [Google Scholar] [CrossRef]
- van Wyk de Vries, B.; Matela, R. Styles of volcano-induced deformation: Numerical models of substratum flexure, spreading and extrusion. J. Volcanol. Geotherm. Res. 1998, 81, 1–18. [Google Scholar] [CrossRef]
- Acocella, V.; Neri, M. Dike propagation in volcanic edifices: Overview and possible developments. Tectonophysics 2009, 471, 67–77. [Google Scholar] [CrossRef]
- Carn, S.A. The Lamongan volcanic field, East Java, Indonesia: Physical volcanology, historic activity and hazards. J. Volcanol. Geotherm. Res. 2000, 95, 81–108. [Google Scholar] [CrossRef]
- Lutz, T.; Gutmann, J. An improved method for determining and characterizing alignments of pointlike features and its implications for the Pinacate volcanic field, Sonora, Mexico. J. Geophys. Res. Solid Earth 1995, 100, 17659–17670. [Google Scholar] [CrossRef]
- Le Corvec, N.; Spoerli, K.B.; Rowland, J.; Lindsay, J. Spatial distribution and alignments of volcanic centers: Clues to the formation of monogenetic volcanic fields. Earth Sci. Rev. 2013, 124, 96–114. [Google Scholar] [CrossRef]
- Ort, M.H.; Carrasco-Nunez, G. Lateral vent migration during phreatomagmatic and magmatic eruptions at Tecuitlapa Maar, east-central Mexico. J. Volcanol. Geotherm. Res. 2009, 181, 67–77. [Google Scholar] [CrossRef]
- Cas, R.; Wright, J. Volcanic successions, modern and ancient; Allen and Unwin: London, UK, 1987; p. 528. [Google Scholar]
- Sato, H. Textural Difference between Pahoehoe and Aa Lavas of Izu-Oshima Volcano, Japan—An Experimental-Study on Population-Density of Plagioclase. J. Volcanol. Geotherm. Res. 1995, 66, 101–113. [Google Scholar] [CrossRef]
- Polacci, M.; Corsaro, R.A.; Andronico, D. Coupled textural and compositional characterization of basaltic scoria: Insights into the transition from Strombolian to fire fountain activity at Mount Etna, Italy. Geology 2006, 34, 201–204. [Google Scholar] [CrossRef]
- Murcia, H.; Németh, K.; Lindsay, J.; Moufti, M.R.; El-Masry, N.; Cronin, S.J.; Smith, I.E.M. Complex isolated-to-nested pyroclastic cones and cone rafting in the AD 1256 Al-Madinah fissure eruption in the Kingdom of Saudi Arabia. Basalt 2013, 174–175. [Google Scholar]
- Sumner, J.M. Formation of clastogenic lava flows during fissure eruption and scoria cone collapse: The 1986 eruption of Izu-Oshima Volcano, eastern Japan. Bull. Volcanol. 1998, 60, 195–212. [Google Scholar] [CrossRef]
- Maro, G.; Caffe, P.J. Neogene monogenetic volcanism from the northern Puna region; products and eruptive styles. Spec. Publ. Geol. Soc. Lond. 2016, 446, 337–359. [Google Scholar] [CrossRef]














| Genre | Scoria Cones | GPS Coordinate | Hco (m) | Wco (Average) | Wcr (Average) | Hco/Wco | Wcr/Wco | S (°) | AR | EL | IC | V (km3) |
|---|---|---|---|---|---|---|---|---|---|---|---|---|
| Unbreached cone | Hebri | 33°21′35″ N; 5°8′26″ W | 151 | 1545 | 483 | 0.10 | 0.31 | 16 | 0.97 | 0.95 | 0.98 | 0.46 |
| Tahabrite (T 1) | 33°20′37″ N; 5°7′46″ W | 74 | 970 | 533 | 0.08 | 0.55 | 19 | 0.66 | 0.65 | 0.91 | 0.10 | |
| Chmil Assou | 33°16′49″ N; 5°7′22″ W | 25 | 702 | 330 | 0.03 | 0.47 | 7 | 0.57 | 0.60 | 0.82 | 0.02 | |
| Boutagarouine (B 3) | 33°16′43″ N; 5°5′44″ W | 120 | 1260 | 773 | 0.10 | 0.61 | 26 | 0.81 | 0.63 | 0.81 | 0.29 | |
| Boutagarouine (B 4) | 33°17′2″ N; 5°5′14″ W | 105 | 928 | 448 | 0.11 | 0.48 | 24 | 0.90 | 0.89 | 0.98 | 0.13 | |
| Boutagarouine (B 5) | 33°17′17″ N; 5°5′37″ W | 69 | 970 | 650 | 0.07 | 0.67 | 23 | 0.86 | 0.66 | 0.82 | 0.12 | |
| Boutagarouine (B 6) | 33°17′11″ N; 5°4′54 ″ W | 23 | 620 | 298 | 0.04 | 0.48 | 8 | 0.72 | 0.71 | 0.93 | 0.01 | |
| Tabourit | 33°10′51″ N; 5°15′6″ W | 93 | 1140 | 268 | 0.08 | 0.23 | 12 | 0.84 | 0.82 | 0.94 | 0.16 | |
| El koudiat (K 1) | 33°31′53″ N; 5°9′19″ W | 59 | 598 | 295 | 0.10 | 0.49 | 21 | 0.82 | 0.53 | 0.83 | 0.04 | |
| Rabouba | 33°14′21″ N; 5°7′56″ W | 84 | 558 | 108 | 0.15 | 0.19 | 20 | 0.95 | 0.94 | 0.97 | 0.03 | |
| Mijmouane | 33°23′10″ N; 5°10′3″ W | 48 | 735 | 236 | 0.06 | 0.32 | 11 | 0.29 | 0.34 | 0.54 | 0.03 | |
| Am Larays | 33°1′51″ N; 4°53′24″ W | 138 | 1175 | 363 | 0.12 | 0.31 | 19 | 0.71 | 0.70 | 0.93 | 0.27 | |
| Ouaoussentecht | 33°35′42″ N; 4°40′54″ W | 93 | 1515 | 910 | 0.06 | 0.60 | 17 | 0.77 | 0.69 | 0.92 | 0.34 | |
| Aguelman Sidi Ali | 33°5′7″ N; 4°59′45″ W | 61 | 876 | 235 | 0.07 | 0.27 | 11 | 0.81 | 0.86 | 0.94 | 0.06 | |
| Tichniouine | 33°18′29″ N; 5°5′40″ W | 36 | 445 | 222 | 0.08 | 0.50 | 18 | 0.57 | 0.59 | 0.77 | 0.01 | |
| Masrabe | 33°14′32″ N; 5°2′41″ W | 29 | 430 | 270 | 0.07 | 0.63 | 20 | 0.81 | 0.83 | 0.97 | 0.01 | |
| Habri | 33°23′00″ N; 5°9′23″ W | 91 | 1215 | 622 | 0.07 | 0.51 | 17 | 0.83 | 0.79 | 0.96 | 0.20 | |
| H3 | 33°23′00″ N; 5°9′23″ W | 28 | 661 | 267 | 0.04 | 0.40 | 8 | 0.69 | 0.71 | 0.91 | 0.01 | |
| Chtifat (C 1) | 33°18′42″ N; 5°8′6″ W | 110 | 1470 | 513 | 0.07 | 0.35 | 13 | 0.69 | 0.67 | 0.91 | 0.29 | |
| Chtifat (C 2) | 33°17′45″ N; 5°7′44″ W | 16 | 920 | 533 | 0.02 | 0.58 | 5 | 0.77 | 0.76 | 0.91 | 0.02 | |
| Lachmine Lakbir (LA 1) | 33°11′42″ N; 5°6′42″ W | 51 | 730 | 265 | 0.07 | 0.36 | 12 | 0.98 | 0.86 | 0.97 | 0.04 | |
| Ait Quassou | 33°11′32″ N; 5°4′5″ W | 12 | 515 | 217 | 0.02 | 0.42 | 5 | 0.84 | 0.76 | 0.93 | 0.005 | |
| Breached cone | Lachmine Izyar | 33°15′54″ N; 5°6′39″ W | 105 | 1155 | 727 | 0.09 | 0.63 | 26 | 0.97 | 0.95 | 0.97 | 0.21 |
| Tahabrite (T 2) | 33°20′51″ N; 5°7′37″ W | 75 | 765 | 490 | 0.10 | 0.64 | 28 | 0.75 | 0.67 | 0.94 | 0.07 | |
| Tahabrite (T 3) | 33°20′49″ N; 5°7′14″ W | 19 | 440 | 238 | 0.04 | 0.54 | 10 | 0.86 | 0.81 | 0.95 | 0.01 | |
| Boutjatiout | 33°21′45″ N; 5°6′58″ W | 74 | 863 | 363 | 0.09 | 0.42 | 16 | 0.73 | 0.74 | 0.95 | 0.08 | |
| Boutagarouine (B 2) | 33°16′59″ N; 5°6′25″ W | 23 | 913 | 500 | 0.02 | 0.55 | 6 | 0.69 | 0.75 | 0.93 | 0.03 | |
| Tichout Tazouggaght | 33°20′45″ N; 5°9′39″ W | 67 | 705 | 180 | 0.10 | 0.26 | 14 | 0.89 | 0.84 | 0.96 | 0.04 | |
| Tamarakoit | 33°3′42″ N; 5°3′58″ W | 58 | 468 | 213 | 0.12 | 0.45 | 24 | 0.98 | 0.88 | 0.94 | 0.02 | |
| Tamahrart | 33°30′41″ N; 5°15′9″ W | 53 | 594 | 289 | 0.09 | 0.49 | 19 | 0.70 | 0.64 | 0.93 | 0.03 | |
| Tizi Idguel | 33°23′35″ N; 5°9′33″ W | 70 | 785 | 300 | 0.09 | 0.38 | 16 | 0.89 | 0.88 | 0.96 | 0.06 | |
| Selrhert (S 1) | 33°10′34″ N; 4°59′35″ W | 60 | 728 | 363 | 0.08 | 0.50 | 18 | 0.71 | 0.70 | 0.92 | 0.05 | |
| Selrhert (S 2) | 33°10′50″ N; 4°59′56″ W | 76 | 754 | 339 | 0.10 | 0.45 | 20 | 0.65 | 0.68 | 0.89 | 0.05 | |
| Ta′issaouit (Ta 1) | 33°19′19″ N; 5°5′48″ W | 73 | 883 | 348 | 0.08 | 0.39 | 15 | 0.93 | 0.92 | 0.98 | 0.08 | |
| Ta′issaouit (Ta 2) | 33°19′5″ N; 5°6′49″ W | 52 | 595 | 266 | 0.09 | 0.45 | 17 | 0.79 | 0.74 | 0.96 | 0.02 | |
| Sidi Boundouh | 33°14′11″ N; 5°4′37″ W | 47 | 1109 | 657 | 0.04 | 0.59 | 12 | 0.62 | 0.73 | 0.81 | 0.09 | |
| Timahdite | 33°13′49″ N; 5°4′1″ W | 46 | 457 | 313 | 0.10 | 0.68 | 33 | 0.93 | 0.87 | 0.95 | 0.02 | |
| H1 | 33°22′32″ N; 5°8′47″ W | 74 | 729 | 412 | 0.10 | 0.57 | 25 | 0.51 | 0.60 | 0.83 | 0.06 | |
| H2 | 33°21′50″ N; 5°9′13″ W | 29 | 603 | 285 | 0.05 | 0.47 | 10 | 0.99 | 0.93 | 0.97 | 0.01 | |
| Ich Ouaharrouq (IO 1) | 33°24′7″ N; 5°9′6″ W | 86 | 1099 | 436 | 0.08 | 0.40 | 15 | 0.52 | 0.58 | 0.81 | 0.16 | |
| Ich Ouaharrouq (IO 2) | 33°23′54N; 5°8′6 W | 54 | 892 | 253 | 0.06 | 0.28 | 10 | 0.56 | 0.61 | 0.84 | 0.05 | |
| Chtifat (C 3) | 33°17′51″ N; 5°7′22W | 11 | 514 | 229 | 0.02 | 0.45 | 4 | 0.86 | 0.86 | 0.96 | 0.005 | |
| Sud Izyar | 33°14′42″ N; 5°5′47″ W | 15 | 674 | 443 | 0.02 | 0.66 | 7 | 0.96 | 0.99 | 0.97 | 0.01 | |
| Unclassified volcanoes | Azougouash | 32°58′21″ N; 5°8′29″ W | * | * | * | * | * | * | * | * | * | * |
| Houirt | 33°39′11″ N; 4°36′54″ W | * | * | * | * | * | * | * | * | * | * | |
| Bekrit | 33°3′45″ N; 5°14′25″ W | * | * | * | * | * | * | * | * | * | * | |
| Outgui | 33°38′2″ N; 5°14′53″ W | * | * | * | * | * | * | * | * | * | * | |
| Si Mghid | 33°11′45″ N; 5°15′38″ W | * | * | * | * | * | * | * | * | * | * | |
| Ariana | 33°30′59″ N; 5°14′34″ W | * | * | * | * | * | * | * | * | * | * | |
| Ain Kahla | 33°13′41″ N; 5°13′9″ W | * | * | * | * | * | * | * | * | * | * | |
| Sidi abdel aziz | 33°15′43″ N; 5°3′14″ W | * | * | * | * | * | * | * | * | * | * | |
| Louugnina | 33°0′39″ N; 4°49′56″ W | * | * | * | * | * | * | * | * | * | * | |
| Talsast | 33°13′43″ N; 5°16′54″ W | * | * | * | * | * | * | * | * | * | * | |
| Lachmine N′kettane (LK 1) | 33°22′57″ N; 5°7′32″ W | * | * | * | * | * | * | * | * | * | * | |
| Lachmine Lakbir (LA2) | 33°11′28″ N; 5°6′9″ W | * | * | * | * | * | * | * | * | * | * | |
| Ali ou ahmed (A 1) | 33°13′25″ N; 4°58′13″ W | * | * | * | * | * | * | * | * | * | * | |
| Ali ou ahmed (A 2) | 33°13′25″ N; 4°58′13″ W | * | * | * | * | * | * | * | * | * | * | |
| Ich Ouaharrouq (IO 2) | 33°24′18″ N; 5°8′23″ W | * | * | * | * | * | * | * | * | * | * | |
| Ras Elma | 33°27′4″ N; 5°8′57″ W | * | * | * | * | * | * | * | * | * | * | |
| El koudiat (K 2) | 33°31′2″ N; 5°9′47″ W | * | * | * | * | * | * | * | * | * | * | |
| Regada | 33°31′13″ N; 4°58′0″ W | * | * | * | * | * | * | * | * | * | * | |
| Dayat Yfrah | 33°34′24″ N; 4°56′8″ W | * | * | * | * | * | * | * | * | * | * |
| Maars/Tuff Ring | GPS Coordinate | MTCD (Depth) | MTRH (Hco) | MTCD-MTRH | S (°) | Wco | Wcr | AR | EL | IC | V (km3) |
|---|---|---|---|---|---|---|---|---|---|---|---|
| Lachmine Ouazdem | 33°20′60″ N; 5°6′57″ W | 37 | 50 | −13 | 5 | 923 | 689 | 0.71 | 0.73 | 0.94 | 0.08 |
| Ouest Hebri | 33°21′28″ N; 5°9′22″ W | 65 | 24 | 41 | 20 | 730 | 612 | 0.88 | 0.90 | 0.97 | 0.06 |
| Tit Ougmar | 33°19′22″ N; 5°8′53″ W | 65 | 35 | 30 | 22.5 | 858 | 721 | 0.63 | 0.70 | 0.91 | 0.09 |
| Aadouche | 33°19′20″ N; 5°8′11″ W | 47 | 20 | 27 | 17.5 | 955 | 720 | 0.76 | 0.76 | 0.95 | 0.09 |
| Touna | 33°19′45″ N; 5°7′43″ W | 46 | 30 | 16 | 10 | 703 | 453 | 0.73 | 0.75 | 0.95 | 0.03 |
| Lachmine Izyar | 33°16′1″ N; 5°6′14″ W | 128 | 30 | 98 | 15 | 1373 | 1115 | 0.46 | 0.53 | 0.76 | 0.32 |
| Lachmine Sghir | 33°12′26″ N; 5°6′15″ W | 75 | 28 | 47 | 15 | 1140 | 802 | 0.93 | 1.00 | 0.98 | 0.13 |
| Lachmine Lakbir | 33°12′19″ N; 5°7′8″ W | 170 | 20 | 150 | 12.5 | 1595 | 1430 | 0.99 | 0.90 | 0.97 | 0.63 |
| Timahdite | 33°14′1″ N; 5°4′9″ W | 22 | 62 | −40 | 20 | 1012 | 800 | 0.60 | 0.40 | 0.84 | 0.13 |
| Lachmine Ouanou | 33°19′33″ N; 5°2′16″ W | 46 | 18 | 28 | 10 | 1380 | 973 | 0.79 | 0.75 | 0.96 | 0.22 |
| Lachmine Ait ben Qassou | 33°19′35″ N; 5°2′48″ W | 29 | 15 | 14 | 10 | 934 | 693 | 0.89 | 0.83 | 0.97 | 0.08 |
| Lachmine Ghaline | 33°19′06″ N; 5°1′34″ W | 36 | 25 | 11 | 15 | 732 | 590 | 0.76 | 0.75 | 0.96 | 0.05 |
| Lachmine Tajine | 33°19′46″ N; 5°1′14″ W | totally demolished by human activities | * | 1115 | 849 | 0.78 | 0.77 | 0.94 | 0.15 | ||
| Boubalghattene | 33°20′33″ N; 5°2′55″ W | 51 | 30 | 21 | 10 | 1435 | 920 | 0.97 | 0.81 | 0.97 | 0.19 |
| Ahfour Ouhadane | 33°20′24″ N; 5°3′45″ W | 82 | 44 | 38 | 24 | 1530 | 1250 | 0.74 | 0.77 | 0.95 | 0.44 |
| Ain Taksout (AT 1) | 33°20′52″ N; 5°4′11″ W | 60 | 6 | 54 | 20 | 909 | 655 | 0.88 | 0.85 | 1.00 | 0.07 |
| Ain Taksout (AT 2) | 33°21′25″ N; 5°4′2″ W | 22 | 12 | 10 | 15 | 1240 | 851 | 0.90 | 0.88 | 0.97 | 0.15 |
| Ben Said (BS 1) | 33°22′38″ N; 5°3′1″ W | 50 | 40 | 10 | * | 1420 | 780 | 0.30 | 0.47 | 0.29 | 0.12 |
| Ben Said (BS 2) | 33°22′59″ N; 5°3′21″ W | 59 | 34 | 25 | 17 | 863 | 660 | 0.81 | 0.84 | 0.97 | 0.07 |
| Lachmine n′Ait Lhaj | 33°23′2″ N; 5°4′18″ W | 110 | 65 | 45 | 25 | 1390 | 880 | 0.94 | 0.89 | 0.94 | 0.16 |
| Masrabe | 33°14′3″ N; 5°2′13″ W | 54 | 25 | 29 | 15 | 556 | 418 | 0.90 | 0.89 | 0.97 | 0.02 |
| Lachmine N′kettane (Ln 1) | 33°22′42″ N; 5°7′35″ W | 104 | 73 | 31 | 22.5 | 1380 | 938 | 0.66 | 0.72 | 0.93 | 0.20 |
| Lachmine N′kettane (Ln 2) | 33°23′17″ N; 5°7′9″ W | totally destructed by erosion | * | 395 | 296 | 0.87 | 0.85 | 0.97 | 0.01 | ||
| Tafraoute | 33°31′22″ N; 4°41′29″ W | totally demolished by human activities | * | 1400 | 983 | 0.82 | 0.75 | 0.92 | 0.22 | ||
| Michlifene | 33°24′56″ N; 5°4′49″ W | difficult to identify deposits (dense vegetation) | * | * | 890 | 0.76 | 0.73 | 0.95 | 0.17 | ||
| Boubalghattene-Ahfour Ouhadene | 33°20′28″ N; 5°3′14″ W | 51–58 | 30–44 | 21–38 | 10–24 | 1980 | 1683 | 0.34 | 0.45 | 0.66 | 0.70 |
| Scoria Cones | Crater Ellipticity Ratio (EL) | Crater Elongation Axis (deg) | Coeval Cones Alignment (deg) | Breaching Bisectors (deg) |
|---|---|---|---|---|
| Hebri | 0.95 | * | 160 | * |
| H1 | 0.60 | 115 | 160 | 115 |
| H2 | 0.93 | 160 | * | 345 |
| H3 | 0.71 | 160 | 160 | * |
| Habri | 0.79 | 130 | 155 | * |
| Tizi Idguel | 0.88 | * | 190 | 345 |
| Ich Ouaharrouq (IO 1) | 0.58 | * | 225 | 225 |
| Ich Ouaharrouq (IO 2) | 0.61 | 180 | * | 180 |
| Mijmouane | 0.34 | 160 | 160 | * |
| Tahabrite (T 1) | 0.65 | 40 | 40 | * |
| Tahabrite (T 2) | 0.67 | * | 40 | 20 |
| Boutjatiout | 0.74 | 300 | * | 300 |
| Chtifat (C1) | 0.67 | 155 | 155 | * |
| Chtifat (C2) | 0.76 | 170 | 165 | * |
| Chtifat (C3) | 0.86 | * | * | 220 |
| Chmil Assou | 0.60 | * | 165 | 150 |
| Lachmine Izyar | 0.95 | * | * | 120 |
| Timahdite | 0.87 | 230 | * | 205 |
| Sidi Boundouh | 0.73 | * | * | 230 |
| Masrabe | 0.83 | 160 | * | * |
| Ta’issaouit (Ta 1) | 0.92 | * | 270 | 270 |
| Ta’issaouit (Ta 2) | 0.74 | 270 | 210 | |
| Tichniouine | 0.59 | 180 | * | * |
| Lachmine Lakbir | 0.86 | * | 160 | * |
| Boutagarouine (B1) | 0.83 | * | * | 150 |
| Boutagarouine (B5) | 0.66 | 90 | * | * |
| Sud Izyar | 0.99 | * | * | 340 |
Publisher’s Note: MDPI stays neutral with regard to jurisdictional claims in published maps and institutional affiliations. |
© 2022 by the authors. Licensee MDPI, Basel, Switzerland. This article is an open access article distributed under the terms and conditions of the Creative Commons Attribution (CC BY) license (https://creativecommons.org/licenses/by/4.0/).
Share and Cite
Benamrane, M.; Németh, K.; Jadid, M.; Talbi, E.H. Geomorphological Classification of Monogenetic Volcanoes and Its Implication to Tectonic Stress Orientation in the Middle Atlas Volcanic Field (Morocco). Land 2022, 11, 1893. https://doi.org/10.3390/land11111893
Benamrane M, Németh K, Jadid M, Talbi EH. Geomorphological Classification of Monogenetic Volcanoes and Its Implication to Tectonic Stress Orientation in the Middle Atlas Volcanic Field (Morocco). Land. 2022; 11(11):1893. https://doi.org/10.3390/land11111893
Chicago/Turabian StyleBenamrane, Mohammed, Károly Németh, Mohamed Jadid, and El Hassan Talbi. 2022. "Geomorphological Classification of Monogenetic Volcanoes and Its Implication to Tectonic Stress Orientation in the Middle Atlas Volcanic Field (Morocco)" Land 11, no. 11: 1893. https://doi.org/10.3390/land11111893
APA StyleBenamrane, M., Németh, K., Jadid, M., & Talbi, E. H. (2022). Geomorphological Classification of Monogenetic Volcanoes and Its Implication to Tectonic Stress Orientation in the Middle Atlas Volcanic Field (Morocco). Land, 11(11), 1893. https://doi.org/10.3390/land11111893

