Environmental Features Influence Walking Speed: The Effect of Urban Greenery
Abstract
1. Introduction
1.1. Walkability and Benefits of Walking
1.2. Walking Speed and Environmental Features
1.3. Approach-Avoidance Behavior
1.4. Preferred Environment
1.5. The Present Study
2. Study 1
2.1. Materials and Methods
2.1.1. Participants
2.1.2. Walking Route
2.1.3. Measurement of Walking Speed
2.1.4. Procedure
2.2. Results and Discussion
3. Study 2
3.1. Materials and Methods
3.1.1. Participants
3.1.2. Measures
3.1.3. Procedure
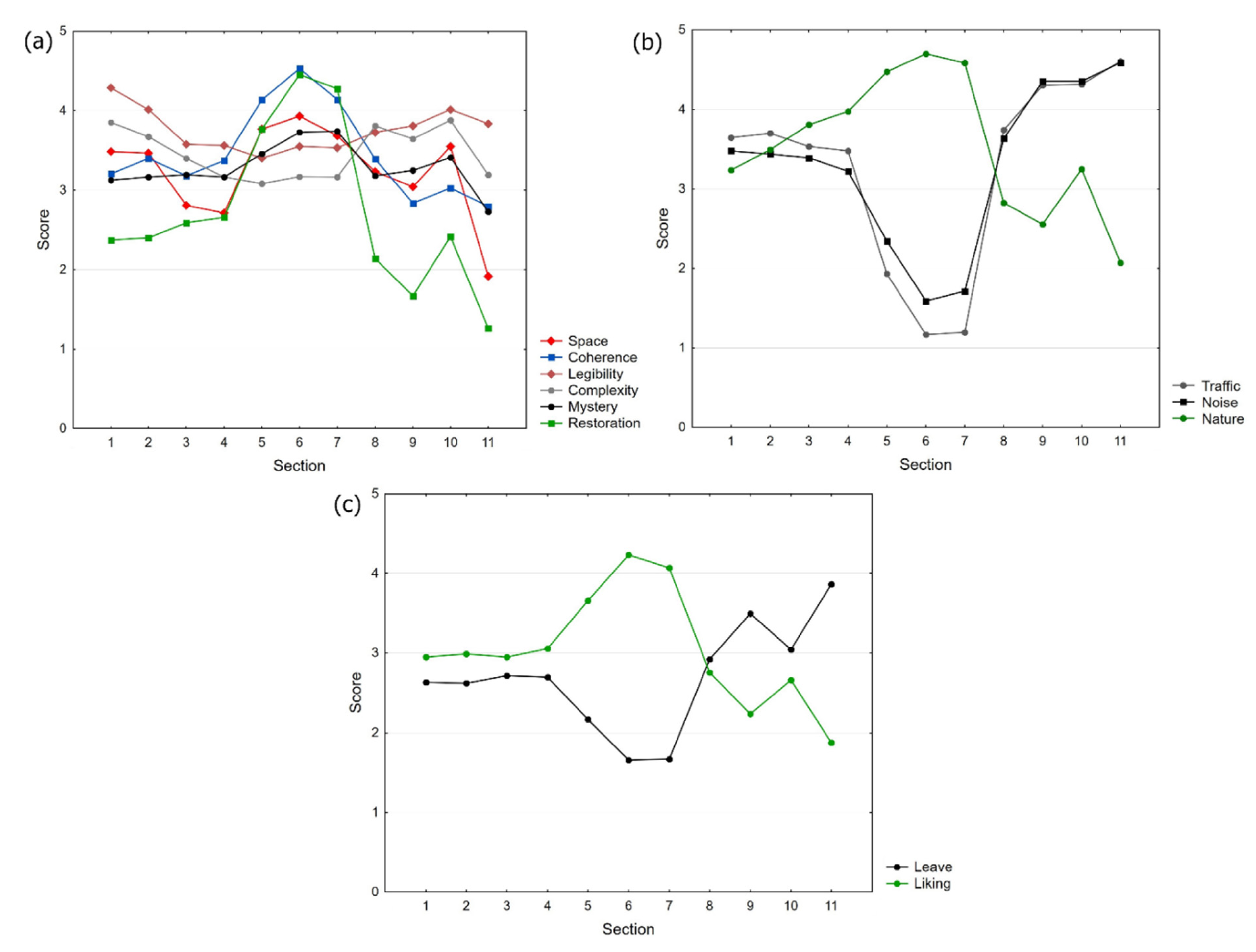
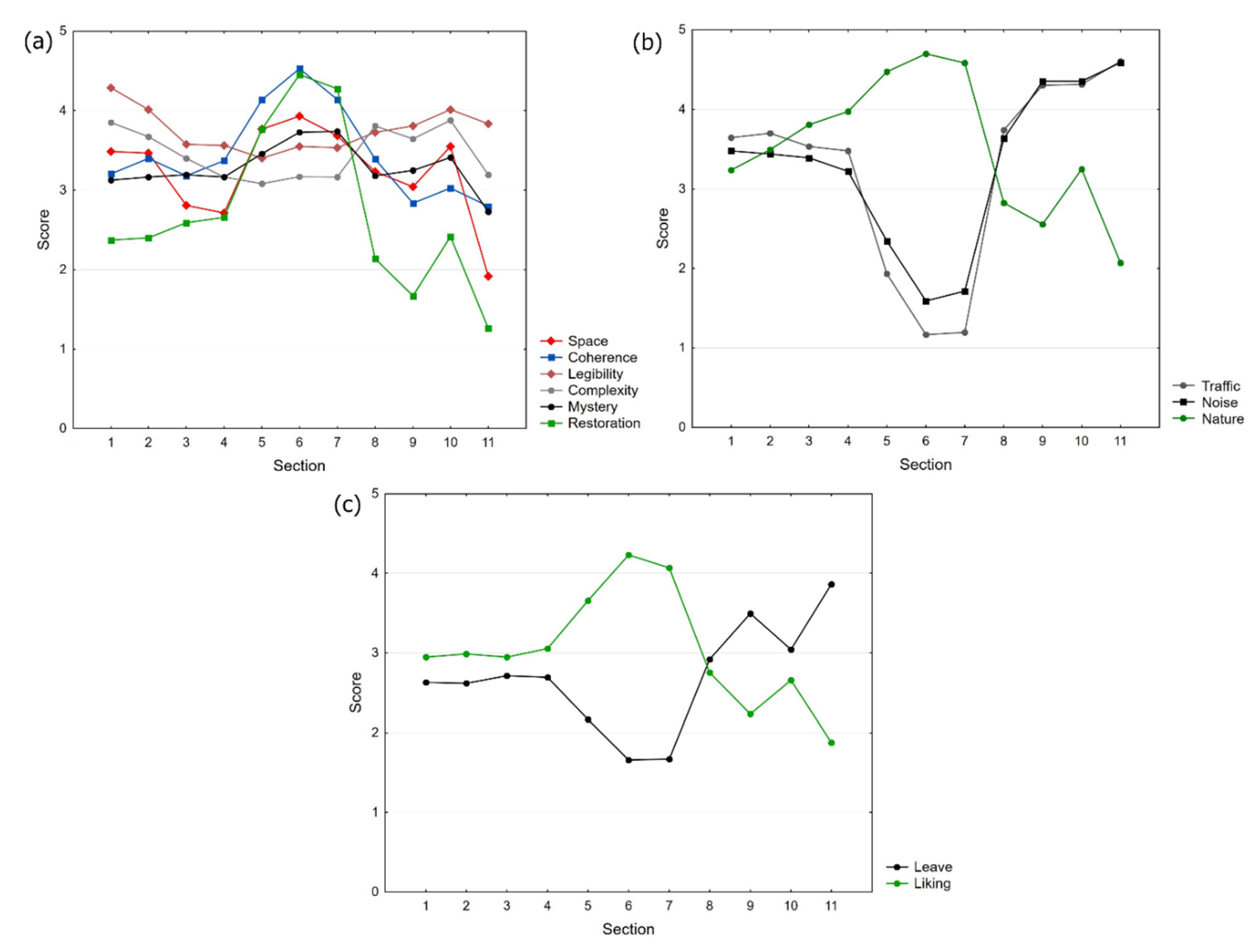
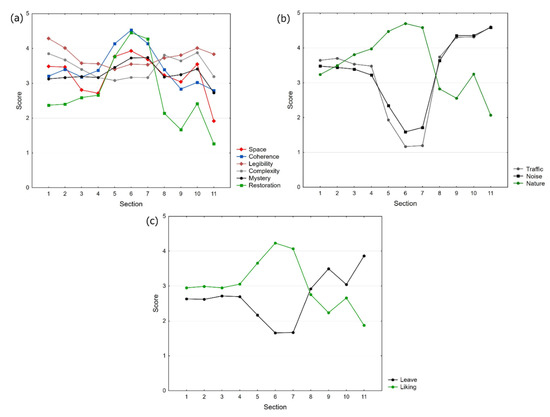
3.2. Results and Discussion
4. Study 3
4.1. Materials and Methods
4.1.1. Participants
4.1.2. Walking Route
4.1.3. Procedure
4.2. Results and Discussion
5. General Discussion
6. Conclusions
Supplementary Materials
Author Contributions
Funding
Institutional Review Board Statement
Informed Consent Statement
Data Availability Statement
Acknowledgments
Conflicts of Interest
References
- Kohl, H.W.; Craig, C.L.; Lambert, E.V.; Inoue, S.; Alkandari, J.R.; Leetongin, G.; Kahlmeier, S. The pandemic of physical inactivity: Global action for public health. Lancet 2012, 380, 294–305. [Google Scholar] [CrossRef]
- Morris, J.N.; Hardman, A.E. Walking to Health. Sports Med. 1997, 23, 306–332. [Google Scholar] [CrossRef] [PubMed]
- Hanson, S.; Jones, A. Is there evidence that walking groups have health benefits? A systematic review and meta-analysis. Br. J. Sports Med. 2015, 49, 710–715. [Google Scholar] [CrossRef]
- Owen, N.; Humpel, N.; Leslie, E.; Bauman, A.; Sallis, J.F. Understanding environmental influences on walking—Eview and research agenda. Am. J. Prev. Med. 2004, 27, 67–76. [Google Scholar] [CrossRef] [PubMed]
- Wang, H.; Yang, Y. Neighbourhood walkability: A review and bibliometric analysis. Cities 2019, 93, 43–61. [Google Scholar] [CrossRef]
- Levine, R.V.; Bartlett, K. Pace of Life, Punctuality, and Coronary Heart Disease in Six Countries. J. Cross-Cultural Psychol. 1984, 15, 233–255. [Google Scholar] [CrossRef]
- Levine, R.V.; Norenzayan, A. The Pace of Life in 31 Countries. J. Cross-Cultural Psychol. 1999, 30, 178–205. [Google Scholar] [CrossRef]
- Wiseman, R. Quirkology. In How We Discover the Big Truths in Small Things; Basic Books: New York, NY, USA, 2007. [Google Scholar]
- Lercher, P. Environmental noise and health: An integrated research perspective. Environ. Int. 1996, 22, 117–129. [Google Scholar] [CrossRef]
- Levine, R.V.; Lynch, K.; Miyake, K.; Lucia, M. The Type A city: Coronary heart disease and the pace of life. J. Behav. Med. 1989, 12, 509–524. [Google Scholar] [CrossRef]
- Frank, L.D.; Sallis, J.F.; Saelens, B.E.; Leary, L.; Cain, K.; Conway, T.L.; Hess, P.M. The development of a walkability index: Application to the Neighborhood Quality of Life Study. Br. J. Sports Med. 2010, 44, 924–933. [Google Scholar] [CrossRef] [PubMed]
- Zuniga-Teran, A.A.; Orr, B.J.; Gimblett, R.H.; Chalfoun, N.V.; Marsh, S.E.; Guertin, D.P.; Going, S.B. Designing healthy communities: Testing the walkability model. Front. Arch. Res. 2017, 6, 63–73. [Google Scholar] [CrossRef]
- Althoff, T.; Sosič, R.; Hicks, J.L.; King, A.C.; Delp, S.L.; Leskovec, J. Large-scale physical activity data reveal worldwide activity inequality. Nat. Cell Biol. 2017, 547, 336–339. [Google Scholar] [CrossRef]
- Horiuchi, M.; Fukuoka, Y.; Handa, Y.; Abe, D.; Pontzer, H. Measuring the Energy of Ventilation and Circulation during Human Walking using Induced Hypoxia. Sci. Rep. 2017, 7, 4938. [Google Scholar] [CrossRef]
- Krinski, K.; Machado, D.G.S.; Lirani, L.S.; DaSilva, S.G.; Costa, E.C.; Hardcastle, S.J.; Elsangedy, H.M. Let’s Walk Outdoors! Self-Paced Walking Outdoors Improves Future Intention to Exercise in Women With Obesity. J. Sport Exerc. Psychol. 2017, 39, 145–157. [Google Scholar] [CrossRef]
- Mabire, L.; Mani, R.; Liu, L.; Mulligan, H.; Baxter, D. The Influence of Age, Sex and Body Mass Index on the Effectiveness of Brisk Walking for Obesity Management in Adults: A Systematic Review and Meta-Analysis. J. Phys. Act. Health 2017, 14, 389–407. [Google Scholar] [CrossRef] [PubMed]
- Molina-Garcia, P.; Migueles, J.H.; Cadenas-Sanchez, C.; Esteban-Cornejo, I.; Mora-Gonzalez, J.; Rodriguez-Ayllon, M.; Plaza-Florido, A.; Vanrenterghem, J.; Ortega, F.B. A systematic review on biomechanical characteristics of walking in children and adolescents with overweight/obesity: Possible implications for the development of musculoskeletal disorders. Obes. Rev. 2019, 20, 1033–1044. [Google Scholar] [CrossRef] [PubMed]
- Lee, I.-M.; Buchner, D.M. The Importance of Walking to Public Health. Med. Sci. Sports Exerc. 2008, 40, S512–S518. [Google Scholar] [CrossRef] [PubMed]
- Heesch, K.C.; Van Uffelen, J.G.; Van Gellecum, Y.R.; Brown, W.J. Dose–response relationships between physical activity, walking and health-related quality of life in mid-age and older women. J. Epidemiol. Community Health 2012, 66, 670–677. [Google Scholar] [CrossRef]
- Sugiyama, T.; Leslie, E.; Giles-Corti, B.; Owen, N. Associations of neighbourhood greenness with physical and mental health: Do walking, social coherence and local social interaction explain the relationships? J. Epidemiol. Community Health 2008, 62, e9. [Google Scholar] [CrossRef] [PubMed]
- Todd, M.; Adams, M.A.; Kurka, J.; Conway, T.L.; Cain, K.L.; Buman, M.P.; Frank, L.D.; Sallis, J.F.; King, A.C. GIS-measured walkability, transit, and recreation environments in relation to older Adults’ physical activity: A latent profile analysis. Prev. Med. 2016, 93, 57–63. [Google Scholar] [CrossRef]
- Hartig, T.; Mang, M.; Evans, G.W. Restorative Effects of Natural Environment Experiences. Environ. Behav. 1991, 23, 3–26. [Google Scholar] [CrossRef]
- Hartig, T.; Evans, G.W.; Jamner, L.D.; Davis, D.S.; Gärling, T. Tracking restoration in natural and urban field settings. J. Environ. Psychol. 2003, 23, 109–123. [Google Scholar] [CrossRef]
- Teas, J.; Hurley, T.D.; Msph, S.G.; Mph, K.O. Walking outside Improves Mood for Healthy Postmenopausal Women. Clin. Med. Oncol. 2007, 1, CMO.S343. [Google Scholar] [CrossRef]
- Bratman, G.N.; Daily, G.C.; Levy, B.J.; Gross, J.J. The benefits of nature experience: Improved affect and cognition. Landsc. Urban Plan. 2015, 138, 41–50. [Google Scholar] [CrossRef]
- Berman, M.G.; Jonides, J.; Kaplan, S. The Cognitive Benefits of Interacting With Nature. Psychol. Sci. 2008, 19, 1207–1212. [Google Scholar] [CrossRef]
- Taylor, A.F.; Kuo, F.E. Children With Attention Deficits Concentrate Better After Walk in the Park. J. Atten. Disord. 2009, 12, 402–409. [Google Scholar] [CrossRef]
- Swami, V.; Barron, D.; Furnham, A. Exposure to natural environments, and photographs of natural environments, promotes more positive body image. Body Image 2018, 24, 82–94. [Google Scholar] [CrossRef]
- Bornstein, M.H.; Bornstein, H.G. The pace of life. Nat. Cell Biol. 1976, 259, 557–559. [Google Scholar] [CrossRef]
- Kirkcaldy, B.; Furnham, A.; Levine, R. Attitudinal and personality correlates of a nation’s pace of life. J. Manag. Psychol. 2001, 16, 20–34. [Google Scholar] [CrossRef]
- Walmsley, D.J.; Lewis, G.J. The Pace of Pedestrian Flows in Cities. Environ. Behav. 1989, 21, 123–150. [Google Scholar] [CrossRef]
- Rotton, J.; Shats, M.; Standers, R. Temperature and Pedestrian Tempo—Walking without awareness. Environ. Behav. 1990, 22, 650–674. [Google Scholar] [CrossRef]
- Klenk, J.; Büchele, G.; Rapp, K.; Franke, S.; Peter, R. Walking on sunshine: Effect of weather conditions on physical activity in older people. J. Epidemiol. Community Health 2012, 66, 474–476. [Google Scholar] [CrossRef]
- Liang, S.; Leng, H.; Yuan, Q.; Wang, B.; Yuan, C. How does weather and climate affect pedestrian walking speed during cool and cold seasons in severely cold areas? Build. Environ. 2020, 175, 106811. [Google Scholar] [CrossRef]
- Isobe, M.; Adachi, T.; Nagatani, T. Experiment and simulation of pedestrian counter flow. Phys. A 2004, 336, 638–650. [Google Scholar] [CrossRef]
- Duim, E.; Lebrão, M.L.; Antunes, J.L.F. Walking speed of older people and pedestrian crossing time. J. Transp. Health 2017, 5, 70–76. [Google Scholar] [CrossRef]
- Russo, B.J.; James, E.; Aguilar, C.Y.; Smaglik, E.J. Pedestrian Behavior at Signalized Intersection Crosswalks: Observational Study of Factors Associated with Distracted Walking, Pedestrian Violations, and Walking Speed. Transp. Res. Rec. J. Transp. Res. Board 2018, 2672, 1–12. [Google Scholar] [CrossRef]
- Løvås, G.G. Modeling and simulation of pedestrian traffic flow. Transp. Res. Part B Methodol. 1994, 28, 429–443. [Google Scholar] [CrossRef]
- Helbing, D.; Molnár, P.; Farkas, I.J.; Bolay, K. Self-Organizing Pedestrian Movement. Environ. Plan. B Plan. Des. 2001, 28, 361–383. [Google Scholar] [CrossRef]
- Tordeux, A.; Lämmel, G.; Hänseler, F.S.; Steffen, B. A mesoscopic model for large-scale simulation of pedestrian dynamics. Transp. Res. Part C Emerg. Technol. 2018, 93, 128–147. [Google Scholar] [CrossRef]
- Bosina, E.; Weidmann, U. Estimating pedestrian speed using aggregated literature data. Phys. A Stat. Mech. Appl. 2017, 468, 1–29. [Google Scholar] [CrossRef]
- Franěk, M. Environmental Factors Influencing Pedestrian Walking Speed. Percept. Mot. Ski. 2013, 116, 992–1019. [Google Scholar] [CrossRef]
- Franěk, M.; Režný, L. Analysis of factors affecting variations in walking speed in urban environment with natural elements. Cesk Psychol. 2014, 58, 14–30. [Google Scholar]
- FranäK, M.; Noorden, L.E.; Režný, L. Tempo and walking speed with music in the urban context. Front. Psychol. 2014, 5, 1361. [Google Scholar] [CrossRef]
- Franěk, M.; Režný, L.; Šefara, D.; Cabal, J. Effect of Traffic Noise and Relaxations Sounds on Pedestrian Walking Speed. Int. J. Environ. Res. Public Health 2018, 15, 752. [Google Scholar] [CrossRef]
- Mehrabian, A.; Russell, J.A. An Approach to Environmental Psychology; The MIT Press: Cambridge, MA, USA, 1974. [Google Scholar]
- Ko-shland, D.E. The seven pillars of life. Science 2002, 295, 2215–2216. [Google Scholar] [CrossRef]
- Lang, P.J. The emotion probe: Studies of motivation and attention. Am. Psychol. 1995, 50, 372–385. [Google Scholar] [CrossRef] [PubMed]
- Elliot, A.J.; Church, M.A. A hierarchical model of approach and avoidance achievement motivation. J. Pers. Soc. Psychol. 1997, 72, 218–232. [Google Scholar] [CrossRef]
- Bitner, M.J. Servicescapes: The Impact of Physical Surroundings on Customers and Employees. J. Mark. 1992, 56, 57. [Google Scholar] [CrossRef]
- Krey, N.; Espinosa, J.A.; Cao, J.T. A Meta-Analytical Review of PAD within Retail Environments: An Abstract. In Developments in Marketing Science: Proceedings of the Academy of Marketing Science; Springer Science and Business Media LLC: Berlin, Germany, 2017; p. 175. [Google Scholar]
- Ulrich, R.S. Natural versus Urban Scenes. Environ. Behav. 1981, 13, 523–556. [Google Scholar] [CrossRef]
- Ulrich, R.S. Human responses to vegetation and landscapes. Landsc. Urban Plan. 1986, 13, 29–44. [Google Scholar] [CrossRef]
- Kaplan, S. Aesthetics, Affect, and Cognition. Environ. Behav. 1987, 19, 3–32. [Google Scholar] [CrossRef]
- Kaplan, R.; Kaplan, S. The Experience of Nature: A Psychological Perspective; Cambridge University Press: Cambridge, UK, 1989. [Google Scholar]
- Herzog, T.R. A cognitive analysis of preference for urban nature. J. Environ. Psychol. 1989, 9, 27–43. [Google Scholar] [CrossRef]
- Regan, C.L.; Horn, S.A. To nature or not to nature: Associations between environmental preferences, mood states and demographic factors. J. Environ. Psychol. 2005, 25, 57–66. [Google Scholar] [CrossRef]
- Van Den Berg, A.E.; Hartig, T.; Staats, H. Preference for Nature in Urbanized Societies: Stress, Restoration, and the Pursuit of Sustainability. J. Soc. Issues 2007, 63, 79–96. [Google Scholar] [CrossRef]
- Kaplan, S. An Informal Model for the Prediction of Preference. In Land-Scape Assessment; Zube, E.H., Brush, R.O., Fabos, J.G., Eds.; Dowden, Hutchinson & Ross: Stroudsburg, PA, USA, 1975; pp. 92–101. [Google Scholar]
- Herzog, T.R. A cognitive analysis of preference for urban spaces. J. Environ. Psychol. 1992, 12, 237–248. [Google Scholar] [CrossRef]
- Herzog, T.R.; Miller, E.J. The Role of Mystery in Perceived Danger and Environmental Preference. Environ. Behav. 1998, 30, 429–449. [Google Scholar] [CrossRef]
- Stamps, A.E. Simulation Effects on Environmental Preference. J. Environ. Manag. 1993, 38, 115–132. [Google Scholar] [CrossRef]
- Staats, H.; Kieviet, A.; Hartig, T. Where to recover from attentional fatigue: An expectancy-value analysis of environmental preference. J. Environ. Psychol. 2003, 23, 147–157. [Google Scholar] [CrossRef]
- Cassarino, M.; Setti, A. Complexity as Key to Designing Cognitive-Friendly Environments for Older People. Front. Psychol. 2016, 7, 1329. [Google Scholar] [CrossRef]
- Korpela, K.; Hartig, T. Restorative qualities of favorite places. J. Environ. Psychol. 1996, 16, 221–233. [Google Scholar] [CrossRef]
- Franěk, M.; Režný, L. The Effect of Priming with Photographs of Environmental Settings on Walking Speed in an Outdoor Environment. Front. Psychol. 2017, 8, 73. [Google Scholar] [CrossRef]
- Hlukové Mapy. 2017. (Noise Maps 2017). Available online: https://geoportal.mzcr.cz/SHM/ (accessed on 15 April 2021).
- Viollon, S.; Lavandier, C.; Drake, C. Influence of visual setting on sound ratings in an urban environment. Appl. Acoust. 2002, 63, 493–511. [Google Scholar] [CrossRef]
- Li, H.; Chau, C.; Tang, S. Can surrounding greenery reduce noise annoyance at home? Sci. Total Environ. 2010, 408, 4376–4384. [Google Scholar] [CrossRef] [PubMed]
- Lee, P.J.; Hong, J.Y.; Jeon, J.Y. Assessment of rural soundscapes with high-speed train noise. Sci. Total Environ. 2014, 482-483, 432–439. [Google Scholar] [CrossRef] [PubMed]
- Watts, G.; Chinn, L.; Godfrey, N. The effects of vegetation on the perception of traffic noise. Appl. Acoust. 1999, 56, 39–56. [Google Scholar] [CrossRef]
- Bangjun, Z.; Lili, S.; Guoqing, D. The influence of the visibility of the source on the subjective annoyance due to its noise. Appl. Acoust. 2003, 64, 1205–1215. [Google Scholar] [CrossRef]
- Werner, C.M.; Altman, I.; Oxley, D. Temporal aspects of homes: A transactional perspective. In Home Environments; Altman, I., Werner, C.M., Eds.; Plenum Press: New York, NY, USA, 1985; pp. 1–32. [Google Scholar]
- Lowin, A.; Hottes, J.H.; Sandler, B.E.; Bornstein, M. The Pace of Life and Sensitivity to Time in Urban and Rural Settings: A Preliminary Study. J. Soc. Psychol. 1971, 83, 247–253. [Google Scholar] [CrossRef] [PubMed]
- Bettencourt, L.M.A.; Lobo, J.; Helbing, D.; Kühnert, C.; West, G.B. Growth, innovation, scaling, and the pace of life in cities. Proc. Natl. Acad. Sci. USA 2007, 104, 7301–7306. [Google Scholar] [CrossRef]
- Goldbach, C.; Hoffmann, C.; Hoppe, J.; Pitz, T.; Thommes, K. The fast and the furious—An experimental investigation of the pace of life and risky speed choice in traffic. PLoS ONE 2020, 15, e0236589. [Google Scholar] [CrossRef]
- Bohannon, R.W.; Andrews, A.W. Normal walking speed: A descriptive meta-analysis. Physiotherapy 2011, 97, 182–189. [Google Scholar] [CrossRef] [PubMed]
- Bohannon, R.W. Comfortable and maximum walking speed of adults aged 20—79 years: Reference values and determinants. Age Ageing 1997, 26, 15–19. [Google Scholar] [CrossRef] [PubMed]
- Evans, G. Environmental Stress; Cambridge University Press: Cambridge, UK, 1984. [Google Scholar]
- Davydenko, M.; Peetz, J. Time grows on trees: The effect of nature settings on time perception. J. Environ. Psychol. 2017, 54, 20–26. [Google Scholar] [CrossRef]
- Atelier Hájek. Available online: http://www.atelierhajek.cz/projekty-namesti-28-rijna.php (accessed on 15 April 2021).
- Bowler, D.E.; Buyung-Ali, L.M.; Knight, T.M.; Pullin, A.S. A systematic review of evidence for the added benefits to health of exposure to natural environments. BMC Public Health 2010, 10, 456. [Google Scholar] [CrossRef]
- McMahan, E.A.; Estes, D. The effect of contact with natural environments on positive and negative affect: A meta-analysis. J. Posit. Psychol. 2015, 10, 507–519. [Google Scholar] [CrossRef]
- Herzog, T.R.; Black, A.M.; Fountaine, K.A.; Knotts, D.J. Reflection and Attentional Recovery as Distinctive Benefits of Restorative Environments. J. Environ. Psychol. 1997, 17, 165–170. [Google Scholar] [CrossRef]
- Basu, A.; Duvall, J.; Kaplan, R. Attention Restoration Theory: Exploring the Role of Soft Fascination and Mental Bandwidth. Environ. Behav. 2018, 51, 1055–1081. [Google Scholar] [CrossRef]
- Levitin, D.J.; Grahn, J.A.; London, J. The Psychology of Music: Rhythm and Movement. Annu. Rev. Psychol. 2018, 69, 51–75. [Google Scholar] [CrossRef]
- Repp, B.H. Sensorimotor synchronization: A review of the tapping literature. Psychon. Bull. Rev. 2005, 12, 969–992. [Google Scholar] [CrossRef]
- Zucker, P.; Rasmussen, S.E. Experiencing Architecture. J. Aesthet. Art Crit. 1961, 19, 357. [Google Scholar] [CrossRef]




| Section | Direction 1–11 | Direction 11–1 | ||
|---|---|---|---|---|
| M | SD | M | SD | |
| Section 1 | 1.65 | 0.12 | 1.58 | 0.15 |
| Section 2 | 1.65 | 0.14 | 1.59 | 0.14 |
| Section 3 | 1.64 | 0.14 | 1.58 | 0.15 |
| Section 4 | 1.62 | 0.14 | 1.59 | 0.15 |
| Section 5 | 1.60 | 0.15 | 1.57 | 0.15 |
| Section 6 | 1.59 | 0.15 | 1.57 | 0.15 |
| Section 7 | 1.59 | 0.15 | 1.57 | 0.15 |
| Section 8 | 1.62 | 0.15 | 1.60 | 0.15 |
| Section 9 | 1.63 | 0.15 | 1.60 | 0.14 |
| Section 10 | 1.62 | 0.15 | 1.60 | 0.15 |
| Section 11 | 1.62 | 0.15 | 1.62 | 0.15 |
| Average speed on the route | 1.63 | 0.15 | 1.59 | 0.15 |
| Item | Dimension | |
|---|---|---|
| Spatio-cognitive dimensions | ||
| 1. | There is enough space to move around sufficiently and without restrictions | Space |
| 2. | The individual elements of the environment are in harmony with each other. | Coherence |
| 3. | It’s easy to understand where I am now, what the place is, how to get out of here and where to go next. | Legibility |
| 4. | The environment contains a large number of various elements. | Complexity |
| 5. | If I enter the environment and move on, it is possible that I will find many other interesting things there. | Mystery |
| 6. | The environment offers relaxation, calming, and an escape from everyday stress. | Relaxation |
| Environmental features | ||
| 7. | There is a lot of traffic. | Traffic |
| 8. | There is noise here. | Noise |
| 9. | There are a lot of natural elements here. | Naturalness |
| Approach-avoidance behavior | ||
| 10. | I prefer to leave this place | |
| Liking | ||
| 11. | I like the environment. |
| Item | F | p | η2 | df |
|---|---|---|---|---|
| Spatio-cognitive dimensions | ||||
| 1. Space | 39.27 | 0.001 | 0.34 | 1,10 |
| 2. Coherence | 46.72 | 0.001 | 0.40 | 1,10 |
| 3. Legibility | 9.86 | 0.001 | 0.12 | 1,10 |
| 4. Complexity | 10.82 | 0.001 | 0.13 | 1,10 |
| 5. Mystery | 7.31 | 0.001 | 0.09 | 1,10 |
| 6. Relaxation | 104.932 | 0.001 | 0.60 | 1,10 |
| Environmental properties | ||||
| 7. Traffic | 264.43 | 0.001 | 0.79 | 1,10 |
| 8. Noise | 179.36 | 0.001 | 0.72 | 1,10 |
| 9. Nature | 100.88 | 0.001 | 0.60 | 1,10 |
| Approach-avoidance behavior | ||||
| 10. Leave | 64.66 | 0.001 | 0.48 | 1,10 |
| Environmental preference | ||||
| 11. Liking | 75.45 | 0.001 | 0.52 | 1,10 |
| Section | Look around | Do Not Look around | ||
|---|---|---|---|---|
| M | SD | M | SD | |
| Section 1 | 1.62 | 0.14 | 1.67 | 0.13 |
| Section 2 | 1.62 | 0.15 | 1.67 | 0.12 |
| Section 3 | 1.60 | 0.15 | 1.66 | 0.13 |
| Section 4 | 1.59 | 0.15 | 1.66 | 0.12 |
| Section 5 | 1.55 | 0.15 | 1.63 | 0.13 |
| Section 6 | 1.54 | 0.14 | 1.63 | 0.13 |
| Section 7 | 1.52 | 0.14 | 1.62 | 0.13 |
| Section 8 | 1.58 | 0.15 | 1.66 | 0.12 |
| Average speed on the route | 1.60 | 0.14 | 1.65 | 0.13 |
Publisher’s Note: MDPI stays neutral with regard to jurisdictional claims in published maps and institutional affiliations. |
© 2021 by the authors. Licensee MDPI, Basel, Switzerland. This article is an open access article distributed under the terms and conditions of the Creative Commons Attribution (CC BY) license (https://creativecommons.org/licenses/by/4.0/).
Share and Cite
Franěk, M.; Režný, L. Environmental Features Influence Walking Speed: The Effect of Urban Greenery. Land 2021, 10, 459. https://doi.org/10.3390/land10050459
Franěk M, Režný L. Environmental Features Influence Walking Speed: The Effect of Urban Greenery. Land. 2021; 10(5):459. https://doi.org/10.3390/land10050459
Chicago/Turabian StyleFraněk, Marek, and Lukáš Režný. 2021. "Environmental Features Influence Walking Speed: The Effect of Urban Greenery" Land 10, no. 5: 459. https://doi.org/10.3390/land10050459
APA StyleFraněk, M., & Režný, L. (2021). Environmental Features Influence Walking Speed: The Effect of Urban Greenery. Land, 10(5), 459. https://doi.org/10.3390/land10050459

