Impacts of Agricultural Land Reclamation on Soil Nutrient Contents, Pools, Stoichiometry, and Their Relationship to Oat Growth on the East China Coast
Abstract
1. Introduction
2. Materials and Methods
2.1. Study Area
2.2. Experimental Design
2.3. Soil Sampling and Determination
2.4. Determination of Oat Growth Parameters
2.5. Statistical Analysis
3. Results
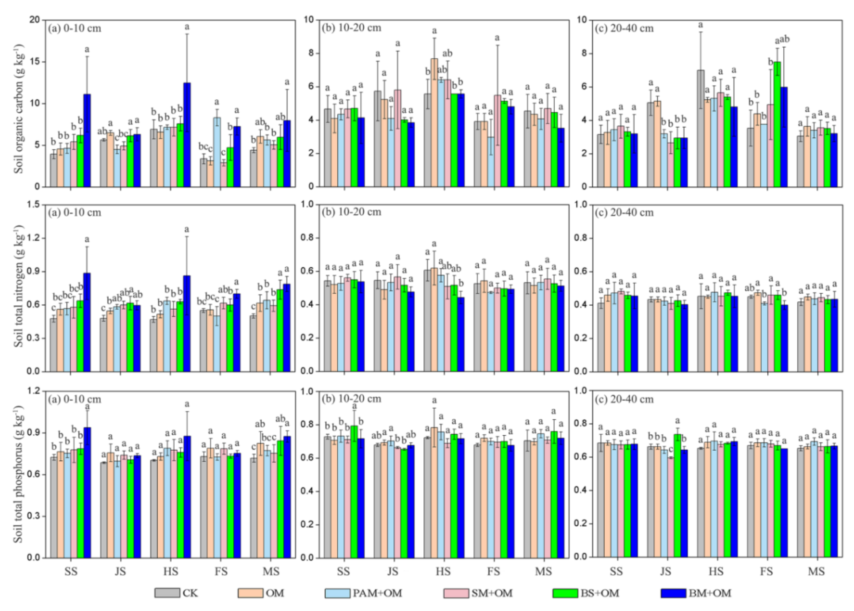
3.1. Soil C, N, and P Content
3.2. Soil C, N, and P Pools
3.3. Soil C, N, and P Stoichiometry
3.4. Oat Growth Parameters
3.5. Redundancy Analysis
4. Discussion
4.1. Response of Soil Nutrient Contents, Pools, and Stoichiometry Following Agricultural Land Reclamation
4.2. Linkages between Soil Nutrient Contents, Pools, Stoichiometry, and Oat Growth Following Agricultural Land Reclamation
5. Conclusions
Author Contributions
Funding
Institutional Review Board Statement
Informed Consent Statement
Data Availability Statement
Conflicts of Interest
References
- Xu, Y.; Pu, L.J.; Zhang, R.S.; Zhu, M.; Zhang, M.; Bu, X.G.; Xie, X.F.; Wang, Y. Effects of agricultural reclamation on soil physicochemical properties in the mid-eastern coastal area of China. Land 2021, 10, 142. [Google Scholar] [CrossRef]
- Xie, X.F.; Wu, T.; Zhu, M.; Jiang, J.J.; Xu, Y.; Wang, X.H.; Pu, L.J. Comparison of random forest and multiple linear regression models for estimation of soil extracellular enzyme activities in agricultural reclaimed coastal saline land. Ecol. Indic. 2021, 120, 106925. [Google Scholar] [CrossRef]
- Xie, X.F.; Pu, L.J.; Zhu, M.; Meadows, M.; Sun, L.C.; Wu, T.; Bu, X.G.; Xu, Y. Differential effects of various reclamation treatments on soil characteristics: An experimental study of newly reclaimed tidal mudflats on the east China coast. Sci. Total Environ. 2021, 768, 144996. [Google Scholar] [CrossRef] [PubMed]
- Xie, X.F.; Pu, L.J.; Zhu, M.; Xu, Y.; Wang, X.H. Linkage between soil salinization indicators and physicochemical properties in a long-term intensive agricultural coastal reclamation area, Eastern China. J. Soils Sediment. 2019, 19, 1–9. [Google Scholar] [CrossRef]
- Awad, A.S.; Nair, N.G. Salt tolerance of agaricus-bisporus in relation to water-stress and toxicity of sodium-ions. Ann. Appl. Biol. 1989, 115, 215–220. [Google Scholar] [CrossRef]
- Nawaz, F.; Shehzad, M.A.; Majeed, S.; Ahmad, K.S.; Aqib, M.; Usmani, M.M.; Shabbir, R.N. Role of Mineral Nutrition in Improving Drought and Salinity Tolerance in Field Crops. In Agronomic Crops; Hassanuzzaman, M., Ed.; Springer: Singapore, 2020; pp. 129–147. [Google Scholar]
- Castiglione, S.; Oliva, G.; Vigliotta, G.; Novello, G.; Gamalero, E.; Lingua, G.; Cicatelli, A.; Guarino, F. Effects of Compost Amendment on Glycophyte and Halophyte Crops Grown on Saline Soils: Isolation and Characterization of Rhizobacteria with Plant Growth Promoting Features and High Salt Resistance. Appl. Sci. 2021, 11, 2125. [Google Scholar] [CrossRef]
- Kingsbury, R.W.; Epstein, E. Salt sensitivity in wheat–a case for specific ion toxicity. Plant Physiol. 1986, 80, 651–654. [Google Scholar] [CrossRef]
- Akhtar, K.; Wang, W.Y.; Ren, G.X.; Khan, A.; Feng, Y.Z.; Yang, G.H.; Wang, H.Y. Integrated use of straw mulch with nitrogen fertilizer improves soil functionality and soybean production. Environ. Int. 2019, 132, 105092. [Google Scholar] [CrossRef]
- Hussain, A.; Zahir, Z.A.; Ditta, A.; Tahir, M.U.; Ahmad, M.; Mumtaz, M.Z.; Hayat, K.; Hussain, S. Production and implication of bio-activated organic fertilizer enriched with zinc-solubilizing bacteria to boost up maize (Zea mays L.) production and biofortification under two cropping seasons. Agronomy 2020, 10, 39. [Google Scholar] [CrossRef]
- Gunarathne, V.; Senadeera, A.; Gunarathne, U.; Biswas, J.K.; Almaroai, Y.A.; Vithanage, M. Potential of biochar and organic amendments for reclamation of coastal acidic-salt affected soil. Biochar 2020, 2, 107–120. [Google Scholar] [CrossRef]
- Abo El-Ezz, S.F.; El-Hadidi, E.M.; El-Sherpiny, M.A.; Mahmoud, S.E. Land Reclamation Using Compost, Agricultural Gypsum and Sugar Beet Mud. J. Soil Sci. Agri. Eng. 2020, 11, 503–511. [Google Scholar] [CrossRef]
- Zhao, Y.G.; Pang, H.C.; Wang, J.; Huo, L.; Li, Y.Y. Effects of straw mulch and buried straw on soil moisture and salinity in relation to sunflower growth and yield. Field Crop. Res. 2014, 161, 16–25. [Google Scholar] [CrossRef]
- Yang, L.; Bian, X.G.; Yang, R.P.; Zhou, C.L.; Tang, B.P. Assessment of organic amendments for improving coastal saline soil. Land Degrad. Dev. 2018, 29, 3204–3211. [Google Scholar] [CrossRef]
- Zhang, Y.; Sun, C.; Chen, Z.; Zhang, G.; Chen, L.; Wu, Z. Stoichiometric analyses of soil nutrients and enzymes in a Cambisol soil treated with inorganic fertilizers or manures for 26years. Geoderma 2019, 353, 382–390. [Google Scholar] [CrossRef]
- Fan, R.Q.; Du, J.J.; Liang, A.Z.; Lou, J.; Li, J.Y. Carbon sequestration in aggregates from native and cultivated soils as affected by soil stoichiometry. Biol. Fert. Soils 2020, 56, 1109–1120. [Google Scholar] [CrossRef]
- Zhou, J.J.; Liang, X.Q.; Shan, S.D.; Yan, D.W.; Chen, Y.F.; Yang, C.K.; Lu, Y.Y.; Niyungeko, C.; Tian, G.M. Nutrient retention by different substrates from an improved low impact development system. J. Environ. Manag. 2019, 238, 331–340. [Google Scholar] [CrossRef]
- Han, L.P.; Liu, H.T.; Yu, S.H.; Wang, W.H.; Liu, J.T. Potential application of oat for phytoremediation of salt ions in coastal saline-alkali soil. Ecol. Eng. 2013, 61, 274–281. [Google Scholar] [CrossRef]
- Cleveland, C.C.; Liptzin, D. C:N:P stoichiometry in soil: Is there a “redfield ratio” for the microbial biomass? Biogeochemistry 2007, 85, 235–252. [Google Scholar] [CrossRef]
- Zhang, J.H.; Zhao, N.; Liu, C.C.; Yang, H.; Li, M.L.; Yu, G.R.; Wilcox, K.; Yu, Q.; He, N.P. C:N:P stoichiometry in China’s forests: From organs to ecosystems. Funct. Ecol. 2018, 31, 50–60. [Google Scholar] [CrossRef]
- He, H.; Xia, G.T.; Yang, W.J.; Zhu, Y.P.; Wang, G.D.; Shen, W.B. Response of soil C:N:P stoichiometry, organic carbon stock, and release to wetland grasslandification in Mu Us Desert. J. Soils Sediment. 2019, 19, 3954–3968. [Google Scholar] [CrossRef]
- Yang, Y.; Liu, B.R.; An, S.S. Ecological stoichiometry in leaves, roots, litters and soil among different plant communities in a desertified region of Northern China. Catena 2018, 166, 328–338. [Google Scholar] [CrossRef]
- Xu, C.Y.; Pu, L.J.; Li, J.G.; Zhu, M. Effect of reclamation on C, N, and P stoichiometry in soil and soil aggregates of a coastal wetland in eastern China. J. Soils Sediment. 2019, 19, 1215–1225. [Google Scholar] [CrossRef]
- Jiang, Y.F.; Guo, X. Stoichiometric patterns of soil carbon, nitrogen, and phosphorus in farmland of the Poyang Lake region in Southern China. J. Soils Sediment. 2019, 19, 3476–3488. [Google Scholar] [CrossRef]
- He, J.X.; Du, L.; Zhai, C.; Guan, Y.P.; Wang, J.; Zhang, Z.H.; Wu, S.; Ogundeji, O.A.; Gu, S.Y. Physicochemical properties and stoichiometry of Mollisols in responses to tillage and fertilizer management. Arch. Agron. Soil Sci. 2020. [Google Scholar] [CrossRef]
- Hou, H.Z.; Zhang, X.C.; Wang, J.; Yin, J.D.; Fang, Y.J.; Yu, X.F.; Wang, H.L.; Ma, Y.F. Plastic-soil mulching increases the photosynthetic rate by relieving nutrient limitations in the soil and flag leaves of spring wheat in a semiarid area. J. Soils Sediment. 2020, 20, 3158–3170. [Google Scholar] [CrossRef]
- Zhang, J.B.; Yang, J.S.; Yao, R.J.; Yu, S.P.; Li, F.R.; Hou, X.J. The effects of farmyard manure and mulch on soil physical properties in a reclaimed coastal tidal flat salt-affected soil. J. Integr. Agric. 2014, 13, 1782–1790. [Google Scholar] [CrossRef]
- Xie, X.F.; Pu, L.J.; Shen, H.Y.; Wang, X.H.; Zhu, M.; Ge, Y.; Sun, L.C. Effects of soil reclamation on the oat cultivation in the newly reclaimed coastal land, eastern China. Ecol. Eng. 2019, 129, 115–122. [Google Scholar] [CrossRef]
- Liang, J.C.; Shi, H.B.; Yang, S.Q.; Liu, R.M.; Zhou, J.; Li, L.X.; Wang, L.R. The effects of straw mulching on soil water, soil salinity and grain yield of a salty sunflower field. Chin. J. Soil Sci. 2014, 45, 1202–1206. (In Chinese) [Google Scholar]
- Liu, E.K.; Yan, C.R.; Mei, X.R.; He, W.Q.; Bing, S.H.; Ding, L.P.; Liu, Q.; Liu, S.A.; Fan, T.L. Long-term effect of chemical fertilizer, straw, and manure on soil chemical and biological properties in Northwest China. Geoderma 2010, 158, 173–180. [Google Scholar] [CrossRef]
- Lu, R.K. Chemical Analysis of Agricultural Soils; China Agricultural Science and Technology Press: Beijing, China, 1999. (In Chinese) [Google Scholar]
- Xie, X.F.; Pu, L.J.; Wang, Q.Q.; Zhu, M.; Xu, Y.; Zhang, M. Response of soil physicochemical properties and enzyme activities to long-term reclamation of coastal saline soil, Eastern China. Sci. Total Environ. 2017, 607–608, 1419–1427. [Google Scholar] [CrossRef]
- Xie, X.F.; Pu, L.J.; Zhu, M.; Wu, T.; Xu, Y.; Wang, X.H. Effect of long-term reclamation on soil quality in agricultural reclaimed coastal saline soil, Eastern China. J. Soils Sediment. 2020, 20, 3909–3920. [Google Scholar] [CrossRef]
- Xu, S.T.; Zhang, L.; Zhou, L.; Mi, J.Z.; McLaughlin, N.B.; Liu, J.H. Effect of synthetic and natural water absorbing soil amendments on soil microbiological parameters under potato production in a semi-arid region. Eur. J. Soil Biol. 2016, 75, 8–14. [Google Scholar] [CrossRef]
- Tian, X.M.; Fan, H.; Wang, J.Q.; Ippolitoc, J.; Li, Y.B.; Feng, S.S.; An, M.J.; Zhang, F.H.; Wang, K.Y. Effect of polymer materials on soil structure and organic carbon under drip irrigation. Geoderma 2019, 340, 94–103. [Google Scholar] [CrossRef]
- He, H.; Zhang, Y.T.; Wei, C.Z.; Li, J.H. Characteristics of decomposition and nutrient release of corn straw under different organic fertilizer replacement rates. Appl. Ecol. Env. Res. 2019, 17, 13455–13472. [Google Scholar]
- Fallah Nosratabad, A.R.; Etesami, H.; Shariati, S. Integrated use of organic fertilizer and bacterial inoculant improves phosphorus use efficiency in wheat (Triticum aestivum L.) fertilized with triple superphosphate. Rhizosphere 2017, 3, 109–111. [Google Scholar] [CrossRef]
- Pawlowski, L.; Pawlowska, M.; Cel, W.; Wang, L.; Li, C.; Mei, T.T. Characteristic of carbon dioxide absorption by cereals in Poland and China. Gospod. Surowcami Min. 2019, 35, 165–176. [Google Scholar]
- De Almeida, R.F.; Mikhael, J.E.R.; Franco, F.O.; Santana, L.M.F.; Wendling, B. Measuring the labile and recalcitrant pools of carbon and nitrogen in forested and agricultural soils: A study under tropical conditions. Forests 2019, 10, 544. [Google Scholar] [CrossRef]
- Ren, T.; Wang, J.G.; Chen, Q.; Zhang, F.S.; Lu, S.C. The effects of manure and nitrogen fertilizer applications on soil organic carbon and nitrogen in a high-input cropping system. PLoS ONE 2014, 9, e97732. [Google Scholar] [CrossRef] [PubMed]
- González Jiménez, J.L.; Healy, M.G.; Daly, K. Effects of fertiliser on phosphorus pools in soils with contrasting organic matter content: A fractionation and path analysis study. Geoderma 2018, 338, 128–135. [Google Scholar] [CrossRef]
- Siebers, N.; Sumann, M.; Kaiser, K.; Amelung, W. Climatic effects on phosphorus fractions of native and cultivated North American grassland soils. Soil Sci. Soc. Am. J. 2017, 81, 299–309. [Google Scholar] [CrossRef]
- Yan, G.Y.; Xing, Y.J.; Han, S.J.; Zhang, J.H.; Wang, Q.G.; Mu, C.C. Long-time precipitation reduction and nitrogen deposition increase alter soil nitrogen dynamic by influencing soil bacterial communities and functional groups. Pedosphere 2020, 30, 363–377. [Google Scholar] [CrossRef]
- Samson, M.E.; Menasseri-Aubry, S.; Chantigny, M.H.; Angers, D.A.; Royer, I.; Vanasse, A. Crop response to soil management practices is driven by interactions among practices, crop species and soil type. Field Crop. Res. 2019, 243, 107623. [Google Scholar] [CrossRef]
- Li, Z.Q.; Zhang, X.; Xu, J.; Cao, K.; Wang, J.H.; Xu, C.X.; Cao, W.D. Green manure incorporation with reductions in chemical fertilizer inputs improves rice yield and soil organic matter accumulation. J. Soils Sediment. 2020, 20, 2784–2793. [Google Scholar] [CrossRef]
- Zhou, G.X.; Zhang, J.B.; Chen, L.; Zhang, C.Z.; Yu, Z.H. Temperature and straw quality regulate the microbial phospholipid fatty acid composition associated with straw decomposition. Pedosphere 2016, 26, 386–398. [Google Scholar] [CrossRef]
- Tinna, D.; Garg, N.; Sharma, S.; Pandove, G.; Chawla, N. Utilization of plant growth promoting rhizobacteria as root dipping of seedlings for improving bulb yield and curtailing mineral fertilizer use in onion under field conditions. Sci. Hortic. 2020, 270, 109432. [Google Scholar] [CrossRef]
- Chrysargyris, A.; Panayiotou, C.; Tzortzakis, N. Nitrogen and phosphorus levels affected plant growth, essential oil composition and antioxidant status of lavender plant (Lavandula angustifolia Mill.). Ind. Crop. Prod. 2016, 83, 577–586. [Google Scholar] [CrossRef]






| Soil Depth (cm) | Sand (%) | Silt (%) | Clay (%) | BD (g cm−3) | EC1:5 (dS m−1) | pH1:2.5 | SOC (g kg−1) | TN (g kg−1) | TP (g kg−1) |
|---|---|---|---|---|---|---|---|---|---|
| 0–10 | 79.35 | 17.45 | 3.19 | 1.49 | 1.82 | 8.06 | 4.13 | 0.55 | 0.73 |
| 10–20 | 79.01 | 17.72 | 3.26 | 1.53 | 1.43 | 8.16 | 4.04 | 0.54 | 0.69 |
| 20–40 | 80.54 | 16.37 | 3.08 | 1.52 | 2.32 | 7.98 | 3.69 | 0.47 | 0.67 |
| Treatment | Specific Measures | References |
|---|---|---|
| CK | No application of amendments. | |
| OM | Chicken manure was evenly applied at soil surface at 15 ton ha–1, then the plot was ploughed and harrowed to a depth of 10–15 cm with a physically acceptable evenness and mellowness. | [27] |
| PAM + OM | Both nonionic polyacrylamide (5%, approximately 2 ton ha–1) and chicken manure (15 ton ha–1) were evenly applied at soil surface, then the plot was ploughed and harrowed to a depth of 10–15 cm with a physically acceptable evenness and mellowness. | [28] |
| SM + OM | Chicken manure (15 ton ha–1) was evenly applied at soil surface, and the plot was ploughed and harrowed to a depth of 10–15 cm with a physically acceptable evenness and mellowness, then the wheat straw (15 ton ha–1) was cut to 10 cm long and evenly mulched. | [29] |
| BS + OM | Wheat straw (15 ton ha–1) was cut to 10 cm long and evenly buried nearly 20 cm underground after removal of soil, followed by the addition of chicken manure (15 ton ha–1); thereafter, the plot was ploughed and harrowed to a depth of 10–15 cm with a physically acceptable evenness and mellowness. | [30] |
| BM + OM | Both Jiahua (a compound bio-organic manure made from cow dung and crushed corn straw by deep fermentation and decomposition of Bacillus and Saccharomyces, containing approximately 2.0 × 108 CFU of viable bacteria g−1) and chicken manure were evenly applied at soil surface at a rate of 15 ton ha–1, and the plot was ploughed and harrowed to a depth of 10–15 cm with a physically acceptable evenness and mellowness. | [28] |
| Amendment | TOC (%) | TN (%) | TP (%) |
|---|---|---|---|
| Chicken manure | 13.14 | 1.42 | 0.87 |
| Polyacrylamide | – | 0.07 | – |
| Wheat straw | 16.53 | 0.62 | 0.23 |
| Jiahua bio-organic manure | 27.10 | 4.58 | 3.63 |
Publisher’s Note: MDPI stays neutral with regard to jurisdictional claims in published maps and institutional affiliations. |
© 2021 by the authors. Licensee MDPI, Basel, Switzerland. This article is an open access article distributed under the terms and conditions of the Creative Commons Attribution (CC BY) license (http://creativecommons.org/licenses/by/4.0/).
Share and Cite
Xie, X.; Xiang, Q.; Wu, T.; Zhu, M.; Xu, F.; Xu, Y.; Pu, L. Impacts of Agricultural Land Reclamation on Soil Nutrient Contents, Pools, Stoichiometry, and Their Relationship to Oat Growth on the East China Coast. Land 2021, 10, 355. https://doi.org/10.3390/land10040355
Xie X, Xiang Q, Wu T, Zhu M, Xu F, Xu Y, Pu L. Impacts of Agricultural Land Reclamation on Soil Nutrient Contents, Pools, Stoichiometry, and Their Relationship to Oat Growth on the East China Coast. Land. 2021; 10(4):355. https://doi.org/10.3390/land10040355
Chicago/Turabian StyleXie, Xuefeng, Qi Xiang, Tao Wu, Ming Zhu, Fei Xu, Yan Xu, and Lijie Pu. 2021. "Impacts of Agricultural Land Reclamation on Soil Nutrient Contents, Pools, Stoichiometry, and Their Relationship to Oat Growth on the East China Coast" Land 10, no. 4: 355. https://doi.org/10.3390/land10040355
APA StyleXie, X., Xiang, Q., Wu, T., Zhu, M., Xu, F., Xu, Y., & Pu, L. (2021). Impacts of Agricultural Land Reclamation on Soil Nutrient Contents, Pools, Stoichiometry, and Their Relationship to Oat Growth on the East China Coast. Land, 10(4), 355. https://doi.org/10.3390/land10040355
