Effect of Organic Fertilizer on Soil Bacteria in Maize Fields
Abstract
1. Introduction
2. Materials and methods
2.1. Field Experimental Conditions
2.2. Design of the Experiment
2.3. Sampling and Analysis
2.3.1. Sample Collection
2.3.2. Analysis of Soil Physiochemical Index
2.3.3. Analysis of Community Structure
2.3.4. Analysis of Soil Respiration Rate
2.4. Statistical Analysis
3. Results and Discussion
3.1. Changes in Soil Environment Factors
3.1.1. Changes in Soil Nutrients
3.1.2. Changes in Soil Heavy Metal
3.1.3. Changes in Soil Respiration Rate
3.2. Changes in Bacterial Diversity
3.3. Changes in Soil Bacterial Community
3.3.1. Bacterial Community Changes at the Phylum Level
Dominant Phylum After Fertilization
Difference Analysis of the Bacterial Community
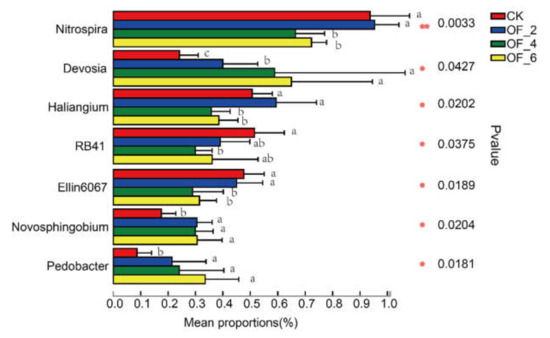
3.3.2. Changes in Bacterial Community at Genus Level
Seedling Stage
Three-Leaf Stage
Filling Stage
Mature Stage
3.3.3. Changes in the Composition of Bacterial Community
3.4. Correlations between Soil Properties and the Community Structure
4. Conclusions
Author Contributions
Funding
Institutional Review Board Statement
Informed Consent Statement
Data Availability Statement
Acknowledgments
Conflicts of Interest
References
- Qiu, H.G.; Liao, S.P.; Jing, Y.; Luan, J. Regional differences and development tendency of livestock manure pollution in China. Environ. Sci. 2013, 34, 2766–2774. [Google Scholar]
- Shen, Y.; Zhao, L.; Meng, H.; Hou, H.; Fei, W.; Cheng, H.; Liu, H. Effect of aeration rate, moisture content and composting period on availability of copper and lead during pig manure composting. Waste Manag. Res. 2016, 34, 578. [Google Scholar] [CrossRef] [PubMed]
- Kim, Y.K.; Cho, Y.Y.; Oh, H.J.; Kang, H.J.; Jwa, C.S. Growth, Yield and Nutrient Uptake of Radish as Affected by Amount of Organic Fertilizer in a Volcanic Ash soil. Korean J. Org. Agric. 2015, 23, 829–846. [Google Scholar] [CrossRef]
- Li, P.; Wu, J.Q.; Sha, C.Y.; Ye, C.M.; Huang, S.F. Effects of manure and organic fertilizer application on soil microbial community diversity in paddy fields. Environ. Sci. 2020, 41, 4262–4272. [Google Scholar] [CrossRef]
- Pan, X.; Zhang, S.; Zhong, Q.; Gong, G.; Wang, G.; Guo, X.; Xu, X. Effects of soil chemical properties and fractions of Pb, Cd, and Zn on bacterial and fungal communities. Sci. Total Environ. 2020, 715, 136904. [Google Scholar] [CrossRef] [PubMed]
- Zhang, X.; Meng, H.; Shen, Y.S.; Li, J.; Song, L.S. Survey on heavy metal concentrations and maturity indices of organic fertilizer in China. Int. J. Agric. Biol. Eng. 2018, 11, 172–179. [Google Scholar] [CrossRef]
- Lu, D.; Lei, J.; Wei, Y.Y.; Shen, F.K.; Huang, Y.H.; Gu, M.H. Effect of microbial community and diversity index of paddy soil under short no-tillage and ridge tillage. Southwest China J. Agric. Sci. 2015, 28, 1670–1674. [Google Scholar] [CrossRef]
- Ren, F.L.; Zhang, X.B.; Sun, N.; Xu, M. A meta-analysis of manure application impact on soil microbial biomass across China’s croplands. Chin. Agric. Sci. 2018, 51, 119–128. [Google Scholar] [CrossRef]
- Giacometti, C.; Cavani, L.; Baldoni, G.; Ciavatta, C.; Kandeler, E. Microplate-scale fluorometric soil enzyme assays as tools to assess soil quality in a long-term agricultural field experiment. Appl. Soil Ecol. 2014, 75, 80–85. [Google Scholar] [CrossRef]
- Lauber, C.L.; Hamady, M.; Knight, R.; Fiere, N. Pyrosequencing-Based Assessment of Soil pH as a Predictor of Soil Bacterial Community Structure at the Continental Scale. Appl. Environ. Microbiol. 2009, 75, 5111–5120. [Google Scholar] [CrossRef] [PubMed]
- Ye, C.M.; Huang, S.F.; Sha, C.Y.; Wu, J.Q.; Cui, C.Z.; Su, J.H.; Ruan, J.J.; Tan, J.; Tang, H.; Xue, J.J. Changes of bacterial community in arable soil after short-term application of fresh manures and organic Fertilizer. Environ. Technol. 2020, 1–24. [Google Scholar] [CrossRef]
- Gong, W.J.; Niu, Z.F.; Wang, X.R.; Zhao, H.P. How the Soil Microbial Communities and Activities Respond to Long-Term Heavy Metal Contamination in Electroplating Contaminated Site. Microorganisms 2021, 9, 362. [Google Scholar] [CrossRef]
- Sui, Q.W.; Zhang, J.Y.; Wei, Y.S.; Chen, M.X.; Dong, H.M.; Xiong, J.H. Veterinary antibiotics use occurrence of antibiotic resistance pathogen and its antibiotic resistance genes in animal production: An overview. Asian J. Ecotoxicol. 2015, 10, 20–34. [Google Scholar] [CrossRef]
- Saleem, M.; Hu, J.; Jousset, A. More Than the Sum of Its Parts: Microbiome Biodiversity as a Driver of Plant Growth and Soil Health. Annu. Rev. Ecol. Evol. Syst. 2019, 50, 145–168. [Google Scholar] [CrossRef]
- Monard, C.; Vandenkoornhuyse, P.; Bot, B.; Binet, F. Relationship between bacterial diversity and function under biotic control: The soil pesticide degraders as a case study. ISME J. 2011, 5, 1048–1056. [Google Scholar] [CrossRef] [PubMed]
- Guo, Y.; Wang, Y.M.; Wu, P.; Peng, S. Influence of long-term manure application in paddy soil on the functional diversity of microbial community. Chin. J. Appl. Environ. Biol. 2019, 25, 593–602. [Google Scholar] [CrossRef]
- Xun, W.B.; Wu, X.; Huang, T.; Ran, W.; Li, D.C.; Shen, Q.R.; Li, Q.; Zhang, R.F. Swine manure and quicklime have different impacts on chemical properties and composition of bacterial communities of an acidic soil. Appl. Soil Ecol. 2016, 100, 38–44. [Google Scholar] [CrossRef]
- Luo, P.; Han, X.; Wang, Y.; Han, M.; Shi, H.; Liu, N.; Bai, H. Influence of long-term fertilization on soil microbial biomass, dehydrogenase activity, and bacterial and fungal community structure in a brown soil of northeast China. Ann. Microbiol. 2014, 65, 533–542. [Google Scholar] [CrossRef] [PubMed]
- Sun, J.; Zhang, Q.; Zhou, J.; Wei, Q. Pyrosequencing technology reveals the impact of different manure doses on the bacterial community in apple rhizosphere soil. Appl. Soil Ecol. 2014, 78, 28–36. [Google Scholar] [CrossRef]
- Zhang, J.; Dong, X.C.; Zhan, H.; Deng, D.L.; Luo, C.Y.; Zhang, C.H.; Qiu, H.Z. Effect of long-term nitrogen application on bacterial community structure of potato soil in semi-arid area. J. Gansu Agric. Univ. 2019, 54, 30–41. [Google Scholar] [CrossRef]
- Zhang, L.Q. Effect of Long-Term Rotation and Fertilization to Soil Fertility and Its Comprehensive Evaluation. Northwest A&F University, China. 2016. Available online: http://cdmd.cnki.com.cn/Article/CDMD-10712-1016175373.htm (accessed on 18 January 2021).
- Wang, Z.F.; Chen, J.; Dai, J.P.; Ahmat, G.; Wang, X.W.; Qin, X.Z.; Li, C.H.; Yang, X.P. Analysis on the diversity of bacterial flora during the natural decomposing process of corn straws by illumina miseq sequencing. Xinjiang Agric. Sci 2019, 56, 111–119. [Google Scholar] [CrossRef]
- Provolo, G.; Manuli, G.; Finzi, A.; Lucchini, G.; Riva, E.; Sacchiet, G. Effect of Pig and Cattle Slurry Application on Heavy Metal Composition of Maize Grown on Different Soils. Sustainability 2018, 10, 2684. [Google Scholar] [CrossRef]
- Chen, Y.L. The effects of different nitreon sources on pH and the nutrient availability in the rhizosphere of korean pine. J. Nanjing For. Univ. 2004, 28, 42–46. [Google Scholar] [CrossRef]
- Pan, X.; Han, Z.; Ben, W.W. Heavy Metal Contents in Pig Manure and Pig Feeds from Intensive Pig Farms in Shandong Province, China. J. Agric. Environ. Sci. 2013, 32, 160–165. [Google Scholar] [CrossRef]
- Wu, R.J.; Wang, Y.C.; Zhu, P.; He, M.; Huang, C.C.; Wang, L.G.; Zhang, F.L. Effects of long-term fertilization on soil respiration in spring maize field in the central part of northeast China. Plant Nutr. Fert. Sci. 2018, 24, 44–52. [Google Scholar] [CrossRef]
- Yan, J.X.; Zhang, Y.; Jiao, X.Y. Effect of Fertilization on Soil Respiration and Its Temperature Sensitivity in a Sorghum Field. Huan Jing Ke Xue 2019, 40, 5515–5523. [Google Scholar] [CrossRef]
- Calleja-Cervantes, M.E.; Menéndez, S.; Fernández-González, A.J.; Irigoyen, I.; Cibriáin-Sabalza, J.F.; Toro, N.; Aparicio-Tejo, P.M.; Fernández-López, M. Changes in soil nutrient content and bacterial community after 12 years of organic amendment application to a vineyard. Eur. J. Soil Sci. 2015, 66, 802–812. [Google Scholar] [CrossRef]
- Kumar, U.; Nayak, A.K.; Shahid, M.; Vadakattu, G.; Panneerselvam, P.; Mohanty, S.S.; Kaviraj, M.; Kumar, A.; Chatterjee, D.; Lal, B.; et al. Continuous application of inorganic and organic fertilizers over 47 years in paddy soil alters the bacterial community structure and its influence on rice production. Agric. Ecosyst. Environ. 2018, 262, 65–75. [Google Scholar] [CrossRef]
- Lipson, D.A. Relationships between temperature responses and bacterial community structure along seasonal and altitudinal gradients. FEMS Microbiol. Ecol. 2007, 59, 418–427. [Google Scholar] [CrossRef] [PubMed]
- Kulichevskaya, I.S.; Belova, S.E.; Kevbrin, V.V.; Dedyshet, S.N.; Zavarzinal, G.A. Analysis of the bacterial community developing in the course of Sphagnum moss decomposition. Microbiology 2007, 76, 621–629. [Google Scholar] [CrossRef]
- Davide, F.; Elke, S.; Guillaume, L.; Tesfaye, W.; Francois, B.; Thomas, R. Mineral vs. organic amendments: Microbial community structure, activity and abundance of agriculturally relevant microbes are driven by long-term fertilization strategies. Front. Microbiol. 2016, 7, 1446. [Google Scholar] [CrossRef]
- Tang, H.; Shi, X.X.; Wang, X.F.; Hao, H.; Zhang, X.M.; Zhang, L.P. Environmental Controls Over Actinobacteria Communities in Ecological Sensitive Yanshan Mountains Zone. Front. Microbiol. 2016, 7, 343. [Google Scholar] [CrossRef]
- Baker, B.J.; Sheik, C.S.; Taylor, C.A.; Jain, S.; Dick, G.J. Community transcriptomic assembly reveals microbes that contribute to deep-sea carbon and nitrogen cycling. ISME J. 2013, 7, 1962–1973. [Google Scholar] [CrossRef] [PubMed]
- Kong, Y.; Ling, N.; Xue, C.; Chen, H.; Ruan, Y.; Guo Jj Chen, Z.; Wang, M.; Shen, Q.R.; Guo, S.W. Long-term fertilization regimes change soil nitrification potential by impacting active autotrophic ammonia oxidizers and nitrite oxidizers as assessed by DNA stable isotope probing. Environ. Microbiol. 2019, 21, 1224–1240. [Google Scholar] [CrossRef]
- Cao, Y.; Chang, Z.Z.; Huang, H.Y.; Xu, Y.D.; Wu, H.S. Chemical and Biological Changes During Early Stage of Composting of Different Animal Wastes. J. Agric. Environ. Sci. 2015, 34, 2198–2207. [Google Scholar] [CrossRef]
- Kawai, F.; Thumarat, U.; Kitadokoro, K.; Waku, T.; Tada, T.; Tanaka, N.; Kawabata, T. Comparison of polyester-degrading cutinases from genus thermobifida. ACS Symp. Ser. 2013, 1144, 111–120. [Google Scholar] [CrossRef]
- Xu, L.P.; Jiang, Z.; Ge, Y.L.; Sun, H.W. Bacterial Community on the Corn Straw in Suihua Area of Heilongjiang Province by Illumina Miseq Sequencing. Sci. Technol. Food Ind. 2018, 39, 105–110. [Google Scholar] [CrossRef]
- Uddin, M.; Chen, J.; Qiao, X.; Tian, R.; Arafat, Y.; Yang, X.J. Bacterial community variations in paddy soils induced by application of veterinary antibiotics in plant-soil systems. Ecotoxicol. Environ. Saf. 2019, 167, 44–53. [Google Scholar] [CrossRef]
- Liu, P.; Jia, S.; He, X.; Zhang, X.; Ye, L. Different impacts of manure and chemical fertilizers on bacterial community structure and antibiotic resistance genes in arable soils. Chemosphere 2017, 188, 455–464. [Google Scholar] [CrossRef]
- Liang, Z.T.; Deng, J.Q.; Wang, Z.K.; Shen, Y.Z.; Wang, X.Z. Difference in soil bacterial community composition among three forage-crop rotations on the Longdong Loes Plateau. Acta Pratacul Turae Sinica 2017, 26, 180–191. [Google Scholar] [CrossRef]
- Wei, W.; Xu, Y.L.; Zhu, L.; Han, X.Z. Effect of long-team fertilization on soil microbial communities in farmland of black soil. Acta Pedol. Sin. 2013, 50, 372–380. [Google Scholar] [CrossRef]
- Ren, B.; Hu, Y.; Chen, B.; Zhang, Y.; Thiele, J.; Shi, R.; Liu, M.; Bu, R. Soil pH and plant diversity shape soil bacterial community structure in the active layer across the latitudinal gradients in continuous permafrost region of Northeastern China. Sci. Rep. 2018, 8. [Google Scholar] [CrossRef] [PubMed]










| Time | Group | pH | SOM | TN | AN | TP | AP | TK | AK |
|---|---|---|---|---|---|---|---|---|---|
| Seedling stage | CK | 7.78 ± 0.074a | 16 ± 2b | 0.94 ± 0.11b | 0.20 ± 0.01a | 0.91 ± 0.26b | 64.5 ± 9.9b | 13.05 ± 2.60b | 87.2 ± 44.4b |
| OF_2 | 7.65 ± 0.065ab | 32 ± 9a | 1.05 ± 0.10b | 0.20 ± 0.02a | 1.10 ± 0.13a | 80.2 ± 18.3ab | 16.00 ± 2.43b | 129.0 ± 4.3b | |
| OF_4 | 7.56 ± 0.037b | 37 ± 2a | 1.33 ± 0.07a | 0.20 ± 0.02a | 1.16 ± 0.11a | 96.7 ± 29.0a | 17.60 ± 1.15ab | 182.7 ± 44.3a | |
| OF_6 | 7.52 ± 0.037b | 38 ± 8a | 1.41 ± 0.09a | 0.17 ± 0.02a | 1.24 ± 0.13a | 101.3 ± 13.6a | 20.77 ± 3.65a | 195.3 ± 15.6a | |
| Three-leaf stage | CK | 7.99 ± 0.238a | 16 ± 2a | 0.96 ± 0.05c | 96.00 ± 41.82a | 1.17 ± 0.10a | 131.7 ± 25.5b | 17.67 ± 1.42ab | 120.9 ± 29.9c |
| OF_2 | 8.07 ± 0.065a | 19 ± 0ab | 1.20 ± 0.07bc | 62.67 ± 14.34a | 0.83 ± 0.37a | 171.3 ± 45.2ab | 16.37 ± 0.17ab | 179.3 ± 17.8c | |
| OF_4 | 7.90 ± 0.037ab | 24 ± 4a | 1.36 ± 0.19ab | 87.00 ± 4.55a | 1.00 ± 0.42a | 214.3 ± 85.5a | 16.77 ± 0.05a | 253.3 ± 26.3b | |
| OF_6 | 7.78 ± 0.037b | 29 ± 2a | 1.73 ± 0.18a | 69.33 ± 12.26a | 1.48 ± 0.14a | 270.0 ± 53.6a | 16.63 ± 2.16a | 315.7 ± 36.4a | |
| Filling stage | CK | 8.06 ± 0.014a | 17 ± 2b | 1.30 ± 0.08ab | 73.00 ± 24.54a | 1.16 ± 0.06a | 130.7 ± 7.8ab | 16.50 ± 1.28a | 116.8 ± 31.1c |
| OF_2 | 7.80 ± 0.025a | 17 ± 3b | 1.19 ± 0.03b | 53.67 ± 9.74a | 1.13 ± 0.08a | 104.0 ± 19.1b | 17.10 ± 1.30a | 167.7 ± 12.3c | |
| OF_4 | 7.54 ± 0.232b | 23 ± 2ab | 1.44 ± 0.14ab | 57.33 ± 4.03a | 1.23 ± 0.13a | 147.3 ± 43.3ab | 16.57 ± 2.82a | 189.7 ± 31.9b | |
| OF_6 | 7.64 ± 0.033b | 25 ± 3a | 1.67 ± 0.09a | 83.33 ± 4.11a | 1.37 ± 0.17a | 210.0 ± 52.7a | 12.87 ± 2.61a | 251.7 ± 9.0a | |
| Mature stage | CK | 8.21 ± 0.059a | 17 ± 1c | 1.27 ± 0.05c | 65.33 ± 2.62b | 1.12 ± 0.06b | 61.3 ± 5.7b | 8.37 ± 0.06a | 87.3 ± 4.0d |
| OF_2 | 8.01 ± 0.021b | 21 ± 1b | 1.17 ± 0.08c | 89.33 ± 14.38a | 1.19 ± 0.10b | 70.0 ± 10.4b | 8.21 ± 0.24a | 183.0 ± 4.1c | |
| OF_4 | 7.92 ± 0.049b | 25 ± 1a | 1.42 ± 0.10b | 77.67 ± 7.04ab | 1.27 ± 0.09b | 92.0 ± 18.5b | 6.92 ± 0.38a | 212.3 ± 17.6b | |
| OF_6 | 7.80 ± 0.059c | 27 ± 1a | 1.63 ± 0.07a | 92.33 ± 3.40a | 1.52 ± 0.17a | 136.0 ± 18.8a | 6.90 ± 0.30a | 273.0 ± 8.0a |
| Stage | Group | Cd | Hg | As | Pb | Cr |
|---|---|---|---|---|---|---|
| Seedling stage | CK | 0.14 ± 0.02a | 0.089 ± 0.005b | 7.13 ± 0.99b | 34.3 ± 5.1a | 42 ± 6c |
| OF_2 | 0.15 ± 0.00a | 0.111 ± 0.007ab | 10.11 ± 1.03ab | 37.1 ± 4.0a | 52 ± 7b | |
| OF_4 | 0.15 ± 0.00a | 0.109 ± 0.011b | 12.73 ± 3.32a | 36.7 ± 5.1a | 61 ± 6a | |
| OF_6 | 0.16 ± 0.01a | 0.137 ± 0.018a | 12.41 ± 0.69a | 36.2 ± 3.6a | 51 ± 11ab | |
| Three-leaf stage | CK | 0.12 ± 0.01a | 0.097 ± 0.006a | 5.29 ± 0.50a | 33.0 ± 8.3a | 78 ± 7a |
| OF_2 | 0.13 ± 0.00a | 0.101 ± 0.018a | 5.00 ± 0.08a | 32.8 ± 3.0a | 64 ± 5a | |
| OF_4 | 0.12 ± 0.01a | 0.104 ± 0.014a | 4.77 ± 0.52a | 33.7 ± 1.7a | 68 ± 11a | |
| OF_6 | 0.11 ± 0.04a | 0.119 ± 0.033a | 4.29 ± 0.10a | 23.9 ± 8.0a | 65 ± 9a | |
| Filling stage | CK | 0.14 ± 0.00a | 0.068 ± 0.011b | 8.59 ± 0.09a | 34.5 ± 2.2a | 52 ± 3a |
| OF_2 | 0.12 ± 0.00ab | 0.105 ± 0.012ab | 7.75 ± 0.24ab | 32.7 ± 2.7a | 23 ± 4b | |
| OF_4 | 0.08 ± 0.01b | 0.138 ± 0.027a | 6.85 ± 0.82b | 27.5 ± 8.3a | 25 ± 11b | |
| OF_6 | 0.10 ± 0.04ab | 0.152 ± 0.027a | 8.03 ± 0.72ab | 29.6 ± 5.3a | 42 ± 8a | |
| Mature stage | CK | 0.11 ± 0.01a | 0.077 ± 0.002b | 8.06 ± 0.10b | 26.9 ± 0.6a | 36 ± 4a |
| OF_2 | 0.14 ± 0.01a | 0.113 ± 0.004a | 8.89 ± 0.47ab | 24.9 ± 0.6a | 45 ± 6a | |
| OF_4 | 0.16 ± 0.01a | 0.140 ± 0.020a | 9.26 ± 0.51a | 24.8 ± 0.3a | 42 ± 8a | |
| OF_6 | 0.16 ± 0.03a | 0.123 ± 0.003a | 9.25 ± 0.39a | 24.9 ± 0.9a | 49 ± 2a |
| Biodiversity Index | Growth Stage | CK | OF_2 | OF_4 | OF_6 |
|---|---|---|---|---|---|
| Shannon-wiener Index | Seedling stage | 6.8834 ± 0.1708a | 6.7949 ± 0.1653a | 6.8714 ± 0.0704a | 6.8443 ± 0.2595a |
| Three-leaf stage | 6.9041 ± 0.1727a | 6.9553 ± 0.0614a | 6.8343 ± 0.1597a | 6.8282 ± 0.1598a | |
| Filling stage | 6.7044 ± 0.1043a | 6.7042 ± 0.2088a | 6.8142 ± 0.0996a | 6.6102 ± 2.4029a | |
| Mature stage | 6.7641 ± 0.2794a | 6.8824 ± 0.1223a | 6.9137 ± 0.0630a | 6.8474 ± 0.1585a | |
| Ace Index | Seedling stage | 5689.60 ± 171.70a | 5192.00 ± 335.81b | 5494.70 ± 505.90ab | 5668.60 ± 340.41a |
| Three-leaf stage | 5224.80 ± 125.18a | 4859.10 ± 178.83b | 4883.50 ± 292.51b | 5140.00 ± 526.68a | |
| Filling stage | 4365.90 ± 301.31a | 4273.30 ± 396.61a | 4403.8 ± 408.54a | 4489.00 ± 1890.00a | |
| Mature stage | 4788.80 ± 452.24a | 4538.30 ± 257.23b | 4513.5 ± 331.62ab | 4721.3 ± 346.83a |
Publisher’s Note: MDPI stays neutral with regard to jurisdictional claims in published maps and institutional affiliations. |
© 2021 by the authors. Licensee MDPI, Basel, Switzerland. This article is an open access article distributed under the terms and conditions of the Creative Commons Attribution (CC BY) license (http://creativecommons.org/licenses/by/4.0/).
Share and Cite
Wu, J.; Sha, C.; Wang, M.; Ye, C.; Li, P.; Huang, S. Effect of Organic Fertilizer on Soil Bacteria in Maize Fields. Land 2021, 10, 328. https://doi.org/10.3390/land10030328
Wu J, Sha C, Wang M, Ye C, Li P, Huang S. Effect of Organic Fertilizer on Soil Bacteria in Maize Fields. Land. 2021; 10(3):328. https://doi.org/10.3390/land10030328
Chicago/Turabian StyleWu, Jianqiang, Chenyan Sha, Min Wang, Chunmei Ye, Peng Li, and Shenfa Huang. 2021. "Effect of Organic Fertilizer on Soil Bacteria in Maize Fields" Land 10, no. 3: 328. https://doi.org/10.3390/land10030328
APA StyleWu, J., Sha, C., Wang, M., Ye, C., Li, P., & Huang, S. (2021). Effect of Organic Fertilizer on Soil Bacteria in Maize Fields. Land, 10(3), 328. https://doi.org/10.3390/land10030328
