Simulation of Gross Primary Productivity Using Multiple Light Use Efficiency Models
Abstract
1. Introduction
2. Materials and Methods
2.1. Study Area
2.2. LUE Models
2.3. Bayesian Model Averaging
2.4. Model Accuracy Evaluation
3. Results
3.1. Carbon Flux Dynamics in the Heihe River Basin
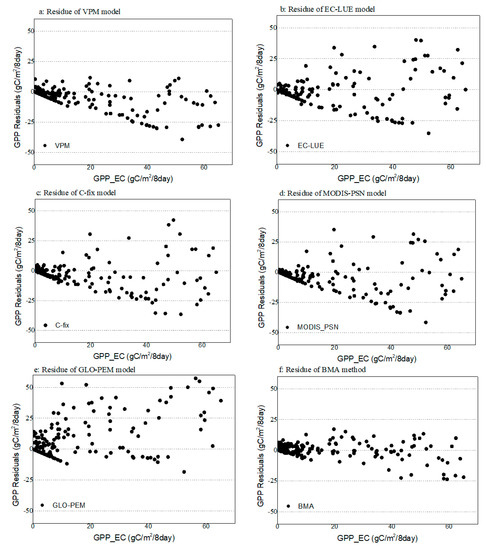
3.2. The BMA Based GPP Estimation
4. Discussion
5. Conclusions
Author Contributions
Funding
Data Availability Statement
Acknowledgments
Conflicts of Interest
References
- Beer, C.; Reichstein, M.; Tomelleri, E.; Ciais, P.; Jung, M.; Carvalhais, N.; Rödenbeck, C.; Arain, M.A.; Baldocchi, D.; Bonan, G.B.; et al. Terrestrial Gross Carbon Dioxide Uptake: Global Distribution and Covariation with Climate. Science 2010, 329, 834–838. [Google Scholar] [CrossRef]
- Turner, D.P.; Ritts, W.D.; Cohen, W.B.; Gower, S.T.; Zhao, M.; Running, S.W.; Wofsy, S.C.; Urbanski, S.; Dunn, A.L.; Munger, J.W. Scaling Gross Primary Production (GPP) over boreal and deciduous forest landscapes in support of MODIS GPP product validation. Remote Sens. Environ. 2003, 88, 256–270. [Google Scholar] [CrossRef]
- Yuan, W.; Cai, W.; Xia, J.; Chen, J.; Liu, S.; Dong, W.; Merbold, L.; Law, B.; Arain, A.; Beringer, J.; et al. Global comparison of light use efficiency models for simulating terrestrial vegetation gross primary production based on the LaThuile database. Agric. For. Meteorol. 2014, 192–193, 108–120. [Google Scholar] [CrossRef]
- Baldocchi, D.; Falge, E.; Gu, L.; Olson, R.; Hollinger, D.; Running, S.; Anthoni, P.; Bernhofer, C.; Davis, K.; Evans, R.; et al. FLUXNET: A New Tool to Study the Temporal and Spatial Variability of Ecosystem-Scale Carbon Dioxide, Water Vapor, and Energy Flux Densities. Bull. Am. Meteorol. Soc. 2001, 82, 2415–2434. [Google Scholar] [CrossRef]
- Veroustraete, F.; Sabbe, H.; Eerens, H. Estimation of carbon mass fluxes over Europe using the C-Fix model and Euroflux data. Remote Sens. Environ. 2002, 83, 376–399. [Google Scholar] [CrossRef]
- Yuan, W.; Liu, S.; Zhou, G.; Zhou, G.; Tieszen, L.L.; Baldocchi, D.; Bernhofer, C.; Gholz, H.; Goldstein, A.H.; Goulden, M.L.; et al. Deriving a light use efficiency model from eddy covariance flux data for predicting daily gross primary production across biomes. Agric. For. Meteorol. 2007, 143, 189–207. [Google Scholar] [CrossRef]
- Running, S.W.; Nemani, R.R.; Heinsch, F.A.; Zhao, M.; Reeves, M.; Hashimoto, H. A Continuous Satellite-Derived Measure of Global Terrestrial Primary Production. Bioscience 2004, 54, 547–560. [Google Scholar] [CrossRef]
- Xiao, X.; Hollinger, D.; Aber, J.; Goltz, M.; Davidson, E.A.; Zhang, Q.; Moore, B. Satellite-based modeling of gross primary production in an evergreen needleleaf forest. Remote Sens. Environ. 2004, 89, 519–534. [Google Scholar] [CrossRef]
- Ballantyne, A.; Smith, W.; Anderegg, W.; Kauppi, P.; Sarmiento, J.; Tans, P.; Shevliakova, E.; Pan, Y.; Poulter, B.; Anav, A.; et al. Accelerating net terrestrial carbon uptake during the warming hiatus due to reduced respiration. Nat. Clim. Chang. 2017, 7, 148–152. [Google Scholar] [CrossRef]
- Duan, Q. Multi-model ensemble hydrologic prediction using Bayesian model averaging. Adv. Water Resour. 2007, 30, 1371–1386. [Google Scholar] [CrossRef]
- Zhu, G.; Li, X.; Zhang, K.; Ding, Z.; Han, T.; Ma, J.; Huang, C.; He, J.; Ma, T. Multi-model ensemble prediction of terrestrial evapotranspiration across north China using Bayesian model averaging. Hydrol. Process. 2016, 30, 2861–2879. [Google Scholar] [CrossRef]
- Li, X.; Li, X.; Li, Z.; Ma, M.; Wang, J.; Xiao, Q.; Liu, Q.; Che, T.; Chen, E.; Yan, G.; et al. Watershed Allied Telemetry Experimental Research. J. Geophys. Res. 2009, 114. [Google Scholar] [CrossRef]
- Li, X.; Cheng, G.D.; Liu, S.M.; Xiao, Q.; Ma, M.G.; Jin, R.; Che, T.; Liu, Q.H.; Wang, W.Z.; Qi, Y.; et al. Heihe Watershed Allied Telemetry Experimental Research (HiWATER): Scientific Objectives and Experimental Design. Bull. Am. Meteorol. Soc. 2013, 94, 1145–1160. [Google Scholar] [CrossRef]
- Liu, S.; Li, X.; Xu, Z.; Che, T.; Xiao, Q.; Ma, M.; Liu, Q.; Jin, R.; Guo, J.; Wang, L.; et al. The Heihe Integrated Observatory Network: A Basin-Scale Land Surface Processes Observatory in China. Vadose Zone J. 2018, 17. [Google Scholar] [CrossRef]
- Zhang, Z.; Wang, W.; Ma, M.; Xu, Z.; Wu, Y.; Huang, G.; Tan, J. Data Processing and Product Analysis of Eddy Covariance Flux Data for WATER. Remote Sens. Technol. Appl. 2010, 25, 788–796. [Google Scholar]
- Wutzler, T.; Lucas-Moffat, A.; Migliavacca, M.; Knauer, J.; Sickel, K.; Šigut, L.; Menzer, O.; Reichstein, M. Basic and extensible post-processing of eddy covariance flux data with REddyProc. Biogeosciences 2018, 15, 5015–5030. [Google Scholar] [CrossRef]
- Prince, S.D.; Goward, S.N. Global Primary Production: A Remote Sensing Approach. J. Biogeogr. 1995, 22, 815–835. [Google Scholar] [CrossRef]
- Xiao, X.; Zhang, Q.; Braswell, B.; Urbanski, S.; Boles, S.; Wofsy, S.; Moore, B.; Ojima, D. Modeling gross primary production of temperate deciduous broadleaf forest using satellite images and climate data. Remote Sens. Environ. 2004, 91, 256–270. [Google Scholar] [CrossRef]
- Foken, T.; Wichura, B. Tools for quality assessment of surface-based flux measurements. Agric. For. Meteorol. 1996, 78, 83–105. [Google Scholar] [CrossRef]
- Papale, D.; Reichstein, M.; Aubinet, M.; Canfora, E.; Bernhofer, C.; Kutsch, W.; Longdoz, B.; Rambal, S.; Valentini, R.; Vesala, T.; et al. Towards a standardized processing of Net Ecosystem Exchange measured with eddy covariance technique: Algorithms and uncertainty estimation. Biogeosciences 2006, 3, 571–583. [Google Scholar] [CrossRef]
- LASSLOP, G.; REICHSTEIN, M.; PAPALE, D.; RICHARDSON, A.D.; ARNETH, A.; BARR, A.; STOY, P.; WOHLFAHRT, G. Separation of net ecosystem exchange into assimilation and respiration using a light response curve approach: Critical issues and global evaluation. Glob. Chang. Biol. 2010, 16, 187–208. [Google Scholar] [CrossRef]
- Reichstein, M.; Falge, E.; Baldocchi, D.; Papale, D.; Aubinet, M.; Berbigier, P.; Bernhofer, C.; Buchmann, N.; Gilmanov, T.; Granier, A.; et al. On the separation of net ecosystem exchange into assimilation and ecosystem respiration: Review and improved algorithm. Glob. Chang. Biol 2005, 11, 1424–1439. [Google Scholar] [CrossRef]
- Wang, X.; Ma, M.; Huang, G.; Veroustraete, F.; Zhang, Z.; Song, Y.; Tan, J. Vegetation primary production estimation at maize and alpine meadow over the Heihe River Basin, China. Int. J. Appl. Earth Obs. Geoinf. 2012, 17, 94–101. [Google Scholar] [CrossRef]
- Wang, X.; Ma, M.; Li, X.; Song, Y.; Tan, J.; Huang, G.; Zhang, Z.; Zhao, T.; Feng, J.; Ma, Z.; et al. Validation of MODIS-GPP product at 10 flux sites in northern China. Int. J. Remote Sens. 2013, 34, 587–599. [Google Scholar] [CrossRef]
- Wang, X.; Xiao, J.; Li, X.; Cheng, G.; Ma, M.; Che, T.; Dai, L.; Wang, S.; Wu, J. No Consistent Evidence for Advancing or Delaying Trends in Spring Phenology on the Tibetan Plateau. J. Geophys. Res. 2017, 122, 3288–3305. [Google Scholar] [CrossRef]
- Wang, H.; Li, X.; Ma, M.; Geng, L. Improving Estimation of Gross Primary Production in Dryland Ecosystems by a Model-Data Fusion Approach. Remote Sens. 2019, 11, 225. [Google Scholar] [CrossRef]
- Parrish, M.A.; Moradkhani, H.; DeChant, C.M. Toward reduction of model uncertainty: Integration of Bayesian model averaging and data assimilation. Water Resour. Res. 2012, 48. [Google Scholar] [CrossRef]
- Zhang, Y.; Xiao, X.; Guanter, L.; Zhou, S.; Ciais, P.; Joiner, J.; Sitch, S.; Wu, X.; Nabel, J.; Dong, J.; et al. Precipitation and carbon-water coupling jointly control the interannual variability of global land gross primary production. Sci. Rep. 2016, 6, 39748. [Google Scholar] [CrossRef]
- Dormann, C.F.; Calabrese, J.M.; Guillera-Arroita, G.; Matechou, E.; Bahn, V.; Bartoń, K.; Beale, C.M.; Ciuti, S.; Elith, J.; Gerstner, K.; et al. Model averaging in ecology: A review of Bayesian, information-theoretic, and tactical approaches for predictive inference. Ecol. Monogr. 2018, 88, 485–504. [Google Scholar] [CrossRef]
- Raftery, A.E.; Gneiting, T.; Balabdaoui, F.; Polakowski, M. Using Bayesian Model Averaging to Calibrate Forecast Ensembles. Mon. Weather Rev. 2005, 133, 1155–1174. [Google Scholar] [CrossRef]
- Wu, C.; Munger, J.W.; Niu, Z.; Kuang, D. Comparison of multiple models for estimating gross primary production using MODIS and eddy covariance data in Harvard Forest. Remote Sens. Environ. 2010, 114, 2925–2939. [Google Scholar] [CrossRef]
- Sun, Z.; Wang, X.; Zhang, X.; Tani, H.; Guo, E.; Yin, S.; Zhang, T. Evaluating and comparing remote sensing terrestrial GPP models for their response to climate variability and CO2 trends. Sci. Total Environ. 2019, 668, 696–713. [Google Scholar] [CrossRef] [PubMed]
- Vrugt, J.A.; Diks, C.G.H.; Clark, M.P. Ensemble Bayesian model averaging using Markov Chain Monte Carlo sampling. Environ. Fluid Mech. 2008, 8, 579–595. [Google Scholar] [CrossRef]




| Site Name | Land Cover | Latitude | Longitude | Elevation (m) |
|---|---|---|---|---|
| Arou | Grassland | 38.0473 | 100.4643 | 3033 |
| Dashalong | Grassland | 38.8399 | 98.9406 | 3739 |
| Daman | Cropland (Maize) | 38.85551 | 100.3722 | 1556 |
| Shidi | Wetland | 38.97514 | 100.4464 | 1460 |
| Sidaoqiao | Shrubland | 42.0012 | 101.1374 | 873 |
| Model | Main Formula | Input Variables |
|---|---|---|
| GLO-PEM | GPP = APAR × LUEmax× f(T) × f(SM) × f(VPD) | PAR, NDVI, T, SM, VPD |
| VPM | GPP = APAR × LUEmax× f(T) × f(LSWI) × f(P) | PAR, EVI, T, LSWI |
| C-Fix | GPP = APAR × LUEmax× f(T) × f(CO2) | PAR, NDVI, T, CO2 |
| EC-LUE | GPP = APAR × LUEmax× f(T) × f(EF) | PAR, NDVI, T, EF |
| MODIS-PSN | GPP = APAR × LUEmax× f(TMIN) × f(VPD) | PAR, NDVI, TMIN, VPD |
| Site Name | GPP (gC/m2/yr) | NEE (gC/m2/yr) | ER (gC/m2/yr) | |||
|---|---|---|---|---|---|---|
| 2014 | 2015 | 2014 | 2015 | 2014 | 2015 | |
| Arou | 845.90 | 879.63 | −175.61 | −112.54 | 670.29 | 767.08 |
| Dashalong | 506.58 | 449.24 | −314.61 | −305.16 | 191.97 | 144.08 |
| Daman | 1329.96 | 1397.60 | −726.94 | −648.23 | 603.02 | 749.36 |
| Shidi | 1008.57 | 1165.77 | −559.52 | −609.76 | 449.05 | 556.02 |
| Sidaoqiao | 664.82 | 753.58 | −190.00 | −211.96 | 474.82 | 541.62 |
| Site | R2 | RMSE (gC/m2/8 day) | |||||||||||
|---|---|---|---|---|---|---|---|---|---|---|---|---|---|
| VPM | EC-LUE | C-Fix | GLO-PEM | MODIS_PSN | BMA | VPM | EC-LUE | C-Fix | GLO-PEM | MODIS_PSN | BMA | ||
| Arou | Training | 0.95 | 0.95 | 0.95 | 0.95 | 0.97 | 0.96 | 6.7 | 8.1 | 8.4 | 26.0 | 6.0 | 4.8 |
| Validation | 0.95 | 0.94 | 0.94 | 0.94 | 0.95 | 0.95 | 10.1 | 7.0 | 10.9 | 23.8 | 10.3 | 6.9 | |
| Dashalong | Training | 0.83 | 0.79 | 0.73 | 0.79 | 0.79 | 0.8 | 8.8 | 7.1 | 10.7 | 10.9 | 9.6 | 6.0 |
| Validation | 0.88 | 0.91 | 0.84 | 0.82 | 0.76 | 0.87 | 7.1 | 3.9 | 8.2 | 13.2 | 8.4 | 4.7 | |
| Daman | Training | 0.95 | 0.94 | 0.95 | 0.94 | 0.96 | 0.95 | 11.5 | 13.6 | 9.6 | 23.9 | 10.9 | 8.4 |
| Validation | 0.96 | 0.96 | 0.97 | 0.95 | 0.98 | 0.97 | 15.7 | 8.4 | 8.2 | 41.5 | 6.7 | 8.6 | |
| Shidi | Training | 0.83 | 0.85 | 0.87 | 0.81 | 0.82 | 0.84 | 9.9 | 15.5 | 14.7 | 39.5 | 13.6 | 8.6 |
| Validation | 0.75 | 0.82 | 0.79 | 0.83 | 0.82 | 0.81 | 18.4 | 16.1 | 17.0 | 40.9 | 13.5 | 15.1 | |
| Sidaoqiao | Training | 0.93 | 0.91 | 0.94 | 0.93 | 0.91 | 0.95 | 5.7 | 7.2 | 4.8 | 24.3 | 8.5 | 3.4 |
| Validation | 0.85 | 0.84 | 0.87 | 0.85 | 0.78 | 0.87 | 9.3 | 9.7 | 7.4 | 25.7 | 11.6 | 7.6 | |
| All sites | Training | 0.90 | 0.90 | 0.90 | 0.89 | 0.90 | 0.91 | 9.5 | 11.0 | 10.2 | 21.6 | 10.8 | 5.8 |
| Validation | 0.88 | 0.90 | 0.89 | 0.88 | 0.85 | 0.90 | 12.7 | 9.9 | 10.9 | 25.1 | 11.3 | 8.1 | |
Publisher’s Note: MDPI stays neutral with regard to jurisdictional claims in published maps and institutional affiliations. |
© 2021 by the authors. Licensee MDPI, Basel, Switzerland. This article is an open access article distributed under the terms and conditions of the Creative Commons Attribution (CC BY) license (http://creativecommons.org/licenses/by/4.0/).
Share and Cite
Zhang, J.; Wang, X.; Ren, J. Simulation of Gross Primary Productivity Using Multiple Light Use Efficiency Models. Land 2021, 10, 329. https://doi.org/10.3390/land10030329
Zhang J, Wang X, Ren J. Simulation of Gross Primary Productivity Using Multiple Light Use Efficiency Models. Land. 2021; 10(3):329. https://doi.org/10.3390/land10030329
Chicago/Turabian StyleZhang, Jun, Xufeng Wang, and Jun Ren. 2021. "Simulation of Gross Primary Productivity Using Multiple Light Use Efficiency Models" Land 10, no. 3: 329. https://doi.org/10.3390/land10030329
APA StyleZhang, J., Wang, X., & Ren, J. (2021). Simulation of Gross Primary Productivity Using Multiple Light Use Efficiency Models. Land, 10(3), 329. https://doi.org/10.3390/land10030329

