Predictive Modelling of Landslide Susceptibility in the Western Carpathian Flysch Zone
Abstract
1. Introduction
2. Study Area
3. Methods and Data
- selection of input variables and their reclassification,
- correlation analysis of the variables and their selection into statistical models,
- statistical modelling by logistic regression and random forests methods,
- interpretation of the individual methods, and
- evaluation of the landslide susceptibility of the area.
3.1. Variable Selection and Data Preparation
- Geological units (GU) (Figure 3a)—a synthetic unit that complexly states the attributes of abiotic components of the landscape. Legend: 0 water; 1 fluvial sediments; 2 proluvial sediments; 3 deluvial sediments; 4 quartzy, arcosic and graywacky sandstones to conglomerates, dominance of black-brown shaly claystones, sandstones to pebbly sandstones and conglomerates; 5 medium grained sandstone to fine conglomerates, at places with biotite, local claystones, marlstones, intercalations of Bystrica-type claystones and quartzy sandstones (thin-layered flysch); 6 sandstone-shale facies: gray quartz and graywacky sandstones, green and grey shales, marlstones and pelosiderites (thin-layered flysch); 7 graywacky sandstones, local shales (sandy flysch); 8 Bystrica facies: Bystrica-type claystones, arcosic and graywacky sandstones with glauconite and conglomerates (flysch); 9 fine- to medium grained quartz carbonate sandstones, green-grey silty claystones, layered grey soft limestones with dark cherts, radiolarites, radiolarian limestones [67].
- Hydrogeological units (HGU) (Figure 3b)—units comprising lithology, lithostratigraphy of rocks, and hydrogeological properties of rock environment. Legend: 0 water; 1 lithofacial undivided loamy slope deposits, rocky soil and debris; 2 sandy-stony and boulder debris cones; 3 loams, sandy loams, sandy-loamy to boulderlike gravels in alluvial fans; 4 sands, sandy gravels and fine- to pebbly- gravels of terraces; 5 claystones, calcareous claystones and marlstone; 6 clayey flysch (flysch with claystones, siltstones and marlstones dominance); 7 normal flysch—claystones, siltstones and sandstones; 8 carbonate flysch (calcareous sandstones and marlstones); 9 sandy flysch (flysch with sandstone dominance); 10 conglomerate flysch (flysch with conglomerates dominance); 11 sandstones with claystones; 12 limestones, quartzy, sandy, marly and nodular limestones, radiolarites.
- Surface relief morphology (SRM) (Figure 3c)—represents a simple and homogenous geometric shape conditioned by homogenous form genesis. It is created based on digital terrain models (DTM) and derived from morphometric parameters with grid resolution 10 × 10 and we proceeded from basic topographical maps measuring scale 1:10,000. Legend: 1 flat top; 2 dome top; 3 ridge; 4 depression; 5 slope valley; 6 transport slope; 7 slope plateau; 8 wide riparian floodplain; 9 narrow floodplain of mountain stream; 10 outwash fan; 11 saddle; 12 the bottom of the dam.
- Profile curvature (PC) (Figure 3d)—represents the relief curvature in the direction of the contour (line). If the contour line is direct (linear), it means that all points lying on it have the same georelief orientation. The contour line curvature represents a change in georelief orientation in the direction of the contour line, thus a change in direction of the flow of matter and energy in georelief. Legend: 1 concave curvature; 2 linear curvature; 3 convex curvature; 4 complex curvature.
- Soil types (ST) (Figure 3e)—comprises a group of soils characterised by the same stratigraphy of the soil profile. Legend: 0 water; 1 Sceletic Leptosols; 2 Rendzic Leptosols, less frequent as Eutric Cambisols and Skeli-Rendzic Leptosols; 3 Eutric Cambisols, rarely Calcaric Cambisols; 4 Sceletic Cambisols, rarely Lithic Leptosols; 5 Dystric Cambisols; 6 Luvic Cambisols; 7 Stagnic Cambisols, rarely Stagnic Glossisols; 8 Umbril Podzols, less frequently Haplic Gleysols and very rarely Dystric Planosols; 9 Eutric Fluvisols and less frequently Haplic Histosols.
- Grain-size of soils (GSS) (Figure 3f)—division of soil based on the type of coarse grained clay. It is a hydrophysical property of soil, calculated using the SPAW model. Legend (categories are in % of clay fraction): 1 sandy-clay, rarely clay-sandy; 2 clay; 3 dusty-clay; 4 loamy-clay, less often sandy-loamy-clay and rarely dusty-loamy-clay.
- Orientation (Or) (Figure 3g)—orientation of the relief according to the cardinal points. It represents which cardinal point the inclined surface is oriented towards. It is morphometric characteristic that is derived in GIS based on DTM. Legend: 1 north ; 2 north-east ; 3 east ; 4 south-east ; 5 south ; 6 south-west ; 7 west ; 8 north-west ; 9 flat zone.
- Land cover (LC) (Figure 3h)—represents materialised projection of natural spatial determinateness (morpholocational and bioenergetical) and at the same time of the present landscape usage. Legend: 1 built up area, industrial, transport and business sites and sites of residential vegetation; 2 arable land; 3 mosaics of small-scale arable land and permanent grass vegetation; 4 meadows and grasslands with small representation of non-forest woody vegetation; 5 non-forest woody vegetation; 6 deciduous forests; 7 mixed forests; 8 coniferous forests; 9 bodies of water.
- Slope inclination (SIn) (Figure 3i)—expresses a continuous gradient field of the altitudes. It is a key morphometric parameter defining acute intensity of gravitationally conditioned geomorphological processes. It is a characteristic derived from a DTM, calculated in GIS using the algorithm “Neighbourhood method” [68]. Legend (categories are in degrees): 1 ; 2 ; 3 ; 4 ; 5 ; 6 ; 7 ; 8 .
- Groundwater level (GWL) (Figure 3j)—a continuous upper groundwater surface limit in the earth crust filling up its cavities. The data were acquired from hydrogeological drilling and engineer-geological probes. These measurements were then extrapolated using Spline interpolation algorithm that enabled the definition of the barriers. The layers of watercourse floodplains and areas according to the groundwater circulation type were defined as barriers (areas) for unique interpolation. Legend (categories are in meters): 1 ; 2 ; 3 ; 4 ; 5 ; 6 ; 7 ; 8 ; 9 ; 10 ; 11 ; 12 ; 13 ; 14 ; 15 .
- Transmissivity coefficient (TC) (Figure 3k)—a measure of aquifer ability of a certain thickness to permeate water with a given kinematic viscosity. Legend (categories are in ): 1 ; 2 ; 3 ; 4 ; 5 ; 6 .
- Filtration coefficient (FC) (Figure 3l)—a degree of a porous environment for water with a given kinematic viscosity. Legend (categories are in ): 1 permeable ; 2 medium to low permeable .
- Soil depth (SDe) (Figure 3m)—depth of soil profile from the soil surface to the eroded mother rock. Legend (categories are in meters): 1 shallow soils to , ; 2 medium-deep soils ; 3 deep soils and more.
- Soil skeleton (SSk) (Figure 3n)—proportion of soil particles bigger than 2 mm. Legend (categories are in % of the skeleton): 1 without skeleton or very little skeletal soils, only up to 10% of the skeleton, ; 2 small skeletal soils, 10 to 25% of the skeleton, ; 3 medium skeletal soils, 25 to 50% of the skeleton, ; 4 heavily skeletal soils, more than 50% of the skeleton, >50.
- Altitude (Alt) (Figure 3o)—continuous variable (from 325 m a.s.l. to 1236 m a.s.l.). It is a grid representation of the DTM with resolution 20 × 20 m that represents continuous variables of the height fields and respects the course of the current river network.
- Landslide (LS) (Figure 3p)—is the resulting morphological form of the slope movement caused by gravitation. Legend: 0—non-landslide area; 1—landslide area.
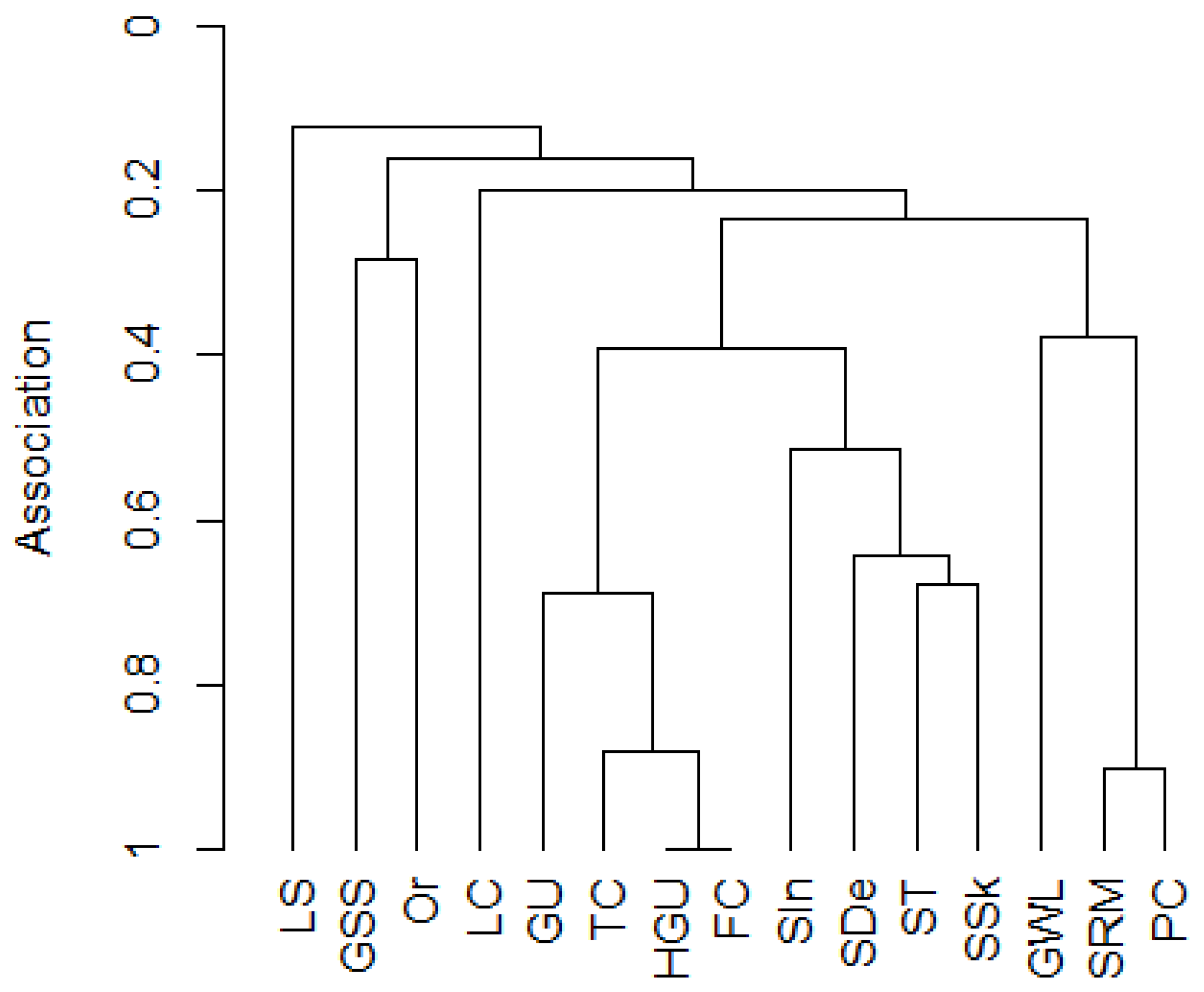
3.2. Correlation Analysis of the Input Variables
3.3. Landslide Susceptibility Modelling
3.3.1. Logistic Regression
3.3.2. Random Forests
3.4. Training and Evaluation of the Models
3.4.1. Training and Validation Datasets
3.4.2. Evaluation of Model Performance
3.4.3. Computational Software
4. Results and Discussion
4.1. Correlation Analysis of the Input Variables
- Group 1: geological units (GU), transmissivity coefficient (TC), hydrogeological units (HGU), and filtration coefficient (FC);
- Group 2: slope inclination (SIn), soil depth (SDe), soil type (ST), and soil skeleton (SSk);
- Group 3: surface relief morphology (SRM) and profil curvature (PC).
4.2. Landslide Susceptibility Modelling
4.2.1. Logistic Regression
4.2.2. Random Forests
4.2.3. Comparison of the Models
4.3. Landslide Susceptibility Mapping
5. Conclusions
Author Contributions
Funding
Institutional Review Board Statement
Informed Consent Statement
Data Availability Statement
Acknowledgments
Conflicts of Interest
References
- Nemčok, A. Zosuvy v Slovenských Karpatoch; VEDA: Bratislava, Slovakia, 1982. [Google Scholar]
- Catani, F.; Lagomarsino, D.; Segoni, S.; Tofani, V. Landslide susceptibility estimation by random forests technique: Sensitivity and scaling issues. Nat. Hazards Earth Syst. Sci. 2013, 13, 2815–2831. [Google Scholar] [CrossRef]
- Brabb, E. Innovative approaches to landslide hazard mapping. In Proceedings of the 4th International Symposium on Landslides, Toronto, ON, Canada, 16–21 September 1984; pp. 307–324. [Google Scholar]
- Remondo, J.; González, A.; De Terán, J.; Cendrero, A.; Fabbri, A.; Chung, C. Validation of Landslide Susceptibility Maps; Examples and Applications from a Case Study in Northern Spain. Nat. Hazards 2003, 30, 437–449. [Google Scholar] [CrossRef]
- Glade, T.; Crozier, M.J. A review of scale dependency in landslide hazard and risk analysis. Landslide Hazard Risk 2005, 75, 75–138. [Google Scholar]
- Youssef, A.; Pourghasemi, H.; Pourtaghi, Z.; Al-Katheeri, M. Landslide susceptibility mapping using random forest, boosted regression tree, classification and regression tree, and general linear models and comparison of their performance at Wadi Tayyah Basin, Asir Region, Saudi Arabia. Landslides 2016, 13, 839–856. [Google Scholar] [CrossRef]
- Yilmaz, I. Landslide susceptibility mapping using frequency ratio, logistic regression, artificial neural networks and their comparison: A case study from Kat landslides (Tokat—Turkey). Comput. Geosci. 2009, 35, 1125–1138. [Google Scholar] [CrossRef]
- Guzzetti, F.; Carrara, A.; Cardinali, M.; Reichenbach, P. Landslide hazard evaluation: A review of current techniques and their application in a multi-scale study, Central Italy. Geomorphology 1999, 31, 181–216. [Google Scholar] [CrossRef]
- Glade, T.; Anderson, M.G.; Crozier, M. Landslide Hazard and Risk; John Wiley and Sons, Ltd.: Chichester, UK, 2005. [Google Scholar]
- Dou, J.; Bui, D.T.; Yunus, A.P.; Jia, K.; Song, X.; Revhaug, I.; Xia, H.; Zhu, Z. Optimization of causative factors for landslide susceptibility evaluation using remote sensing and GIS data in parts of Niigata, Japan. PLoS ONE 2015, 10, e0133262. [Google Scholar]
- Chen, T.; Niu, R.; Jia, X. A comparison of information value and logistic regression models in landslide susceptibility mapping by using GIS. Environ. Earth Sci. 2016, 75, 867. [Google Scholar] [CrossRef]
- Tsangaratos, P.; Ilia, I.; Hong, H.; Chen, W.; Xu, C. Applying Information Theory and GIS-based quantitative methods to produce landslide susceptibility maps in Nancheng County, China. Landslides 2017, 14, 1091–1111. [Google Scholar] [CrossRef]
- Shirzadi, A.; Soliamani, K.; Habibnejhad, M.; Kavian, A.; Chapi, K.; Shahabi, H.; Chen, W.; Khosravi, K.; Thai Pham, B.; Pradhan, B.; et al. Novel GIS Based Machine Learning Algorithms for Shallow Landslide Susceptibility Mapping. Sensors 2018, 18, 3777. [Google Scholar] [CrossRef]
- Chen, W.; Shahabi, H.; Zhang, S.; Khosravi, K.; Shirzadi, A.; Chapi, K.; Pham, B.T.; Zhang, T.; Zhang, L.; Chai, H.; et al. Landslide Susceptibility Modeling Based on GIS and Novel Bagging-Based Kernel Logistic Regression. Appl. Sci. 2018, 8, 2540. [Google Scholar] [CrossRef]
- Nohani, E.; Moharrami, M.; Sharafi, S.; Khosravi, K.; Pradhan, B.; Pham, B.T.; Lee, S.; M. Melesse, A. Landslide Susceptibility Mapping Using Different GIS-Based Bivariate Models. Water 2019, 11, 1402. [Google Scholar] [CrossRef]
- Lei, X.; Chen, W.; Pham, B.T. Performance Evaluation of GIS-Based Artificial Intelligence Approaches for Landslide Susceptibility Modeling and Spatial Patterns Analysis. ISPRS Int. J. Geo-Inf. 2020, 9, 443. [Google Scholar] [CrossRef]
- Pradhan, A.; Kim, Y. Evaluation of a combined spatial multi-criteria evaluation model and deterministic model for landslide susceptibility mapping. Catena 2016, 140, 125–139. [Google Scholar] [CrossRef]
- Akgun, A.; Erkan, O. Landslide susceptibility mapping by geographical information system-based multivariate statistical and deterministic models: In an artificial reservoir area at Northern Turkey. Arab. J. Geosci. 2016, 9, 162. [Google Scholar] [CrossRef]
- Ciurleo, M.; Cascini, L.; Calvello, M. A comparison of statistical and deterministic methods for shallow landslide susceptibility zoning in clayey soils. Eng. Geol. 2017, 223, 71–81. [Google Scholar] [CrossRef]
- Canoğlu, M. Deterministic landslide susceptibility assessment with the use of a new index (factor of safety index) under dynamic soil saturation: An example from demirciköy watershed (Sinop/Turkey). Carpathian J. Earth Environ. Sci. 2017, 12, 423–436. [Google Scholar]
- Ayalew, L.; Yamagishi, H. The application of GIS-based logistic regression for landslide susceptibility mapping in the Kakuda-Yahiko Mountains, Central Japan. Geomorphology 2005, 65, 15–31. [Google Scholar] [CrossRef]
- Van Den Eeckhaut, M.; Vanwalleghem, T.; Poesen, J.; Govers, G.; Verstraeten, G.; Vandekerckhove, L. Prediction of landslide susceptibility using rare events logistic regression: A case-study in the Flemish Ardennes (Belgium). Geomorphology 2006, 76, 392–410. [Google Scholar] [CrossRef]
- Lin, L.; Lin, Q.; Wang, Y. Landslide susceptibility mapping on a global scale using the method of logistic regression. Nat. Hazards Earth Syst. Sci. 2017, 17, 1411–1424. [Google Scholar] [CrossRef]
- Raja, N.; Çiçek, I.; Türkoğlu, N.; Aydin, O.; Kawasaki, A. Landslide susceptibility mapping of the Sera River Basin using logistic regression model. Nat. Hazards 2017, 85, 1323–1346. [Google Scholar] [CrossRef]
- Lombardo, L.; Mai, P.M. Presenting logistic regression-based landslide susceptibility results. Eng. Geol. 2018, 244, 14–24. [Google Scholar] [CrossRef]
- Polykretis, C.; Chalkias, C. Comparison and evaluation of landslide susceptibility maps obtained from weight of evidence, logistic regression, and artificial neural network models. Nat. Hazards 2018, 93, 249–274. [Google Scholar] [CrossRef]
- Guzzetti, F.; Reichenbach, P.; Cardinali, M.; Galli, M.; Ardizzone, F. Probabilistic landslide hazard assessment at the basin scale. Geomorphology 2005, 72, 272–299. [Google Scholar] [CrossRef]
- Guzzetti, F.; Reichenbach, P.; Ardizzone, F.; Cardinali, M.; Galli, M. Estimating the quality of landslide susceptibility models. Geomorphology 2006, 81, 166–184. [Google Scholar] [CrossRef]
- Pham, B.T.; Prakash, I. Evaluation and comparison of LogitBoost Ensemble, Fisher’s Linear Discriminant Analysis, logistic regression and support vector machines methods for landslide susceptibility mapping. Geocarto Int. 2019, 34, 316–333. [Google Scholar] [CrossRef]
- Choubin, B.; Moradi, E.; Golshan, M.; Adamowski, J.; Sajedi-Hosseini, F.; Mosavi, A. An ensemble prediction of flood susceptibility using multivariate discriminant analysis, classification and regression trees, and support vector machines. Sci. Total Environ. 2019, 651, 2087–2096. [Google Scholar] [CrossRef]
- Wang, G.; Chen, X.; Chen, W. Spatial Prediction of Landslide Susceptibility Based on GIS and Discriminant Functions. ISPRS Int. J. Geo-Inf. 2020, 9, 144. [Google Scholar] [CrossRef]
- Falaschi, F.; Giacomelli, F.; Federici, P.; Puccinelli, A.; D’Amato Avanzi, G.; Pochini, A.; Ribolini, A. Logistic regression versus artificial neural networks: Landslide susceptibility evaluation in a sample area of the Serchio River valley, Italy. Nat. Hazards 2009, 50, 551–569. [Google Scholar] [CrossRef]
- Pradhan, B.; Lee, S. Landslide susceptibility assessment and factor effect analysis: Backpropagation artificial neural networks and their comparison with frequency ratio and bivariate logistic regression modelling. Environ. Model. Softw. 2010, 25, 747–759. [Google Scholar] [CrossRef]
- Pradhan, B. A comparative study on the predictive ability of the decision tree, support vector machine and neuro-fuzzy models in landslide susceptibility mapping using GIS. Comput. Geosci. 2013, 51, 350–365. [Google Scholar] [CrossRef]
- Lee, M.; Park, I.; Won, J.; Lee, S. Landslide hazard mapping considering rainfall probability in Inje, Korea. Geomat. Nat. Hazards Risk 2016, 7, 424–446. [Google Scholar] [CrossRef]
- Bragagnolo, L.; da Silva, R.V.; Grzybowski, J.M.V. Landslide susceptibility mapping with r. landslide: A free open-source GIS-integrated tool based on Artificial Neural Networks. Environ. Model. Softw. 2020, 123, 104565. [Google Scholar] [CrossRef]
- Zhu, A.X.; Wang, R.; Qiao, J.; Qin, C.Z.; Chen, Y.; Liu, J.; Du, F.; Lin, Y.; Zhu, T. An expert knowledge-based approach to landslide susceptibility mapping using GIS and fuzzy logic. Geomorphology 2014, 214, 128–138. [Google Scholar] [CrossRef]
- Shahabi, H.; Hashim, M.; Ahmad, B. Remote sensing and GIS-based landslide susceptibility mapping using frequency ratio, logistic regression, and fuzzy logic methods at the central Zab basin, Iran. Environ. Earth Sci. 2015, 73, 8647–8668. [Google Scholar] [CrossRef]
- Fatemi Aghda, S.; Bagheri, V.; Razifard, M. Landslide Susceptibility Mapping Using Fuzzy Logic System and Its Influences on Mainlines in Lashgarak Region, Tehran, Iran. Geotech. Geol. Eng. 2018, 36, 915–937. [Google Scholar] [CrossRef]
- Vahidnia, M.H.; Alesheikh, A.A.; Alimohammadi, A.; Hosseinali, F. A GIS-based neuro-fuzzy procedure for integrating knowledge and data in landslide susceptibility mapping. Comput. Geosci. 2010, 36, 1101–1114. [Google Scholar] [CrossRef]
- Chen, W.; Panahi, M.; Tsangaratos, P.; Shahabi, H.; Ilia, I.; Panahi, S.; Li, S.; Jaafari, A.; Ahmad, B.B. Applying population-based evolutionary algorithms and a neuro-fuzzy system for modeling landslide susceptibility. Catena 2019, 172, 212–231. [Google Scholar] [CrossRef]
- Marjanović, M.; Kovačević, M.; Bajat, B.; Voženílek, V. Landslide susceptibility assessment using SVM machine learning algorithm. Eng. Geol. 2011, 123, 225–234. [Google Scholar] [CrossRef]
- Hong, H.; Pradhan, B.; Xu, C.; Bui, D. Spatial prediction of landslide hazard at the Yihuang area (China) using two-class kernel logistic regression, alternating decision tree and support vector machines. Catena 2015, 133, 266–281. [Google Scholar] [CrossRef]
- Huang, Y.; Zhao, L. Review on landslide susceptibility mapping using support vector machines. Catena 2018, 165, 520–529. [Google Scholar] [CrossRef]
- Pourghasemi, H.; Kerle, N. Random forests and evidential belief function-based landslide susceptibility assessment in Western Mazandaran Province, Iran. Environ. Earth Sci. 2016, 75, 185. [Google Scholar] [CrossRef]
- Chen, W.; Xie, X.; Wang, J.; Pradhan, B.; Hong, H.; Bui, D.T.; Duan, Z.; Ma, J. A comparative study of logistic model tree, random forest, and classification and regression tree models for spatial prediction of landslide susceptibility. Catena 2017, 151, 147–160. [Google Scholar] [CrossRef]
- Taalab, K.; Cheng, T.; Zhang, Y. Mapping landslide susceptibility and types using Random Forest. Big Earth Data 2018, 2, 159–178. [Google Scholar] [CrossRef]
- de Oliveira, G.G.; Ruiz, L.F.C.; Guasselli, L.A.; Haetinger, C. Random forest and artificial neural networks in landslide susceptibility modeling: A case study of the Fão River Basin, Southern Brazil. Nat. Hazards 2019, 99, 1049–1073. [Google Scholar] [CrossRef]
- Pauditš, P.; Vlčko, J.; Jurko, J. Statistic methods in landslide hazard assessment. Miner. Slovaca 2005, 37, 529–538. [Google Scholar]
- Bednarik, M.; Magulová, B.; Matys, M.; Marschalko, M. Landslide susceptibility assessment of the Kral’ovany–Liptovskỳ Mikuláš railway case study. Phys. Chem. Earth Parts A/B/C 2010, 35, 162–171. [Google Scholar] [CrossRef]
- Havlín, A.; Bednarik, M.; Magulová, B.; Vlčko, J. Application of logistic regression for landslide susceptibility assessment in the middle part of Chriby Mts. (Czech Republik). Acta Geol. Slovaca 2011, 3, 153–161. [Google Scholar]
- Barančoková, M.; Kenderessy, P. Assessment of landslide risk using GIS and statistical methods in Kysuce region. Ekológia 2014, 33, 26–35. [Google Scholar] [CrossRef][Green Version]
- Muňko, M. Usability of Support Vector Machines Method in Prediction Modelling in GIS. Master’s Thesis, Slovak University of Technology in Bratislava, Bratislava, Slovakia, 2015. [Google Scholar]
- Mazúr, E.; Lukniš, M.; Geomorphological Units. In Atlas SSR. Slovak Academy of Sciences—Slovak Office of Geodesy and Cartography, IV Surface, Map 16, Scale 1:500,000 (in Slovak) 1980, 54–55. Available online: https://en-academic.com/dic.nsf/enwiki/7988647 (accessed on 1 December 2021).
- Mahel’, M. Geologická Stavba Československých Karpát: Paleoalpínske Jednotky; VEDA: Bratislava, Slovakia, 1986. [Google Scholar]
- Hók, J.; Šujan, M.; Šipka, F. Tektonické členenie Západnỳch Karpát–prehl’ad názorov a novỳ prístup. Acta Geol. Slovaca 2014, 6, 135–143. [Google Scholar]
- Šimeková, J.; Martinčeková, T.; Abrahám, P.; Gejdoš, T.; Grenčíková, A.; Grman, D. Atlas Máp Stability Svahov SR v Mierke 1:50,000. Záverečná Správa; Geofond, MŽP SR: Bratislava, Slovakia, 2006. [Google Scholar]
- Chen, W.; Zhang, S.; Li, R.; Shahabi, H. Performance evaluation of the GIS-based data mining techniques of best-first decision tree, random forest, and naïve Bayes tree for landslide susceptibility modeling. Sci. Total Environ. 2018, 644, 1006–1018. [Google Scholar] [CrossRef] [PubMed]
- Pauk, J.; Švec, P.; Hudec, A.; Babiak, K.; Draškovič, M. Renovation and Construction of Technical Infrastructure for Research and Development of the Institute of Landscape Ecology of the Slavak Academy of Sciences. Spatial Database System. Esprit Spol. s r.o., ÚKE SAV, Bratislava, Slovakia (in Slovak). 2013. Available online: https://www.researchgate.net/publication/322696745_Historicke_struktury_polnohospodarskej_krajiny_Slovenska_Historical_structures_of_the_agricultural_landscape_of_Slovakia (accessed on 1 December 2021).
- Van Westen, C.J.; Castellanos, E.; Kuriakose, S.L. Spatial data for landslide susceptibility, hazard, and vulnerability assessment: An overview. Eng. Geol. 2008, 102, 112–131. [Google Scholar] [CrossRef]
- Tseng, C.M.; Lin, C.W.; Hsieh, W.D. Landslide susceptibility analysis by means of event-based multi-temporal landslide inventories. Nat. Hazards Earth Syst. Sci. Discuss. 2015, 3, 1137–1173. [Google Scholar]
- Ciampalini, A.; Raspini, F.; Lagomarsino, D.; Catani, F.; Casagli, N. Landslide susceptibility map refinement using PSInSAR data. Remote Sens. Environ. 2016, 184, 302–315. [Google Scholar] [CrossRef]
- Wiedenmann, J.; Rohn, J.; Moser, M. The relationship between the landslide frequency and hydrogeological aspects: A case study from a hilly region in Northern Bavaria (Germany). Environ. Earth Sci. 2016, 75, 609. [Google Scholar] [CrossRef]
- Safaei, M.; Omar, H.; Huat, B.K.; Yousof, Z.B. Relationship between Lithology Factor and landslide occurrence based on Information Value (IV) and Frequency Ratio (FR) approaches–Case study in North of Iran. Electron. J. Geotech. Eng. 2012, 17, 79–90. [Google Scholar]
- Wu, C.; Qiao, J. Relationship between landslides and lithology in the Three Gorges Reservoir area based on GIS and information value model. Front. For. China 2009, 4, 165–170. [Google Scholar] [CrossRef]
- Reichenbach, P.; Rossi, M.; Malamud, B.D.; Mihir, M.; Guzzetti, F. A review of statistically-based landslide susceptibility models. Earth-Sci. Rev. 2018, 180, 60–91. [Google Scholar] [CrossRef]
- Potfaj, M.; Maglay, J.; Šlepecký, T.; Tet’ák, F. Geologická Mapa Regiónu Kysúc 1:50,000; Štátny geologický ústav Dionýza Štúra: Bratislava, Slovakia, 2002. [Google Scholar]
- Burrough, P.; McDonell, R. Principle of Geographic Information Systems; Oxford University Press: Oxford, UK, 1998. [Google Scholar]
- Agresti, A. An Introduction to Categorical Data Analysis; John Wiley & Sons: Hoboken, NJ, USA, 2018. [Google Scholar]
- Dormann, C.F.; Elith, J.; Bacher, S.; Buchmann, C.; Carl, G.; Carré, G.; Marquéz, J.R.G.; Gruber, B.; Lafourcade, B.; Leitao, P.J.; et al. Collinearity: A review of methods to deal with it and a simulation study evaluating their performance. Ecography 2013, 36, 27–46. [Google Scholar] [CrossRef]
- James, G.; Witten, D.; Hastie, T.; Tibshirani, R. An Introduction to Statistical Learning: With Application in R; Springer: New York, NY, USA, 2013; Volume 112. [Google Scholar]
- Cox, D.R. The regression analysis of binary sequences. J. R. Stat. Soc. Ser. B 1958, 20, 215–232. [Google Scholar] [CrossRef]
- Budimir, M.; Atkinson, P.; Lewis, H. A systematic review of landslide probability mapping using logistic regression. Landslides 2015, 12, 419–436. [Google Scholar] [CrossRef]
- Agresti, A. Categorical Data Analysis; John Wiley & Sons: Hoboken, NJ, USA, 2003; Volume 482. [Google Scholar]
- Breiman, L. Random forests. Mach. Learn. 2001, 45, 5–32. [Google Scholar] [CrossRef]
- Probst, P.; Boulesteix, A.L. To tune or not to tune the number of trees in random forest. J. Mach. Learn. Res. 2017, 18, 6673–6690. [Google Scholar]
- Oshiro, T.M.; Perez, P.S.; Baranauskas, J.A. How many trees in a random forest? In International Workshop on Machine Learning and Data Mining in Pattern Recognition; Springer: Berlin/Heidelberg, Germany, 2012; pp. 154–168. [Google Scholar]
- Izenman, A.J. Modern Multivariate Statistical Techniques: Regression, Classification, and Manifold Learning; Springer: New York, NY, USA, 2008. [Google Scholar]
- Malley, J.D.; Kruppa, J.; Dasgupta, A.; Malley, K.G.; Ziegler, A. Probability machines. Methods Inf. Med. 2012, 51, 74–81. [Google Scholar] [CrossRef] [PubMed]
- Breiman, L.; Cutler, A. Manual—Setting up, Using, and Understanding Random Forests V4. 0. 2003. Available online: https://www.stat.berkeley.edu/~breiman/Using_random_forests_v4.0.pdf (accessed on 14 June 2021).
- Hastie, T.; Tibshirani, R.; Friedman, J. The Elements of Statistical Learning: Data Mining, Inference, and Prediction, 2nd ed.; Springer: New York, NY, USA, 2009. [Google Scholar]
- Chicco, D.; Jurman, G. The advantages of the Matthews correlation coefficient (MCC) over F1 score and accuracy in binary classification evaluation. BMC Genom. 2020, 21, 6. [Google Scholar] [CrossRef]
- Hosmer, D.W.; Lemeshow, S. Applied Logistic Regression; John Wiley & Sons: Hoboken, NJ, USA, 2000. [Google Scholar]
- Brier, G.W. Verification of forecasts expressed in terms of probability. Mon. Weather Rev. 1950, 78, 1–3. [Google Scholar] [CrossRef]
- Wallace, B.C.; Dahabreh, I.J. Improving class probability estimates for imbalanced data. Knowl. Inf. Syst. 2014, 41, 33–52. [Google Scholar] [CrossRef]
- R Core Team. R: A Language and Environment for Statistical Computing; R Foundation for Statistical Computing: Vienna, Austria, 2021. [Google Scholar]
- Mangiafico, S. Rcompanion: Functions to Support Extension Education Program Evaluation. In R Package Version 2.4.1. 2020. Available online: http://rcompanion.org/ (accessed on 20 May 2021).
- Wei, T.; Simko, V. R Package “Corrplot”: Visualization of a Correlation Matrix. (Version 0.89). Available online: https://github.com/taiyun/corrplot (accessed on 20 May 2021).
- Wright, M.N.; Ziegler, A. ranger: A Fast Implementation of Random Forests for High Dimensional Data in C++ and R. J. Stat. Softw. 2017, 77, 1–17. [Google Scholar] [CrossRef]
- Wickham, H. ggplot2: Elegant Graphics for Data Analysis; Springer: New York, NY, USA, 2016. [Google Scholar]
- Chen, W.; Sun, Z.; Han, J. Landslide susceptibility modeling using integrated ensemble weights of evidence with logistic regression and random forest models. Appl. Sci. 2019, 9, 171. [Google Scholar] [CrossRef]
- Samia, J.; Temme, A.; Bregt, A.K.; Wallinga, J.; Stuiver, J.; Guzzetti, F.; Ardizzone, F.; Rossi, M. Implementing landslide path dependency in landslide susceptibility modelling. Landslides 2018, 15, 2129–2144. [Google Scholar] [CrossRef]
- Sevgen, E.; Kocaman, S.; Nefeslioglu, H.A.; Gokceoglu, C. A novel performance assessment approach using photogrammetric techniques for landslide susceptibility mapping with logistic regression, ANN and random forest. Sensors 2019, 19, 3940. [Google Scholar] [CrossRef] [PubMed]
- Grozavu, A.; Mărgărint, M.C.; Patriche, C.V. Landslide susceptibility assessment in the Brăieşti-Sineşti sector of Iaşi cuesta. Carpathian J. Earth Environ. Sci. 2012, 7, 39–46. [Google Scholar]
- Steger, S.; Brenning, A.; Bell, R.; Glade, T. The propagation of inventory-based positional errors into statistical landslide susceptibility models. Nat. Hazards Earth Syst. Sci. 2016, 16, 2729–2745. [Google Scholar] [CrossRef]
- Mărgărint, M.; Grozavu, A.; Patriche, C. Assessing the spatial variability of coefficients of landslide predictors in different regions of Romania using logistic regression. Nat. Hazards Earth Syst. Sci. 2013, 13, 3339–3355. [Google Scholar] [CrossRef]
- Zhang, K.; Wu, X.; Niu, R.; Yang, K.; Zhao, L. The assessment of landslide susceptibility mapping using random forest and decision tree methods in the Three Gorges Reservoir area, China. Environ. Earth Sci. 2017, 76, 1–20. [Google Scholar] [CrossRef]
- Achour, Y.; Pourghasemi, H.R. How do machine learning techniques help in increasing accuracy of landslide susceptibility maps? Geosci. Front. 2020, 11, 871–883. [Google Scholar] [CrossRef]
- Dou, J.; Yunus, A.P.; Bui, D.T.; Merghadi, A.; Sahana, M.; Zhu, Z.; Chen, C.W.; Khosravi, K.; Yang, Y.; Pham, B.T. Assessment of advanced random forest and decision tree algorithms for modeling rainfall-induced landslide susceptibility in the Izu-Oshima Volcanic Island, Japan. Sci. Total Environ. 2019, 662, 332–346. [Google Scholar] [CrossRef]
- Nhu, V.H.; Shirzadi, A.; Shahabi, H.; Chen, W.; Clague, J.J.; Geertsema, M.; Jaafari, A.; Avand, M.; Miraki, S.; Talebpour Asl, D.; et al. Shallow landslide susceptibility mapping by random forest base classifier and its ensembles in a semi-arid region of Iran. Forests 2020, 11, 421. [Google Scholar] [CrossRef]















| Period | I. | II. | III. | IV. | V. | VI. | VII. | VIII. | IX. | X. | XI. | XII. | Year |
|---|---|---|---|---|---|---|---|---|---|---|---|---|---|
| 1951–1980 | 56 | 53 | 50 | 66 | 88 | 121 | 126 | 100 | 67 | 58 | 66 | 65 | 915 |
| 1981–2000 | 60 | 50 | 60 | 67 | 87 | 111 | 107 | 87 | 79 | 52 | 70 | 70 | 902 |
| 2001–2020 | 63 | 53 | 53 | 50 | 103 | 94 | 120 | 83 | 81 | 68 | 58 | 56 | 882 |
| Period | I. | II. | III. | IV. | V. | VI. | VII. | VIII. | IX. | X. | XI. | XII. | Year |
|---|---|---|---|---|---|---|---|---|---|---|---|---|---|
| 1951–1980 | |||||||||||||
| 1981–2000 | |||||||||||||
| 2001–2020 |
| Variable | ||||
|---|---|---|---|---|
| GU | ||||
| HGU | ||||
| TC | ||||
| FC | ||||
| ST | ||||
| SIn | ||||
| SDe | ||||
| SSk | ||||
| SRM | ||||
| PC |
| Logistic Regression | Random Forest | |||
|---|---|---|---|---|
| Training Datasets | Training Datasets | |||
| Balanced | Stratified | Balanced | Stratified | |
Publisher’s Note: MDPI stays neutral with regard to jurisdictional claims in published maps and institutional affiliations. |
© 2021 by the authors. Licensee MDPI, Basel, Switzerland. This article is an open access article distributed under the terms and conditions of the Creative Commons Attribution (CC BY) license (https://creativecommons.org/licenses/by/4.0/).
Share and Cite
Barančoková, M.; Šošovička, M.; Barančok, P., Jr.; Barančok, P. Predictive Modelling of Landslide Susceptibility in the Western Carpathian Flysch Zone. Land 2021, 10, 1370. https://doi.org/10.3390/land10121370
Barančoková M, Šošovička M, Barančok P Jr., Barančok P. Predictive Modelling of Landslide Susceptibility in the Western Carpathian Flysch Zone. Land. 2021; 10(12):1370. https://doi.org/10.3390/land10121370
Chicago/Turabian StyleBarančoková, Mária, Matej Šošovička, Peter Barančok, Jr., and Peter Barančok. 2021. "Predictive Modelling of Landslide Susceptibility in the Western Carpathian Flysch Zone" Land 10, no. 12: 1370. https://doi.org/10.3390/land10121370
APA StyleBarančoková, M., Šošovička, M., Barančok, P., Jr., & Barančok, P. (2021). Predictive Modelling of Landslide Susceptibility in the Western Carpathian Flysch Zone. Land, 10(12), 1370. https://doi.org/10.3390/land10121370

