Daily Freeze–Thaw Cycles Affect the Transport of Metals in Streams Affected by Acid Drainage
Abstract
:1. Introduction
2. Materials and Methods
2.1. Site of Study
2.2. Hydrologic Measurements
2.3. Hydrochemical Measurements and Sampling
2.4. Analytical Methods
3. Results and Discussion
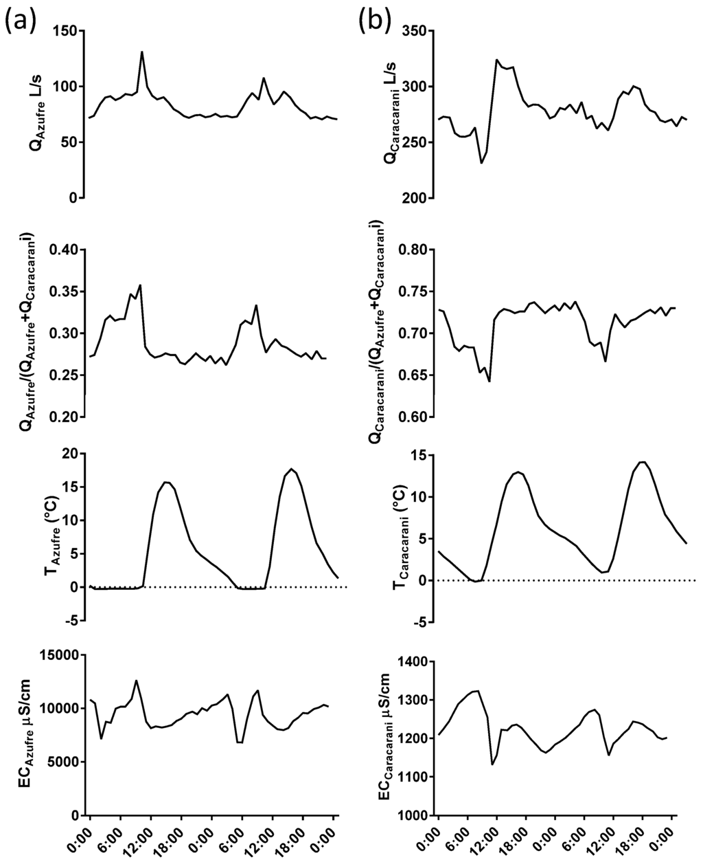
3.1. Diurnal Cycles in Stream Flow Rates, Temperature, and Electric Conductivity
3.2. Diurnal Cycles in Particle Formation Downstream from the Confluence
3.3. The Fate and Transport of Metals Controlled by Freeze–Thaw Cycles
4. Conclusions
- Due to the below-zero temperatures reached at night, QAzufre was controlled by daily freeze–thaw processes. The daily pulse in flow rate in the acid drainage results in a pulse in the flux of dissolved metals downstream and in the dissolution of suspended solids. Although this process occurred for only a few minutes every day, it was sufficient to mobilize metals and degrade water quality downstream due to, for example, higher flux of dissolved arsenic.
- Diurnal behavior of water quality downstream from the confluence was controlled by diurnal changes in the upstream flow regime. Clear patterns in pH occurred concurrently with daily peaks in QAzufre and QCaracarani. As a consequence, turbidity (surrogate for suspended solids formed downstream as a consequence of the precipitation of mineral phases) also experience daily peaks. In this study, hourly variations at a confluence affected by acid drainage due to daily freeze and thaw cycles were identified, showing that drastic changes in water quality are not limited to seasonal factors (i.e., snow melts, increase in rainfall) but could occur within intraday time scales.
- The formation of mineral phases downstream from the confluence was enhanced at distinct times of the day (dawn and mid-afternoon). Since the formation of suspended solids controlled the fate and transport of metals, attenuation of dissolved contaminants would improve within these time lapses, as particles have the potential to settle onto the streambed.
Acknowledgments
Author Contributions
Conflicts of Interest
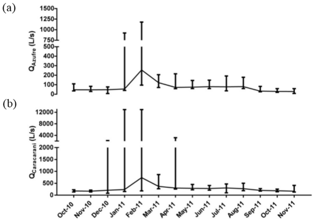
Appendix A: Caracarani River and Azufre River flow rates, Azufre River temperature, Azufre River electric conductivity and mixing ratios arranged per month (January 2011–November 2011).










Appendix B: Turbidity and pH data from the Azufre River and Caracarani River (upstream of the confluence).

Appendix C: Preliminary geochemical model.
| Parameter | Unit | Azufre River | Caracarani River |
|---|---|---|---|
| pH | - | 2.2 | 8.7 |
| Temperature | °C | 10 | 10 |
| Alkalinity | mg CaCO3/L | 0 | 200 |
| SO4−2 | mg/L | 2450 | 477 |
| Cl− | mg/L | 920 | 190 |
| Na+ | mg/L | 333 | 170 |
| K+ | mg/L | 88 | 20 |
| Ca+2 | mg/L | 233 | 120 |
| Mg+2 | mg/L | 159 | 55 |
| Total Fe | mg/L | 49 | 0.9 |
| Total Al | mg/L | 156 | 0.7 |
| Total As | mg/L | 2.1 | 0.05 |
| Total B | mg/L | 19.7 | 3.3 |
| Total Zn | mg/L | 9.8 | 0.1 |

References
- Aubert, A.H.; Gascuel-Odoux, C.; Merot, P. Annual hysteresis of water quality: A method to analyse the effect of intra- and inter-annual climatic conditions. J. Hydrol. 2013, 478, 29–39. [Google Scholar] [CrossRef]
- Davies, T.D.; Tranter, M.; Blackwood, I.L.; Abrahams, P.W. The character and causes of a pronounced snowmelt-induced acidic episodes in a stream in a Scottish subarctic catchment. J. Hydrol. 1993, 146, 267–300. [Google Scholar] [CrossRef]
- Davies, T.D.; Tranter, M.; Wigington, P.J., Jr.; Eshleman, K.N. Acidic episodes in surface waters in Europe. J. Hydrol. 1992, 132, 25–69. [Google Scholar] [CrossRef]
- Gelfan, A. Extreme snowmelt floods: Frequency assessment and analysis of genesis on the basis of the dynamic-stochastic approach. J. Hydrol. 2010, 388, 85–99. [Google Scholar] [CrossRef]
- Iwata, Y.; Nemoto, M.; Hasegawa, S.; Yanai, Y.; Kuwao, K.; Hirota, T. Influence of rain, air temperature, and snow cover on subsequent spring-snowmelt infiltration into thin frozen soil layer in northern Japan. J. Hydrol. 2011, 401, 165–176. [Google Scholar] [CrossRef]
- Corriveau, J.; Chambers, P.A.; Yates, A.G.; Culp, J.M. Snowmelt and its role in the hydrologic and nutrient budgets of prairie streams. Water Sci. Technol. 2011, 64, 1590–1596. [Google Scholar] [CrossRef] [PubMed]
- Moncur, M.C.; Ptacek, C.J.; Hayashi, M.; Blowes, D.W.; Birks, S.J. Seasonal cycling and mass-loading of dissolved metals and sulfate discharging from an abandoned mine site in northern Canada. Appl. Geochem. 2014, 41, 176–188. [Google Scholar] [CrossRef]
- Nimick, D.A.; Gammons, C.H.; Parker, S.R. Diel biogeochemical processes and their effect on the aqueous chemistry of streams: A review. Chem. Geol. 2011, 283, 3–17. [Google Scholar] [CrossRef]
- Ryan, R.J.; Packman, A.I. Changes in streambed sediment characteristics and solute transport in the headwaters of Valley Creek, an urbanizing watershed. J. Hydrol. 2006, 323, 74–91. [Google Scholar] [CrossRef]
- Turcotte, B.; Morse, B.; Bergeron, N.E.; Roy, A.G. Sediment transport in ice-affected rivers. J. Hydrol. 2011, 409, 561–577. [Google Scholar] [CrossRef]
- Huey, G.M.; Meyer, M.L. Turbidity as an Indicator of Water Quality in Diverse Watersheds of the Upper Pecos River Basin. Water 2011, 2, 273–284. [Google Scholar] [CrossRef]
- Price, A.G.; Hendrie, L.K. Water motion in a deciduous forest during snowmelt. J. Hydrol. 1983, 64, 339–356. [Google Scholar] [CrossRef]
- Guo, K.; Liu, X. Dynamics of meltwater quality and quantity during saline ice melting and its effects on the infiltration and desalinization of coastal saline soils. Agric. Water Manag. 2014, 139, 1–6. [Google Scholar] [CrossRef]
- Dittmar, T. Hydrochemical processes controlling arsenic and heavy metal contamination in the Elqui river system (Chile). Sci. Total Environ. 2004, 325, 193–207. [Google Scholar] [CrossRef] [PubMed]
- Leiva, E.D.; Ramila, C.D.P.; Vargas, I.T.; Escauriaza, C.R.; Bonilla, C.A.; Pasten, P.A.; Pizarro, G.E. Natural attenuation process via microbial oxidation of arsenic in a high Andean watershed. Sci. Total Environ. 2014, 466–467, 490–502. [Google Scholar] [CrossRef] [PubMed]
- Schemel, L.E.; Cox, M.H.; Runkel, R.L.; Kimball, B.A. Multiple injected and natural conservative tracers quantify mixing in a stream confluence affected by acid mine drainage near Silverton, Colorado. Hydrol. Process. 2006, 20, 2727–2743. [Google Scholar] [CrossRef]
- Sánchez, J.; López, E.; Santofimia, E.; Reyes, J.; Martín, J. The impact of acid mine drainage on the water quality of the Odiel River (Huelva, Spain): Evolution of precipitate mineralogy and aqueous geochemistry along the Concepción-Tintillo segment. Water Air Soil Pollut. 2005, 173, 121–149. [Google Scholar] [CrossRef]
- Sarmiento, A.M.; Nieto, J.M.; Olias, M.; Canovas, C.R. Hydrochemical characteristics and seasonal influence on the pollution by acid mine drainage in the Odiel river Basin (SW Spain). Appl. Geochem. 2009, 24, 697–714. [Google Scholar] [CrossRef]
- McKnight, D.M.; Bencala, K.E.; Zellweger, G.W.; Aiken, G.R.; Feder, G.L.; Thorn, K.A. Sorption of dissolved organic carbon by hydrous aluminium and iron oxides occurring at the confluence of Deer Creek with the Snake River, Summit County, Colorado. Environ. Sci. Technol. 1992, 26, 1388–1396. [Google Scholar] [CrossRef]
- Theobald, P.K., Jr.; Lakin, H.W.; Hawkins, D.B. The precipitation of aluminum, iron and manganese at the junction of Deer Creek with the Snake River in Summit County, Colorado. Geochim. Cosmochim. Acta 1963, 27, 121–132. [Google Scholar] [CrossRef]
- Schemel, L.E.; Cox, M.H. Descriptions of the Animas River-Cement Creek Confluence and Mixing Zone near Silverton, Colorado during the Late Summers of 1996 and 1997; U.S. Open File Report; Geological Survey: Reston, VA, USA, 2005.
- Schemel, L.E.; Kimball, B.A.; Runkel, R.L.; Cox, M.H. Formation of mixed Al-Fe colloidal sorbent and dissolved-colloidal partitioning of Cu and Zn in the Cement Creek—Animas River Confluence, Silverton, Colorado. Appl. Geochem. 2007, 22, 1467–1484. [Google Scholar] [CrossRef]
- Adra, A.; Morin, G.; Ona-Nguema, G.; Menguy, N.; Maillot, F.; Casiot, C.; Bruneel, O.; Lebrun, S.; Juillot, F.; Brest, J. Arsenic Scavenging by Aluminum-Substituted Ferrihydrites in a Circumneutral pH River Impacted by Acid Mine Drainage. Environ. Sci. Technol. 2013, 47, 12784–12792. [Google Scholar] [CrossRef] [PubMed]
- Arias, M.; Astray, G.; Fernandez-Calvino, D.; Garcia-Rio, L.; Mejuto, J.C.; Novoa-Munoz, J.C.; Perez-Novo, C. Sorption Behaviour of Arsenic By Iron And Aluminium-Oxides-Coated Quartz Particles. Fresenius Environ. Bull. 2008, 17, 2122–2125. [Google Scholar]
- Bradl, H.B. Adsorption of heavy metal ions on soils and soils constituents. J. Colloid. Interface Sci. 2004, 277, 1–18. [Google Scholar] [CrossRef] [PubMed]
- Harvey, O.R.; Rhue, R.D. Kinetics and energetics of phosphate sorption in a multi-component Al(III) and Fe(III) hydr(oxide) sorbent system. J. Colloid. Interface Sci. 2008, 322, 384–393. [Google Scholar] [CrossRef] [PubMed]
- Youngran, J.; Fan, M.; Van Leeuwen, J.; Belczyk, J.F. Effect of competing solutes on arsenic(V) adsorption using iron and aluminum oxides. J. Environ. Sci. 2007, 19, 910–919. [Google Scholar] [CrossRef]
- Stone, M.; Droppo, I.G. Distribution of lead, copper and zinc in size-fractionated river bed sediment in two agricultural catchments of southern Ontario, Canada. Environ. Pollut. 1996, 93, 353–362. [Google Scholar] [CrossRef]
- Cowie, R.; Williams, M.; Wireman, M.; Runkel, R. Use of Natural and Applied Tracers to Guide Targeted Remediation Efforts in an Acid Mine Drainage System, Colorado Rockies, USA. Water 2014, 6, 745–777. [Google Scholar] [CrossRef]
- Olias, M.; Nieto, J.M.; Sarmiento, A.M.; Ceron, J.C.; Canovas, C.R. Seasonal water quality variations in a river affected by acid mine drainage: The Odiel River (South West Spain). Sci. Total Environ. 2004, 333, 267–281. [Google Scholar] [CrossRef] [PubMed]
- Cruz, C.; Calderon, J. Guia Climatica Práctica: Dirección Meterológica de Chile. 2008. Available online: http://164.77.222.61/climatologia/ (accessed on 22 February 2016).
- Ortega, H.; Diaz Munoz, G.; Campos Ortega, C. Aporte sedimentarios de los rios Lluta y San Jose en la zona costera de La Rada, Chile. Idesia 2007, 25, 37–48. [Google Scholar]
- DGA (Dirección General de Aguas). Diagnóstico y clasificación de los cursos y cuerpos de agua según objetivos y calidad; Ministerio de Obras Publicas: Santiago, Chile, 2004. Available online: http://documentos.dga.cl/CQA4432v1.pdf (accessed on 22 February 2016).
- Leiva, E.; Rios, P.; Escauriaza, C.; Bonilla, C.; Pizarro, G.; Pasten, P. Goldschmidt Abstracts 2011. Mineral. Mag. 2011, 75, 1261–1373. [Google Scholar]
- Smakhtin, V.U. Low flow hydrology: A review. J. Hydrol. 2001, 240, 147–186. [Google Scholar] [CrossRef]
- Nordstrom, D.; Alpers, C.; Ptacek, C.; Blowes, D. Negative pH and Extremely Acidic Mine Waters from Iron Mountain, California. Environ. Sci. Technol. 2000, 34, 254–258. [Google Scholar] [CrossRef]
- Gippel, C.J. Potential of turbidity monitoring for measuring the transport of suspended solids in streams. Hydrol. Process. 1995, 9, 83–97. [Google Scholar] [CrossRef]
- Pavanelli, D.; Bigi, A. Indirect Methods to Estimate Suspended Sediment Concentration: Reliability and Relationship of Turbidity and Settleable Solids. Biosyst. Eng. 2005, 90, 75–83. [Google Scholar] [CrossRef]
- Guerra, P.; González, C.; Escauriaza, C.; Pizarro, G.; Pasten, P. Incomplete mixing in the fate and transport of arsenic at a river affected by acid drainage. Water Air Soil Pollut. 2016, 227, 73. [Google Scholar] [CrossRef]
- EPA. 3051A—Microwave assisted acid digestion of sediments, sludges, soils and oils, Agency USEP, editor. Wastes—Hazardous Waste—Test Methods—3000 Series Methods; Environmental Protection Agency: Washington, DC, USA, 2007. Available online: http://www3.epa.gov/epawaste/hazard/testmethods/sw846/pdfs/3051a.pdf (accessed on 22 February 2016). [Google Scholar]
- Salas, J. Analysis and modeling of hydrologic time series. In Handbook of Hydrology, 2nd ed.; Maidment, D.R., Ed.; McGraw-Hill Professional: New York, NY, USA, 1993; pp. 1–17. [Google Scholar]
- Nordstrom, D.K. Hydrogeochemical processes governing the origin, transport and fate of major and trace elements from mine wastes and mineralized rock to surface waters. Appl. Geochem. 2011, 26, 1777–1791. [Google Scholar] [CrossRef]
- Sánchez-España, J.; Yusta, I.; Diez-Ercilla, M. Schwertmannite and hydrobasaluminite: A re-evaluation of their solubility and control on the iron and aluminium concentration in acidic pit lakes. Appl. Geochem. 2011, 26, 1752–1774. [Google Scholar] [CrossRef]
- Liu, S.; Glasgow, L. Aggregate disintegration in turbulent jets. Water Air Soil Pollut. 1997, 95, 257–275. [Google Scholar] [CrossRef]
- Santschi, P.H.; Burd, A.D.; Gaillard, J-F.; Lazarides, A.A. Transport of Materials and Chemicals by Nanoscale Colloids and Micro- to Macro-Scale Flocs in Marine, Freshwater, and Engineered Systems. In Flocculation in Natural and Engineered Systems, 1st ed.; Droppo, I.G., Leppard, G.G., Liss, S.N., Milligan, T.G., Eds.; CRC Press: New York, NY, USA, 2005; pp. 191–210. [Google Scholar]
- Carrero, S.; Pérez-López, R.; Fernandez-Martinez, A.; Cruz-Hernández, P.; Ayora, C.; Poulain, A. The potential role of aluminium hydroxysulphates in the removal of contaminants in acid mine drainage. Chem. Geol. 2015, 417, 414–423. [Google Scholar] [CrossRef]
- Dzombak, D.; Morel, F. Surface Complexation Modeling: Hydrous Ferric Oxide; John Wiley: New York, NY, USA, 1990. [Google Scholar]
- Runkel, R.; Kimball, B.; McKnight, D.; Bencala, K. Reactive solute transport in streams: A surface complexation approach for trace metal sorption. Water Resour. Res. 1999, 35, 3829–3840. [Google Scholar] [CrossRef]
- Contreras, M.T.; Mullendorf, D.; Pasten, P.; Pizarro, G.E.; Paola, C.; Escauriaza, C. Potential accumulation of contaminated sediments in a reservoir of a high-Andean watershed: Morphodynamic connections with geochemical processes. Water Resour. Res. 2015, 51, 3181–3192. [Google Scholar] [CrossRef]











| Parameter | Unit | Azufre River | Caracarani River |
|---|---|---|---|
| pH | - | 1.91(a) (11) (b) | |
| (1.0–2.2) (c) | |||
| Alkalinity | mg CaCO3·L−1 | - | 110 (5) |
| 20–232.3 | |||
| SO4−2 | mg·L−1 | 3370.4 (8) | 408.5 (8) |
| (1556–5210) | (217–571) | ||
| Cl− | mg·L−1 | 1319.6 (8) | 154.7 (8) |
| (530–1927) | (85.8–367) | ||
| Na+ | mg·L−1 | 334.4 (5) | 200 (5) |
| (209.3–659) | 128.9–218.7 | ||
| K+ | mg·L−1 | 87.7 (5) | 26.72 (5) |
| (58.9–162) | (14.7–28.8) | ||
| Ca+2 | mg·L−1 | 244.5 (5) | 96.2 (5) |
| (203.9–296.8) | (76.01–115.3) | ||
| Mg+2 | mg·L−1 | 159.2 (5) | 62.7 (5) |
| (100–230) | (38.2–68) | ||
| Total Fe | mg·L−1 | 59.1 (7) | 0.86 (6) |
| (35.3–83.1) | (0.3–3.6) | ||
| Dissolved Fe (<0.45 μm) | mg·L−1 | 59.1 (6) | 0.82 (5) |
| (32–85.5) | (0.39–1.3) | ||
| Total Al | mg·L−1 | 142.9 (5) | 0.03 (3) |
| (97.1–156.9) | (0.02–0.7) | ||
| Dissolved Al (<0.45 μm) | mg·L−1 | 142.9 (3) | 0.02 (3) |
| (70.1–156.9) | (0.01–0.7) | ||
| Total As | mg·L−1 | 1.78 (7) | 0.09 (6) |
| (1.05–2.6) | (0.03–0.13) | ||
| Total B | mg·L−1 | 18.2 (4) | 2.7 (2) |
| (12.8–19.4) | (2.5–2.9) | ||
| Total Zn | mg·L−1 | 9.8 (7) | 0.25 (5) |
| (6.3–12.6) | (0.09–0.97) |
| pH | TSS, mg/L | As, mg/kg | Fe, g/kg | Al, g/kg |
|---|---|---|---|---|
| 3.51 | 14.2 | 3950 | 71.5 | N.A |
| 3.81 | 8.6 | 8700 | 150.3 | 25.3 |
| 4.49 | 7.55 | 1848 | 51.8 | 14 |
| 4.58 | 50.35 | 1264 | 38.2 | 34.9 |
| 5.92 | 80.8 | 1635 | 33.4 | 76.5 |
| 6.46 | 40.5 | 1688 | 35.7 | 62.7 |
© 2016 by the authors; licensee MDPI, Basel, Switzerland. This article is an open access article distributed under the terms and conditions of the Creative Commons by Attribution (CC-BY) license (http://creativecommons.org/licenses/by/4.0/).
Share and Cite
Guerra, P.; Simonson, K.; González, C.; Gironás, J.; Escauriaza, C.; Pizarro, G.; Bonilla, C.; Pasten, P. Daily Freeze–Thaw Cycles Affect the Transport of Metals in Streams Affected by Acid Drainage. Water 2016, 8, 74. https://doi.org/10.3390/w8030074
Guerra P, Simonson K, González C, Gironás J, Escauriaza C, Pizarro G, Bonilla C, Pasten P. Daily Freeze–Thaw Cycles Affect the Transport of Metals in Streams Affected by Acid Drainage. Water. 2016; 8(3):74. https://doi.org/10.3390/w8030074
Chicago/Turabian StyleGuerra, Paula, Kyle Simonson, Christian González, Jorge Gironás, Cristian Escauriaza, Gonzalo Pizarro, Carlos Bonilla, and Pablo Pasten. 2016. "Daily Freeze–Thaw Cycles Affect the Transport of Metals in Streams Affected by Acid Drainage" Water 8, no. 3: 74. https://doi.org/10.3390/w8030074
APA StyleGuerra, P., Simonson, K., González, C., Gironás, J., Escauriaza, C., Pizarro, G., Bonilla, C., & Pasten, P. (2016). Daily Freeze–Thaw Cycles Affect the Transport of Metals in Streams Affected by Acid Drainage. Water, 8(3), 74. https://doi.org/10.3390/w8030074

