Watershed Dynamics in the Prespa Lakes: An Integrated Assessment of Stream Inflow Effects
Abstract
1. Introduction
2. Materials and Methods
2.1. Study Area
2.2. Sampling Network, Field Measurements and Laboratory Analyses
2.3. Ecological Status Assessment
2.3.1. Physicochemical Quality
2.3.2. Biological Quality Elements
2.3.3. Ecological Status
2.3.4. Data Analysis
2.4. Estimation of Water Balance Components for the Prespa Lakes
3. Results and Discussion
3.1. Ecological Status of Studied Streams
3.2. Water Quality and Trophic Status of Prespa Lakes
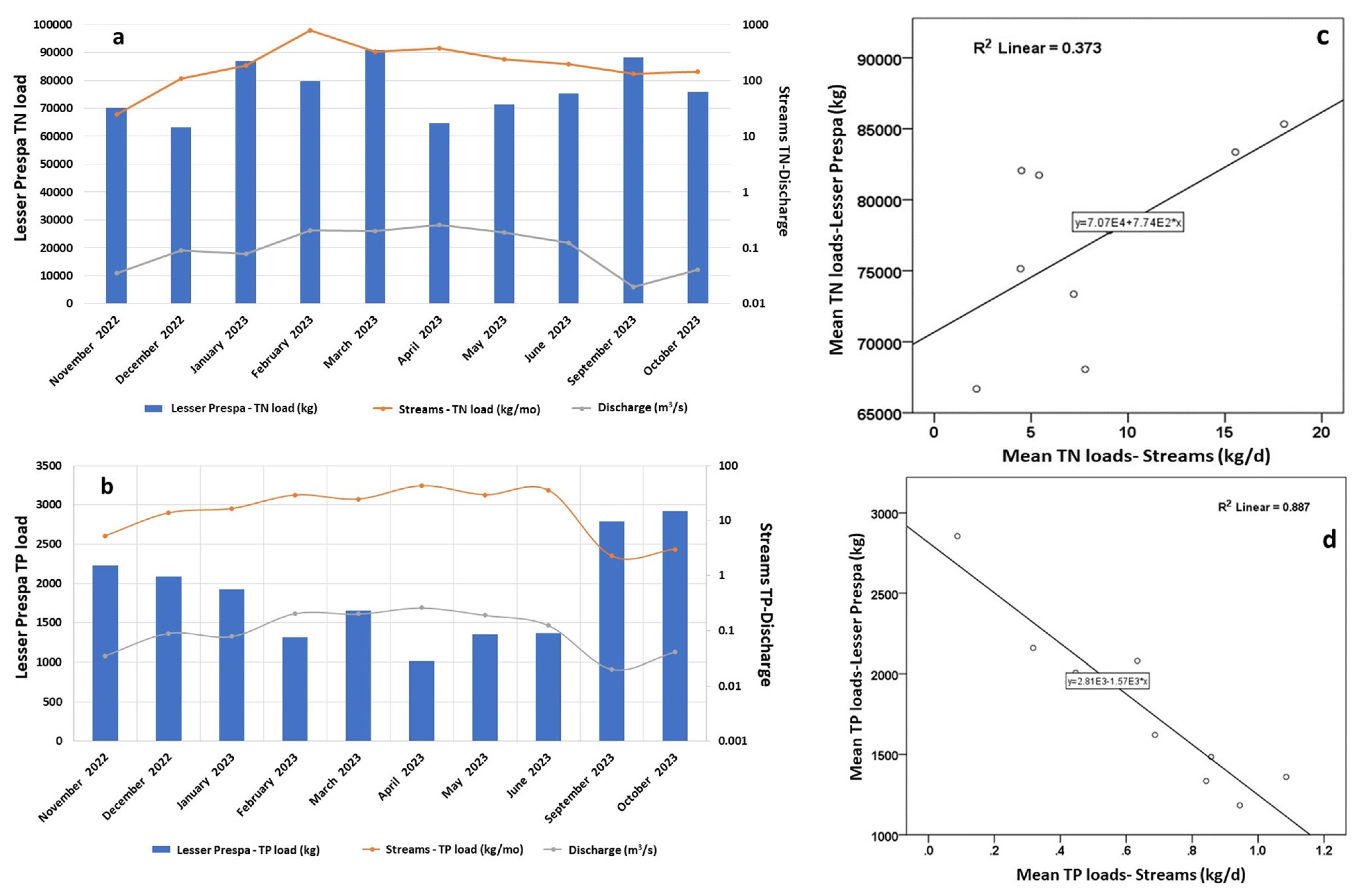
Effects of Stream Inflows on Lake Nutrient Dynamics and Retention
3.3. Estimation of Water Balance Components for Prespa Lakes
3.3.1. Lesser Prespa Lake
3.3.2. Great Prespa Lake
3.4. Water Stable Isotopes
4. Conclusions and Recommendations
- Streams such as Agios Germanos maintain high ecological quality, serving as a critical reference for conservation efforts.
- Moderate ecological status at certain stations highlights local stress hotspots linked to nearby agricultural, livestock, irrigation, and wastewater pressures.
- Repeated high nutrient levels underscore the need to investigate nearby pollution sources and optimize contributing practices.
- Lesser Prespa Lake is more vulnerable to nutrient enrichment.
- Understanding internal hydrodynamics (e.g., pollutant retention and transformation in the littoral zone and sediments) and the lake’s physicochemical conditions is essential. In situ sediment measurements and/or modeling approaches are vital in order to gain an in-depth understanding of the long-term responses of internal environmental dynamics in a freshwater lake to fluctuations in external nutrient inputs.
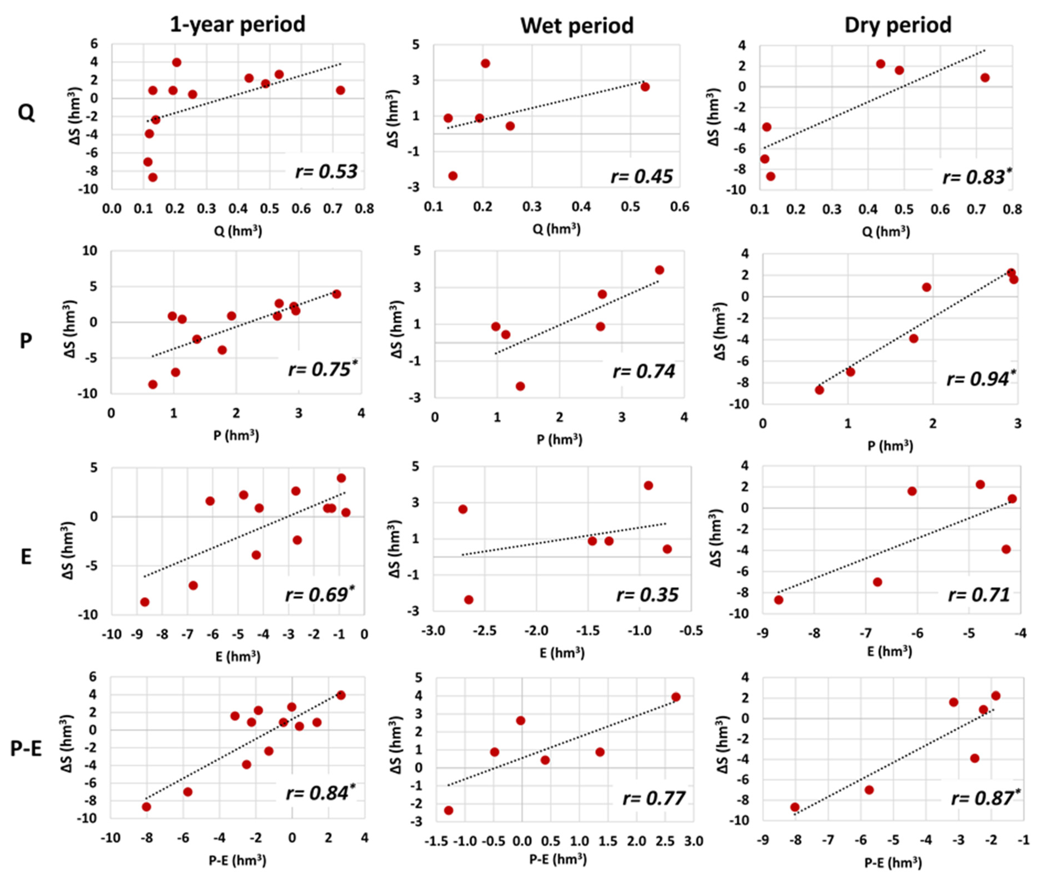
- Riverine nutrient concentrations can strongly influence lake water quality even though this was not substantially obvious in the current study due to climatic, hydrologic and limnologic reasons that were analytically explained above. Distinct drivers were found to control storage changes in the two lakes, with Lesser Prespa being primarily influenced by excess rainfall (R = 0.77–0.87), and Great Prespa by inflows from Ag. Germanos River (R = 0.69–0.88).
- Limited Capacity of Capturing Interannual Variability: The present study represents an interdisciplinary effort, involving an extensive and resource-intensive sampling campaign, for the collection of a wide range of physicochemical, biological, and hydrological parameters, in order to provide a holistic evaluation from both ecological and quantitative perspectives. As such, the analysis primarily focused on a particular hydrologic year for which all required data were available. The derived findings are, thus, mostly indicative of the hydrological year under investigation and are primarily able to capture seasonal variability rather than interannual dynamics. It should be noted, though, that for the case of Great Prespa, a relatively longer period (three hydrological years) has been examined, owing to the availability of discharge data from an automatic hydrological station located on the Ag. Germanos River, which enabled a more extended interpretation of the lake’s water balance.
- Non-Incorporation of Groundwater Component in Water Balance Analysis: In the present study, only selected water balance components were explicitly investigated, namely surface inflow from the study area, direct precipitation, evaporation, and storage changes in the Prespa Lakes. Consequently, groundwater exchange was not quantified, although it is known to play a substantial role in lake storage fluctuations, particularly in Great Prespa Lake. This methodological choice was dictated by data availability and by the fact that groundwater exchanges are typically estimated indirectly, requiring comprehensive quantification of all other water balance components. Such a comprehensive investigation was not feasible herein, as the study focuses exclusively on the Greek part of the Prespa Lakes, leaving a significant portion of surface runoff from neighboring countries unmonitored and unknown, thereby precluding a reliable estimation of the groundwater component.
- Uncertainty in Water Balance Estimation: The water balance results derived in this study are inevitably subject to uncertainties arising from both data limitations and methodological assumptions. Within this context, simplified water balance approaches, although widely used in water resources management, cannot fully capture the complexity of real-world hydrological dynamics, while key processes such as groundwater–surface water interactions and internal lake processes are not explicitly represented. With regard especially to our estimates, additional uncertainty may be associated with the use of meteorological data from a single station to estimate precipitation and evaporation over the extensive lake surfaces, thus assuming spatially uniform meteorological conditions and potentially underrepresenting spatial variability, particularly in the case of Great Prespa. Uncertainties related to inflow estimation may also have affected the results, due to limitations in both in situ discharge measurements and rating-curve-based estimates, although the latter exhibited strong agreement with observed data (R2 = 0.83–0.93).
- Lack of Quantification of Internal Nutrient Cycling: Internal nutrient cycling can be assessed or quantified using either empirical measurements or modeling approaches [93]. Empirical measurements are commonly obtained through the collection of undisturbed sediment cores with intact overlying water, which are subsequently analyzed under controlled laboratory conditions designed to replicate in situ environmental settings. As a shortcoming of the present study, neither sediment samples were collected, nor alterations in the internal environment under various degrees of external nutrient load reduction have been compared, preventing the quantification of internal nutrient cycling.
Supplementary Materials
Author Contributions
Funding
Data Availability Statement
Acknowledgments
Conflicts of Interest
References
- Hirji, R.F.; Duda, A. Integrated management of lakes, reservoirs, and their basins is critical for a climate-resilient planet: An urgent wake-up call from collective amnesia. Water Policy 2025, 27, 66–87. [Google Scholar] [CrossRef]
- Meadows, G.A.; Meadows, L.A.; Wood, W.L.; Hubertz, J.M.; Perlin, M. The relationship between Great Lakes water levels, wave energies, and shoreline damage. Bull. Am. Meteorol. Soc. 1997, 78, 675–682. [Google Scholar] [CrossRef]
- Khan, S.J.; Deere, D.; Leusch, F.D.; Humpage, A.; Jenkins, M.; Cunliffe, D. Extreme weather events: Should drinking water quality management systems adapt to changing risk profiles? Water Res. 2015, 85, 124–136. [Google Scholar] [CrossRef] [PubMed]
- Casanova, M.T.; Brock, M.A. How do depth, duration and frequency of flooding influence the establishment of wetland plant communities? Plant Ecol. 2000, 147, 237–250. [Google Scholar] [CrossRef]
- Munar, A.M.; Cavalcanti, J.R.; da Motta-Marques, D.; Fragoso, C.R. Coupling large-scale hydrological and hydrodynamic modeling: Toward a better comprehension of watershed-shallow lake processes. J. Hydrol. 2018, 564, 424–441. [Google Scholar] [CrossRef]
- Kowalczewska-Madura, K.; Dondajewska-Pielka, R.; Gołdyn, R. The assessment of external and internal nutrient loading as a basis for lake management. Water 2022, 14, 2844. [Google Scholar] [CrossRef]
- Xu, H.; McCarthy, M.J.; Paerl, H.W.; Brookes, J.D.; Zhu, G.; Hall, N.S.; Qin, B.; Zhang, Y.; Zhu, M.; Justyna, J.; et al. Contributions of external nutrient loading and internal cycling to cyanobacterial bloom dynamics in Lake Taihu, China: Implications for nutrient management. Limnol. Oceanogr. 2021, 66, 1492–1509. [Google Scholar] [CrossRef]
- Yang, C.; Yang, P.; Geng, J.; Yin, H.; Chen, K. Sediment internal nutrient loading in the most polluted area of a shallow eutrophic lake (Lake Chaohu, China) and its contribution to lake eutrophication. Environ. Pollut. 2020, 262, 114292. [Google Scholar] [CrossRef]
- Qin, B.; Zhang, Y.; Zhu, G.; Gao, G. Eutrophication control of large shallow lakes in China. Sci. Total Environ. 2023, 881, 163494. [Google Scholar] [CrossRef]
- Qiu, J.; Yuan, S.; Tang, H.; Zhang, Q.; Wolter, C.; Nikora, V. Ecological connectivity of river-lake ecosystem: Evidence from fish population dynamics in a connecting channel. Water Resour. Res. 2024, 60, e2024WR037495. [Google Scholar] [CrossRef]
- World Meteorological Organization. State of the Global Water Resources Study of 2023; WMO-No. 1333; WMO: Geneva, Switzerland, 2023; Available online: https://library.wmo.int/records/item/68473-state-of-global-water-resources-report-2022 (accessed on 25 October 2025).
- Röpke, C.; Pires, T.H.; Zuchi, N.; Zuanon, J.; Amadio, S. Effects of climate-driven hydrological changes in the reproduction of Amazonian floodplain fishes. J. Appl. Ecol. 2022, 59, 1134–1145. [Google Scholar] [CrossRef]
- He, C.; James, L.A. Watershed science: Linking hydrological science with sustainable management of river basins. Sci. China Earth Sci. 2021, 64, 677–690. [Google Scholar] [CrossRef]
- Inácio, M.; Barceló, D.; Zhao, W.; Pereira, P. Mapping lake ecosystem services: A systematic review. Sci. Total Environ. 2022, 847, 157561. [Google Scholar] [CrossRef] [PubMed]
- Qi, H.; Lu, J.; Chen, X.; Sauvage, S.; Sanchez-Pérez, J.M. Water age prediction and its potential impacts on water quality using a hydrodynamic model for Poyang Lake, China. Environ. Sci. Pollut. Res. 2016, 23, 13327. [Google Scholar] [CrossRef]
- Shin, S.; Her, Y.; Muñoz-Carpena, R.; Yu, X. Quantifying the contribution of external loadings and internal hydrodynamic processes to the water quality of Lake Okeechobee. Sci. Total Environ. 2023, 883, 163713. [Google Scholar] [CrossRef]
- Janicka, E.; Kanclerz, J.; Wiatrowska, K.; Budka, A. Variability of Nitrogen and Phosphorus Content and Their Forms in Waters of a River-Lake System. Front. Environ. Sci. 2022, 10, 874754. [Google Scholar] [CrossRef]
- Hillebrand, B.; Biemans, W.G. The relationship between internal and external cooperation: Literature review and propositions. J. Bus. Res. 2003, 56, 735–743. [Google Scholar] [CrossRef]
- Hillebrand, B.; Biemans, W.G. Links between internal and external cooperation in product development: An exploratory study. J. Prod. Innov. Manag. 2004, 21, 110–122. [Google Scholar] [CrossRef]
- Sondergaard, M.; Jensen, J.P.; Jeppesen, E. Role of sediment and internal loading of phosphorus in shallow lakes. Hydrobiologia 2003, 506, 135–145. [Google Scholar] [CrossRef]
- Sondergaard, M.; Jensen, J.P.; Jeppesen, E. Internal phosphorus loading in shallow Danish lakes. In Shallow Lakes’ 98: Trophic Interactions in Shallow Freshwater and Brackish Waterbodies; Springer: Dordrecht, The Netherlands, 1999; pp. 145–152. [Google Scholar] [CrossRef]
- Faridmarandi, S.; Khare, Y.P.; Naja, G.M. Long-term regional nutrient contributions and in-lake water quality trends for Lake Okeechobee. Lake Reserv. Manag. 2020, 37, 77–94. [Google Scholar] [CrossRef]
- Mooney, J.R.; Stanley, H.E.; Rosenthal, W.C.; Esselman, P.C.; Kendall, A.D.; Mclntyre, P.B. Outsized nutrient contributions from small tributaries to a Great Lake. Biol. Sci. 2020, 117, 28175–28182. [Google Scholar] [CrossRef] [PubMed]
- Catsadorakis, G.; Roumeliotou, V.; Koutseri, I.; Malakou, M. Multifaceted local action for the conservation of the transboundary Prespa lakes Ramsar sites in Balkans. Mar. Freshw. Res. 2022, 73, 1174–1183. [Google Scholar] [CrossRef]
- Trajkovski, D.; Apostolova, N. The Catastrophic Water Loss of Ancient Lake Prespa: A Chronicle of a Death Foretold. Hydrology 2024, 11, 199. [Google Scholar] [CrossRef]
- Armitage, D.; Otter, H.S.; van Tatenhove, J.; Dewulf, G. Science–policy processes for transboundary water governance. Environ. Sci. Policy 2015, 51, 26–35. [Google Scholar] [CrossRef]
- Lima-Quispe, N.; Ruelland, D.; Rabatel, A.; Lavado-Casimiro, W.; Condom, T. Modeling Lake Titicaca’s water balance: The dominant roles of precipitation and evaporation. Hydrol. Earth Syst. Sci. 2025, 29, 655–682. [Google Scholar] [CrossRef]
- Menció, A.; Folch, A.; Mas-Pla, J. Analyzing hydrological sustainability through water balance. Environ. Manag. 2010, 45, 1175–1190. [Google Scholar] [CrossRef]
- Gichamo, T.; Abate, B.; Esimo, F.; Gokcekus, H.; Gelete, G. Analysis of water balance and hydrodynamics of Lake Beseka, Ethiopia. J. Water Clim. Change 2022, 13, 2034–2047. [Google Scholar] [CrossRef]
- Matiatos, I.; Papadopoulos, A.; Panagopoulos, Y.; Dimitriou, E. Insights into the influence of morphology on the hydrological processes of river catchments using stable isotopes. Hydrol. Sci. J. 2023, 68, 1487–1498. [Google Scholar] [CrossRef]
- Drougas, C.; Kelepertzis, E.; Kypritidou, Z.; Sigala, E.; Matiatos, I.; Dotsika, E.; Vasileiou, E.; Louloudis, G.; Mertiri, E.; Boeckx, P.; et al. Controls on the geochemical composition of surface water in Alfeios River basin in the transition era of lignite mine closure at Megalopolis, Greece. Sci. Total Environ. 2025, 970, 179006. [Google Scholar] [CrossRef]
- Vystavna, Y.; Harjung, A.; Monteiro, L.R.; Matiatos, I.; Wassenaar, L.I. Stable isotopes in global lakes integrate catchment and climatic controls on evaporation. Nat. Commun. 2021, 12, 7224. [Google Scholar] [CrossRef]
- Johnstone, C.; Bedaso, Z.K.; Ekberg, M. Characterizing surface water and groundwater interaction for sustainable water resources management in southwestern Ohio. Sustain. Water Resour. Manag. 2022, 8, 10. [Google Scholar] [CrossRef]
- Salvadori, M.; Pennisi, M.; Masciale, R.; Fidelibus, M.D.; Frollini, E.; Ghergo, S.; Parrone, D.; Preziosi, E.; Passarella, G. Isotopic study for evaluating complex groundwater circulation patterns, hydrogeological zoning, and water-rock interaction in a Mediterranean coastal karst environment. Sci. Total Environ. 2024, 955, 176850. [Google Scholar] [CrossRef] [PubMed]
- Matiatos, I.; Papadopoulos, A.; Harjung, A.; Vystavna, Y.; Lazogiannis, K.; Rossi, P.M.; Heiderscheidt, Ε.; Mentzafou, A.; Zotou, I.; Dimitriou, E. Water dynamics and evaporation losses to inflows into transboundary Mediterranean lakes—The case of Prespa Lakes. Hydrol. Sci. J. 2025, 70, 611–627. [Google Scholar] [CrossRef]
- Birk, S.; Bonne, W.; Borja, A.; Brucet, S.; Courrat, A.; Poikane, S.; van de Bund, W.; Zampoukas, N.; Hering, D. Three hundred ways to assess Europe’s surface waters: An almost complete overview of biological methods to implement the WaterFramework Directive. Ecol. Indic. 2012, 18, 31–41. [Google Scholar] [CrossRef]
- Karaouzas, I.; Smeti, E.; Kalogianni, E.; Skoulikidis, N.T. Ecological status monitoring and assessment in Greek rivers: Do macroinvertebrate and diatom indices indicate same responses to anthropogenic pressures? Ecol. Indic. 2019, 101, 126–132. [Google Scholar] [CrossRef]
- Morin, S.; Gómez, N.; Tornés, E.; Licursi, M.; Rosebery, J. Benthic diatom monitoring and assessment of freshwater environments: Standard methods and future challenges. In Aquatic Biofilms: Ecology, Water Quality and Water Treatment; Romaní, A.M., Guasch, H., Balaguer, M.D., Eds.; Academic Press: Caister, UK, 2016; pp. 111–124. [Google Scholar]
- Hering, D.; Johnson, R.K.; Kramm, S.; Schmutz, S.; Szoszkiewicz, K.; Verdonschot, P.F.M. Assessment of European streams with diatoms, macrophytes, macroinvertebrates and fish: A comparative metric-based analysis of organism response to stress. Freshw. Biol. 2006, 51, 1757–1785. [Google Scholar] [CrossRef]
- Johnson, R.K.; Hering, D. Response of taxonomic groups in streams to gradients in resource and habitat characteristics. J. Appl. Ecol. 2009, 46, 175–186. [Google Scholar] [CrossRef]
- Eftimi, R.; Stevanović, Z.; Stojov, V. Hydrogeology of Mali Thate–Galičica karst massif related to the catastrophic decrease of the level of Lake Prespa. Environ. Earth Sci. 2021, 80, 708. [Google Scholar] [CrossRef]
- FAO/UNESCO. Carte Bioclimatique de la Zone Mediterranee: Notice Explicative; O.N.M.: Paris, France, 1963. [Google Scholar]
- Papadakis, J. Climates of the world. In Their Classification Similarities, Differences and Geographic Distribution; Libro Edicion Argentina: Buenos Aires, Argentina, 1970. [Google Scholar]
- Hollis, G.E.; Stevenson, A.C. The physical basis of the Lake Mikri Prespa systems: Geology, climate, hydrology and water quality. Hydrobiologia 1997, 351, 1–19. [Google Scholar] [CrossRef]
- Popovska, C.; Bonacci, O. Basic data on the hydrology of Lakes Ohrid and Prespa. Hydrol. Process. 2007, 21, 658–664. [Google Scholar] [CrossRef]
- Kiri, E. Hydrodynamic and Hydrochemical Investigation of the Transboundary Aquifer System in Prespa-Ohrid Watershed. Ph.D. Thesis, Aristotle University of Thessaloniki-School of Geology, Thessaloniki, Greece, 2021. [Google Scholar] [CrossRef]
- Manolopoulos, A. Estimation of Bathymetry and Stage to Volume Relations in Lake Mikri Prespa; Internal Report; Society for the Protection of Prespa: Agios Germanos, Greece, 2017. [Google Scholar]
- Hellenic Cadastre catalog, S.A. 2020. Digital Elevation Model (DEM). Available online: https://data.ktimatologio.gr/ (accessed on 20 September 2024).
- Demek, J.; Embleton, C. Guide to Medium-Scale. Geomorphological Mapping; E. Schweizerbart’sche Verlagsbuchhandlung, Nägele u. Obermiller: Stuttgart, Germany, 1978. [Google Scholar]
- Roger, K.; Aminot, A. Fluorometric determination of ammonia in sea and estuarine waters by direct segmented flow analysis. Mar. Chem. 1997, 57, 265–275. [Google Scholar] [CrossRef]
- Boltz, D.F.; Mellon, M.G. Spectrophotometric determination of phosphate as molydiphosphoric acid. Anal. Chem. 1948, 20, 749–751. [Google Scholar] [CrossRef]
- APHA/AWWA/WPCF. Standard Methods for the Examination of Water and Waste Water, 15th ed.; Public Health Association/American Water Works Association/Water Pollution Control Federal: Washington, DC, USA, 1980; p. 1134. [Google Scholar]
- US Environmental Protection Agency. Methods for Chemical Analysis of Water and Wastes, Method 353.3; USEPA Report No. EPA/600/4-79/020; Environmental Monitoring and Support Lab, Office of Research and Development: Washington, DC, USA, 1983. [Google Scholar]
- Navone, R. Proposed method for nitrate in potable waters. J.‐Am. Water Works Assoc. 1964, 56, 781. [Google Scholar] [CrossRef]
- Pujo-Pay, M.; Raimbault, P. Improvement of the wet-oxidation procedure for simultaneous determination of particulate organic nitrogen and phosphorus collected on filters. Mar. Ecol. Prog. Ser. 1994, 105, 203–207. [Google Scholar] [CrossRef]
- Raimbault, P.; Pouvesle, W.; Diaz, F.; Garcia, N.; Sempere, R. Wet oxidation and automated colorimetry for simultaneous determination of organic carbon, nitrogen and phosphorus dissolved in seawater. Mar. Chem. 1999, 66, 161–169. [Google Scholar] [CrossRef]
- Skoulikidis, N.; Amaxidis, Y.; Bertahas, I.; Laschou, S.; Gritzalis, K. Analysis of factors driving stream water composition and synthesis of management tools—A case study on small/medium Greek catchments. Sci. Total Environ. 2006, 362, 205–241. [Google Scholar] [CrossRef] [PubMed]
- Cardoso, A.C.; Duchemin, J.; Magoarou, P.; Premazzi, G. Criteria for the Identification of Freshwaters Subject to Eutrophication; EUR 19810 EN; EC Joint Research Centre: Ispra, Italy, 2001. [Google Scholar]
- EN 13946; Guidance Standard for the Routine Sampling and Pretreatment of Benthic Diatoms from Rivers. European Committee for Standardization: Brussels, Belgium, 2003; CEN/TC 230. 14p.
- EN 14407; Guidance Standard for the Identification. Enumeration and Interpretation of Benthic Diatom Samples from running Waters. European Committee for Standardization: Brussels, Belgium, 2004; CEN/TC 230. 12p.
- Cantonati, M.; Kelly, M.G.; Lange-Bertalot, H. Freshwater Benthic Diatoms of Central Europe: Over 800 Common Species Used in Ecological Assessment; Koeltz Botanical Books: Schmitten-Oberreifenberg, Germany, 2017; 942p, ISBN 978-3-946583-06-6. [Google Scholar]
- Cemagref. Etude des Méthodes Biologiques D’appréciation Quantitative de la Qualité des Eaux; Technical Report; Lyon-Agence De l’eau Rhone-Méditérranée-Corse: Lyon, France, 1982; 218p. [Google Scholar]
- Lazaridou, M.; Ntislidou, C.; Karaouzas, I.; Skoulikidis, N. Harmonisation of a new assessment method for estimating the ecological quality status of Greek running waters. Ecol. Indic. 2018, 84, 683–694. [Google Scholar] [CrossRef]
- Søndergaard, Μ.; Jeppesen, Ε.; Jensen, J.; Amsinck, P. Water Framework Directive: Ecological classification of Danish lakes. J. Appl. Ecol. 2005, 42, 616–629. [Google Scholar] [CrossRef]
- OECD; Vollenweider, R.A.; Kerekes, J.J. Eutrophication of waters. In Monitoring, Assessment, and Control; OECD: Paris, France, 1982; 192p. [Google Scholar]
- EPA—US Environmental Protection Agency. Nutrient Criteria, Technical Guidance Manual, Lakes and Reservoirs, 1st ed.; EPA-822-B00-001; EPA—US Environmental Protection Agency: Washington, DC, USA, 2000. [Google Scholar]
- Carlson Robert, E. A trophic state index for lakes. Limnol. Oceanogr. 1977, 22, 361–369. [Google Scholar] [CrossRef]
- Meyer, M.F.; Kraemer, B.M.; Barbosa, C.C.; Cunha, D.G.F.; Dodds, W.K.; Hampton, S.E.; Ordóñez, C.; Pilla, R.M.; Pollard, A.I.; Culpepper, J.A.; et al. Clarifying the Trophic State Concept to Advance Macroscale Freshwater Science and Management. Ecosphere 2025, 16, e70392. [Google Scholar] [CrossRef]
- Izabela, Z.; Jarosław, J.; Monika, R.; Michał, W. Relative impact of environmental variables on the lake trophic state highlights the complexity of eutrophication controls. J. Environ. Manag. 2023, 345, 118679. [Google Scholar] [CrossRef] [PubMed]
- Sondergaard, M.; Johansson, L.S.; Levi, E.E.; Lauridsen, T.L.; Jeppesen, E. Lake types and their definition: A case study from Denmark. Inland Waters 2020, 10, 227–240. [Google Scholar] [CrossRef]
- R Core Team. R: A Language and Environment for Statistical Computing. R Foundation for Statistical Computing; R Core Team: Vienna, Austria, 2019; Available online: https://www.R-project.org/ (accessed on 20 October 2025).
- Wickham, H.; Chang, W.; Henry, L.; Pedersen, T.L.; Takahashi, K.; Wilke, C.; Woo, K.; Yutani, H.; Dunnington, D. Package ‘ggplot2’: Create Elegant Data Visualisations Using the Grammar of Graphics; R package version 3.3.3 2020. Available online: https://cran.r-project.org/package=ggplot2 (accessed on 20 October 2025).
- Kassambara, A. ggpubr: ‘ggplot2’ Based Publication Ready Plots. R Package Version 0.5.0. 2020. Available online: https://CRAN.Rproject.org/package=ggpubr (accessed on 20 October 2025).
- Clarke, K.R.; Gorley, R.N. PRIMER v7: User Manual/Tutorial; PRIMER-e: Auckland, New Zealand, 2015. [Google Scholar]
- Clarke, K.R.; Gorley, R.N.; Somerfield, P.J.; Warwick, R.M. Change in Marine Communities: An Approach to Statistical Analysis and Interpretation, 3rd ed.; PRIMER-e: Auckland, New Zealand, 2014. [Google Scholar]
- Penman, H.L. Natural Evaporation from Open Water, Bare Soil, and Grass; Proceedings; Royal Society: London, UK, 1948; Volume 193, pp. 120–146. [Google Scholar]
- Parissopoulos, G. Review of Secchi Disk Measurements of Lesser Prespa Lake; Technical Report; Society for the Protection of Prespa: Laimos, Greece, 2015; 12p. [Google Scholar]
- Society for the Protection of Prespa (SPP). Secchi Disk Data Provision. Available online: https://spp.gr/ (accessed on 20 July 2024).
- Ministry of the Environment and Energy, Special Secretariat for Water, 2014. Approved Management Plan (Government Gazette): Approval of the River Basin Management Plan for the Western Macedonia Water District (GR09). Available online: https://wfdver.ypeka.gr/wp-content/uploads/2017/04/FEK_181.B.2014_GR09-1.pdf (accessed on 25 July 2025).
- Ministry of the Environment and Energy, Special Secretariat for Water. 1st Revision of the River Basin Management Plan for the Western Macedonia Water District (EL09). 2017. Available online: https://wfdver.ypeka.gr/wpcontent/uploads/2021/02/EL09_1REV_P06_Tipo_Sinthikes_Anaforas.pdf (accessed on 20 June 2025).
- Ministry of the Environment and Energy, Special Secretariat for Water. 2nd Revision of the River Basin Management Plans (RBMPs) for the Western Macedonia Water District (EL09). 2024. Available online: https://wfdver.ypeka.gr/wp-content/uploads/2024/07/EL09_2REV_sdlap.pdf (accessed on 20 June 2025).
- UNDP-GEF Project. Technical Task Team (TTT) for the collection, assessment and evaluation of national information in support of the Transboundary Diagnostic Analysis (TDA) and development of a Strategic Action Programme (SAP) in the Prespa Lakes Basin. In Transboundary Diagnostic Analysis (TDA)—Prespa Lakes Basin; United Nations Development Programme (UNDP): New York, NY, USA; Global Environment Facility (GEF): Washington, DC, USA, 2009. [Google Scholar]
- Heiskary, S.; Wilson, B. Minnesota Lake Water Quality: Developing Nutrient Criteria, 3rd ed.; Minnesota Pollution Control Agency: St. Paul, MN, USA, 2005. [Google Scholar]
- Kuriata-Potasznik, A. The Functioning of a Water Body within a Fluvio- Lacustrine System as an Effect of Excessive Nitrogen Loading-The Case of Lake Symsar and its Drainage Area (Northeastern Poland). Water 2018, 10, 1163. [Google Scholar] [CrossRef]
- Saunders, D.L.; Kalff, J. Nitrogen Retention in Wetlands, Lakes and Rivers. Hydrobiologia 2001, 443, 205–212. [Google Scholar] [CrossRef]
- Sun, X.; Bernard-Jannin, L.; Grusson, Y.; Sauvage, S.; Arnold, J.; Srinivasan, R.; Sánchez Pérez, J.M. Using SWAT-LUD Model to Estimate the Influence of Water Exchange and Shallow Aquifer Denitrification on Water and Nitrate Flux. Water 2018, 10, 528. [Google Scholar] [CrossRef]
- Uuemaa, E.; Palliser, C.; Hughes, A.; Tanner, C. Effectiveness of a Natural Headwater Wetland for Reducing Agricultural Nitrogen Loads. Water 2018, 10, 287. [Google Scholar] [CrossRef]
- KfW Feasibility Study, GFA Consulting Group. Project Preparation & Development of the Transboundary Prespa Park Project: Part V Hydrology Report; KfW Entwicklungsbank: Frankfurt, Germany, 2005; 94p. [Google Scholar]
- Popov, V.; Anovska, E.; Arsov, M.; Amataj, S.; Kolaneci, M.; Stamos, A.; Arsov, L.; Anovski, T.; Kiri, E.; Gelaj, A. Study of Prespa-Ohrid lake system using tracer experiments and the lake’s water balance. WIT Trans. Eng. Sci. 2009, 125, 75–84. [Google Scholar]
- Van der Schriek, T.; Giannakopoulos, C. Determining the causes for the dramatic recent fall of Lake Prespa (southwest Balkans). Hydrol. Sci. J. 2017, 62, 1131–1148. [Google Scholar] [CrossRef]
- Eftimi, R.; Skende, P.; Zoto, J. Isotope study of the connection of Ohrid and Prespa lakes. Geol. Balc. 2002, 32, 43–50. [Google Scholar] [CrossRef]
- Nelson, D.B.; Basler, D.; Kahmen, A. Precipitation isotope time series predictions from machine learning applied in Europe. Proc. Natl. Acad. Sci. USA 2021, 118, e2024107118. [Google Scholar] [CrossRef]
- Chen, M.; Li, X.; de Klein, J.; Janssen, A.B.G.; Du, X.; Lei, Q.; Liu, H.; Kroeze, C. Long-Term Responses of Internal Environment Dynamics in a Freshwater Lake to Variations in External Nutrient Inputs: A Model Simulation Approach. Sci. Total Environ. 2024, 951, 175514. [Google Scholar] [CrossRef]














| Sampling Station | Physicochemical Quality | EQR IPS (Diatoms) | EQR HESY2 (Macroinvertebrates) | Final Ecological Status |
|---|---|---|---|---|
| Lefkonas | High | Good | Moderate | Moderate |
| Kallithea | High | Good | High | Good |
| Mikrolimni 1 | Good | Moderate | Moderate | Moderate |
| Mikrolimni 3 | High | Good | Moderate | Moderate |
| Ag. Germanos 1 | High | Good | Moderate | Moderate |
| Ag. Germanos 2 | High | Good | Good | Good |
| Ag. Germanos 3 (Gaidouritsa stream) | High | High | High | High |
| Ag. Germanos 4 (Siroka stream) | High | High | High | High |
| Station | Depth (m) | Median TN (mg/L) | Median TP (mg/L) | TSI Average | Denmark System (TN) | Denmark System (TP) | Denmark System (Secchi) | OECD (1982)-TP | OECD (1982)-Secchi | EPA (2000) |
|---|---|---|---|---|---|---|---|---|---|---|
| Lesser Prespa | 0–1 | 0.44 | 0.01 | 44.94 | High | High | Poor | Mesotrophic | Eutrophic | Mesotrophic |
| Great Prespa | 0–1 | 0.401 | 0.0185 | 43.68 | High | Good | Moderate | Mesotrophic | Mesotrophic | Mesotrophic |
| Great Prespa | 15 | 0.372 | 0.021 | High | Good | Mesotrophic | Mesotrophic |
| Dataset | Equation | R2 | F | df1 | df2 | p-Value | Constant | b1 | b2 | b3 |
|---|---|---|---|---|---|---|---|---|---|---|
| TN | Linear | 0.21 | 1.58 | 1 | 6 | 0.256 | 84,040.29 | 22.50 | ||
| TN | Logarithmic | 0.18 | 1.35 | 1 | 6 | 0.289 | 64,858.93 | 4837.23 | ||
| TN | Quadratic | 0.31 | 1.13 | 2 | 5 | 0.393 | 90,858.10 | −32.80 | 0.067 | |
| TN | Cubic | 0.73 | 3.60 | 3 | 4 | 0.124 | 72,248.96 | 302.34 | −1.18 | 0.001 |
| TN | Power | 0.19 | 1.38 | 1 | 6 | 0.285 | 67,414.06 | 0.054 | ||
| TN | Exponential | 0.19 | 1.42 | 1 | 6 | 0.278 | 83,861.16 | 0.000 | ||
| TP | Linear | 0.54 | 7.01 | 1 | 6 | 0.038 | 2821.17 | −38.99 | ||
| TP | Logarithmic | 0.79 | 22.74 | 1 | 6 | 0.003 | 3773.80 | −647.78 | ||
| TP | Quadratic | 0.78 | 9.09 | 2 | 5 | 0.022 | 3437.89 | −127.01 | 2.04 | |
| TP | Cubic | 0.84 | 6.98 | 3 | 4 | 0.046 | 3860.44 | −247.65 | 8.71 | −0.10 |
| TP | Power | 0.71 | 14.65 | 1 | 6 | 0.009 | 4133.78 | −0.28 | ||
| TP | Exponential | 0.50 | 6.01 | 1 |
Disclaimer/Publisher’s Note: The statements, opinions and data contained in all publications are solely those of the individual author(s) and contributor(s) and not of MDPI and/or the editor(s). MDPI and/or the editor(s) disclaim responsibility for any injury to people or property resulting from any ideas, methods, instructions or products referred to in the content. |
© 2026 by the authors. Licensee MDPI, Basel, Switzerland. This article is an open access article distributed under the terms and conditions of the Creative Commons Attribution (CC BY) license.
Share and Cite
Markogianni, V.; Zotou, I.; Smeti, E.; Lampou, A.; Matiatos, I.; Karaouzas, I.; Dimitriou, E. Watershed Dynamics in the Prespa Lakes: An Integrated Assessment of Stream Inflow Effects. Water 2026, 18, 518. https://doi.org/10.3390/w18040518
Markogianni V, Zotou I, Smeti E, Lampou A, Matiatos I, Karaouzas I, Dimitriou E. Watershed Dynamics in the Prespa Lakes: An Integrated Assessment of Stream Inflow Effects. Water. 2026; 18(4):518. https://doi.org/10.3390/w18040518
Chicago/Turabian StyleMarkogianni, Vassiliki, Ioanna Zotou, Evangelia Smeti, Anastasia Lampou, Ioannis Matiatos, Ioannis Karaouzas, and Elias Dimitriou. 2026. "Watershed Dynamics in the Prespa Lakes: An Integrated Assessment of Stream Inflow Effects" Water 18, no. 4: 518. https://doi.org/10.3390/w18040518
APA StyleMarkogianni, V., Zotou, I., Smeti, E., Lampou, A., Matiatos, I., Karaouzas, I., & Dimitriou, E. (2026). Watershed Dynamics in the Prespa Lakes: An Integrated Assessment of Stream Inflow Effects. Water, 18(4), 518. https://doi.org/10.3390/w18040518

