Water Quality and Its Influence on Waterbird Habitat Distribution: A Study Along the Lieve River, Belgium
Abstract
1. Introduction
2. Materials and Methods
2.1. Study Area
2.2. Water Quality Measurement
2.3. Waterbird Survey
2.4. Data Analysis
3. Results and Discussion
3.1. Spatial Variability of Water Quality Parameters
3.2. Prati Index-Based Water Quality Assessment
3.3. Waterbird Abundance and Distribution Patterns
3.4. Influence of Water Quality on Waterbird Distribution Patterns
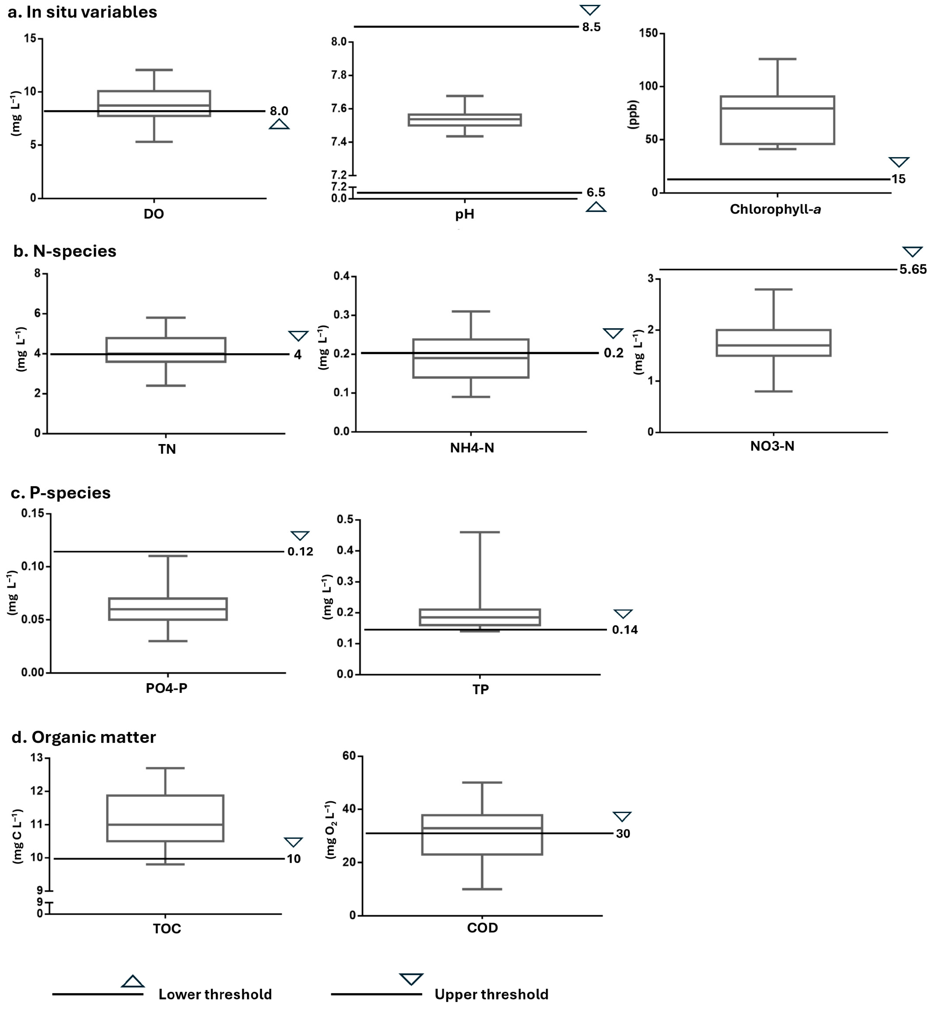
3.5. Water Quality Deviations from Environmental Standards and Ecological Implications
4. Conclusions
Supplementary Materials
Author Contributions
Funding
Data Availability Statement
Acknowledgments
Conflicts of Interest
References
- Haase, P.; Bowler, D.E.; Baker, N.J.; Bonada, N.; Domisch, S.; Marquez, J.R.G.; Heino, J.; Hering, D.; Jähnig, S.C.; Schmidt-Kloiber, A.; et al. The Recovery of European Freshwater Biodiversity Has Come to a Halt. Nature 2023, 620, 582–588. [Google Scholar] [CrossRef]
- Sexton, A.N.; Beisel, J.N.; Staentzel, C.; Wolter, C.; Tales, E.; Belliard, J.; Buijse, A.D.; Fernández, V.M.; Wantzen, K.M.; Jähnig, S.C.; et al. Inland Navigation and Land Use Interact to Impact European Freshwater Biodiversity. Nat. Ecol. Evol. 2024, 8, 1098–1108. [Google Scholar] [CrossRef]
- Alexander, N.; Dickinson, A.; Benson, T.J.; Ford, T.W.; Mateus-Pinilla, N.; Arneson, J.; Davis, M.A. Waterbird Disease in the United States Laurentian Great Lakes under Climate Change. J. Great Lakes Res. 2024, 50, 102450. [Google Scholar] [CrossRef]
- Amano, T.; Székely, T.; Sandel, B.; Nagy, S.; Mundkur, T.; Langendoen, T.; Blanco, D.; Soykan, C.U.; Sutherland, W.J. Successful Conservation of Global Waterbird Populations Depends on Effective Governance. Nature 2017, 553, 199–202. [Google Scholar] [CrossRef] [PubMed]
- Ho, L.; Barthel, M.; Panique-Casso, D.; Vermeulen, K.; Bruneel, S.; Liu, X.; Bodé, S.; Six, J.; Boeckx, P.; Goethals, P. Impact of Salinity Gradient, Water Pollution and Land Use Types on Greenhouse Gas Emissions from an Urbanized Estuary. Environ. Pollut. 2023, 336, 122500. [Google Scholar] [CrossRef]
- Loiseau, N.; Mouquet, N.; Casajus, N.; Grenié, M.; Guéguen, M.; Maitner, B.; Mouillot, D.; Ostling, A.; Renaud, J.; Tucker, C.; et al. Global Distribution and Conservation Status of Ecologically Rare Mammal and Bird Species. Nat. Commun. 2020, 11, 5071. [Google Scholar] [CrossRef]
- Sullivan, S.M.P.; Corra, J.W.; Hayes, J.T. Urbanization Mediates the Effects of Water Quality and Climate on a Model Aerial Insectivorous Bird. Ecol. Monogr. 2021, 91, e01442. [Google Scholar] [CrossRef]
- Sibilia, C.D.; Aguirre-Gutiérrez, J.; Mowbray, L.; Malhi, Y. Effects of Submerged Aquatic Vegetation and Water Quality on Waterfowl Abundance by Foraging Guild. Ecol. Solut. Evid. 2022, 3, e12137. [Google Scholar] [CrossRef]
- Tóth, P.; Tarcsay, B.L.; Kovács, Z.; Ionescu, D.T.; Németh, S.; Domokos, E. Assessment of the Correlation between the Nutrient Load from Migratory Bird Excrement and Water Quality by Principal Component Analysis in a Freshwater Habitat. Environ. Sci. Pollut. Res. 2023, 30, 66033–66049. [Google Scholar] [CrossRef] [PubMed]
- Wurtsbaugh, W.A.; Miller, C.; Null, S.E.; Rose, R.J.D.; Wilcock, P.; Hahnenberger, M.; Howe, F.; Moore, J. Decline of the World’s Saline Lakes. Nat. Geosci. 2017, 10, 816–821. [Google Scholar] [CrossRef]
- Strubbe, D.; Jiménez, L.; Barbosa, A.M.; Davis, A.J.S.; Lens, L.; Rahbek, C. Mechanistic Models Project Bird Invasions with Accuracy. Nat. Commun. 2023, 14, 2520. [Google Scholar] [CrossRef] [PubMed]
- Gelaude, F. De Lieve, de Realisatie van Een Opmerkelijk Kanaal in de 13e Eeuw. Een Illustratie van Stedelijke Machtsontplooiing Door Gent. Handel. Maatsch. Voor Geschied. Oudheidkd. Gent 2023, 73, 7–35. [Google Scholar] [CrossRef]
- Laguna, C.; López-Perea, J.J.; Viñuela, J.; Florín, M.; Feliu, J.; Chicote, Á.; Cirujano, S.; Mateo, R. Effects of Invasive Fish and Quality of Water and Sediment on Macrophytes Biomass, and Their Consequences for the Waterbird Community of a Mediterranean Floodplain. Sci. Total Environ. 2016, 551–552, 513–521. [Google Scholar] [CrossRef] [PubMed]
- Merckx, T.; Souffreau, C.; Kaiser, A.; Baardsen, L.F.; Backeljau, T.; Bonte, D.; Brans, K.I.; Cours, M.; Dahirel, M.; Debortoli, N.; et al. Body-Size Shifts in Aquatic and Terrestrial Urban Communities. Nature 2018, 558, 113–116. [Google Scholar] [CrossRef] [PubMed]
- Sawakuchi, A.O.; Schultz, E.D.; Pupim, F.N.; Bertassoli, D.J.; Souza, D.F.; Cunha, D.F.; Mazoca, C.E.; Ferreira, M.P.; Grohmann, C.H.; Wahnfried, I.D.; et al. Rainfall and Sea Level Drove the Expansion of Seasonally Flooded Habitats and Associated Bird Populations across Amazonia. Nat. Commun. 2022, 13, 4945. [Google Scholar] [CrossRef]
- Lens, L.; Dongen, S.V.; Norris, K.; Githiru, M.; Matthysen, E. Avian Persistence in Fragmented Rainforest. Science 2002, 298, 1236–1238. [Google Scholar] [CrossRef] [PubMed]
- Mitchell, M.E.; Newcomer-Johnson, T.; Christensen, J.; Crumpton, W.; Richmond, S.; Dyson, B.; Canfield, T.J.; Helmers, M.; Lemke, D.; Lechtenberg, M.; et al. Potential of Water Quality Wetlands to Mitigate Habitat Losses from Agricultural Drainage Modernization. Sci. Total Environ. 2022, 838, 156358. [Google Scholar] [CrossRef]
- Mikula, P.; Tomášek, O.; Romportl, D.; Aikins, T.K.; Avendaño, J.E.; Braimoh-Azaki, B.D.A.; Chaskda, A.; Cresswell, W.; Cunningham, S.J.; Dale, S.; et al. Bird Tolerance to Humans in Open Tropical Ecosystems. Nat. Commun. 2023, 14, 2146. [Google Scholar] [CrossRef] [PubMed]
- Chyb, A.; Jedlikowski, J.; Włodarczyk, R.; Minias, P. Consistent Choice of Landscape Urbanization Level across the Annual Cycle in a Migratory Waterbird Species. Sci. Rep. 2021, 11, 836. [Google Scholar] [CrossRef]
- Sorace, A.; Formichetti, P.; Boano, A.; Andreani, P.; Gramegna, C.; Mancini, L. The Presence of a River Bird, the Dipper, in Relation to Water Quality and Biotic Indices in Central Italy. Environ. Pollut. 2002, 118, 89–96. [Google Scholar] [CrossRef]
- Xie, S.; Wang, X.; Ren, Y.; Su, Z.; Su, Y.; Wang, S.; Zhou, W.; Lu, F.; Qian, Y.; Gong, C.; et al. Factors Responsible for Forest and Water Bird Distributions in Rivers and Lakes along an Urban Gradient in Beijing. Sci. Total Environ. 2020, 735, 139308. [Google Scholar] [CrossRef]
- Acuña, M.P.; Vukasovic, M.A.; Hernández, H.J.; Acuña, T.A.; Estades, C.F. Effects of the Surrounding Landscape on Waterbird Populations in Estuarine Ecosystems of Central Chile. Wetl. Ecol. Manag. 2019, 27, 295–310. [Google Scholar] [CrossRef]
- Wu, H.; Dai, J.; Sun, S.; Du, C.; Long, Y.; Chen, H.; Yu, G.; Ye, S.; Chen, J. Responses of Habitat Suitability for Migratory Birds to Increased Water Level during Middle of Dry Season in the Two Largest Freshwater Lake Wetlands of China. Ecol. Indic. 2021, 121, 107065. [Google Scholar] [CrossRef]
- Vallecillo, S.; Maes, J.; Polce, C.; Lavalle, C. A Habitat Quality Indicator for Common Birds in Europe Based on Species Distribution Models. Ecol. Indic. 2016, 69, 488–499. [Google Scholar] [CrossRef]
- de Smet Willem, H.O.; Frans, M.J.C.E. A Hydrobiological Study of the Polluted River Lieve (Ghent, Belgium). Hydrobiologia 1972, 39, 91–154. [Google Scholar] [CrossRef]
- Figarski, T.; Kajtoch, Ł. Alterations of Riverine Ecosystems Adversely Affect Bird Assemblages. Hydrobiologia 2015, 744, 287–296. [Google Scholar] [CrossRef]
- Dulsat-Masvidal, M.; Ciudad, C.; Infante, O.; Mateo, R.; Lacorte, S. Water Pollution Threats in Important Bird and Biodiversity Areas from Spain. J. Hazard. Mater. 2023, 448, 130938. [Google Scholar] [CrossRef]
- Gregory, R.D.; van Strien, A.; Vorisek, P.; Gmelig Meyling, A.W.; Noble, D.G.; Foppen, R.P.B.; Gibbons, D.W. Developing Indicators for European Birds. Philos. Trans. R. Soc. B Biol. Sci. 2005, 360, 269–288. [Google Scholar] [CrossRef] [PubMed]
- Horne, A.; Beutel, M.; Woodside, G. The Prado Wetlands: 24 Years of River Diversion Treatment Wetlands Reducing Nitrate and Phosphate While Increasing an Endangered Bird. Ecol. Eng. 2024, 200, 107174. [Google Scholar] [CrossRef]
- Rigal, S.; Dakos, V.; Alonso, H.; Auniņš, A.; Benkő, Z.; Brotons, L.; Chodkiewicz, T.; Chylarecki, P.; de Carli, E.; del Moral, J.C.; et al. Farmland Practices Are Driving Bird Population Decline across Europe. Proc. Natl. Acad. Sci. USA 2023, 120, e2216573120. [Google Scholar] [CrossRef]
- Xu, Q.; Zhou, L.; Xia, S.; Zhou, J. Impact of Urbanisation Intensity on Bird Diversity in River Wetlands around Chaohu Lake, China. Animals 2022, 12, 473. [Google Scholar] [CrossRef] [PubMed]
- Tucker, C.J.; Grant, D.M.; Dykstra, J.D. NASA’s Global Orthorectified Landsat Data Set. Photogramm. Eng. Remote Sens. 2004, 70, 313–322. [Google Scholar] [CrossRef]
- Boussauw, K. City Profile: Ghent, Belgium. Cities 2014, 40, 32–43. [Google Scholar] [CrossRef]
- Boets, P.; Lock, K.; Goethals, P.L.M. Using Long-Term Monitoring to Investigate the Changes in Species Composition in the Harbour of Ghent (Belgium). Hydrobiologia 2011, 663, 155–166. [Google Scholar] [CrossRef]
- Luo, K.; Wu, Z.; Bai, H.; Wang, Z. Bird Diversity and Waterbird Habitat Preferences in Relation to Wetland Restoration at Dianchi Lake, South-West China. Avian Res. 2019, 10, 21. [Google Scholar] [CrossRef]
- Harmon, K.C.; Winter, K.B.; Kurashima, N.; Fletcher, C.H.; Kane, H.H.; Price, M.R. The Role of Indigenous Practices in Expanding Waterbird Habitat in the Face of Rising Seas. Anthropocene 2021, 34, 100293. [Google Scholar] [CrossRef]
- Campisano, R.; Hall, K.; Griggs, J.; Willison, S.; Reimer, S.; Mash, H.; Magnuson, M.; Boczek, L.; Rhodes, E. Selected Analytical Methods for Environmental Remediation and Recovery (SAM) 2017; US Environmental Protection Agency: Washington, DC, USA, 2017.
- Rice, E.W.; Bridgewater, L.; Association, A.P.H. Standard Methods for the Examination of Water and Wastewater; American Public Health Association: Washington, DC, USA, 2012; Volume 10. [Google Scholar]
- Bassuoni, N.F.; Abumandour, M.M.A.; Morsy, K.; Hanafy, B.G. Ultrastructural Adaptation of the Oropharyngeal Cavity of the Eurasian Common Moorhen (Gallinula Chloropus Chloropus): Specific Adaptive Dietary Implications. Microsc. Res. Tech. 2022, 85, 1915–1925. [Google Scholar] [CrossRef]
- Halupka, L.; Czyż, B.; Macias Dominguez, C.M. The Effect of Climate Change on Laying Dates, Clutch Size and Productivity of Eurasian Coots Fulica Atra. Int. J. Biometeorol. 2020, 64, 1857–1863. [Google Scholar] [CrossRef] [PubMed]
- Pławińska-Czarnak, J.; Wódz, K.; Piechowicz, L.; Tokarska-Pietrzak, E.; Bełkot, Z.; Bogdan, J.; Wiśniewski, J.; Kwieciński, P.; Kwieciński, A.; Anusz, K. Wild Duck (Anas Platyrhynchos) as a Source of Antibiotic-Resistant Salmonella Enterica Subsp. Diarizonae O58—The First Report in Poland. Antibiotics 2022, 11, 530. [Google Scholar] [CrossRef]
- Barr, J.R.; Green, M.C.; DeMaso, S.J.; Hardy, T.B. Drone Surveys Do Not Increase Colony-Wide Flight Behaviour at Waterbird Nesting Sites, But Sensitivity Varies Among Species. Sci. Rep. 2020, 10, 3781. [Google Scholar] [CrossRef] [PubMed]
- Strang, V. Listening to the River: Representing Non-Human Needs and Interests in Debates about Water Governance and Management. River Res. Appl. 2024, 40, 1698–1709. [Google Scholar] [CrossRef]
- He, Z.; Liu, D.; Shi, Y.; Wu, X.; Dai, Y.; Shang, Y.; Peng, J.; Cui, Z. Broader Environmental Adaptation of Rare Rather than Abundant Bacteria in Reforestation Succession Soil. Sci. Total Environ. 2022, 828, 154364. [Google Scholar] [CrossRef]
- Somers, K.M.; Jackson, D.A. Putting the Mantel Test Back Together Again. Ecology 2022, 103, e3780. [Google Scholar] [CrossRef]
- Saccenti, E.; Hendriks, M.H.W.B.; Smilde, A.K. Corruption of the Pearson Correlation Coefficient by Measurement Error and Its Estimation, Bias, and Correction under Different Error Models. Sci. Rep. 2020, 10, 438. [Google Scholar] [CrossRef] [PubMed]
- Edelmann, D.; Móri, T.F.; Székely, G.J. On Relationships between the Pearson and the Distance Correlation Coefficients. Stat. Probab. Lett. 2021, 169, 108960. [Google Scholar] [CrossRef]
- Prati, L.; Pavanello, R.; Pesarin, F. Assessment of Surface Water Quality by a Single Index of Pollution. Water Res. 1971, 5, 741–751. [Google Scholar] [CrossRef]
- Şener, Ş.; Şener, E.; Davraz, A. Evaluation of Water Quality Using Water Quality Index (WQI) Method and GIS in Aksu River (SW-Turkey). Sci. Total Environ. 2017, 584–585, 131–144. [Google Scholar] [CrossRef] [PubMed]
- Ho, L.; Jerves-Cobo, R.; Barthel, M.; Six, J.; Bode, S.; Boeckx, P.; Goethals, P. Greenhouse Gas Dynamics in an Urbanized River System: Influence of Water Quality and Land Use. Environ. Sci. Pollut. Res. 2022, 29, 37277–37290. [Google Scholar] [CrossRef]
- Sutadian, A.D.; Muttil, N.; Yilmaz, A.G.; Perera, B.J.C. Development of River Water Quality Indices—A Review. Environ. Monit. Assess. 2015, 188, 58. [Google Scholar] [CrossRef] [PubMed]
- Zotou, I.; Tsihrintzis, V.A.; Gikas, G.D. Performance of Seven Water Quality Indices (WQIs) in a Mediterranean River. Environ. Monit. Assess. 2019, 191, 505. [Google Scholar] [CrossRef]
- Parry, R. Agricultural Phosphorus and Water Quality: A U.S. Environmental Protection Agency Perspective. J. Environ. Qual. 1998, 27, 258–261. [Google Scholar] [CrossRef]
- Edition, F. Guidelines for Drinking-Water Quality. WHO Chron. 2011, 38, 104–108. [Google Scholar]
- Lepper, P. Manual on the Methodological Framework to Derive Environmental Quality Standards for Priority Substances in Accordance with Article 16 of the Water Framework Directive (2000/60/EC); Fraunhofer-Institute Molecular Biology and Applied Ecology: Schmallenberg, Germany, 2005. [Google Scholar]
- Flemish Government. Title II of VLAREM-Appendix 2.3.1. Basic Environmental Quality Standards for Surface Water. Available online: https://navigator.emis.vito.be/pdfServlet?woId=10071&woLang=nl&version=2023-11-15&lang=nl (accessed on 4 January 2025).
- Williams, W.D. Anthropogenic Salinisation of Inland Waters. Hydrobiologia 2001, 466, 329–337. [Google Scholar] [CrossRef]
- Kim, H.G.; Hong, S.; Chon, T.-S.; Joo, G.-J. Spatial Patterning of Chlorophyll a and Water-Quality Measurements for Determining Environmental Thresholds for Local Eutrophication in the Nakdong River Basin. Environ. Pollut. 2021, 268, 115701. [Google Scholar] [CrossRef]
- Ma, Z.; Cai, Y.; Li, B.; Chen, J. Managing Wetland Habitats for Waterbirds: An International Perspective. Wetlands 2010, 30, 15–27. [Google Scholar] [CrossRef]
- Dittrich, J.; Dias, J.D.; de Paula, A.C.M.; Padial, A.A. Experimental Nutrient Enrichment Increases Plankton Taxonomic and Functional Richness and Promotes Species Dominance Overtime. Hydrobiologia 2023, 850, 4029–4048. [Google Scholar] [CrossRef]
- Van Onsem, S.; Triest, L. Turbidity, Waterfowl Herbivory, and Propagule Banks Shape Submerged Aquatic Vegetation in Ponds. Front. Plant Sci. 2018, 9, 1514. [Google Scholar] [CrossRef] [PubMed]
- Juliet, C. Common Moorhen and Common Gallinule Behavior and Habitat. In The Worlds Rarest Birds; Princeton University Press: Princeton, NJ, USA, 2023. [Google Scholar]
- Chaichana, R. Birds and the Eutrophication of a System of Small Lakes; The University of Liverpool: Liverpool, UK, 2008; ISBN 979-8-6415-8947-3. [Google Scholar]
- Holopainen, S.; Arzel, C.; Dessborn, L.; Elmberg, J.; Gunnarsson, G.; Nummi, P.; Pöysä, H.; Sjöberg, K. Habitat Use in Ducks Breeding in Boreal Freshwater Wetlands: A Review. Eur. J. Wildl. Res. 2015, 61, 339–363. [Google Scholar] [CrossRef]
- Holopainen, S.; Miettinen, E.; Väänänen, V.-M.; Nummi, P.; Pöysä, H. Balancing between Predation Risk and Food by Boreal Breeding Ducks. Ecol. Evol. 2024, 14, e11011. [Google Scholar] [CrossRef] [PubMed]
- Scherer, N.M.; Gibbons, H.L.; Stoops, K.B.; Muller, M. Phosphorus Loading of an Urban Lake by Bird Droppings. Lake Reserv. Manag. 1995, 11, 317–327. [Google Scholar] [CrossRef]
- Clausen, P.; Lauridsen, T.L.; Pedersen, C.L.; Nielsen, H.H.; Jeppesen, E.; Søndergaard, M.; Schreven, K.H.T.; Nolet, B.A.; Madsen, J.; Fox, A.D. Are Increasing Roosting Waterbird Numbers Responsible for Eutrophication of Shallow Lakes? Examples from a Danish Ramsar Site. Hydrobiologia 2025, 852, 389–410. [Google Scholar] [CrossRef]
- Wallau, G.L.; Della-Flora, F.; Bueno, A.S.; Corso, J.; Ortiz, M.F.; Cáceres, N.C. Behaviour of the Common Moorhen in Rio Grande Do Sul, Brazil. Acta Ethologica 2010, 13, 127–135. [Google Scholar] [CrossRef]
- Lange, G.; Haynert, K.; Dinter, T.; Scheu, S.; Kröncke, I. Adaptation of Benthic Invertebrates to Food Sources along Marine-Terrestrial Boundaries as Indicated by Carbon and Nitrogen Stable Isotopes. J. Sea Res. 2018, 131, 12–21. [Google Scholar] [CrossRef]
- Foxi, C.; Delrio, G. Larval Habitats and Seasonal Abundance of Culicoides Biting Midges Found in Association with Sheep in Northern Sardinia, Italy. Med. Vet. Entomol. 2010, 24, 199–209. [Google Scholar] [CrossRef] [PubMed]
- Hamza, F.; Selmi, S. Habitat Features and Human Presence as Predictors of the Abundance of Shorebirds and Wading Birds Wintering in the Gulf of Gabès, Tunisia. Mar. Ecol. Prog. Ser. 2015, 540, 251–258. [Google Scholar] [CrossRef]
- Lai, C.-H.; Lin, S.-H.; Tsai, C.-Y.; Chen, S.-H. Identifying Farm Pond Habitat Suitability for the Common Moorhen (Gallinula Chloropus): A Conservation-Perspective Approach. Sustainability 2018, 10, 1352. [Google Scholar] [CrossRef]
- Soorae, P.; Sakkir, S.; Saji, A.; Khan, S.B.; Zaabi, R.A.; Shah, J.N.; Ali, A.; Al Omari, K.; Al Dhaheri, A.; Javed, S.; et al. A Review of the Flora and Fauna in the Al Wathba Wetland Reserve in Abu Dhabi, United Arab Emirates. Wetlands 2020, 40, 1505–1512. [Google Scholar] [CrossRef]
- Dessborn, L.; Brochet, A.L.; Elmberg, J.; Legagneux, P.; Gauthier-Clerc, M.; Guillemain, M. Geographical and Temporal Patterns in the Diet of Pintail Anas Acuta, Wigeon Anas Penelope, Mallard Anas Platyrhynchos and Teal Anas Crecca in the Western Palearctic. Eur. J. Wildl. Res. 2011, 57, 1119–1129. [Google Scholar] [CrossRef]
- Adjovu, G.E.; Stephen, H.; James, D.; Ahmad, S. Measurement of Total Dissolved Solids and Total Suspended Solids in Water Systems: A Review of the Issues, Conventional, and Remote Sensing Techniques. Remote Sens. 2023, 15, 3534. [Google Scholar] [CrossRef]
- Sarnelle, O. Nutrient Enrichment and Grazer Effects on Phytoplankton in Lakes. Ecology 1992, 73, 551–560. [Google Scholar] [CrossRef]
- Fox, A.D.; Jørgensen, H.E.; Jeppesen, E.; Lauridsen, T.L.; Søndergaard, M.; Fugl, K.; Myssen, P.P.; Balsby, T.J.S.; Clausen, P.; Musil, P.; et al. Breeding Waterbird Species as Ecological Indicators of Shifts from Turbid to Clear Water Conditions in Northwest European Shallow Eutrophic Lakes. Hydrobiologia 2025, 852, 411–423. [Google Scholar] [CrossRef]
- Keller, V.; Korner-Nievergelt, P. Effect of Trophic Status of a Deep-Water Lake on Breeding Great Crested Grebes Podiceps Cristatus during a Phase of Recovery from Eutrophication: A Long-Term Study. Bird. Study 2019, 66, 1–10. [Google Scholar] [CrossRef]
- Mishra, A.P.; Kumar, S.; Patra, R.; Kumar, A.; Sahu, H.; Chandra, N.; Pande, C.B.; Alshehri, F. Physicochemical Parameters of Water and Its Implications on Avifauna and Habitat Quality. Sustainability 2023, 15, 9494. [Google Scholar] [CrossRef]
- Forio, M.A.E.; Goethals, P.L.M. An Integrated Approach of Multi-Community Monitoring and Assessment of Aquatic Ecosystems to Support Sustainable Development. Sustainability 2020, 12, 5603. [Google Scholar] [CrossRef]
- Liu, X.; Ho, L.; Bruneel, S.; Goethals, P. Applications of Unmanned Vehicle Systems for Multi-Spatial Scale Monitoring and Management of Aquatic Ecosystems: A Review. Ecol. Inform. 2025, 85, 102926. [Google Scholar] [CrossRef]






Disclaimer/Publisher’s Note: The statements, opinions and data contained in all publications are solely those of the individual author(s) and contributor(s) and not of MDPI and/or the editor(s). MDPI and/or the editor(s) disclaim responsibility for any injury to people or property resulting from any ideas, methods, instructions or products referred to in the content. |
© 2025 by the authors. Licensee MDPI, Basel, Switzerland. This article is an open access article distributed under the terms and conditions of the Creative Commons Attribution (CC BY) license (https://creativecommons.org/licenses/by/4.0/).
Share and Cite
Liu, X.; Ho, L.; De Cock, A.; De Saeyer, N.; Pham, K.; Panique-Casso, D.; Forio, M.A.E.; Goethals, P.L.M. Water Quality and Its Influence on Waterbird Habitat Distribution: A Study Along the Lieve River, Belgium. Water 2025, 17, 595. https://doi.org/10.3390/w17040595
Liu X, Ho L, De Cock A, De Saeyer N, Pham K, Panique-Casso D, Forio MAE, Goethals PLM. Water Quality and Its Influence on Waterbird Habitat Distribution: A Study Along the Lieve River, Belgium. Water. 2025; 17(4):595. https://doi.org/10.3390/w17040595
Chicago/Turabian StyleLiu, Xingzhen, Long Ho, Andrée De Cock, Nancy De Saeyer, Kim Pham, Diego Panique-Casso, Marie Anne Eurie Forio, and Peter L. M. Goethals. 2025. "Water Quality and Its Influence on Waterbird Habitat Distribution: A Study Along the Lieve River, Belgium" Water 17, no. 4: 595. https://doi.org/10.3390/w17040595
APA StyleLiu, X., Ho, L., De Cock, A., De Saeyer, N., Pham, K., Panique-Casso, D., Forio, M. A. E., & Goethals, P. L. M. (2025). Water Quality and Its Influence on Waterbird Habitat Distribution: A Study Along the Lieve River, Belgium. Water, 17(4), 595. https://doi.org/10.3390/w17040595

