Dynamic Analysis of Submarine-Buried Pipelines Considering Fluid–Structure Interaction
Abstract
1. Introduction
2. Method
2.1. Mathematical Model
2.1.1. Balanced Force Equation for a Fluid Element
2.1.2. Balanced Force Equation for a Structural Element
2.1.3. Equation of Pipe Wall Geometry
2.1.4. Continuity Equation for Incompressible Fluids
2.2. Numerical Solution
2.2.1. Finite Volume Method
2.2.2. Boundary Conditions
Upstream Inlet
Downstream Outlet
3. Results and Discussion
3.1. Model Verification
3.2. Model Results
3.2.1. The Impact of Different Coupling Forms on System Patterns
3.2.2. Effect of Different Soil Moduli on System Modes
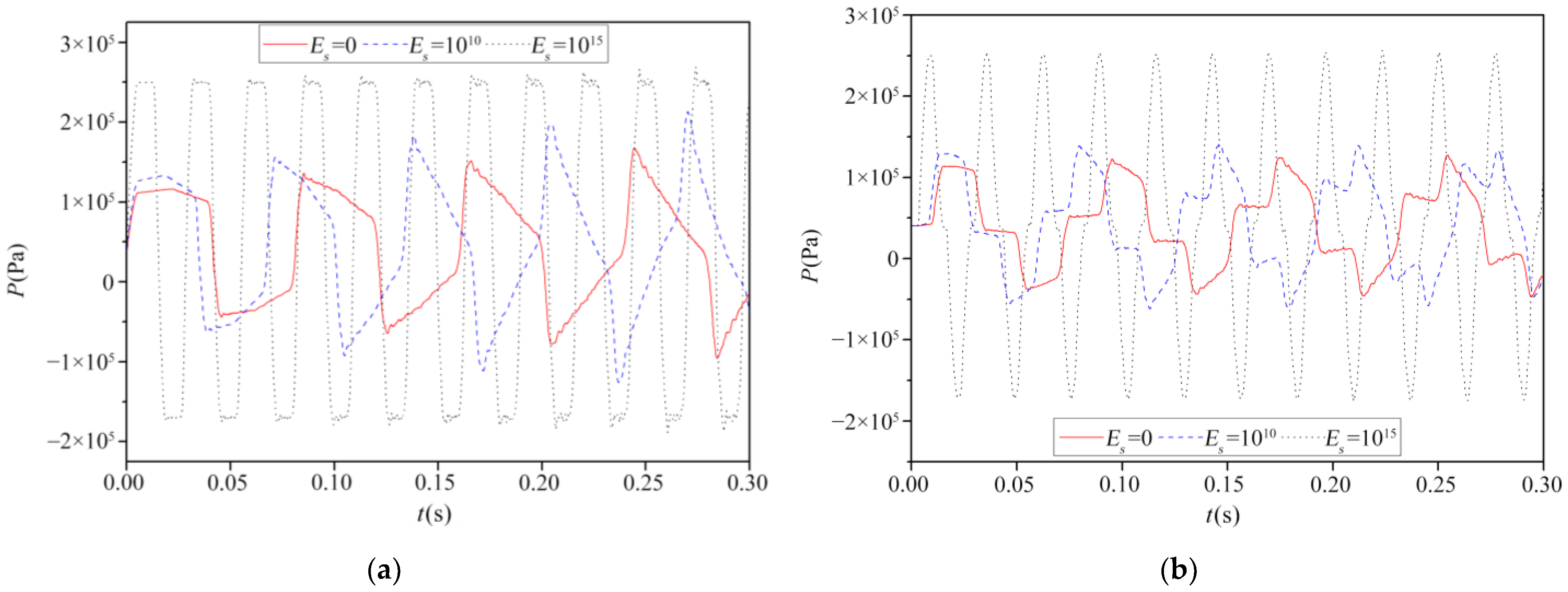
3.2.3. The Effect of Different Soil Elastic Moduli on System Vibration
4. Conclusions
Author Contributions
Funding
Data Availability Statement
Conflicts of Interest
References
- Neelamani, S.; Al-Khaldi, M.S. Wave force reduction due to burial of submarine pipeline: A probability based analysis and comparison with DNVGL-RP-F109. Ocean Eng. 2022, 247, 110786. [Google Scholar] [CrossRef]
- Meniconi, S.; Brunone, B.; Tirello, L.; Rubin, A.; Cifrodelli, M.; Capponi, C. Transient tests for checking the Trieste subsea pipeline: Towards the field tests. J. Mar. Sci. Eng. 2024, 12, 374. [Google Scholar] [CrossRef]
- Zhou, H.; Wang, Q.; Wang, L.; Zhao, X.; Feng, G. Transient tests for checking the Trieste subsea pipeline: Diving into fault detection. J. Mar. Sci. Eng. 2024, 12, 391. [Google Scholar] [CrossRef]
- Riedelmeier, S.; Becker, S.; Schlücker, E. Measurements of junction coupling during water hammer in piping systems. J. Fluids Struct. 2014, 48, 156–168. [Google Scholar] [CrossRef]
- Li, S.; Liu, G.; Chen, H. Pressure wave propagation characteristics in fluid-filled pipes with fluid–structure interaction. J. Vib. Shock 2012, 31, 177–182. (In Chinese) [Google Scholar]
- Li, S.; Liu, G.; Kong, W. Vibration analysis of pipes conveying fluid by transfer matrix method. Nucl. Eng. Des. 2014, 266, 78–88. [Google Scholar] [CrossRef]
- Roohollah, Z.; Ahmadi, A.; Alireza, K. Fluid–structure interaction with viscoelastic supports during water-hammer in a pipeline. J. Fluids Struct. 2015, 54, 215–234. [Google Scholar] [CrossRef]
- Ahmadi, A.; Keramat, A. Investigation of fluid–structure interaction with various types of junction coupling. J. Fluids Struct. 2010, 26, 123–1141. [Google Scholar] [CrossRef]
- Heinsbroek, A.G.T.J.; Tijsseling, A.S. The influence of support rigidity on water-hammer pressures and pipe stresses. In Proceedings of the 2nd BHR Group International Conference on Water Pipeline Systems, Edinburgh, Edinburgh, UK, 24–26 May 1994; Mechanical Engineering Press: London, UK, 1994. [Google Scholar]
- Adamkowski, A.; Henclik, S.; Janicki, W.; Lewandowski, M. The influence of pipeline supports stiffness onto the water hammer run. Eur. J. Mech. B/Fluids 2016, 61, 297–303. [Google Scholar] [CrossRef]
- Tijsseling, A.S.; Vardy, A.E. 20 years of FSI experiments in Dundee. In Proceedings of the Third M.I.T. Conference on Computational Fluid and Solid Mechanics, Cambridge, MA, USA, 14–17 June 2005; Volume 1, pp. 1–8. [Google Scholar]
- Zhang, L.; Tijsseling, A.S.; Vardy, A.E. FSI analysis of liquid-filled pipes. J. Sound Vib. 1999, 224, 69–99. [Google Scholar] [CrossRef]
- Wu, J.S.; Shih, P.Y. The dynamic analysis of a multi-span fluid-conveying pipe subjected to external load. J. Sound Vib. 2001, 239, 201–215. [Google Scholar] [CrossRef]
- Yang, K.; Li, Q.S.; Zhang, L. Longitudinal vibration analysis of multi-span liquid-filled pipelines with rigid constraints. J. Sound Vib. 2004, 273, 125–147. [Google Scholar] [CrossRef]
- Wiggert, D.; Hatfield, F.J.; Otwell, R.S. Fluid-structure interaction in piping systems. In Proceedings Druckstoberechnung von Rohrleitungssystemen; Haus der Technik: Essen, Germany, 1983. [Google Scholar]
- Khalighi, F.; Ahmadi, A.; Keramat, A.; Tijsseling, A.S.; Zecchin, A.C. An efficient estimation of fluid–structure interaction in blocked L-shaped pipelines. Iran J. Sci. Technol. Trans. Mech. Eng. 2024, 48, 1777–1795. [Google Scholar] [CrossRef]
- Xu, Z. Elasticity, 4th ed.; Higher Education Press: Beijing, China, 2006; pp. 74–113. (In Chinese) [Google Scholar]
- Guo, Q.; Xu, M.; Xu, G.; Xu, H. Dynamic responses in a pipe surrounded by compacted soil suffering from water hammer with fluid–structure–soil interactions. Water 2024, 16, 2668. [Google Scholar] [CrossRef]
- Tijsseling, A.S. Water hammer with fluid–structure interaction in thick-walled pipes. Comput. Struct. 2007, 85, 844–851. [Google Scholar] [CrossRef]
- Ramírez, L.; Nogueira, X.; Ouro, P.; Navarrina, F.; Khelladi, S.; Colominas, I. A Higher-Order Chimera Method for Finite Volume Schemes. Arch. Comput. Methods Eng. 2018, 25, 691–706. [Google Scholar] [CrossRef]
- Hu, J.; Ning, X.; Sun, S.; Li, F.; Ma, J.; Zhang, W. Fluid-structure coupled analysis of flow-induced vibrations in three dimensional elastic hydrofoils. Mar. Struct. 2022, 84, 103220. [Google Scholar] [CrossRef]
- Hwang, Y.; Chung, N. A fast Godunov method for the water-hammer problem. Int. J. Numer. Methods Fluids 2002, 40, 799–819. [Google Scholar] [CrossRef]
- Li, W.; Zhang, H.; Qu, W. Fluid pressure response at the straight pipe outlet under random axial vibration. Iran J. Sci. Technol. Trans. Mech. Eng. 2024, 48, 1031–1040. [Google Scholar] [CrossRef]
- Rocha, P.H.D.N.; de Campos, J.A.A.; Camargo, M.R.; Rocha, M.d.S. Numerical model for calculation of hydraulic transients with two-phase flow and fluid–structure interaction. J. Braz. Soc. Mech. Sci. Eng. 2024, 46, 206. [Google Scholar] [CrossRef]
- Daude, F.; Galon, P.; Shams, A. Numerical Investigations of a Two-Way Coupled Fluid–Structure Interaction Approach for Fast Transients in Fluid-Filled Flexible Piping Systems; Springer: New York, NY, USA, 2023. [Google Scholar] [CrossRef]
- Vardy, A.E.; Fan, D.; Tijsseling, A.S. Fluid-Structure Interaction in a T-piece pipe. J. Fluids Struct. 1996, 10, 763–786. [Google Scholar] [CrossRef]
- Guo, Q.; Zhou, J.; Li, Y.; Guan, X.; Liu, D.; Zhang, J. Fluid-structure interaction response of a water conveyance system with a surge chamber during water hammer. Water 2020, 12, 1025. [Google Scholar] [CrossRef]
- Andrade, D.M.; Rachid, F.B.D.F.; Tijsseling, A.S. An analysis of fluid–structure interaction coupling mechanisms in liquid-filled viscoelastic pipes subject to fast transients. J. Fluids Struct. 2023, 121, 103924. [Google Scholar] [CrossRef]
- Su, Z.; Inaba, K.; Karmakar, A.; Das, A. Fluid structure interaction simulation of thermal striping in a T-junction pipe made of functionally graded material. Int. J. Mech. Mater. Des. 2022, 18, 461–473. [Google Scholar] [CrossRef]
- Lu, P.; Sheng, X.; Gao, Y.; Wang, R. Influence of shear effects on the characteristics of axisymmetric wave propagation in a buried fluid-filled pipe. Chin. J. Mech. Eng. 2022, 35, 74. [Google Scholar] [CrossRef]
- Tijsseling, A.S.; Vardy, A.E.; Fan, D. Fluid-Structure Interaction and Cavitation in a Single-elbow Pipe System. J. Fluids Struct. 1996, 10, 395–420. [Google Scholar] [CrossRef]
- Wylie, E.B.; Streeter, V.L. Fluid Transients; FEB Press: Ann Arbor, MI, USA, 1983; pp. 1–8. [Google Scholar]
- Mei, M.; Cheng, H.; Huang, H.; Wu, Z.; Yang, H.; Wu, K. Dynamic analysis and shape sensing of pipes subjected to water hammer by the inverse finite element method. Measurement 2025, 241, 115701. [Google Scholar] [CrossRef]











Disclaimer/Publisher’s Note: The statements, opinions and data contained in all publications are solely those of the individual author(s) and contributor(s) and not of MDPI and/or the editor(s). MDPI and/or the editor(s) disclaim responsibility for any injury to people or property resulting from any ideas, methods, instructions or products referred to in the content. |
© 2025 by the authors. Licensee MDPI, Basel, Switzerland. This article is an open access article distributed under the terms and conditions of the Creative Commons Attribution (CC BY) license (https://creativecommons.org/licenses/by/4.0/).
Share and Cite
Xu, H.; Guo, Q.; Wang, X.; Sun, H.; Dong, Z.; Gu, J.; Zhang, C. Dynamic Analysis of Submarine-Buried Pipelines Considering Fluid–Structure Interaction. Water 2025, 17, 360. https://doi.org/10.3390/w17030360
Xu H, Guo Q, Wang X, Sun H, Dong Z, Gu J, Zhang C. Dynamic Analysis of Submarine-Buried Pipelines Considering Fluid–Structure Interaction. Water. 2025; 17(3):360. https://doi.org/10.3390/w17030360
Chicago/Turabian StyleXu, Huilin, Qiang Guo, Xuetong Wang, Huihui Sun, Zhanwang Dong, Jintong Gu, and Chengyu Zhang. 2025. "Dynamic Analysis of Submarine-Buried Pipelines Considering Fluid–Structure Interaction" Water 17, no. 3: 360. https://doi.org/10.3390/w17030360
APA StyleXu, H., Guo, Q., Wang, X., Sun, H., Dong, Z., Gu, J., & Zhang, C. (2025). Dynamic Analysis of Submarine-Buried Pipelines Considering Fluid–Structure Interaction. Water, 17(3), 360. https://doi.org/10.3390/w17030360

