Next Article in Journal
Dynamic Analysis of Submarine-Buried Pipelines Considering Fluid–Structure Interaction
Previous Article in Journal
Influence of Gravel Coverage on Hydraulic Characteristics and Sediment Transport Capacity of Runoff on Steep Slopes
 
 
Font Type:
Arial Georgia Verdana
Font Size:
Aa Aa Aa
Line Spacing:
Column Width:
Background:
Article

Application of HP-LSTM Models for Groundwater Level Prediction in Karst Regions: A Case Study in Qingzhen City

1
Guizhou Institute of Water Conservancy Science, Guiyang 550000, China
2
College of Hydraulic Science and Engineering, Yangzhou University, Yangzhou 225009, China
*
Authors to whom correspondence should be addressed.
Water 2025, 17(3), 362; https://doi.org/10.3390/w17030362
Submission received: 30 October 2024 / Revised: 6 January 2025 / Accepted: 15 January 2025 / Published: 27 January 2025

Abstract

Groundwater serves as an indispensable global resource, essential for agriculture, industry, and the urban water supply. Predicting the groundwater level in karst regions presents notable challenges due to the intricate geological structures and fluctuating climatic conditions. This study examines Qingzhen City, China, introducing an innovative hybrid model, the Hodrick–Prescott (HP) filter–Long Short-Term Memory (LSTM) network (HP-LSTM), which integrates the HP filter with the LSTM network to enhance the precision of groundwater level forecasting. By attenuating short-term noise, the HP-LSTM model improves the long-term trend prediction accuracy. Findings reveal that the HP-LSTM model significantly outperformed the conventional LSTM, attaining R2 values of 0.99, 0.96, and 0.98 on the training, validation, and test datasets, respectively, in contrast to LSTM values of 0.92, 0.76, and 0.95. The HP-LSTM model achieved an RMSE of 0.0276 and a MAPE of 2.92% on the test set, significantly outperforming the LSTM model (RMSE: 0.1149; MAPE: 9.14%) in capturing long-term patterns and reducing short-term fluctuations. While the LSTM model is effective at modeling short-term dynamics, it is more prone to noise, resulting in greater prediction errors. Overall, the HP-LSTM model demonstrates superior robustness for long-term groundwater level prediction, whereas the LSTM model may be better suited for scenarios requiring rapid adaptation to short-term variations. Selecting an appropriate model tailored to specific predictive needs can thus optimize groundwater management strategies.

1. Introduction

Groundwater is a crucial freshwater resource, vital for agriculture, industry, and the urban water supply [1]. However, global groundwater reserves are under increasing threat from over-exploitation, pollution, and climate change, leading to significant declines in both quantity and quality [2]. In karst regions, the groundwater dynamics are particularly complex, influenced by geological structures and climatic factors, and are highly susceptible to human activities [3]. In Qingzhen City, a typical karst area in Guizhou Province, China, the groundwater level plays a critical role in local water resource management, ecosystem health, and regional sustainable development [4]. Therefore, accurately predicting the groundwater level is crucial for effective water resource utilization and ecological protection [5].
The complexity of karst landscapes, characterized by irregular water flow paths, non-uniform groundwater reservoirs, and karst pipeline networks, makes predicting groundwater levels especially challenging [6]. Traditional prediction methods, such as statistical and physical models, struggle to handle the nonlinear and erratic nature of the groundwater dynamics in these areas. These methods are often limited in accuracy and require extensive geological and hydrological data, which is both costly and time-consuming to collect [7,8]. As a result, finding an effective method for predicting groundwater levels in karst regions remains an urgent need for water resource management.
In recent years, machine learning and deep learning techniques have gained popularity in groundwater prediction due to their ability to model nonlinear patterns [9]. The Long Short-Term Memory (LSTM) network, in particular, has shown promise in capturing both short- and long-term dependencies in data [10]. Studies have demonstrated its superior accuracy compared to traditional models. For instance, Wunsch et al. showed that the LSTM model outperformed the CNN and NARX models in predicting groundwater levels over long time series [11]. Vu et al. explored the application of the LSTM model for reconstructing missing groundwater level data, optimizing the prediction strategy through sensitivity analysis. Their study demonstrated the model’s capability of handle complex and nonlinear data effectively [12]. Valadkhan developed a groundwater quality prediction method based on the LSTM recurrent neural network (RNN), significantly enhancing the accuracy of groundwater quality index predictions by incorporating new, effective parameters [13]. Alkon et al. applied the LSTM model to predict groundwater level changes in agricultural areas, with a detailed analysis of the model’s performance for groundwater depths exceeding 10 m. The results indicated that the LSTM model effectively captures dynamic changes in groundwater levels, making it suitable for sustainable groundwater resource management and depletion forecasting, offering a valuable tool for agricultural water resource management [14]. While LSTM models have demonstrated success in hydrological forecasting, their application in karst groundwater systems remains largely underexplored. The complex geological structures and hydrological conditions in karst regions make predicting groundwater flow paths challenging, particularly due to the presence of irregular channels such as caves and fractures, which contribute to the high uncertainty in groundwater level fluctuations. Furthermore, groundwater levels are influenced by various factors, such as precipitation, evaporation, and recharge, which complicate the precise modeling of water level fluctuations [15]. Particularly when dealing with complex data exhibiting high volatility and low regularity, the predictive accuracy of LSTM models is often significantly constrained. In scenarios with intense short-term fluctuations, LSTM models struggle to effectively fit the data, leading to a reduction in the predictive accuracy. Therefore, a standalone LSTM structure is often insufficient to address these challenges, and the integration of other techniques is necessary to enhance the prediction accuracy and efficiency [16,17,18].
Among these techniques, the Hodrick–Prescott (HP) filter is particularly noteworthy for its ability to address non-stationarity through data smoothing [19]. The HP filter has been widely applied in financial markets and energy consumption forecasting, particularly in stock price and load prediction, where it smooths signal noise and facilitates the model in capturing long-term trend changes [20,21,22]. In this context, the integration of the HP filter with the LSTM model not only mitigates the limitations of LSTM in handling complex data but also enhances the accuracy and stability of groundwater level predictions. Similar combinations of techniques have demonstrated significant success across multiple domains. In financial markets, the HP-LSTM model has been successfully applied to stock price prediction. By smoothing the noise in price data using the HP filter, the LSTM model can more effectively capture long-term patterns in price fluctuations [23]. In hydrology, He et al. applied the HP filter to smooth the data, subsequently integrating it with an LSTM network model to establish the Da Jing Mountain water quality prediction model. This approach effectively simulated reservoir water quality variations by removing short-term fluctuations and capturing long-term trends [24]. Despite the robust capabilities of HP-LSTM in handling non-stationary time series data, its application in groundwater level prediction remains in the early stages of exploration. By incorporating the HP filter as a preprocessing step, short-term fluctuations are effectively eliminated, enabling the LSTM model to capture the long-term dynamics of groundwater levels, particularly in complex karst regions. This approach is anticipated to improve the predictive accuracy and stability, reduce errors, and perform optimally in scenarios with significant groundwater level fluctuations.
This paper focuses on Qingzhen City as a case study, comparing the LSTM and HP-LSTM models in predicting groundwater depths in karst regions. Using historical groundwater and meteorological data, this study evaluates the performance of both models in capturing dynamic groundwater changes. It also assesses their ability to handle noise and predict long-term trends, providing valuable insights for water resource management in karst areas. By analyzing the strengths and weaknesses of each model, this study offers theoretical and technical support for improving groundwater prediction in complex karst landscapes.

2. Materials and Methods

2.1. Study Area

Qingzhen City, located in central Guizhou Province, southwest China (Figure 1), spans an area of 1492.4 km2, between 106°07′ and 106°33′. The region features a varied topography, with elevations ranging from 769 m at the Yuchi River Valley to 1734 m at Baota Mountain. The landscape is predominantly mountainous and hilly, with karst formations covering 85.83% of the total area [25]. The city experiences a subtropical monsoon humid climate, with an average annual temperature of 14.4 °C, which is slightly warmer in the Yuchi River Valley and cooler in the east and west [26]. The frost-free period lasts approximately 284 days per year, with an annual rainfall of 1100–1200 mm, an average wind speed of 2.8 m/s, and 1164.3 h of sunshine annually [27]. The groundwater in Qingzhen is categorized into two main types: carbonate karst water and bedrock fissure water [28]. Karst water is the more abundant and widespread, covering an area of 1200.7 km2, while bedrock fissure water spans 291.7 km2 [29]. The region is also rich in surface water resources, featuring three rivers with watersheds exceeding 100 km2 and eight rivers with watersheds between 20 and 100 km2. The total length of the rivers in the region is 387.4 km, with a river network density of 0.25 km/km2 [30]. The surface water resources amount to 11.3 billion cubic meters. Given the critical role of groundwater in Qingzhen City for drinking water, agricultural irrigation, and ecosystem support, the accurate prediction of the groundwater depth is essential for sustainable resource management in the area.

2.2. Analysis of Surface Lithology and Hydrogeological Characteristics in the Study Area

The lithological and hydrogeological maps (Figure 2) collectively illustrate the relationship between the surface geology and groundwater distribution in the study area. The lithological map (Figure 2a) reveals that the region is predominantly composed of sedimentary rocks, including limestone, dolomite, and dolomitic limestone, which are essential for the formation of karst aquifers. These highly soluble and permeable rocks facilitate groundwater movement through fractures, conduits, and dissolution networks. In contrast, zones with marl, calcareous shale, and coarse-grained limestone serve as transitional areas with moderate permeability, while regions dominated by quartz sandstone and shale exhibit low permeability, restricting groundwater flow. Faults, which are widely distributed across the area, play a critical role in the groundwater dynamics by acting as pathways for recharge and enhancing the connectivity between distinct lithological units.
The hydrogeological map (Figure 2b) complements the lithological analysis by presenting the spatial distribution of the groundwater types and their correspondence to the surface lithology. Areas with extensive karst development, underlain by limestone and dolomite, demonstrate significant groundwater storage and flow potential due to their high permeability. Transitional zones, composed of lithologies such as marl and calcareous shale, exhibit mixed hydrogeological characteristics, influenced by both karst and fissure systems. In contrast, the groundwater in low-permeability regions dominated by quartz sandstone and shale is primarily confined to fractures, forming bedrock fissure water systems. The integration of lithological and hydrogeological data underscores the geological complexity of the study area, highlighting the necessity of employing advanced predictive models to accurately capture the long-term groundwater trends and support the effective management of the regional groundwater resources.

2.3. Data and Statistical Analysis

The data used in this study primarily included the groundwater depth, precipitation, wind speed, and temperature. Groundwater depth data were sourced from a national monitoring well station (Bianpo, code: 60877300), with daily records from 2019 to 2023. Meteorological data, including the daily rainfall, average wind speed, and average temperature, were obtained from the Longdongbao Station (station code: 57816) in Guiyang City, as provided by the National Oceanic and Atmospheric Administration (NOAA)’s National Centers for Environmental Information (NCEI). These meteorological data cover the period from 2019 to 2023, ensuring temporal alignment with the groundwater monitoring data for comprehensive analysis. Figure 3 presents time series plots for the four variables, illustrating trends and seasonal fluctuations from 2019 to 2023. The trends were determined and visualized using the Linear Trend (LT) method [31,32], which highlights the overall direction of change during the observation period. The groundwater depth shows a general increasing trend, coupled with cyclical changes that correspond to seasonal rainfall patterns. During the summer, higher rainfall results in shallower groundwater levels, whereas reduced rainfall in winter causes deeper groundwater depths. These fluctuations emphasize the strong correlation between groundwater levels and seasonal precipitation. Precipitation data reveal clear seasonal variability, with more rainfall in summer and less in winter, aligning with the region’s monsoon climate. Temperature data similarly exhibit typical seasonal fluctuations, peaking in summer and reaching their lowest in winter. Conversely, wind speed data lack significant trends or cyclical patterns. Given the strong relationships between the groundwater depth and factors such as precipitation and evapotranspiration—both influenced by the air temperature and wind speed—these four variables were selected as the input parameters for the predictive model.

2.4. Hodrick–Prescott Filter

The Hodrick–Prescott (HP) filter is a widely used smoothing technique in time series analysis, designed to separate long-term trends from short-term fluctuations in data [33]. Originally introduced by economists Robert J. Hodrick and Edward C. Prescott in 1997 for analyzing trend and cyclical components in macroeconomic data [34], the HP filter has since found applications in various fields, including hydrology, meteorology, and environmental sciences, where it is used to process time series data [35,36,37]. The HP filter works by decomposing a time series, denoted as yt, through the minimization of an objective function, allowing for the identification of underlying trends while filtering out short-term variability:
min τ t t = 1 T ( y t τ t ) 2 + λ t = 1 T 1 ( ( τ t + 1 τ t ) ( τ t τ t 1 ) ) 2
where yt is the original time series; τt is the filtered trend term; λ is a smoothing parameter to control the degree of smoothing of the trend term.
Using the Hodrick–Prescott (HP) filter, the daily groundwater depth data from 2019 to 2023 were decomposed into trend and cycle components. The results, shown in Figure 4, display the raw data along with the trend and cycle terms. The raw data exhibit clear fluctuation patterns, particularly after heavy rainfall events, when the groundwater depth rapidly declines and then rebounds. This occurs as surface water quickly infiltrates the ground, causing a temporary decrease in the groundwater depth, followed by a gradual recovery as the rainfall subsides.
The trend component reflects the long-term changes in the groundwater depth. After applying the HP filter, short-term fluctuations due to rainfall are removed, revealing long-term effects such as changes in rainfall patterns and geological influences. Between 2019 and 2021, the groundwater depth increased significantly, then it stabilized from 2021 to August 2023, and then increased again, possibly due to intensified human activities. Compared to the raw data, the trend component is smoother, eliminating sharp fluctuations and providing a clearer view of the long-term groundwater dynamics.
The cycle component captures the remaining short-term fluctuations, highlighting the direct impact of short-term rainfall on groundwater levels. It clearly reflects sharp fluctuations triggered by specific rainfall events, often tied to seasonal or extreme weather conditions. However, these fluctuations are brief and do not significantly influence long-term trends. This decomposition effectively separates short-term variability from long-term changes, offering a more accurate analysis of the groundwater depth dynamics.

2.5. LSTM Network Architecture and Gating Mechanisms

The Long Short-Term Memory (LSTM) network is a specialized form of the recurrent neural network (RNN) designed to process and predict time series data effectively [38]. LSTM addresses the issue of vanishing gradients commonly found in traditional RNNs when handling long sequences, allowing it to capture long-term dependencies in the data [39]. Its key feature is the use of memory cells and gating mechanisms, which enable the model to retain important information and filter out irrelevant data [40]. Each LSTM unit consists of three gates: the forget gate, the input gate, and the output gate, along with a cell state [41]. The input gate controls whether new information is added to the cell state, the forget gate determines whether information from the previous time step should be discarded, and the output gate decides whether the information from the cell state should be passed on to the next time step. This gated structure allows LSTM networks to maintain and update critical information throughout the sequence, ensuring accurate, long-term predictions. The architecture of the LSTM network is depicted in Figure 5, showing the flow of information through the gating mechanisms and memory cell.
The following section provides the specific formulas used in the LSTM model for these gating mechanisms:
  • Forget Gate: The forget gate determines which information from the previous time step’s cell state (Ct−1) should be retained and which should be forgotten. The calculation formula is as follows:
f t = σ ( W f · [ h t 1 , x t ] + b f )
where ft is the output vector of the forget gate, a value between 0 and 1, representing how much information should be forgotten. σ is the Sigmoid function, which compresses the result to the [0, 1] range. Wf is the weight matrix of the forget gate. [ht−1,xt] is the concatenation of the previous hidden state (ht−1) and the current time step input (xt). bf is the bias term of the forget gate;
2.
Input Gate: The input gate determines which new information needs to be added to the cell state (Ct). It consists of two parts: the input gate itself and the calculation of the candidate state. The formulas for the input gate and candidate state are as follows:
i t = σ ( W i · [ h t 1 , x t ] + b i )
C ˜ t = tanh ( W C · [ h t 1 , x t ] + b C )
where it is the output of the input gate, controlling how much new information should be written. C ˜ t is the candidate new cell state. Wi and WC are the corresponding weight matrices. bi and bC are the bias terms;
3.
Cell State: The cell state is updated through the forget gate and the input gate. The calculation formula is as follows:
C t = f t · C t 1 + i t · C ˜ t
where Ct is the cell state at the current time step. f t · C t 1 represents forgetting the state information from the previous time step. i t · C ˜ t represents adding new information;
4.
Output Gate: The output gate determines the hidden state (ht) at the current time step and incorporates the output of the cell state. The calculation formula is as follows:
o t = σ ( W o · [ h t 1 , x t ] + b o )
h t = o t · tanh ( C t )
where ot is the output of the output gate, controlling how much information is passed through. ht is the hidden state at the current time step. tanh(Ct) is the processed cell state.

2.6. Model Performance Evaluation

To evaluate the model’s performance, this study used three key metrics: the coefficient of determination (R2), root mean square error (RMSE), and mean absolute percentage error (MAPE). The R2 assesses how well the model explains the variance in the data, indicating the goodness of fit [13]. Its values range from 0 to 1, with a value closer to 1 signifying a better fit between the model’s predictions and the actual values. Conversely, values near 0 suggest a weaker fit. The RMSE measures the average difference between the predicted and actual values, with the unit consistent with the original data [7]. A lower RMSE indicates that the model’s predictions are closer to the actual values, meaning smaller prediction errors. The MAPE calculates the average percentage error between the predicted results and the actual values [4]. It provides a measure of the relative error magnitude across different scales by calculating the percentage of the absolute error for each data point relative to its true value. The formulas for these evaluation metrics are shown below:
R 2 = 1 i = 1 n y ^ i y i 2 i = 1 n y i y ¯ 2
R M S E = 1 n n 1 ( y i y ^ i ) 2
M A P E = 1 n i = 1 n y i y ^ i y i × 100
where n is the number of samples. i is the i-th sample. y i is the actual value of the i-th sample. y ^ i is the predicted value of the i-th sample. y ¯ is the mean of the observed values.

2.7. Selection of Input Variables

In hydrological model prediction, selecting the right input variables is critical for improving the model accuracy. However, there is still a lack of clear guidelines on how to choose the input variables when constructing groundwater depth models using machine learning algorithms. In this study, we addressed this gap by combining raw daily groundwater depth data with the trend component extracted by the HP filter as the input features. The raw data capture both short-term fluctuations and long-term trends, while the trend component, filtered by the HP decomposition, removes short-term noise to focus on long-term changes. This decomposition allows the HP-LSTM model to better identify and predict long-term groundwater depth trends. Additionally, meteorological data, including rainfall, temperature, and wind speed data, were incorporated into the model to reflect the external environmental factors that directly or indirectly influence groundwater recharge and evapotranspiration.
Considering the pronounced temporal lag in the effect of precipitation on groundwater recharge, particularly in deep aquifers where the hydrological response to rainfall is significantly delayed [42], we conducted a Pearson correlation analysis between the rainfall averages over different time periods (1 day, 3 days, 5 days, 7 days, 14 days, and 30 days) and the groundwater depth. The results, as shown in Table 1, revealed that the 5-day average exhibited the highest correlation coefficient (0.369), indicating the most significant and stable influence of rainfall on the groundwater depth. Shorter time windows, such as the 1-day and 3-day averages, showed weaker correlations, while longer time windows (14-day and 30-day averages) demonstrated diminished correlations, suggesting that the 5-day period best captures the lagged effects of precipitation on groundwater recharge. Based on these findings, we implemented the 5-day moving average of meteorological variables preceding each groundwater depth measurement as input. This methodology not only captures the cumulative influence of meteorological factors on the groundwater recharge dynamics but also augments the model’s robustness in accounting for the inherent complexities of karst aquifer systems, thereby substantially enhancing the accuracy of predictive outcomes.

2.8. Workflow of the Study

The workflow of this study, as shown in Figure 6, starts with the collection of groundwater and meteorological data, which are then preprocessed through normalization and moving average techniques. After preprocessing, the Hodrick–Prescott (HP) filter is applied to the groundwater level data to decompose them into trend and noise components. The LSTM model is trained directly on the original raw data, while the HP-LSTM model is trained on the trend component extracted through the HP filter. The model performance is evaluated using metrics such as the R2, RMSE, and MAPE, followed by a comparison and selection of the models based on the application requirements. Finally, the selected models are applied to predict groundwater levels, addressing either short-term fluctuations or long-term trends, depending on the focus of the prediction.

3. Results

3.1. Model Training and Error Variation

To identify the optimal hyperparameters for the LSTM and HP-LSTM models, a systematic grid search approach was implemented. This method facilitated a comprehensive evaluation of multiple parameter combinations, ultimately determining the configuration that achieved the superior model performance [43]. Specifically, the grid search examined three critical parameters: the learning rate, hidden units, and batch size. The learning rate was varied within the range of 10−4 to 10−2, with smaller increments of 10−4 applied within the lower range (from 10−4 to 10−3) and larger increments of 10−3 applied within the higher range (from 10−3 to 10−2). This stratified approach allowed for a detailed exploration of the smaller values while ensuring the efficient coverage of the larger ranges. The hidden unit configurations included 32, 64, 128, and 256, enabling the evaluation of the model capacity across different network sizes, while batch sizes of 16, 32, 64, and 128 were systematically tested to balance the computational efficiency and training stability. Each parameter combination was evaluated over 200 epochs, with training and validation losses monitored to ensure convergence and a robust model performance.
The results of the grid search indicated the optimal hyperparameter configurations for the respective models. For the LSTM model, the optimal setup comprised 128 hidden units, a learning rate of 0.0008, and a batch size of 64. Conversely, the HP-LSTM model, which emphasizes long-term trends, achieved its best performance with 64 hidden units, a learning rate of 0.001, and a batch size of 16. These configurations corresponded to the distinct temporal scopes of the models: the LSTM model utilized an input length of 14 days and an output length of 7 days, while the HP-LSTM model employed input and output lengths of 30 days to capture the long-term variability. Both models utilized the AdamW optimizer for parameter updates [44], with the learning rates dynamically adjusted using a cosine annealing scheduler. To mitigate overfitting, a weight decay of 0.001 was applied. Additionally, the mean square error (MSE) was adopted as the loss function to provide a consistent metric for evaluating the predictive performance across different parameter configurations.
The adoption of a systematic grid search ensured that the models were rigorously tuned to their respective prediction tasks. This approach enabled the LSTM and HP-LSTM models to effectively capture both the short- and long-term groundwater dynamics, addressing the inherent complexities of karst aquifer systems. By optimizing the hyperparameters and employing robust evaluation techniques, the models demonstrated high accuracy and computational efficiency, underscoring their suitability for applications involving complex temporal variability.
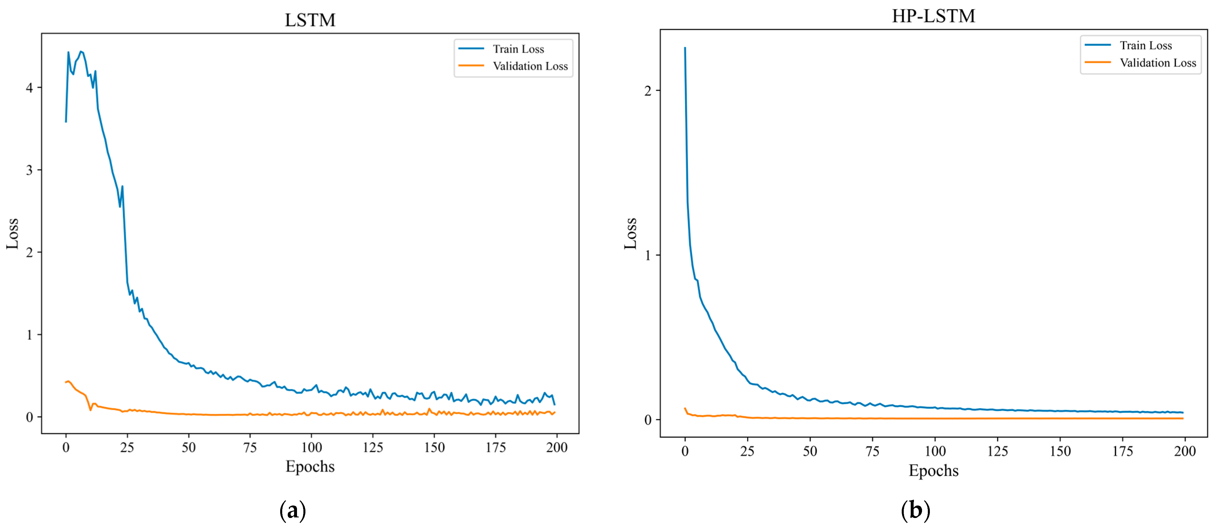
Figure 7 shows the change in the training and validation errors over the course of the training for both models. Both models exhibited a rapid reduction in errors during the early stages of the training, though differences emerged in the convergence speed and stability. The LSTM model had a higher initial error, likely due to the influence of short-term fluctuations and noise in the raw data, resulting in an inferior initial performance compared to that of the HP-LSTM model. In contrast, the HP-LSTM model, which focuses on long-term trends by filtering out short-term fluctuations, started with a lower error and showed a more stable early performance. Regarding the error decline trend, the HP-LSTM model converged faster with less fluctuations, demonstrating stronger stability. While the LSTM model also gradually converged over 200 epochs, its error exhibited larger fluctuations, indicating that it was more affected by noise when fitting the training set. In terms of the validation error, the HP-LSTM model maintained a relatively smooth and low validation error throughout the training process, highlighting its strong generalization ability. Overall, the HP-LSTM model demonstrated better stability when dealing with long-term trends due to its ability to filter out short-term fluctuations. The LSTM model, though prone to instability when handling noisy raw data, ultimately converged and performed well in capturing short-term dependencies, making it more responsive to short-term data changes.

3.2. Comparison of LSTM and HP-LSTM Models in Groundwater Depth Prediction

The measured and predicted values of the groundwater depth were analyzed for errors using the trained LSTM and HP-LSTM models, and scatter plots of the predicted versus actual values were generated, as shown in Figure 8. A comparison of the scatter plots for both models reveals that the HP-LSTM model outperformed the LSTM model across the training, validation, and test sets. While the LSTM model was more effective at capturing short-term fluctuations, it struggled with extreme values, leading to predictions that deviated significantly from the actual values. In contrast, the HP-LSTM model, with its focus on long-term trends, provided smoother and more stable predictions, particularly in the test set, where it showed a strong ability to accurately predict the groundwater depth. This suggests that the HP-LSTM model is better suited for capturing the overall trend in the groundwater dynamics, while the LSTM model is more responsive to short-term variations.
The model’s fitting and prediction performances were evaluated using the R2, RMSE, and MAPE, with the specific results are presented in Table 2. The LSTM model showed moderate performance, achieving an R2 of 0.92, an RMSE of 0.1264, and a MAPE of 0.1106% for the training set. For the validation set, the R2 was 0.76, the RMSE was 0.1244, and the MAPE was 0.1247%. On the test set, the LSTM model achieved an R2 of 0.95, an RMSE of 0.1149, and a MAPE of 0.0914%. However, the HP-LSTM model demonstrated substantially higher accuracy across all phases. In the training phase, the HP-LSTM achieved an R2 of 0.99, an RMSE of 0.0415, and a MAPE of 0.0282%, reflecting its superior performance and extremely low prediction error. During the validation phase, it maintained a strong generalization ability, with an R2 of 0.96, an RMSE of 0.0329, and a MAPE of 0.0308%. For the test set, the HP-LSTM model recorded an R2 of 0.98, an RMSE of 0.0276, and a MAPE of 2.92%, demonstrating exceptional prediction accuracy and stability.
Comparing the two models, the HP-LSTM clearly outperforms the LSTM. This is largely due to the HP-LSTM’s ability to remove short-term noise from the data through the Hodrick–Prescott filter, which enhances its capacity to capture long-term trends. As a result, the HP-LSTM model performs more robustly and accurately when handling complex time series data. Although the LSTM model performed well on the test set, its generalization ability on the validation set was weaker, likely due to short-term fluctuations. In contrast, the HP-LSTM model showed very low error rates across all phases, especially on the test set, underscoring its excellent generalization ability and consistent prediction performance across different datasets.
The comparison of the predicted values from the LSTM and HP-LSTM models against actual groundwater monitoring data is shown in Figure 9. The black solid line represents the observed groundwater depth, while the red dashed line shows the model predictions. In Figure 9a, the LSTM model demonstrates a strong performance in capturing short-term fluctuations, particularly in response to rapid changes in the groundwater depth after heavy rainfall events. This is due to the LSTM model’s ability to effectively capture short-term dependencies in time series data, making it suitable for highly cyclical data with frequent short-term variations. However, the LSTM model shows limitations in capturing long-term trends, as indicated by the deviations between the predicted and actual values over certain periods. This can be attributed to the LSTM’s sensitivity to short-term changes, which affects its stability in modeling long-term trends, leading to prediction biases when dealing with complex, long-term data patterns.
Figure 9b presents the results of the HP-LSTM model. By incorporating the Hodrick–Prescott filter to preprocess the data, the HP-LSTM effectively removed short-term fluctuations, allowing it to focus on long-term trend predictions. Consequently, the HP-LSTM model performed significantly better than the LSTM model in capturing long-term trends, as evidenced by its closer alignment with the actual groundwater depth. The HP-LSTM’s strength lies in its accurate prediction of long-term changes, facilitated by the decomposition of data into trend and cycle components. However, due to the removal of short-term fluctuations, the HP-LSTM model is less responsive to rapid changes and extreme events, resulting in smoother predictions compared to the actual values.
In summary, the HP-LSTM model offers higher stability and accuracy for predicting groundwater depths, particularly for time series data characterized by clear long-term trends and short-term fluctuations. While the LSTM model excels in tracking short-term changes, its generalization ability is slightly inferior to that of the HP-LSTM. Therefore, in practical applications, the model selection should depend on specific goals: if short-term fluctuations are the focus, the LSTM model is more appropriate; for long-term trend predictions, the HP-LSTM model delivers more stable and accurate results.

4. Discussion

The groundwater depth is critical for water resource management, agricultural irrigation, and mining development. The accurate prediction of the groundwater depth is essential for ensuring sustainable water use and preventing drought, ground subsidence, and environmental pollution [45]. Zhao et al. used a ConvLSTM model to predict groundwater levels, improving the accuracy by integrating convolutional neural networks with LSTM [46]. Similarly, Alam et al. proposed an LSTM-based model for underground water level prediction, demonstrating that it outperforms GRU, Random Forest, and XGBoost in time series forecasting [47]. Despite the many advances in groundwater prediction, accurately predicting the groundwater depth in karst areas remains a challenge due to the complex geological structures that lead to irregular groundwater flow paths, high nonlinearity, and uncertainty. Variable climatic and geological conditions further complicate prediction [48].
To address this challenge, this study introduces the HP-LSTM model, which combines the Hodrick–Prescott filter with LSTM to capture long-term groundwater depth trends more effectively. The experimental results show that the HP-LSTM model achieved R2 values of 0.99, 0.96, and 0.98 for the training, validation, and test sets, respectively, outperforming the traditional LSTM model, which recorded R2 values of 0.92, 0.76, and 0.95. Additionally, the HP-LSTM model had a lower RMSE across all the datasets, particularly on the test set, where the HP-LSTM’s RMSE was 0.0276, compared to 0.1149 for the LSTM. These results demonstrate that the HP-LSTM model effectively captures long-term trends while reducing the impact of short-term fluctuations, thereby improving the prediction accuracy. While the LSTM model has strengths in capturing short-term changes, it performs poorly when handling outliers and extreme conditions. The findings validate the HP-LSTM model’s advantages in long-term groundwater prediction and provide valuable technical support for water resource management in karst regions.
Compared to the existing studies, this research offers several improvements. For instance, Zhang et al. proposed an EMD-LSTM model for predicting the groundwater levels in three monitoring wells, showing high accuracy, but it was limited to short-term prediction without addressing long-term changes [49]. Patra et al. used global and local LSTM models to predict the groundwater depth in Taiwan, with the local model performing the best in the central alluvial fan region, especially in areas with sparse data. However, their study focused mainly on short-term prediction, and the local model struggled in coastal areas [50]. Shin et al. applied an LSTM model to predict the groundwater levels on Jeju Island and analyze the effect of different pumping scenarios [51]. Traditional LSTM models handle rapidly changing data well but struggle with long-term trends and noisy data [52]. By incorporating the HP filter, this study effectively separated long-term trends from short-term fluctuations, reducing noise interference and improving the model stability and accuracy, especially in long-term predictions. This addresses the limitations of traditional LSTM models when dealing with volatile data. Furthermore, the HP-LSTM model demonstrates strong robustness in handling complex hydrogeological conditions, enhancing its applicability and potential for wider use. This provides a new direction for future groundwater management, particularly in predicting long-term water resource changes driven by climate change and over-extraction.
While the HP-LSTM model excels in long-term trend prediction, it is less responsive to short-term fluctuations. Therefore, it is more suitable for time series data with clear long-term trends and significant noise, while the LSTM model is better suited for short-term forecasting and capturing detailed changes. If short-term accuracy is a priority, the LSTM model may be more appropriate. Additionally, this study used a single dataset, and future research could incorporate multi-location and multi-dimensional groundwater data to further test the model’s generalization ability. Combining external variables such as meteorological and geological data to build a more complex prediction model would be a valuable direction for future research.

5. Conclusions

The HP filter decomposes groundwater depth data, effectively distinguishing between short-term fluctuations and long-term trends. The trend component revealed the long-term variation in the groundwater depth, showing a significant rise from 2019 to 2021, stabilization from 2021 to August 2023, and another notable increase in the latter half of 2023. In contrast, the cycle component captures short-term fluctuations after the long-term trend is removed, highlighting periodic variations in the groundwater depth. This decomposition offers a clearer perspective for analyzing both long-term and short-term dynamics. By filtering out short-term fluctuations, the HP-LSTM model exhibits faster convergence and greater stability in capturing long-term groundwater trends. It achieved a superior prediction accuracy, with R2 values of 0.99, 0.96, and 0.98 on the training, validation, and test datasets, respectively, compared to LSTM values of 0.92, 0.76, and 0.95. Moreover, the HP-LSTM model significantly reduced prediction errors, attaining an RMSE of 0.0276 and a MAPE of 2.92% on the test set, whereas the LSTM model achieved an RMSE of 0.1149 and a MAPE of 9.14%. In comparison, the LSTM model, though prone to larger error fluctuations when dealing with noisy raw data, still performed well in predicting short-term changes. The HP-LSTM model proves to be more stable and accurate in predicting long-term groundwater trends, while the LSTM model excels in responding to short-term fluctuations. In practical applications, the appropriate model should be chosen based on the specific needs: the HP-LSTM model is more suitable for long-term trend prediction, whereas the LSTM model is ideal for handling short-term changes.

Author Contributions

Conceptualization, Y.B. and C.Z.; methodology, Y.B.; software, X.F.; validation, Y.B., C.Z. and Y.S.; formal analysis, Y.B. and Y.S.; investigation, Y.B. and Y.S.; resources, C.Z.; data curation, Y.B.; writing—original draft preparation, Y.B. and C.Z.; writing—review and editing, Y.B., C.Z. and C.L.; visualization, M.A., Y.P. and Y.L.; supervision, C.Z.; project administration, Y.B.; funding acquisition, C.Z. and X.F. All authors have read and agreed to the published version of the manuscript.

Funding

This research was jointly funded by the Natural Science Foundation of Jiangsu Province, China, no. BK20220594, and the Research Project of Guizhou Provincial Department of Water Resources, China, no. KT202315.

Data Availability Statement

Data are contained within the article.

Acknowledgments

The authors are grateful to the administrative and technical teams for their essential support in the project coordination and data processing, and we express our gratitude to the laboratory staff for providing crucial materials. The authors would also like to acknowledge the Editor and Referees for their constructive comments that contributed to improving the manuscript’s original version.

Conflicts of Interest

The authors declare that no conflicts of interest exist in terms of the submission of this manuscript, and the manuscript was approved by all the authors for submission.

References

  1. Siebert, S.; Burke, J.; Faures, J.-M.; Frenken, K.; Hoogeveen, J.; Döll, P.; Portmann, F.T. Groundwater use for irrigation–a global inventory. Hydrol. Earth Syst. Sci. 2010, 14, 1863–1880. [Google Scholar] [CrossRef]
  2. Chen, X.; Wang, F.; Qi, W.; Zhou, T. Application of BP neural network model based on genetic algorithm in groundwater burial depth prediction–Mengcheng County as an example. Water Resour. Hydropower Technol. 2018, 49, 1–7. [Google Scholar]
  3. Yang, X.-D.; Qie, Y.-D.; Teng, D.-X.; Ali, A.; Xu, Y.; Bolan, N.; Liu, W.-G.; Lv, G.-H.; Ma, L.-G.; Yang, S.-T. Prediction of groundwater depth in an arid region based on maximum tree height. J. Hydrol. 2019, 574, 46–52. [Google Scholar] [CrossRef]
  4. Opoku, P.A.; Shu, L.; Ansah-Narh, T.; Banahene, P.; Yao, K.B.M.O.; Kwaw, A.K.; Niu, S. Prediction of Karst Spring Discharge Using LSTM with Bayesian Optimisation Hyperparameter Tuning: A Laboratory Physical Model Approach. Model. Earth Syst. Environ. 2024, 10, 1457–1482. [Google Scholar] [CrossRef]
  5. Gao, W.; Zang, M.; Mei, G. Exploring influence of groundwater and lithology on data-driven stability prediction of soil slopes using explainable machine learning: A case study. Bull. Eng. Geol. Environ. 2024, 83, 2. [Google Scholar] [CrossRef]
  6. Farzin, M.; Avand, M.; Ahmadzadeh, H.; Zelenakova, M.; Tiefenbacher, J.P. Assessment of ensemble models for groundwater potential modeling and prediction in a karst watershed. Water 2021, 13, 2540. [Google Scholar] [CrossRef]
  7. Fang, L.; Shao, D. Application of long short-term memory (LSTM) on the prediction of rainfall-runoff in karst area. Front. Phys. 2022, 9, 790687. [Google Scholar] [CrossRef]
  8. Merz, S.K. Australian Groundwater Modelling Guidelines; Waterlines Report Series No. 82; National Water Commission: Canberra, Australia, 2012. [Google Scholar]
  9. Tao, H.; Hameed, M.M.; Marhoon, H.A.; Zounemat-Kermani, M.; Heddam, S.; Kim, S.; Sulaiman, S.O.; Tan, M.L.; Sa’adi, Z.; Mehr, A.D. Groundwater level prediction using machine learning models: A comprehensive review. Neurocomputing 2022, 489, 271–308. [Google Scholar] [CrossRef]
  10. Yang, X.; Zhang, Z. A CNN-LSTM model based on a meta-learning algorithm to predict groundwater level in the middle and lower reaches of the Heihe River, China. Water 2022, 14, 2377. [Google Scholar] [CrossRef]
  11. Wunsch, A.; Liesch, T.; Broda, S. Groundwater level forecasting with artificial neural networks: A comparison of LSTM, CNN and NARX. Hydrol. Earth Syst. Sci. Discuss 2020, 552, 1–23. [Google Scholar]
  12. Vu, M.; Jardani, A.; Massei, N.; Fournier, M. Reconstruction of missing groundwater level data by using Long Short-Term Memory (LSTM) deep neural network. J. Hydrol. 2021, 597, 125776. [Google Scholar] [CrossRef]
  13. Valadkhan, D.; Moghaddasi, R.; Mohammadinejad, A. Groundwater quality prediction based on LSTM RNN: An Iranian experience. Int. J. Environ. Sci. Technol. 2022, 19, 11397–11408. [Google Scholar] [CrossRef] [PubMed]
  14. Alkon, M.; Wang, Y.; Harrington, M.R.; Shi, C.; Kennedy, R.; Urpelainen, J.; Kopas, J.; He, X. High resolution prediction and explanation of groundwater depletion across India. Environ. Res. Lett. 2024, 19, 044072. [Google Scholar] [CrossRef]
  15. Zhang, W.; Duan, L.; Liu, T.; Shi, Z.; Shi, X.; Chang, Y.; Qu, S.; Wang, G. A hybrid framework based on LSTM for predicting karst spring discharge using historical data. J. Hydrol. 2024, 633, 130946. [Google Scholar] [CrossRef]
  16. Zha, W.; Liu, Y.; Wan, Y.; Luo, R.; Li, D.; Yang, S.; Xu, Y. Forecasting monthly gas field production based on the CNN-LSTM model. Energy 2022, 260, 124889. [Google Scholar] [CrossRef]
  17. Luo, J.; Gong, Y. Air pollutant prediction based on ARIMA-WOA-LSTM model. Atmos. Pollut. Res. 2023, 14, 101761. [Google Scholar] [CrossRef]
  18. Lin, Y.; Yan, Y.; Xu, J.; Liao, Y.; Ma, F. Forecasting stock index price using the CEEMDAN-LSTM model. N. Am. J. Econ. Financ. 2021, 57, 101421. [Google Scholar] [CrossRef]
  19. Domala, V.; Kim, T.-w. Application of Empirical Mode Decomposition and Hodrick Prescot filter for the prediction single step and multistep significant wave height with LSTM. Ocean. Eng. 2023, 285, 115229. [Google Scholar] [CrossRef]
  20. Qian, W.; Wang, J. An improved seasonal GM (1, 1) model based on the HP filter for forecasting wind power generation in China. Energy 2020, 209, 118499. [Google Scholar] [CrossRef]
  21. Liu, Y.; Zhang, Q.; Xiao, W.; Chu, T. Characteristic period analysis of the Chinese stock market using successive one-sided HP filter. Electron. Res. Arch. 2023, 31, 6120–6133. [Google Scholar] [CrossRef]
  22. Xu, W.; Gu, R.; Liu, Y.; Dai, Y. Forecasting energy consumption using a new GM–ARMA model based on HP filter: The case of Guangdong Province of China. Econ. Model. 2015, 45, 127–135. [Google Scholar] [CrossRef]
  23. Yao, Y.; Zhang, Z. Stock Index Price Forecasting Method Based on HP Filter. J. Comput. Eng. Appl. 2021, 57, 296–304. [Google Scholar]
  24. He, K.; Liu, Y.; Yuan, J.; He, Z.; Yin, Q.; Xu, D.; Zhao, X.; Hu, M.; Lu, H. Water Quality Ensemble Prediction Model for the Urban Water Reservoir Based on the Hybrid Long Short-Term Memory (LSTM) Network Analysis. AQUA—Water Infrastruct. Ecosyst. Soc. 2024, 73, 1621–1642. [Google Scholar] [CrossRef]
  25. He, J.; Luo, Q.; Liang, Y.; Liu, S.; Shen, X. Investigation and Analysis of Medicinal Plant Resources in Qingzhen City, Guizhou Province. Guizhou Agric. Sci. 2023, 51, 103–111. [Google Scholar]
  26. Luo, S.; Hu, J.; Zhang, Y. Analysis of Rocky Desertification in Central Guizhou, China, Using Landsat Satellite Data. In International Conference on Computer Information Systems and Industrial Applications; Atlantis Press: Dordrecht, The Netherlands, 2015; pp. 165–168. [Google Scholar]
  27. Yan, J. Ecological Effects of Land Use Change in Typical Karst Areas—A Case Study of Qingzhen City, Guizhou Province. Land Dev. Eng. Res. 2020, 5, 1–9. [Google Scholar]
  28. Zhang, X.; Gao, S.; Wu, Q.; Li, F.; Wu, P.; Wang, Z.; Wu, J.; Zeng, J. Buffer zone-based trace elements indicating the impact of human activities on karst urban groundwater. Environ. Res. 2023, 220, 115235. [Google Scholar] [CrossRef]
  29. Li, W.; Zhao, Z.; Lv, S.; Zhao, W.; Su, W. Vulnerability Assessment of Water Resources in a Karst Mountainous Area Based on GIS/RS Technology: A Case Study of Guiyang, Southwest China. Water Supply 2022, 22, 5206–5220. [Google Scholar] [CrossRef]
  30. Zou, J. Regional Hydrogeological Survey Report of Qingzhen City, Guizhou Province. Natl. Geol. Arch. 1998. [Google Scholar]
  31. Demir, V. Trend analysis of lakes and sinkholes in the Konya Closed Basin, in Turkey. Nat. Hazards 2022, 112, 2873–2912. [Google Scholar] [CrossRef]
  32. Yagbasan, O.; Demir, V.; Yazicigil, H. Trend analyses of meteorological variables and lake levels for two shallow lakes in central Turkey. Water 2020, 12, 414. [Google Scholar] [CrossRef]
  33. Ouahilal, M.; Mohajir, M.E.; Chahhou, M.; Mohajir, B.E.E. A novel hybrid model based on Hodrick–Prescott filter and support vector regression algorithm for optimizing stock market price prediction. J. Big Data 2017, 4, 1–22. [Google Scholar] [CrossRef]
  34. Hodrick, R.J.; Prescott, E.C. Postwar US business cycles: An empirical investigation. J. Money Credit Bank. 1997, 29, 1–16. [Google Scholar] [CrossRef]
  35. Peng, B.; Li, Y.; Yang, C.; Feng, H.; Gong, X.; Liu, Z.; Zhong, J.; Huan, J. Probabilistic grid carbon intensity forecasting with Hodrick–Prescott decomposition. Energy Rep. 2024, 11, 5400–5406. [Google Scholar] [CrossRef]
  36. Bhanja, S.N.; Zhang, X.; Wang, J. Estimating long-term groundwater storage and its controlling factors in Alberta, Canada. Hydrol. Earth Syst. Sci. 2018, 22, 6241–6255. [Google Scholar] [CrossRef]
  37. Zhang, X.; Wu, X.; Xiao, Y.; Shi, J.; Zhao, Y.; Zhang, M. Application of improved seasonal GM (1, 1) model based on HP filter for runoff prediction in Xiangjiang River. Environ. Sci. Pollut. Res. 2022, 29, 52806–52817. [Google Scholar] [CrossRef]
  38. Goyal, A.; Krishnamurthy, S.; Kulkarni, S.; Kumar, R.; Vartak, M.; Lanham, M.A. A solution to forecast demand using long short-term memory recurrent neural networks for time series forecasting. In Proceedings of the Midwest Decision Sciences Institute Conference, Indianapolis, IN, USA, 5–7 April 2018; pp. 12–14. [Google Scholar]
  39. Al-Selwi, S.M.; Hassan, M.F.; Abdulkadir, S.J.; Muneer, A. LSTM inefficiency in long-term dependencies regression problems. J. Adv. Res. Appl. Sci. Eng. Technol. 2023, 30, 16–31. [Google Scholar] [CrossRef]
  40. Guo, S.; Zhang, J.; Zhang, T. Adaptive Whale Optimization Algorithm–DBiLSTM for Autonomous Underwater Vehicle (AUV) Trajectory Prediction. Appl. Sci. 2024, 14, 3646. [Google Scholar] [CrossRef]
  41. Gers, F.A.; Schraudolph, N.N.; Schmidhuber, J. Learning precise timing with LSTM recurrent networks. J. Mach. Learn. Res. 2002, 3, 115–143. [Google Scholar]
  42. Wu, J.; Zhang, R.; Yang, J. Analysis of rainfall-recharge relationships. J. Hydrol. 1996, 177, 143–160. [Google Scholar] [CrossRef]
  43. Belete, D.M.; Huchaiah, M.D. Grid search in hyperparameter optimization of machine learning models for prediction of HIV/AIDS test results. Int. J. Comput. Appl. 2022, 44, 875–886. [Google Scholar] [CrossRef]
  44. Zhou, P.; Xie, X.; Lin, Z.; Yan, S. Towards understanding convergence and generalization of AdamW. IEEE Trans. Pattern Anal. Mach. Intell. 2024, 46, 6486–6493. [Google Scholar] [CrossRef]
  45. Chang, F.-J.; Chang, L.-C.; Huang, C.-W.; Kao, I.-F. Prediction of monthly regional groundwater levels through hybrid soft-computing techniques. J. Hydrol. 2016, 541, 965–976. [Google Scholar] [CrossRef]
  46. Guo, F.; Yang, J.; Li, H.; Li, G.; Zhang, Z. A convLSTM conjunction model for groundwater level forecasting in a karst aquifer considering connectivity characteristics. Water 2021, 13, 2759. [Google Scholar] [CrossRef]
  47. Alam, M.J.; Kar, S.; Zaman, S.; Ahamed, S.; Samiya, K. Forecasting Underground Water Levels: LSTM Based Model Outperforms GRU and Decision Tree Based Models. In Proceedings of the 2022 IEEE International Women in Engineering (WIE) Conference on Electrical and Computer Engineering (WIECON-ECE), Naya Raipur, India, 30–31 December 2022; pp. 280–283. [Google Scholar]
  48. Lou, G.; Song, Y.; Man, L.; Sun, Z. A new method and application of groundwater prediction along the direction of tunnel excavation in karst strata. AQUA—Water Infrastruct. Ecosyst. Soc. 2023, 72, 1681–1696. [Google Scholar] [CrossRef]
  49. Zhang, X.; Chen, H.; Zhu, G.; Zhao, D.; Duan, B. A new groundwater depth prediction model based on EMD-LSTM. Water Supply 2022, 22, 5974–5988. [Google Scholar] [CrossRef]
  50. Patra, S.R.; Chu, H.-J. Regional groundwater sequential forecasting using global and local LSTM models. J. Hydrol. Reg. Stud. 2023, 47, 101442. [Google Scholar] [CrossRef]
  51. Shin, M.-J.; Moon, S.-H.; Kang, K.G.; Moon, D.-C.; Koh, H.-J. Analysis of Groundwater Level Variations Caused by the Changes in Groundwater Withdrawals Using Long Short-Term Memory Network. Hydrology 2020, 7, 64. [Google Scholar] [CrossRef]
  52. Zhang, Y.; Zhou, Z.; Deng, Y.; Pan, D.; Van Griensven Thé, J.; Yang, S.X.; Gharabaghi, B. Daily Streamflow Forecasting Using Networks of Real-Time Monitoring Stations and Hybrid Machine Learning Methods. Water 2024, 16, 1284. [Google Scholar] [CrossRef]
Figure 1. Geographical location of the study monitoring well in Qingzhen City, Guizhou Province. (a) Displays the location of Guizhou Province within China; (b) provides a zoomed-in view of Guizhou Province, with a focus on Qingzhen, shown in the highlighted area; (c) presents a detailed topographic map of the study area, with the elevation ranging from 769 m to 1734 m, indicating the locations of Qingzhen City and the mine.
Figure 1. Geographical location of the study monitoring well in Qingzhen City, Guizhou Province. (a) Displays the location of Guizhou Province within China; (b) provides a zoomed-in view of Guizhou Province, with a focus on Qingzhen, shown in the highlighted area; (c) presents a detailed topographic map of the study area, with the elevation ranging from 769 m to 1734 m, indicating the locations of Qingzhen City and the mine.
Water 17 00362 g001
Figure 2. Lithological and hydrogeological distribution maps of the study area. (a) Lithological map showing the distribution of sedimentary, volcanic, and clay rocks, along with faults marked in red lines; (b) hydrogeological map illustrating groundwater types, including karst water, fissure–karst water, and bedrock fissure water, as well as key hydrogeological points, such as monitoring wells and springs.
Figure 2. Lithological and hydrogeological distribution maps of the study area. (a) Lithological map showing the distribution of sedimentary, volcanic, and clay rocks, along with faults marked in red lines; (b) hydrogeological map illustrating groundwater types, including karst water, fissure–karst water, and bedrock fissure water, as well as key hydrogeological points, such as monitoring wells and springs.
Water 17 00362 g002
Figure 3. Time series of groundwater level, precipitation, temperature, and wind speed from 2019 to 2023. (a) Shows the time series of the groundwater depth (m), emphasizing both short-term fluctuations and long-term trends. (b) Displays the daily precipitation (mm) during the same period, with sharp peaks indicating rainfall events. (c) Presents the temperature (°C) variation, showing clear seasonal cycles across the years. (d) Illustrates the wind speed (m/s) changes, with frequent short-term fluctuations throughout the observation period.
Figure 3. Time series of groundwater level, precipitation, temperature, and wind speed from 2019 to 2023. (a) Shows the time series of the groundwater depth (m), emphasizing both short-term fluctuations and long-term trends. (b) Displays the daily precipitation (mm) during the same period, with sharp peaks indicating rainfall events. (c) Presents the temperature (°C) variation, showing clear seasonal cycles across the years. (d) Illustrates the wind speed (m/s) changes, with frequent short-term fluctuations throughout the observation period.
Water 17 00362 g003
Figure 4. HP filter decomposition of groundwater depth. (a) Presents the original groundwater depth time series with observed fluctuations; (b) depicts the trend component, extracted via the HP filter, showing long-term changes; (c) shows the cyclical component, representing short-term variations.
Figure 4. HP filter decomposition of groundwater depth. (a) Presents the original groundwater depth time series with observed fluctuations; (b) depicts the trend component, extracted via the HP filter, showing long-term changes; (c) shows the cyclical component, representing short-term variations.
Water 17 00362 g004
Figure 5. Schematic of LSTM architecture. Depicts the input, forget, and output gates governing information flow through the network. The cell state maintains long-term dependencies, while the hidden state provides output at each time step. Sigmoid and tanh activations modulate the gating functions, enabling precise control over memory retention and information propagation.
Figure 5. Schematic of LSTM architecture. Depicts the input, forget, and output gates governing information flow through the network. The cell state maintains long-term dependencies, while the hidden state provides output at each time step. Sigmoid and tanh activations modulate the gating functions, enabling precise control over memory retention and information propagation.
Water 17 00362 g005
Figure 6. Workflow for groundwater level prediction using LSTM and HP-LSTM models.
Figure 6. Workflow for groundwater level prediction using LSTM and HP-LSTM models.
Water 17 00362 g006
Figure 7. Training and validation error curves: (a) LSTM; (b) HP-LSTM.
Figure 7. Training and validation error curves: (a) LSTM; (b) HP-LSTM.
Water 17 00362 g007
Figure 8. Scatter plot comparison of predicted and actual values for LSTM and HP-LSTM models.
Figure 8. Scatter plot comparison of predicted and actual values for LSTM and HP-LSTM models.
Water 17 00362 g008
Figure 9. Comparison of predicted groundwater depth and actual monitoring data: (a) LSTM; (b) HP-LSTM.
Figure 9. Comparison of predicted groundwater depth and actual monitoring data: (a) LSTM; (b) HP-LSTM.
Water 17 00362 g009
Table 1. Pearson correlation between multi-day averaged rainfall and groundwater depth.
Table 1. Pearson correlation between multi-day averaged rainfall and groundwater depth.
Time PeriodPearson Correlation Coefficient
1 Day0.124 *
3 Days0.273 **
5 Days0.369 **
7 Days0.322 **
14 Days0.307 **
30 Days0.309 **
Note: ** denotes significance at the 0.01 level, and * denotes significance at the 0.05 level.
Table 2. Performance evaluation of LSTM and HP-LSTM models.
Table 2. Performance evaluation of LSTM and HP-LSTM models.
ModelStageR2RMSEMAPE (%)
LSTMTraining0.920.12640.1106
Validation0.760.12440.1247
Testing0.950.11490.0914
HP-LSTMTraining0.990.04150.0282
Validation0.960.03290.0308
Testing0.980.02760.0292
Note: In the table, a higher R2 signifies greater model fidelity in explaining variance, while the lower RMSE and MAPE reflect enhanced model precision and robustness in the predictive performance.
Disclaimer/Publisher’s Note: The statements, opinions and data contained in all publications are solely those of the individual author(s) and contributor(s) and not of MDPI and/or the editor(s). MDPI and/or the editor(s) disclaim responsibility for any injury to people or property resulting from any ideas, methods, instructions or products referred to in the content.

Share and Cite

MDPI and ACS Style

Bo, Y.; Zhang, C.; Fang, X.; Sun, Y.; Li, C.; An, M.; Peng, Y.; Lu, Y. Application of HP-LSTM Models for Groundwater Level Prediction in Karst Regions: A Case Study in Qingzhen City. Water 2025, 17, 362. https://doi.org/10.3390/w17030362

AMA Style

Bo Y, Zhang C, Fang X, Sun Y, Li C, An M, Peng Y, Lu Y. Application of HP-LSTM Models for Groundwater Level Prediction in Karst Regions: A Case Study in Qingzhen City. Water. 2025; 17(3):362. https://doi.org/10.3390/w17030362

Chicago/Turabian Style

Bo, Yanping, Chunlei Zhang, Xiaoyu Fang, Yidi Sun, Changjiang Li, Meiyun An, Yun Peng, and Yixin Lu. 2025. "Application of HP-LSTM Models for Groundwater Level Prediction in Karst Regions: A Case Study in Qingzhen City" Water 17, no. 3: 362. https://doi.org/10.3390/w17030362

APA Style

Bo, Y., Zhang, C., Fang, X., Sun, Y., Li, C., An, M., Peng, Y., & Lu, Y. (2025). Application of HP-LSTM Models for Groundwater Level Prediction in Karst Regions: A Case Study in Qingzhen City. Water, 17(3), 362. https://doi.org/10.3390/w17030362

Note that from the first issue of 2016, this journal uses article numbers instead of page numbers. See further details here.

Article Metrics

Back to TopTop