Runoff Estimation in the Upper Yangtze River Basin Based on CMIP6 and WRF-Hydro Model
Abstract
1. Introduction
2. Materials and Methods
2.1. Study Area Overview
2.2. Data Sources
2.3. Methodology
2.3.1. CMIP6 Data Bias Evaluation and Correction
2.3.2. WRF-Hydro Model Construction and Calibration
3. Results
3.1. CMIP6 Simulation Data Bias Evaluation and Correction Results
3.1.1. CMIP6 Simulation Data Bias Evaluation
3.1.2. CMFD Data Suitability Evaluation
3.1.3. Bias Correction Results of CMIP6 Data
3.2. Calibration and Validation Results of the WRF-Hydro Model
3.3. Future Climate Change and Runoff Projections in the Upper Yangtze River Basin
3.3.1. Climate Variables Analysis
3.3.2. Runoff Projection Analysis
4. Discussion
5. Conclusions
- (1)
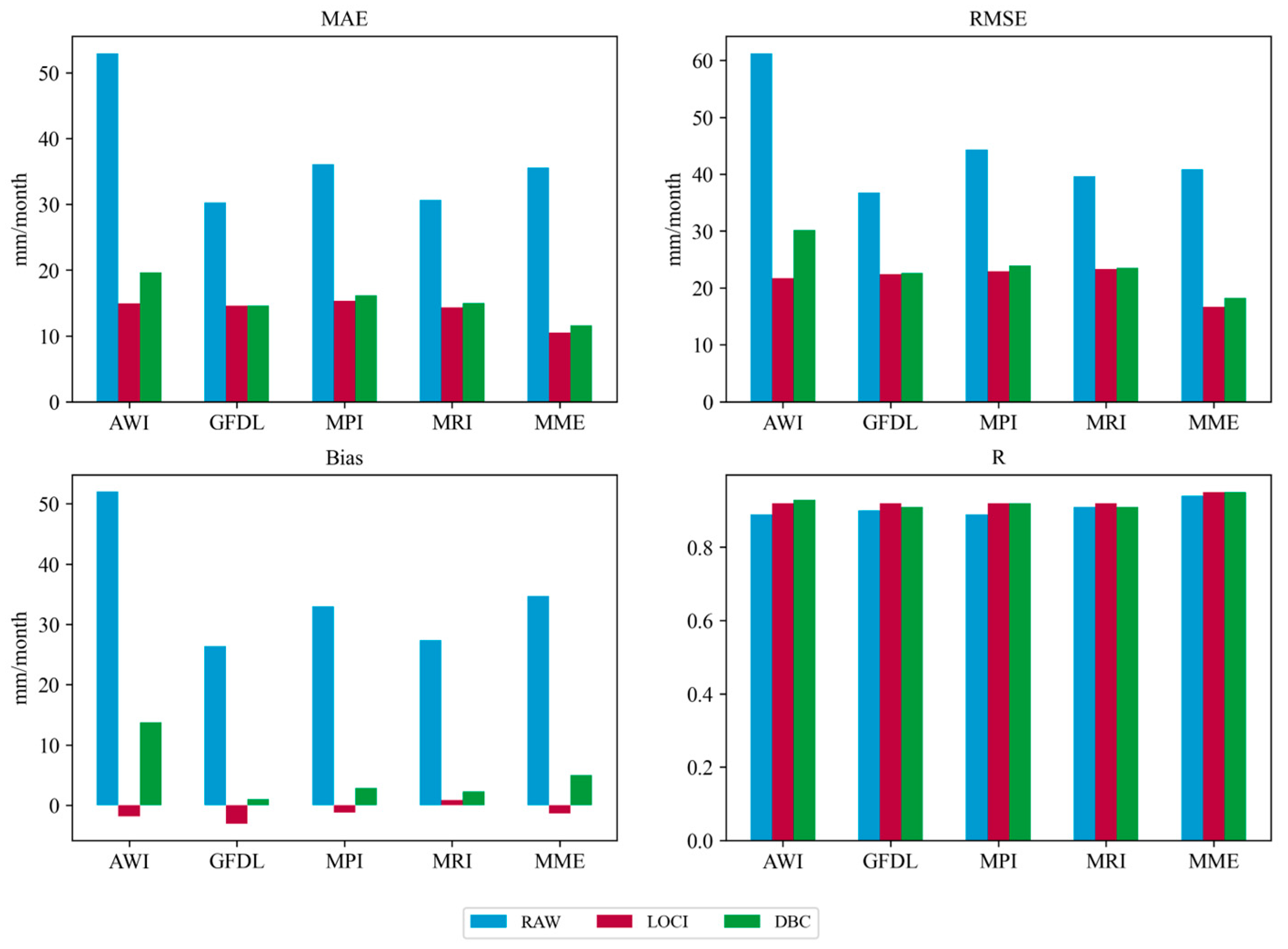
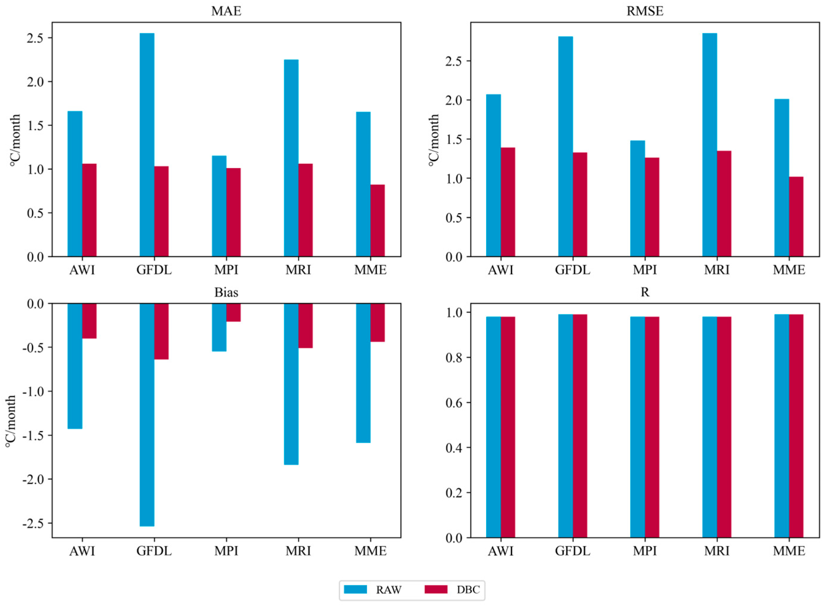
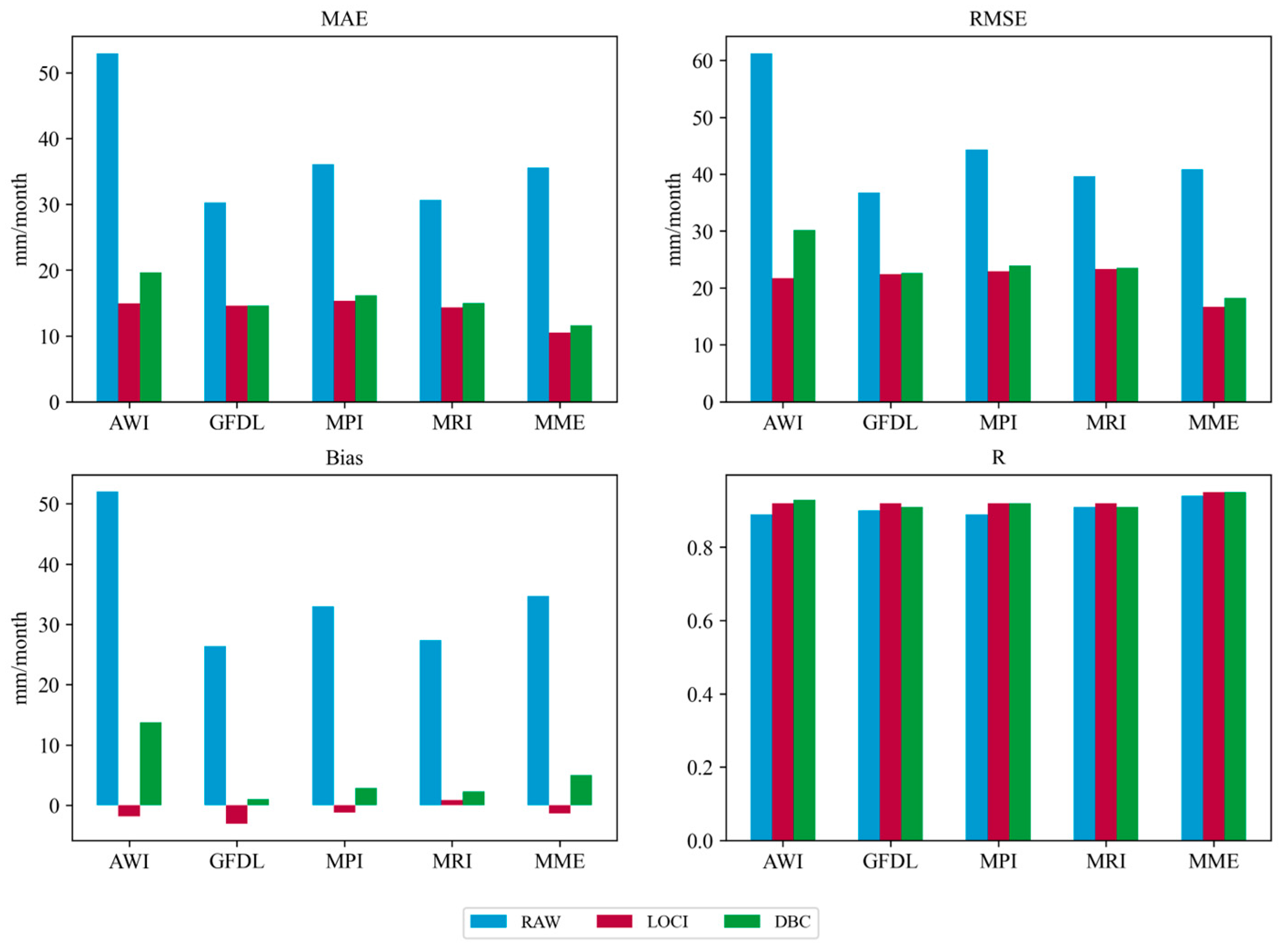
- Bias correction of CMIP6 climate data: Using CMFD reanalysis data as a reference, the historical performance (1981–2010) of multi-model ensemble simulations from four CMIP6 models was evaluated. Results revealed pronounced systematic biases in the raw data: precipitation was generally overestimated, particularly over the Hengduan Mountains, while temperature was underestimated, with deviations of 4–8 °C in the western and southern Sichuan Basin. Evaluation of CMFD data showed that while long-term precipitation patterns were generally well represented, the overall magnitude was overestimated, and precipitation frequency was significantly higher than observed. This was corrected by adjusting the rainfall threshold to align with station observations. For temperature, CMFD showed strong consistency with observations in the Sichuan Basin and low-latitude regions. In the bias correction stage, the frequency-adjusted CMFD was used as the benchmark. For precipitation, comparison between the Local Intensity Correction (LOCI) method and Daily Bias Correction (DBC) indicated that LOCI performed better overall, reducing mean absolute error from 35 mm to 10 mm and root mean square error from 40 mm to 17 mm. For temperature, the DBC method was effective, reducing mean absolute error from 1.6 °C to 0.8 °C and root mean square error from 2.0 °C to 1.0 °C. Furthermore, the corrected multi-model ensemble showed higher accuracy than individual models.
- (2)
- Hydrological modeling with WRF-Hydro: A WRF-Hydro-based hydrological modeling system tailored to the upper Yangtze River Basin was developed to address parameter optimization challenges in simulating complex hydrological processes. Based on parameter sensitivity analysis, seven key hydrological parameters (including REFKDT) were selected, and a two-stage calibration strategy of “independent sub-basin calibration + mainstem calibration” was adopted. First, parallel parameter optimization was conducted for the Jinsha, Min-Tuo, Jialing, and Wu Rivers, each using independent parameter sets; then, the mainstem calibration was performed using the optimized sub-basin results. This approach significantly improved simulation performance at Yichang station, increasing the NSE from 0.72 (basin-wide calibration) to 0.85 (+18%), reducing RSR from 0.53 to 0.39 (−26%), and bringing PBIAS close to zero. Validation with observed discharge (2009–2018) confirmed the robustness of the approach, with NSE reaching 0.82 for daily flows, 0.86 for 5-day averages, and 0.91 for monthly flows at Cuntan station. Compared with SWAT-based studies in similar regions, the WRF-Hydro model demonstrated superior simulation accuracy.
- (3)
- Future climate and runoff changes: Based on bias-corrected CMIP6 multi-model data and WRF-Hydro simulations, climate and runoff characteristics for 2021–2050 were assessed under SSP2-4.5 and SSP5-8.5 scenarios. Results indicate that annual mean precipitation will increase by 5.4% (SSP2-4.5) to 6.1% (SSP5-8.5), while temperatures will rise by 1.0 °C (SSP2-4.5) to 1.2 °C (SSP5-8.5). Seasonally, autumn precipitation will increase most significantly, while winter warming will be the most pronounced. Spatially, precipitation increases are concentrated in the Sichuan Basin and the eastern basin, while warming is strongest in the Sichuan Basin and surrounding areas. Hydrological simulations suggest no statistically significant trend in annual mean discharge under either scenario. However, the Jinsha River’s mean discharge decreases by 3.1% under SSP5-8.5 relative to SSP2-4.5, whereas the Jialing and Wu Rivers exhibit slight increases. Although SSP5-8.5 shows only a minor decrease in mean flood-season daily runoff (−33 m3/s) compared with SSP2-4.5, the frequency of extreme flood events at the Three Gorges Reservoir increases substantially, from two events under SSP2-4.5 to five events under SSP5-8.5. Contribution analysis of seven flood events shows that the Jialing River was the dominant source in six of them, with contributions ranging from 60.0% to 99.1%.
Author Contributions
Funding
Data Availability Statement
Conflicts of Interest
References
- Tollefson, J. IPCC says limiting global warming to 1.5 °C will require drastic action. Nature 2018, 562, 172–173. [Google Scholar] [CrossRef]
- Bonan, D.B.; Siler, N.; Roe, G.H.; Armour, K.C. Energetic Constraints on the Pattern of Changes to the Hydrological Cycle under Global Warming. J. Clim. 2023, 36, 3499–3522. [Google Scholar] [CrossRef]
- Ma, J.; Zhou, L.; Foltz, G.R.; Qu, X.; Ying, J.; Tokinaga, H.; Mechoso, C.R.; Li, J.; Gu, X. Hydrological cycle changes under global warming and their effects on multiscale climate variability. Ann. N. Y. Acad. Sci. 2020, 1472, 21–48. [Google Scholar] [CrossRef]
- Xie, M.; Ren, Z.; Li, Z.; Zhang, X.; Ma, X.; Li, P.; Shen, Z. Evolution of the precipitation–stream runoff relationship in different precipitation scenarios in the Yellow River Basin. Urban Clim. 2023, 51, 101609. [Google Scholar] [CrossRef]
- Fang, J.; Kong, F.; Fang, J.; Zhao, L. Observed changes in hydrological extremes and flood disaster in Yangtze River Basin: Spatial–temporal variability and climate change impacts. Nat. Hazards 2018, 93, 89–107. [Google Scholar] [CrossRef]
- Liang, H.; Zhang, D.; Wang, W.; Yu, S.; Nimai, S. Evaluating future water security in the upper Yangtze River Basin under a changing environment. Sci. Total Environ. 2023, 889, 164101. [Google Scholar] [CrossRef] [PubMed]
- Shankman, D.; Lai, X. Severe flood probability on the middle Changjiang (Yangtze River) after completion of the Three Gorges Dam. Front. Earth Sci. 2022, 10. [Google Scholar] [CrossRef]
- Yang, R.; Xing, B. Spatio-Temporal Variability in Hydroclimate over the Upper Yangtze River Basin, China. Atmosphere 2022, 13, 317. [Google Scholar] [CrossRef]
- Deng, M.; Li, C.; Lu, R.; Dunstone, N.J.; Bett, P.E.; Xiao, M. Profound interdecadal variability of the summer precipitation over the upper reaches of the Yangtze River Basin. Atmos. Sci. Lett. 2024, 25, e1258. [Google Scholar] [CrossRef]
- Di Luca, A.; Pitman, A.J.; de Elía, R. Decomposing Temperature Extremes Errors in CMIP5 and CMIP6 Models. Geophys. Res. Lett. 2020, 47, e2020GL088031. [Google Scholar] [CrossRef]
- Brands, S. A circulation-based performance atlas of the CMIP5 and 6 models for regional climate studies in the Northern Hemisphere mid-to-high latitudes. Geosci. Model Dev. 2022, 15, 1375–1411. [Google Scholar] [CrossRef]
- Semmler, T.; Danilov, S.; Gierz, P.; Goessling, H.F.; Hegewald, J.; Hinrichs, C.; Koldunov, N.; Khosravi, N.; Mu, L.; Rackow, T.; et al. Simulations for CMIP6 With the AWI Climate Model AWI-CM-1-1. J. Adv. Model. Earth Syst. 2020, 12, e2019MS002009. [Google Scholar] [CrossRef]
- Rastogi, D.; Kao, S.C.; Ashfaq, M. How May the Choice of Downscaling Techniques and Meteorological Reference Observations Affect Future Hydroclimate Projections? Earth’s Future 2022, 10, e2022EF002734. [Google Scholar] [CrossRef]
- Michalek, A.T.; Villarini, G.; Kim, T. Understanding the Impact of Precipitation Bias-Correction and Statistical Downscaling Methods on Projected Changes in Flood Extremes. Earth’s Future 2024, 12, e2023EF004179. [Google Scholar] [CrossRef]
- Schmidli, J.; Frei, C.; Vidale, P.L. Downscaling from GCM precipitation: A benchmark for dynamical and statistical downscaling methods. Int. J. Climatol. 2006, 26, 679–689. [Google Scholar] [CrossRef]
- Chen, J.; Brissette, F.P.; Chaumont, D.; Braun, M. Performance and uncertainty evaluation of empirical downscaling methods in quantifying the climate change impacts on hydrology over two North American river basins. J. Hydrol. 2013, 479, 200–214. [Google Scholar] [CrossRef]
- Castro, C.L.; Gupta, H.; Lahmers, T.M.; Gochis, D.J.; Yates, D.; Dugger, A.; Goodrich, D.; Hazenberg, P. Enhancing the Structure of the WRF-Hydro Hydrologic Model for Semiarid Environments. J. Hydrometeorol. 2019, 20, 691–714. [Google Scholar] [CrossRef]
- Sofokleous, I.; Bruggeman, A.; Camera, C.; Eliades, M. Grid-based calibration of the WRF-Hydro with Noah-MP model with improved groundwater and transpiration process equations. J. Hydrol. 2023, 617, 128991. [Google Scholar] [CrossRef]
- Sun, M.; Li, Z.; Yao, C.; Liu, Z.; Wang, J.; Hou, A.; Zhang, K.; Huo, W.; Liu, M. Evaluation of Flood Prediction Capability of the WRF-Hydro Model Based on Multiple Forcing Scenarios. Water 2020, 12, 874. [Google Scholar] [CrossRef]
- Quenum, G.M.L.D.; Arnault, J.; Klutse, N.A.B.; Zhang, Z.; Kunstmann, H.; Oguntunde, P.G. Potential of the Coupled WRF/WRF-Hydro Modeling System for Flood Forecasting in the Ouémé River (West Africa). Water 2022, 14, 1192. [Google Scholar] [CrossRef]
- Kim, S.; Shen, H.; Noh, S.; Seo, D.-J.; Welles, E.; Pelgrim, E.; Weerts, A.; Lyons, E.; Philips, B. High-resolution modeling and prediction of urban floods using WRF-Hydro and data assimilation. J. Hydrol. 2021, 598, 126236. [Google Scholar] [CrossRef]
- Silva, D.G.; Silva Junior, J.R.D.d.; Souza, F.M.d.; Ramos, D.N.d.S.; Silva, A.R.; Santos, T.S.d.; Moreira, D.M. WRF-Hydro for Streamflow Simulation in the MATOPIBA Region within the Tocantins/Araguaia River Basin—Brazil: Implications for Water Resource Management. Water 2023, 15, 3902. [Google Scholar] [CrossRef]
- Mascaro, G.; Hussein, A.; Dugger, A.; Gochis, D.J. Process-based calibration of WRF-Hydro in a mountainous basin in southwestern US. J. Am. Water Resour. Assoc. 2023, 59, 49–70. [Google Scholar] [CrossRef]
- Yu, E.T.; Liu, X.Y.; Li, J.W.; Tao, H. Calibration and Evaluation of the WRF-Hydro Model in Simulating the Streamflow over the Arid Regions of Northwest China: A Case Study in Kaidu River Basin. Sustainability 2023, 15, 6175. [Google Scholar] [CrossRef]
- Liu, H.; Chen, J.; Zhang, X.-C.; Xu, C.-Y.; Hui, Y. A Markov Chain-Based Bias Correction Method for Simulating the Temporal Sequence of Daily Precipitation. Atmosphere 2020, 11, 109. [Google Scholar] [CrossRef]
- Luo, M.; Liu, T.; Meng, F.; Duan, Y.; Frankl, A.; Bao, A.; De Maeyer, P. Comparing Bias Correction Methods Used in Downscaling Precipitation and Temperature from Regional Climate Models: A Case Study from the Kaidu River Basin in Western China. Water 2018, 10, 1046. [Google Scholar] [CrossRef]
- Chen, J.; Brissette, F.P.; Chaumont, D.; Braun, M. Finding appropriate bias correction methods in downscaling precipitation for hydrologic impact studies over North America. Water Resour. Res. 2013, 49, 4187–4205. [Google Scholar] [CrossRef]
- Huang, S.; Gan, Y.; Chen, N.; Wang, C.; Zhang, X.; Li, C.; Horton, D.E. Urbanization enhances channel and surface runoff: A quantitative analysis using both physical and empirical models over the Yangtze River basin. J. Hydrol. 2024, 635, 131194. [Google Scholar] [CrossRef]
- Wang, L.; Shu, Z.K.; Wang, G.Q.; Sun, Z.L.; Yan, H.F.; Bao, Z.X. Analysis of Future Meteorological Drought Changes in the Yellow River Basin under Climate Change. Water 2022, 14, 1896. [Google Scholar] [CrossRef]
- Try, S.; Qin, X.; Ty, S.; Oeurng, C. Future projection of compound flooding using downscaled CMIP6 GCM climate projections in the Mekong River Basin. Hydrol. Sci. J. 2025, 70, 1439–1453. [Google Scholar] [CrossRef]


























| Parameter | Physical Meaning | Optimal Value |
|---|---|---|
| REFKDT | Determines the inflow for channel routing calculations | 0.1 |
| SLOPE | Directly affects subsurface runoff | 1.0 |
| BEXP | Describes the soil moisture characteristic curve | 0.7 |
| SMCMAX | Represents the soil water holding capacity | 0.7 |
| DKSAT | Controls the velocity of subsurface flow | 1.0 |
| OVROUGHRTFAC | Affects the rate at which runoff converges into the river network | 1.0 |
| MannN | Reflects the effect of channel roughness on water flow | 1.2 |
| Parameter | Jinsha River | Minjiang River | Jialing River | Wu River | Upper Mainstream |
|---|---|---|---|---|---|
| REFKDT | 0.1 | 0.1 | 0.1 | 0.1 | 0.1 |
| SLOPE | 1.0 | 1.0 | 0.1 | 0.1 | 1.0 |
| BEXP | 0.8 | 0.4 | 1.9 | 1.6 | 0.4 |
| SMCMAX | 1.0 | 0.8 | 0.8 | 1.0 | 0.8 |
| DKSAT | 0.8 | 1.0 | 0.6 | 1.0 | 1.3 |
| OVROUGHRTFAC | 0.7 | 1.0 | 0.7 | 1.0 | 1.0 |
| MannN | - | - | - | - | 1.4 |
| Parameter | NSE | RSR | PBIAS | |||
|---|---|---|---|---|---|---|
| Entire | Single | Entire | Single | Entire | Single | |
| REFKDT | 0.33 | 0.33 | 0.82 | 0.82 | 0.27 | 0.27 |
| SLOPE | 0.60 | 0.57 | 0.63 | 0.66 | 0.14 | 0.17 |
| BEXP | 0.70 | 0.77 | 0.55 | 0.48 | −0.01 | 0.04 |
| SMCMAX | 0.70 | 0.79 | 0.55 | 0.45 | −0.01 | −0.03 |
| DKSAT | 0.70 | 0.80 | 0.55 | 0.45 | −0.01 | −0.02 |
| OVROUGHRTFAC | 0.70 | 0.79 | 0.55 | 0.46 | −0.01 | 0.00 |
| MannN | 0.72 | 0.85 | 0.53 | 0.39 | −0.01 | 0.00 |
| Time | 2009 | 2010 | 2011 | 2012 | 2013 | 2014 | 2015 | 2016 | 2017 | 2018 | Mean |
|---|---|---|---|---|---|---|---|---|---|---|---|
| 1 d | 0.92 | 0.91 | 0.77 | 0.87 | 0.89 | 0.83 | 0.76 | 0.74 | 0.65 | 0.87 | 0.82 |
| 5 d | 0.94 | 0.93 | 0.82 | 0.89 | 0.92 | 0.88 | 0.79 | 0.81 | 0.75 | 0.89 | 0.86 |
| 1 m | 0.97 | 0.97 | 0.90 | 0.92 | 0.95 | 0.93 | 0.83 | 0.88 | 0.84 | 0.92 | 0.91 |
| Basin | Average Flow During Flood Season (m3/s) | Average Flow During Non-Flood Season (m3/s) | ||
|---|---|---|---|---|
| SSP2-4.5 | SSP5-8.5 | SSP2-4.5 | SSP5-8.5 | |
| Jinsha River Basin | 6951 | 6657 | 3131 | 3151 |
| Minjiang River Basin | 2739 | 2726 | 784 | 799 |
| Jialing River Basin | 4176 | 4261 | 1115 | 1143 |
| Wu River Basin | 2441 | 2491 | 705 | 719 |
| Upper Yangtze River Basin | 20,824 | 20,791 | 7657 | 7809 |
Disclaimer/Publisher’s Note: The statements, opinions and data contained in all publications are solely those of the individual author(s) and contributor(s) and not of MDPI and/or the editor(s). MDPI and/or the editor(s) disclaim responsibility for any injury to people or property resulting from any ideas, methods, instructions or products referred to in the content. |
© 2025 by the authors. Licensee MDPI, Basel, Switzerland. This article is an open access article distributed under the terms and conditions of the Creative Commons Attribution (CC BY) license (https://creativecommons.org/licenses/by/4.0/).
Share and Cite
Wang, P.; Zhou, J.; Xue, K.; Chen, Z. Runoff Estimation in the Upper Yangtze River Basin Based on CMIP6 and WRF-Hydro Model. Water 2025, 17, 3104. https://doi.org/10.3390/w17213104
Wang P, Zhou J, Xue K, Chen Z. Runoff Estimation in the Upper Yangtze River Basin Based on CMIP6 and WRF-Hydro Model. Water. 2025; 17(21):3104. https://doi.org/10.3390/w17213104
Chicago/Turabian StyleWang, Peng, Jun Zhou, Ke Xue, and Zeqiang Chen. 2025. "Runoff Estimation in the Upper Yangtze River Basin Based on CMIP6 and WRF-Hydro Model" Water 17, no. 21: 3104. https://doi.org/10.3390/w17213104
APA StyleWang, P., Zhou, J., Xue, K., & Chen, Z. (2025). Runoff Estimation in the Upper Yangtze River Basin Based on CMIP6 and WRF-Hydro Model. Water, 17(21), 3104. https://doi.org/10.3390/w17213104

