A Relationship Between Nutrients in a Mid-Forest Eutrophic Lake
Abstract
1. Introduction
2. Material and Methods
2.1. Biological and Morphometric Characteristics of Łętowskie Lake
2.2. Water Sampling
2.3. Physicochemical Analyses
2.4. Statistical Analysis
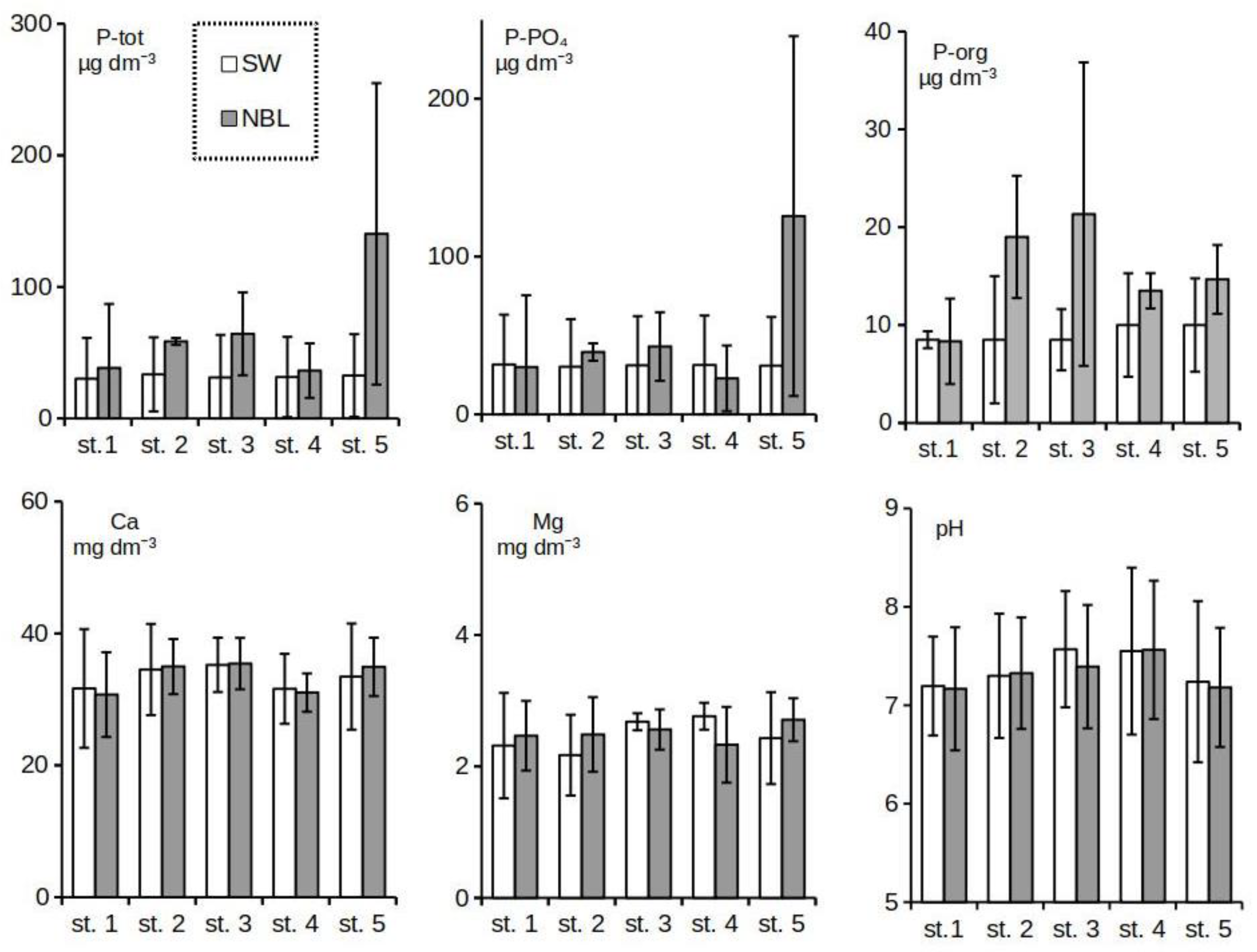
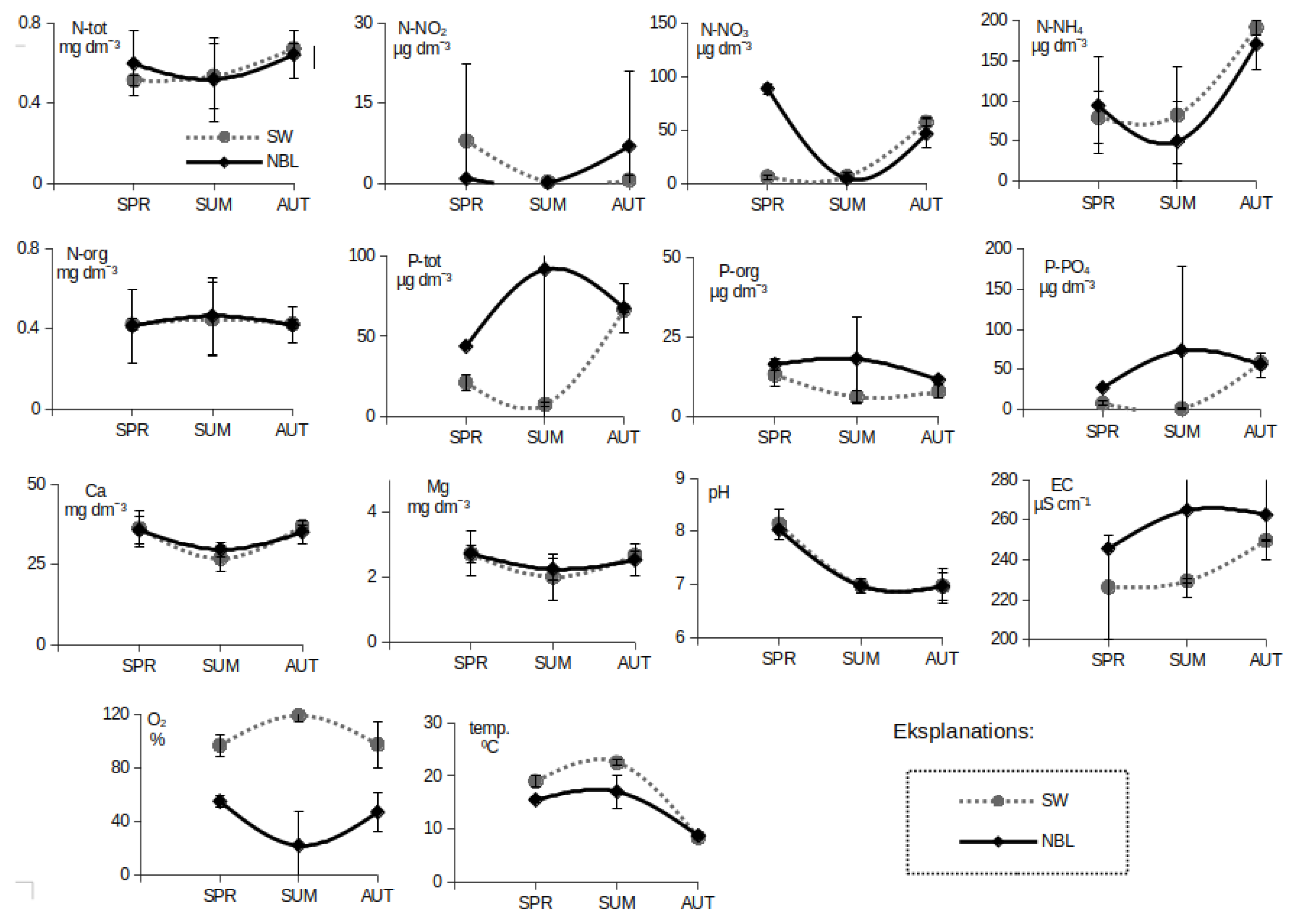
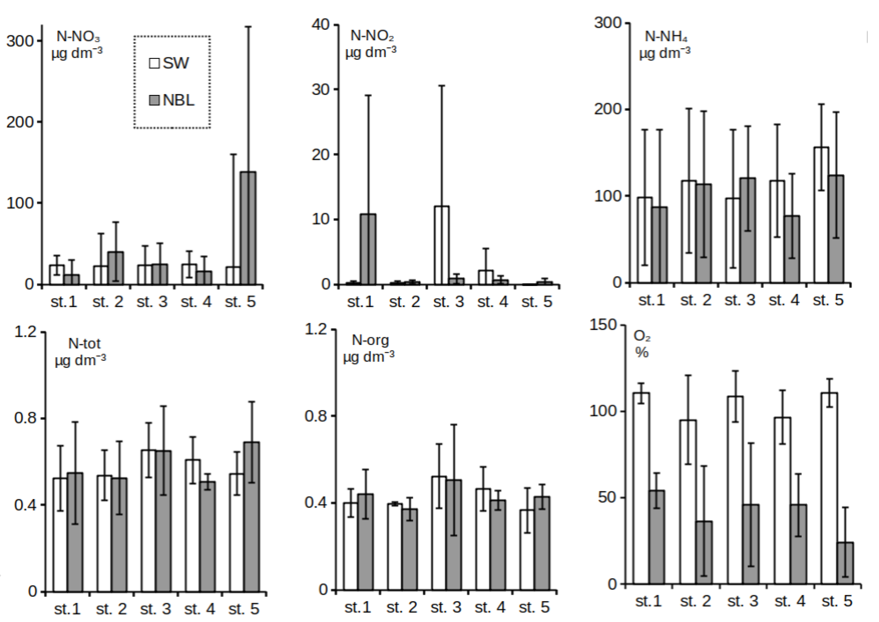
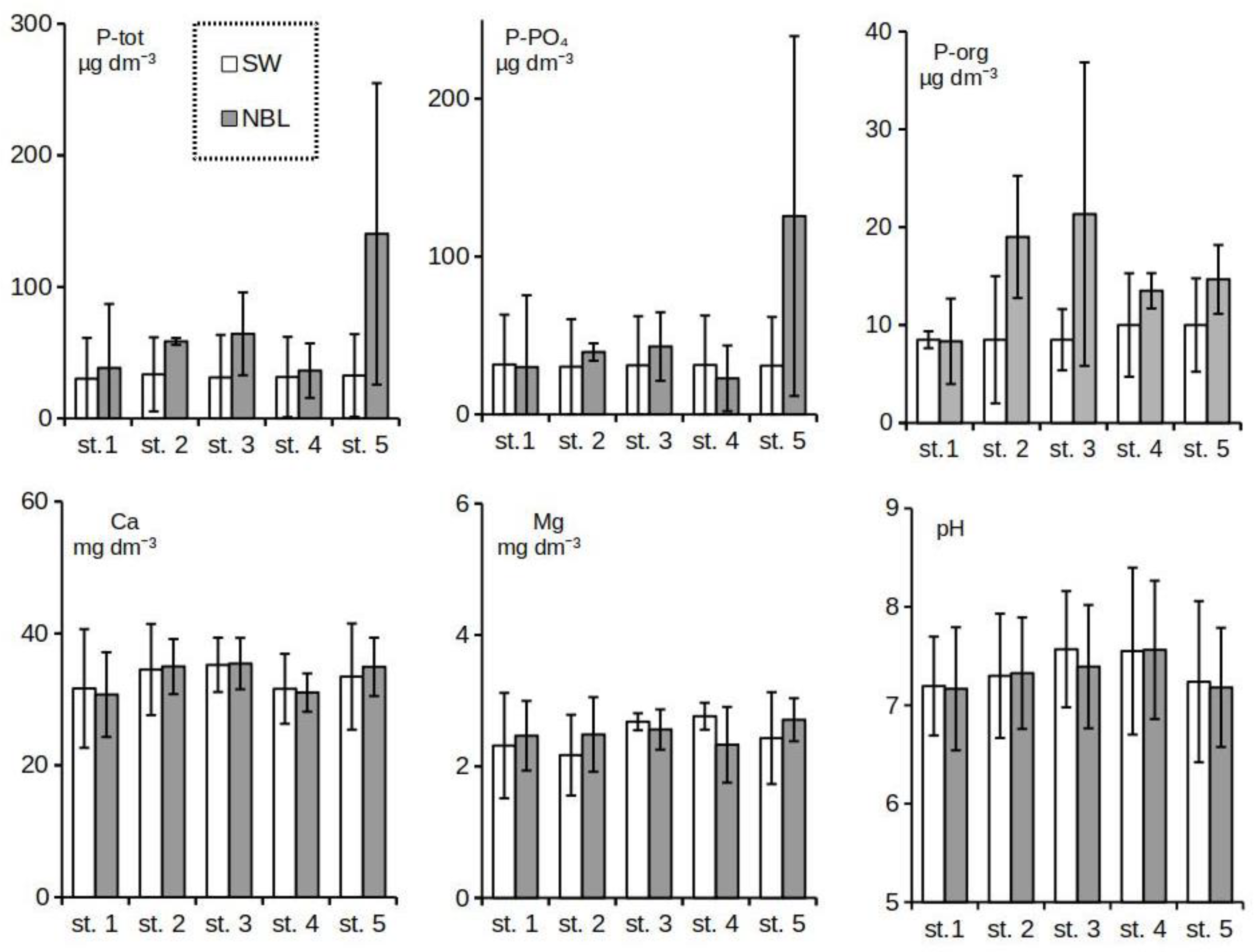
3. Results
4. Discussion
| References | EC | pH | O2 | Mg | Ca | P-PO4 | P-org | P-tot | N-min | N-NH4 | N-NO2 | N-NO3 | N-org | N-tot | Lake Country |
|---|---|---|---|---|---|---|---|---|---|---|---|---|---|---|---|
| µS cm−1 | o | mg dm−3 | mg dm−3 | mg dm−3 | µg dm−3 | µg dm−3 | µg dm−3 | µg dm−3 | µg dm−3 | µg dm−3 | µg dm−3 | mg dm−3 | mg dm−3 | ||
| [39] | 10.5 ± 1.3 | 11.7 ± 3.9 | 11.6 ± 4 | 23.2 ± 8.6 | 18.4 ± 6.5 | 24.9 ± 8.3 | 0.61 ± 0.34 * | Gardno, Poland | |||||||
| [40] | 89.09 | 6.64 | 76.21 | 47.08 | 123.3 | Dołgie Wielkie, Poland | |||||||||
| [15] | 8.22, 8.66 | 35.4, 75.9 | 113.4, 136.0 | 152.1, 199.0 | 22.9, 70.0 | 37.9, 43.6 | 0.82, 1.06 | 0.89, 1.11 | Łebsko, Poland (low and high value from mean on st. 1–5) | ||||||
| [41] | 5.02 | 0.32 | 0.8 | 3.1 | 125 | 0.135 | 0.261 | Lakes South of Norvay (1995 year) | |||||||
| [41] | 5.38 | 0.25 | 0.7 | 3.1 | 71 | 0.159 | 0.23 | Lakes South of Norvay (2019 year) | |||||||
| [42] | 49 (21–100) | 0.637 (0.410–1.200) | Peipsi, Estonia ** | ||||||||||||
| [42] | 102 (52–180) ** | 1.114 (0.64–1.80) | Lämmijärv, Estonia ** | ||||||||||||
| [42] | 21 (54–220) ** | 1.189 (0.930–1.700) | Pihkva, Estonia ** | ||||||||||||
| [43] | 352.42 ± 5.7 | 8.35 ± 0.06 | 10.69 ± 0.81 | 0.02 ± 0.02 *** | 0.15 ± 0.06 *** | 0.65 ± 0.07 *** | 1.35 ± 0.99 | Plitvice Lakes, Croatia data of spring period | |||||||
| [44] | 17.77 (5.56–39.20) | 5.42 (4.61–7.40) | 0.258 (0.034–2.354) | 2.551 (0.241–7.378) | 0.138 NH4+ (0.002–1.159) | 0.688 NO3− (0.001–1.925) | lake waters in the Tatra National Park, Poland | ||||||||
| [45] | 540–835 | 7.0–8.9 | 0–17.96 | 0.02–0.71 *** | 0.04–0.85 *** | 0.9–10.57 *** | 0.53–7.44 *** | 0.0–0.02 *** | 0.0–9.96 *** | 0.55–5.08 | 2.76–13.07 | Swarzęckie, Poland ** | |||
| [46] | 85.4 ± 6.2 | 7.7 ± 0.93 | 7.7 ± 0.9 | 0.037 ± 0.01 | 0.159 ± 0.02 | 0.53 ± 0.11 | 0.3 ± 0.074 | 0.001 ± 0.0004 | 0.24 ± 0.066 | 2.36 ± 1.33 | Jeleń, Poland (2018 year) | ||||
| [47] | 321–368 | 8.12–9.02 | 7.2–14.0 | 49.98–57.83 | 0.16–1.30 *** | Giłwa (Poland) |
5. Conclusions
Author Contributions
Funding
Data Availability Statement
Conflicts of Interest
References
- Trojanowski, J.; Trojanowska, C. Balance and circulation of nutrients in a shallow coastal lake Gardno (North Poland). Arch. Environ. Prot. 2007, 33, 45–57. [Google Scholar]
- Kowalczewska-Madura, K.; Gołdyn, R. Internal loading of phosphorus from sediments of Swarzędzkie Lake (Western Poland). Pol. J. Environ. Stud. 2009, 18, 635–643. [Google Scholar]
- Bartoszek, L. Circulation of phosphorus between overlying water and sediments in the Solina Reservoir ecosystem. J. Civ. Eng. Environ. Archit. 2015, 62, 37–48. [Google Scholar]
- Rozpondek, K.; Rozpondek, R.; Pachura, P. Characteristics of spatial distribution of phosphorus and nitrogen in the bottom sediments of the water reservoir Poraj. J. Ecol. Eng. 2017, 18, 178–184. [Google Scholar] [CrossRef]
- Janicka, E.; Kanclerz, J.; Wiatrowska, K.; Makowska, M. Biogenic compounds and an eutrophication process of Raczyńskie Lake. Ecol. Eng. 2016, 49, 124–130. [Google Scholar] [CrossRef]
- Siemieniuk, A.; Szczykowska, J.; Wiater, J. Eutrophication as a priority issue of water quality in small retention reservoirs. J. Eco. Eng. 2016, 17, 143–147. [Google Scholar] [CrossRef][Green Version]
- Szumińska, D.; Czapiewski, S.; Goszczyński, J. Changes in Hydromorphological Conditions in an Endorheic Lake Influenced by Climate and Increasing Water Consumption, and Potential Effects on Water Quality. Water. 2020, 12, 1348. [Google Scholar] [CrossRef]
- Covich, A.P.; Austen, M.C.; Bärlocher, F.; Chauvet, E.; Cardinale, B.J.; Biles, C.L.; Inchausti, P.; Dangles, O.; Solan, M.; Gessner, M.O.; et al. The role of biodiversity in the functioning of freshwater and marine benthic ecosystems. BioScience 2004, 54, 767–775. [Google Scholar] [CrossRef]
- Boudreau, B.P.; Jørgensen, B.B. The Bethhic Boundary Layer: Transport Processes and Biogeochemistry; Oxford University Press: New York, NY, USA, 2001. [Google Scholar] [CrossRef]
- Kostecki, M.; Janta-Koszuta, K.; Stahl, K.; Łozowski, B. Speciation forms of phosphorus in bottom sediments of three selected anthropogenic reservoirs with different trophy degree. Arch. Environ. Prot. 2017, 43, 44–49. [Google Scholar] [CrossRef]
- Rajkowska-Myśliwiec, M.; Protasowicki, M.; Witczak, A. The Mobility and Distribution of Lead and Cadmium in the Ecosystems of Two Lakes in Poland and Their Effect on Humans and the Environment. Water 2025, 17, 2255. [Google Scholar] [CrossRef]
- Antonowicz, J.; Wróblewski, T. Study of Volatile Organic Compounds in Emission from Bottom Sediments of Three Lakes with Impact of Anthropopression Using the ProtonTransfer Reaction Mass Spectrometry. Limnol. Rev. 2024, 24, 205–216. [Google Scholar] [CrossRef]
- Gaur, V.K.; Gupta, S.K.; Pandey, S.D.; Gopal, K.; Misra, V. Distribution of heavy metals in sediment of river Gomti. Environ. Monit. Assess. 2005, 102, 419–433. [Google Scholar] [CrossRef] [PubMed]
- Moss, B.; Jeppesen, E.; Søndergaard, M.; Lauridsen, T.L.; Liu, Z. Nitrogen, macrophytes, shallow lakes and nutrient limitation: Resolution of a current controversy? Hydrobiologia 2013, 710, 3–21. [Google Scholar] [CrossRef]
- Antonowicz, J. Air-water interface in an estuarine lake: Chlorophyll and nutrient enrichment. Pol. J. Ecol. 2018, 66, 205–216. [Google Scholar] [CrossRef]
- Szymański, D.; Dunalska, J.A.; Jaworska, B.; Bigaj, I.; Zieliński, R.; Nowosad, E. Seasonal variability of primary production and respiration of phytoplankton in the littoral zone of an eutrophic lake. Annu. Set Environ. Prot. 2013, 15, 2573–2590. [Google Scholar]
- Warcino Forest District State Forest Holding: State Forests, Poland, 2024. Available online: https://warcino.szczecinek.lasy.gov.pl/obszary-chronionego-krajobrazu (accessed on 5 August 2024).
- Municipality of Sławno. Official Website of the Sławno Commune Office: Gmina Sławno, Poland, 2024. Available online: https://gminaslawno.pl/ (accessed on 12 October 2024).
- Brodzińska, B.; Jańczak, J.; Kowalik, A.; Lamparska, A.; Rekowska, J.; Sziwa, R. The Atlas of Polish Lakes; Jańczak, J., Ed.; Bogucki Scientific Publishing: Poznań, Poland, 1997; Volume II, p. 256. [Google Scholar]
- Ptak, M. Changes in the area and bathymetry of selected lakes of the Pomeranian Lake District. Geogr. Works 2013, 133, 61–76. (In Polish) [Google Scholar] [CrossRef]
- APHA. Standard Methods for the Examination of Water and Wastewater; American Public Health Association: Washington, DC, USA, 2005. [Google Scholar]
- ISO 15681-1:2003; Water quality—Determination of Orthophosphate and Total Phosphorus Contents by Flow Analysis (FIA and CFA)—Part 1: Method by Flow Injection Analysis (FIA). ISO: Geneva, Switzerland, 2003.
- ISO 13395:1996; Water Quality—Determination of Nitrite Nitrogen and Nitrate Nitrogen and the Sum of Both by Flow Analysis (CFA and FIA) and Spectrometric Detection. ISO: Geneva, Switzerland, 1996.
- ISO 11732:2005; Water Quality—Determination of Ammonium Nitrogen by Flow Analysis (CFA and FIA) and Spectrometric Detection. ISO: Geneva, Switzerland, 2005.
- ISO 29441:2010; Water Quality—Determination of Total Nitrogen After UV Digestion—Method Using Flow Analysis (CFA and FIA) and Spectrometric Detection. ISO: Geneva, Switzerland, 2010.
- TIBCO. Statistica (Data Analysis Software System); Version 13.3; TIBCO Software Inc.: Palo Alto, CA, USA, 2017. [Google Scholar]
- Hammer, Ø.; Harper, D.A.T.; Ryan, P.D. PAST: Paleontological Statistics software package for education and data analysis. Palaeontol. Electronica. 2001, 4, 1–9. [Google Scholar]
- Hammer, Ø. PAST. In Paleontological Statistics. Reference Manual; Natural History Museum, University of Oslo: Oslo, Norway, 2024. [Google Scholar]
- Carlson, R.E. A trophic state index for lakes. Limnol. Oceanogr. 1977, 22, 361–369. [Google Scholar] [CrossRef]
- Bartoszek, K.; Bednorz, E.; Bielec-Bąkowska, Z.; Matuszko, D.; Tomczyk, A.M.; Wibig, J.; Wypych, A. Atlas Klimatu Polski (1991–2020); Tomczyk, A.M., Bednorz, E., Eds.; Bogucki Wydawnictwo Naukowe: Poznań, Poland, 2022; p. 126. [Google Scholar]
- Baranowski, D.; Kirschenstein, M. The climate of Słupsk. Balt. Coast. Zone 2010, 14, 99–120. [Google Scholar]
- Kaiserli, A.; Voutsa, D.; Samara, C. Phosphorus fractionation in lake sediments–Lakes Volvi and Koronia, N. Greece. Chemosphere 2002, 46, 1147–1155. [Google Scholar] [CrossRef]
- Kowalczewska-Madura, K.; Gołdyn, R.; Dondajewska, R. The bottom sediments of Lake Uzarzewskie—A phosphorus source or sink? Oceanol. Hydrobiol. Stud. 2010, 39, 81–91. [Google Scholar] [CrossRef]
- Krasowska, M. Effect of intense precipitation on the leaching of biogenic compounds from agricultural catchment. Ecol. Eng. 2016, 47, 1–9. [Google Scholar] [CrossRef] [PubMed]
- Wojtkowska, M.; Dmochowski, D. Seasonal character of changes in nitrogen forms in waters of Korytów and Łąki Korytowskie retention reservoirs. Environ. Prot. Eng. 2009, 35, 57–66. [Google Scholar]
- Korzeniewski, K.; Trojanowski, J.; Trojanowska, C.; Moczulska, A.; Sałata, W.; Ratajczyk, H. Nutrient transfer in the lakes with trout cage culture. Pol. Ecol. Stud. 1988, 14, 335–383. [Google Scholar]
- Trojanowski, J.; Trojanowska, C.; Ratajczyk, H. Effect of intensive trout culture of Lake Łętowo in its bottom sediments. Pol. Arch. Hydrobiol. 1982, 29, 659–670. [Google Scholar]
- Bing, H.J.; Wu, Y.H.; Sunz, B.; Yao, S.C. Historical trends of heavy metal contamination and their sources in lacustrine sediment from Xijiu Lake, Taihu Lake Catchment, China. J. Environ. Sci. 2011, 23, 1671–1678. [Google Scholar] [CrossRef]
- Trojanowski, J.; Trojanowska, C.; Antonowicz, J. Nitrogen and phosphorus in surface microlayers of an estuarine, shallow lake (north Poland). Ecohydrol. Hydrobiol. 2001, 1, 457–463. [Google Scholar]
- Antonowicz, J. Daily cycle of variability contents of phosphorus forms in surface microlayer of a light salinity Baltic Sea Lagoon lake (North Poland)–Part II. Cent. Eur. J. Chem. 2013, 11, 817–826. [Google Scholar] [CrossRef]
- de Wit, H.A.; Garmo, Ø.A.; Jackson-Blake, L.A.; Clayer, F.; Vogt, R.D.; Austnes, K.; Kaste, Ø.; Gundersen, C.B.; Guerrerro, J.L.; Hindar, A. Changing water chemistry in onethousand Norwegian lakes during threedecades of cleaner air and climatechange. Glob. Biogeochem. Cycles 2023, 37, e2022GB007509. [Google Scholar] [CrossRef]
- Haberman, J.; Haldna, M.; Laugaste, R.; Blank, K. Recent changes in large and shallow lake Peipsi (Estopnia/Russia): Causes and consequences. Pol. J. Ecol. 2010, 58, 645–662. [Google Scholar]
- Vurnek, M.; Matoničkin Kepčija, R. Influence of Experimental Eutrophication on Macrozoobenthos in Tufa-Depositing System of Plitvice Lakes National Park, Croatia. Limnol. Rev. 2025, 25, 14. [Google Scholar] [CrossRef]
- Wolanin, A.; Chmielewska-Błotnicka, D.; Jelonkiewicz, Ł.; Żelazny, M. Spatial variation of the chemical composition of lake waters in the Tatra National Park. Limnol. Rev. 2015, 15, 119–127. [Google Scholar] [CrossRef][Green Version]
- Downing, J.A.; McCauly, E. The nitrogen: Phosphorus relationship in lakes. Lmnol. Oceanogr. 1992, 37, 936–945. [Google Scholar] [CrossRef]
- Antonowicz, J.; Kozak, A. Phytoneuston and chemical composioton of surface microlayer of urban water bodies. Water 2020, 12, 1904. [Google Scholar] [CrossRef]
- Grochowska, J.; Tandyrak, R. Water chemistry of lake Giłwa. J. Elementol. 2010, 15, 89–99. [Google Scholar] [CrossRef]
- Klimaszyk, P.; Borowiak, D.; Piotrowicz, R.; Rosińska, J.; Szeląg-Wasielewska, E.; Kraska, M. The Effect of Human Impact on the Water Quality and Biocoenoses of the Soft Water Lake with Isoetids: Lake Jeleń, NW Poland. Water 2024, 12, 945. [Google Scholar] [CrossRef]
- Potasznik, A.; Sidoruk, M.; Świtajska, I.; Banaszek, Ż. Influence of agricultural development on the content of nitrogen in Lake Symsar. EPISTEME 2013, 18, 225–232. [Google Scholar]
- Geoportal.gov.pl. Available online: www.geoportal.gov.pl (accessed on 24 September 2025).
- Chief Inspectorate for Environmental Protection, Poland. Available online: https://powietrze.gios.gov.pl/depoz/mapa-opadow-ph/ (accessed on 24 September 2025).
- Canham, C.D.; Pace, M.L.; Weathers, K.C.; McNeil, E.W.; Bedford, B.L.; Murphy, L.; Quinn, S. Nitrogen deposition and lake nitrogen concentrations: A regional analysis of terrestrial controls and aquatic linkages. Ecosphere 2012, 3, 66. [Google Scholar] [CrossRef]
- Steinhoff-Wrześniewska, A.; Strzelczyk, M.; Helis, M.; Paszkiewicz-Jasińska, A.; Gruss, Ł.; Pulikowski, K.; Skorulski, W. Identyfication of catchment areas with nitrogen pollution risk for lowland river water quality. Arch. Environ. Prot. 2022, 48, 53–64. [Google Scholar] [CrossRef]







| Parameter and Unit | Value |
|---|---|
| Latitude and longitude | 54°16.2′ 16°49.7′ |
| Surface area (ha) | 402 |
| Volume (103 m3) | 33,128.50 |
| Maximum depth (m) | 18.7 |
| Average depth (m) | 8.2 |
| Maximum length (m) | 2800 |
| Maximum width (m) | 1900 |
| SW | NBL | ||||||||||
|---|---|---|---|---|---|---|---|---|---|---|---|
| Parameter | Unit | Mean | Min. | Max. | SD | Median | Mean | Min. | Max. | SD | Median |
| N-tot | mg dm−3 | 0.6 | 0.4 | 0.8 | 0.1 | 0.5 | 0.6 | 0.4 | 0.9 | 0.2 | 0.5 |
| N-org | mg dm−3 | 0.4 | 0.2 | 0.7 | 0.1 | 0.4 | 0.4 | 0.3 | 0.8 | 0.1 | 0.4 |
| N-org % | % | 75 | 73.8 | ||||||||
| N-NO3 | µg dm−3 | 23 | 2.5 | 63 | 25.2 | 7 | 46.2 | 4 | 342.5 | 85.7 | 15.5 |
| N-NO2 | µg dm−3 | 2.9 | 0 | 33.5 | 8.6 | 0 | 2.6 | 0 | 32 | 8.1 | 0.5 |
| N-NH4 | µg dm−3 | 117.4 | 39 | 205.5 | 65 | 100.5 | 104.4 | 25 | 195.5 | 64.6 | 106 |
| N-min | µg dm−3 | 143.3 | 43.5 | 262 | 84.6 | 113.5 | 153.2 | 29 | 393 | 109.7 | 133.5 |
| P-tot | µg dm−3 | 31.8 | 6.5 | 68 | 26 | 22.5 | 67.6 | 8.5 | 272 | 63 | 59.5 |
| P-org | µg dm−3 | 9.1 | 4.5 | 16 | 3.9 | 8 | 15.4 | 4.5 | 39 | 8.2 | 13 |
| P-org % | % | 28.6 | 22.7 | ||||||||
| P-PO4 | µg dm−3 | 22.7 | 0.5 | 59.5 | 26.2 | 7 | 52.2 | 0.5 | 257 | 61.5 | 44.5 |
| Ca | mg dm−3 | 33.3 | 21.3 | 40.1 | 6 | 36.4 | 33.4 | 21.3 | 38.1 | 4.4 | 33.3 |
| Mg | mg dm−3 | 2.5 | 1.4 | 3.1 | 0.5 | 2.6 | 2.5 | 1.4 | 3 | 0.4 | 2.5 |
| O2 | % | 104.3 | 69.6 | 125.4 | 15 | 104.2 | 41.3 | 3.4 | 120.7 | 23.7 | 44.9 |
| pH | 7.4 | 6.6 | 8.5 | 0.6 | 7.1 | 7.4 | 6.6 | 8.3 | 0.6 | 7.1 | |
| EC | µS cm−1 | 235 | 192.2 | 250.2 | 17.5 | 244.2 | 257.5 | 227.9 | 341.3 | 27.7 | 249.2 |
| Temp. | °C | 16.6 | 8.3 | 23.2 | 6.2 | 19.3 | 13.8 | 8.3 | 22.4 | 4.3 | 14.3 |
| Kruskal–Wallis Test | Post Hoc Dunn Test | ||
|---|---|---|---|
| Parameter | H | p | |
| N-NO3 | 15.68 | *** | Su.–Au. |
| N-NO2 | 0.76 | ns | ns |
| N-NH4 | 16.85 | *** | Sp.–Au., Su.–Au. |
| N-tot | 7.34 | * | Su.–Au. |
| P-PO4 | 11.95 | ** | Sp.–Au., Su.–Au. |
| P-tot | 9.32 | ** | Su.–Au. |
| Ca | 13.27 | ** | Sp.–Su., Su.–Au. |
| Mg | 7.51 | * | Sp.–Su. |
| P-org | 5.89 | ns | ns |
| N-org | 0.19 | ns | ns |
| N-min | 16.83 | *** | Sp.–Au., Su.–Au. |
| N-org% | 13.82 | ** | Su.–Au. |
| pH | 19.5 | *** | Sp.–Su., Sp.–Au. |
| Temp. | 20.84 | *** | Sp.–Au., Su.–Au. |
| EC | 10.37 | * | Sp.–Au., Su.–Au. |
| P-org% | 15.68 | *** | Sp.–Au., Su.–Au. |
| ANOVA test | RIR Tukey test | ||
| Parameter | F | p | |
| O2 | 0.05 | ns | ns |
Disclaimer/Publisher’s Note: The statements, opinions and data contained in all publications are solely those of the individual author(s) and contributor(s) and not of MDPI and/or the editor(s). MDPI and/or the editor(s) disclaim responsibility for any injury to people or property resulting from any ideas, methods, instructions or products referred to in the content. |
© 2025 by the authors. Licensee MDPI, Basel, Switzerland. This article is an open access article distributed under the terms and conditions of the Creative Commons Attribution (CC BY) license (https://creativecommons.org/licenses/by/4.0/).
Share and Cite
Antonowicz, J.; Rybak, M.; Wróblewski, T. A Relationship Between Nutrients in a Mid-Forest Eutrophic Lake. Water 2025, 17, 2913. https://doi.org/10.3390/w17192913
Antonowicz J, Rybak M, Wróblewski T. A Relationship Between Nutrients in a Mid-Forest Eutrophic Lake. Water. 2025; 17(19):2913. https://doi.org/10.3390/w17192913
Chicago/Turabian StyleAntonowicz, Józef, Michał Rybak, and Tomasz Wróblewski. 2025. "A Relationship Between Nutrients in a Mid-Forest Eutrophic Lake" Water 17, no. 19: 2913. https://doi.org/10.3390/w17192913
APA StyleAntonowicz, J., Rybak, M., & Wróblewski, T. (2025). A Relationship Between Nutrients in a Mid-Forest Eutrophic Lake. Water, 17(19), 2913. https://doi.org/10.3390/w17192913

