Next Article in Journal
Integrated Allocation of Water-Sediment Resources and Its Impacts on Socio-Economic Development and Ecological Systems in the Yellow River Basin
Previous Article in Journal
Potential Applications of Light Absorption Coefficients in Assessing Water Optical Quality: Insights from Varadero Reef, an Extreme Coral Ecosystem
 
 
Font Type:
Arial Georgia Verdana
Font Size:
Aa Aa Aa
Line Spacing:
Column Width:
Background:
Article

A Sustainability Evaluation of Large-Scale Water Network Projects: A Case Study of the Jiaodong Water Network Project, China

1
State Key Laboratory of Water Cycle and Water Security, Beijing 100038, China
2
China Institute of Water Resources and Hydropower Research, Beijing 100048, China
*
Author to whom correspondence should be addressed.
Water 2025, 17(19), 2822; https://doi.org/10.3390/w17192822
Submission received: 28 August 2025 / Revised: 16 September 2025 / Accepted: 25 September 2025 / Published: 26 September 2025
(This article belongs to the Section Hydrology)

Abstract

Large-scale water network projects are a crucial approach for the rational allocation of water resources and addressing water resource crises. Reliable sustainability evaluation is essential to ensure the sustainable operation of large-scale water network projects. This study develops an improved Fuzzy Comprehensive Evaluation (FCE) method based on Game Theory weight fusion (GWF) for the quantitative evaluation of the sustainability of water network projects. By combining the Analytic Hierarchy Process (AHP), Entropy Weight Method (EWM), and Game Theory approach, the study integrates the advantages of both subjective and objective weighting methods to achieve the allocation of indicator weights; the sustainability of the Jiaodong Water Network Project was quantitatively evaluated by employing the improved FCE method. The results indicate that the resource and management dimensions are the two most critical factors affecting the sustainability of large-scale water network projects. Indicators with high weight such as per capita water resources, the rationality of the management system, and level of management intelligence are the primary risk factors affecting the sustainable operation of large-scale water network projects. The sustainability evaluation value of the Jiaodong Water Network Project is 82.83 points, which is classified as “high” sustainability. This validates the reliability of the evaluation indicator system and the method used.

1. Introduction

Water resources are of vital significance to the survival and development of human beings [1,2]. In recent years, factors such as climate change, population growth, urbanization, and poor water resource management have led to water scarcity issues on a global scale [3,4,5]. According to the United Nations World Water Development Report of 2023, An estimated 2 to 3 billion people worldwide face water scarcity issues. It is projected that this issue will become more severe in the coming decades, particularly in urban areas. Over the past 40 years, global water usage has been growing at an average rate of approximately 1% per year. It is projected that by 2050, global water consumption will continue to grow at a similar pace, and the number of urban residents facing water scarcity will double, increasing from 930 million in 2016 to between 1.7 and 2.4 billion. SDG6, which was adopted in the United Nations Sustainable Development Goals in 2015, aims to ensure the availability and sustainable management of water and sanitation for all, with the target of achieving this by 2030 [6,7,8]. The specific targets within SDG6 explicitly emphasize the importance of water resource management, which includes providing safe drinking water, improving sanitation conditions, protecting water resource ecosystems, increasing the efficiency of water resource management, and enhancing the capabilities of developing countries in water resource management. By achieving these targets, the United Nations aims to ensure the sustainability of global water resources and to provide clean water for both the current and future generations.
Currently, the progress in implementing SDG6 is falling short of expectations, and global water resources are facing multiple crises and severe challenges. In this context, large-scale water diversion projects can alleviate water scarcity through the rational allocation of water resources, improve water use efficiency, and enhance the stability of water resource systems, thereby improving the regional ecological environment and promoting regional sustainable development. Therefore, constructing large-scale water diversion projects and establishing national or regional water network projects, while minimizing environmental and social impacts, is an important option for addressing water resource crises and enhancing the sustainability of global water resources. The water network projects referred to in this paper are comprehensive water resource allocation systems within a specific area that include water diversion projects, reservoirs, and other water conservancy structures. The sustainability of these projects has a significant impact on the society, economy, and environment of the region where the project is located. This paper posits that the sustainability of large-scale water network projects is a comprehensive concept. It refers to the ability of the water network project to stably perform functions such as water resource allocation, flood control and disaster reduction in river basins, and water environmental protection under a management system throughout its lifecycle. It also encompasses maintaining harmony with the economy, society, and environment, and continuously generating social, economic, and ecological environmental benefits. Furthermore, it involves optimizing water resource allocation and enhancing the level of water security to sustain these capabilities. Therefore, to ensure the sustainable operation of large-scale water network projects, it is necessary to employ reasonable evaluation methods to assess their sustainability.
Research on the evaluation of large projects or systems is extensive. In terms of determining the weights of indicators, both subjective weighting methods and objective weighting methods are widely applied [9,10,11]. Li et al. [12] employed the Analytic Hierarchy Process (AHP) to determine the weights of environmental, economic, and social benefit indicators for sponge city practices. Cunha-Zeri et al. [13] conduct an assessment of nitrogen sustainability in Brazil from 2000 to 2018 applying the Entropy weight method (EWM) to a set of nitrogen-related indicators within four dimensions: environmental, economic, social, and institutional. However, using a single weighting method inevitably leads to two issues: subjective weighting methods are highly subjective and arbitrary, leading to significant differences in assessment results among different experts, while ignoring the influence of actual data; objective weighting methods, on the other hand, rely entirely on observed data, thereby neglecting potentially valuable expert knowledge. Related studies have demonstrated through water quality dynamic evaluation case studies that the weighting results of the EWM cannot accurately reflect the information content and discriminability of indicators under many conditions [14,15]. In response to this issue, Hou et al. [16] proposed a new hierarchical weight integration method that combines the EWM, the Criticality of the Inter-Criteria Correlation (CRITIC) method, and the Order Relation Analysis (G1) method to achieve weight allocation for battery inconsistency indicators. Meng et al. [17] applied the MDM-TOPSIS combined evaluation model to calculate the indicator weights for the water-ecology-economy system. In terms of the overall evaluation, Chen et al. [18] proposed a comprehensive TOPSIS-ORM approach based on the interaction between different indicators to assess the sustainability performance of shrinking cities in Northeast China. Wei et al. [19] employed an integrated Multi-Criteria Decision-Making (MCDM) approach to assess the sustainability of photovoltaic poverty alleviation projects. Lu et al. [20] constructed an evaluation system of the efficiency and resilience of the agricultural water resources system (E-AWRS, R-AWRS) in the Yellow River Basin by comprehensively applying the AHP, entropy method (EVM), SBM-DEA model, and the development coordination model. Overall, some of the existing evaluation methods are overly subjective and ignore the objective reality, while others are too objective and overlook the opinions of experts. There is a lack of a method that combines subjective and objective aspects and can conduct effective evaluations.
In the face of extreme global water scarcity, research on the sustainability of water network projects is notably weak. There is a lack of a systematic and comprehensive indicator system and evaluation methods for the sustainability of water networks. Therefore, research on the sustainability evaluation of large-scale water network projects is highly necessary. To address the aforementioned issues, an improved FCE method based on game theory weight fusion is proposed for the quantitative evaluation of the sustainability of large-scale water network projects. Combining subjective and objective weighting methods enhances the rationality and effectiveness of indicator weight distribution. This method resolves the issue of previous evaluation methods being overly subjective or overly objective, and it has the advantage of combining subjective and objective aspects. The FCE method transforms indicators with uncertain attributes into deterministic ones through the determination of membership degrees, allowing the fuzzy evaluation issues in the assessment process to be quantified. By combining quantitative evaluation with qualitative analysis, it conducts a more scientific and reasonable quantitative assessment, offering significant advantages in both the quality and quantity of information. Building on the traditional Fuzzy Comprehensive Evaluation method, quantitative indicator classification standards are established for the sustainability evaluation indicators of large-scale water network projects. Based on the set of evaluation grades, different levels are assigned corresponding quantitative values. These quantitative values of the evaluation grades are then used to quantify the obtained fuzzy vectors, resulting in clearer and more effective evaluation outcomes.
The main contributions of this study can be summarized as follows:
  • A comprehensive and rational sustainability evaluation indicator system for large-scale water network projects was established by selecting a total of 20 indicators from the five dimensions of resources, society, economy, ecological environment, and management, adhering to the principles of combining quantitative with qualitative methods.
  • By integrating the AHP, EWM, and game theory, a hierarchical weight integration method is proposed. It greatly ensures the accuracy, rationality, and scientificity of indicator weights. Based on the weight magnitude, the key dimensions and indicators affecting the sustainability of large-scale water network projects are identified.
  • The use of the improved FCE method for the quantitative evaluation of water network project sustainability features clear decision-making and strong systematization.
  • A sustainability case evaluation was conducted on the Jiaodong Water Network Project, a representative of regional water network projects in China. The evaluation results validated the rationality and reliability of the indicator system and the improved FCE method based on game theory weight fusion.

2. Materials and Methods

The research framework of this paper is shown in Figure 1. Large-scale water network projects are comprehensive water resource allocation systems with intricate influencing factors. Therefore, a standardized and correct approach is needed to select evaluation indicators. This paper constructs a sustainability evaluation indicator system for large-scale water network projects based on principles of accuracy, applicability, feasibility, combination of dynamic and static factors, and integration of quantitative and qualitative methods. Using the AHP and EWM based on game theory weight fusion, the indicator weights were determined, and the key dimensions and primary indicators affecting the sustainability of large-scale water network projects were identified. An improved Fuzzy Comprehensive Evaluation method was employed to conduct a sustainability evaluation analysis of the Jiaodong Water Network Project in Shandong Province, in order to verify the reliability of the evaluation indicator system and method.

2.1. Establishing a Sustainability Evaluation Indicator System for Large-Scale Water Network Projects

Given that the sustainability of large-scale water network projects is closely related to and mutually reinforcing with external influencing factors such as society, economy, ecological environment, and management, most indicators need to be evaluated based on the current status and development level of resources, society, economy, and ecological environment in the beneficiary areas of the large-scale water network projects.
This paper adopts a three-tier indicator system, comprising the target level, criterion level, and indicator level. The target level represents the overall goal of the evaluation object, which is the sustainability of large-scale water network projects. The criterion level represents the main aspects directly related to the overall goal, including the resource dimension, social dimension, economic dimension, ecological environment dimension, and management dimension. The indicator level represents the specific evaluation indicators for each dimension. Drawing on relevant literature and integrating expert opinions [21,22,23], The final indicator system for evaluating the sustainability of large-scale water network projects is presented in Table 1. Indicators are classified based on the availability of actual data into qualitative and quantitative categories. Additionally, they are categorized based on their impact on the sustainability of large-scale water network projects as either positive or negative.
The sustainability assessment of large-scale water network projects is intrinsically linked to the attributes of water. The resource attribute is the most fundamental characteristic of water, and the primary function of large-scale water network projects is the allocation of water resources. The quantity of water resources in the project’s location directly determines whether the large-scale water network project can operate smoothly. Therefore, when selecting indicators for the resource dimension, it is important to consider indicators that can reflect the volume of water resources in the beneficiary area, as well as the project’s capability in water resource allocation.
The selection of indicators in the social dimension should consider the impact of large-scale water network projects on society and their ability to generate social benefits. By integrating the needs and expectations of relevant stakeholders, the most representative and influential indicators are chosen for evaluation and analysis. These indicators should objectively assess the contributions and impacts of large-scale water network projects on society, including the degree of social stability enhancement, the benefits brought to employment, the volume of water consumption, and the level of social supervision.
The selection of economic indicators should be closely related to the economic benefits of large-scale water network projects themselves and the beneficiary areas, and should effectively measure the economic level of the beneficiary areas as well as the project’s own benefits. These indicators should objectively assess the economic impact of large-scale water network projects on the beneficiary areas and the level of economic development in the beneficiary areas themselves.
The selection of indicators in the ecological environment dimension should be able to objectively assess the ecological and environmental quality of the beneficiary areas of large-scale water network projects, as well as the status of water and soil environments, vegetation coverage, and the corresponding measures representing the governance and protection of the ecological environment and prevention of soil erosion in the beneficiary areas.
The selection of indicators in the management dimension should consider indicators related to the management system, management efficiency, management quality, and management outcomes, to assess the effectiveness and sustainability of project management. It is also necessary to integrate the actual situation and objectives of engineering management and select indicators that can comprehensively reflect the performance and sustainability of project management, ensuring the scientificity and comprehensiveness of the evaluation system.

2.2. AHP

The AHP method is one of the multiple-criteria decision analysis methods developed by Saaty [24,25], evaluating multiple criteria explicitly for structuring and solving decision problems using a scoring and sorting process. In a single level, the relative importance between the i-th element and the j-th indicator based on a certain indicator at the previous level is represented by aij. Assuming there are n indicators participating in the comparison of relative importance, the indicator judgment matrix is constructed as follows:
A   =   ( a ij ) n × n = a 11 a 1 n a n 1 a n n
The judgment matrix is used to determine the importance of each indicator in the sustainability evaluation indicator system of large-scale water network projects, representing the priority and importance among various dimensions and indicators. In terms of indicator scoring, the nine-level scale method is employed, with the use of numbers 1 to 9 and their reciprocals as the judgment scales [26].
Hierarchical single ranking refers to the weight sorting of indicators at one level based on the relative importance of a certain indicator at the previous level. The first step is to calculate the maximum eigenvalue λmax of the judgment matrix. Then, the eigenvector W corresponding to λmax is obtained. The AHP method is used to calculate weights, which requires consistency testing of the indicator scoring results. The purpose of this consistency test is to avoid logical inconsistencies in the sorting by experts. Only when the scoring results pass consistency checks are the matrix data considered valid.

2.3. EWM

The entropy value method (EWM) is based on the amount of information included in different indicators to realize the determination of indicator weights, which is an objective method of determining rights. The steps of calculating indicator weights by entropy value method are as follows [27]:
Assuming that there are m indicators in the evaluation system and n evaluation objects participate in the evaluation, the decision matrix is established as follows:
X   = ( x ij ) n × n = x 11 x 1 n x n 1 x n n
Extreme standardization methods are used to standardize the selected indicators. The calculations are as follows [28]:
Positive indicator:
Y i j = X i j m i n X i j m a x X i j m i n X i j
Negative indicator:
Y i j = m a x X i j X i j m a x X i j m i n X i j
where Xij refers to the standardized value of the j th indicator data of the i th sample value, and Xij represents the original data, max Xij and min Xij represent the maximum and minimum values of the j th indicator of the i th value.
Calculate the proportion of the i th sample value under the j th indicator Rij:
R i j = Y i j i = 1 n   Y i j
Calculating the entropy value of the j entropy value of the indicator Hj:
H j = i = 1 m   R i j ln R i j ln m
Calculate the weights of the indicators Wj:
w j = 1 H j n j = 1 n   H j

2.4. Game Theory Weight Fusion

Game Theory weight fusion (GWF) can integrate the weighting results obtained from different methods to produce a more balanced weight result [29]. This method treats the weights derived from different methods (e.g., AHP, EWM) as strategies from different players in a game. The goal is to find a consensus weight vector that minimizes the divergence from each set of original weights, ultimately reaching a Nash equilibrium compromise. The method flow is as follows:
u = k = 1 L a k · u K T ,   a k > 0
where u is the comprehensive weight vector, uk = [uk1,uk2, …, ukm], m is the number of indicators, k = 1, 2, …, L, L represents the number of weighting methods, and ak is the linear combination coefficient.
The principle of the game-theoretic combination is to find the optimal coefficients ak that minimize the deviation between the final weight Wand each set of basic weights uk. Optimize ak and minimize the deviation between u and uk:
min   k = 1 L a k · u K T u v 2
where v = 1, 2, …, L. Equation (3b) can be transformed into:
u 1 · u 1 T u 1 · u 2 T u 1 · u L T u 2 · u 1 T u 2 · u 2 T u 2 · u L T u L · u 1 T u L · u 2 T u L · u L T a 1 a 2 a L   =   u 1 · u 1 T u 2 · u 2 T u L · u L T
Calculate this to obtain (a1, a2, …, aL), and then normalize the indicators to obtain the subjective and objective weight preference:
a k *   =   a k k = 1 L   a k
Calculate the comprehensive weight vector:
u * = k = 1 L   a k * · u k T
The AHP-EWM fusion weight method based on game theory proposed in this paper systematically solves the core problem of “how to scientifically combine subjective and objective information” in comprehensive evaluation. It provides a mathematically sound (mathematically robust) path so that the final weight distribution can both reflect the will of managers “top-down” and respect the objective laws revealed by the data “bottom-up”, It effectively makes up for the inherent flaws of a single method (e.g., TOPSIS, VIKOR, DEMATEL), and greatly enhances the reliability and credibility of the entire evaluation system.

2.5. Improved Fuzzy Comprehensive Evaluation

The factor set for the fuzzy comprehensive evaluation method has been established in this paper, which is the sustainability evaluation indicator system for large-scale water network projects, as shown in Table 1 above. The set of evaluation levels for the sustainability fuzzy comprehensive evaluation of large-scale water network projects is denoted as V and consists of five levels: very low, low, moderate, high, and very high. “Very high” indicates that the sustainability of the large-scale water network project is very high; “high” indicates that the sustainability is high; “moderate” suggests that the project barely meets the criteria for sustainability; “low” indicates that the project does not meet the sustainability criteria; and “very low” indicates that the project is far from achieving sustainability.
The membership degree of qualitative indicators is determined through the expert evaluation method. Suppose a total of X experts are invited to determine the membership degree based on the evaluation level set V = (very low, low, moderate, high, very high). The indicator membership function is then expressed as n/X, where n represents the number of experts who assign the same evaluation level. Assuming there are 10 experts, and 3 experts rate the indicator as “very high,” while 7 experts rate it as “high,” the membership degree of the indicator would be (0, 0, 0, 0.7, 0.3). Determination of Membership Degree for Quantitative Indicators.
First, dimensionless processing is performed on quantitative indicators with different dimensions and orders of magnitude. Subsequently, the membership degrees for positive and negative indicators are determined separately. The membership functions are as follows [30]:
Positive indicators:
f   ( x )   =   0 ,    x     y i x     y i Y i     y I , y i < x   <   Y i 1 ,    x Y I
Negative indicators:
f   ( x ) = 1 ,    x     y i Y i x Y i     y I , y i < x <   Y i 0 ,    x   Y I
where x represents the actual numerical value of the quantitative indicator, Yi and yi, respectively, denote the interval range values for the i-th evaluation level, with Yi > yi. f(x) represents the membership degree of the quantitative indicator to the respective evaluation level.
The grading standards for quantitative indicators of sustainability evaluation for large-scale water network projects should aim at achieving the sustainable development of these projects. In this paper, the grading standards for quantitative indicators of sustainability evaluation for large-scale water network projects are also divided into five levels: “Very Low (Level I)”, “Low (Level II)”, “Moderate (Level III)”, “High (Level IV)”, and “Very High (Level V)”. The grading standards for quantitative indicators are determined through reference to relevant literature and expert discussions based on actual conditions. The grading standards for quantitative indicators of sustainability evaluation for large-scale water network projects are presented in Table 2. Due to the specific nature of the per capita water consumption in the benefit area (A22) and the comprehensive water price in the benefit area (A32), a limit value should be set for the “Very High (Level V)” standard. If this limit is exceeded, the indicator is treated according to the “Very Low (Level I)” standard.
Using the Composition operator to combine the weights W of the sustainability evaluation indicators for large-scale water network projects with their fuzzy relation matrix R, the fuzzy comprehensive evaluation result vector B is obtained as follows:
B   =   W · R = ( w 1 , w 2 ,   ,   w i ) r 11 r 12 r 1 j r 21 r 22 r 2 j r i 1 r i 2 r ij   =   ( B 1 ,   B 2 ,   ,   B i )
where Bi refers to the fuzzy comprehensive evaluation result of a single level, and the final vector B of the fuzzy comprehensive evaluation is obtained in sequence from different levels.
The result obtained from the fuzzy comprehensive evaluation is actually a fuzzy vector, which can characterize the fuzzy condition of the evaluation object. However, this result is not conducive to horizontal and vertical comparisons between the sustainability evaluation results of large-scale water network projects. Therefore, it is necessary to quantify the fuzzy vector. In this paper, the weighted average method is used to establish quantitative values corresponding to different levels based on the evaluation level set. By applying these quantitative values to the obtained fuzzy vector for weighted processing, the evaluation results can be made clearer and more effective. The score ranges and quantitative values corresponding to different evaluation levels are presented in Table 3.
In this paper, the weighted average method is chosen to process the fuzzy vector:
S   =   B 1 × 92.5   +   B 2 × 77.5 + B 3 × 62.5   +   B 4 × 47.5   +   B 5 × 32.5
where S represents the final score result of the sustainability evaluation for large-scale water network projects, and Bi (i = 1, 2, 3, 4, 5) are the vector values of the fuzzy comprehensive vectors at different criterion levels.

2.6. Case Study

The Jiaodong Water Network Project is an essential component of the modern water network in Shandong Province. It consists of the Jiaodong Water Diversion Project (JDDP), Yellow River to Qingdao Water Diversion Project (YQDP), Yellow River to the East Water Diversion Project (YEDP), Yellow River to Xiashan Water Diversion Project (YXDP), the Xiashan Reservoir, and other water diversion and key water control projects. The project’s benefit area encompasses the cities of Qingdao, Yantai, Weifang, and Weihai [31]. The overall distribution of the Jiaodong Water Network Project is shown in Figure 2.
The JDDP and YQDP have an annual total water conveyance capacity of 486 million cubic meters, of which 109 million cubic meters of Yellow River water is conveyed to Qingdao annually, 130 million cubic meters of Yangtze River water is conveyed, 100 million cubic meters of Yangtze River water is conveyed to Weifang annually, 965 million cubic meters of Yangtze River water is conveyed to Yantai annually, and 50 million cubic meters of Yangtze River water is conveyed to Weihai annually. The YEDP has an annual water supply capacity of 315 million cubic meters. The Xiashan Reservoir is the largest reservoir in Shandong Province, and its water supply services are divided into several major parts, including water supply for urban and rural domestic use and industrial enterprises, agricultural water use in irrigation areas, ecological water replenishment, and inter-basin water transfer. The water supply coverage includes the main urban area of Weifang, the Binhai District, the Hanting District, the Xiashan District, the Changyi City, and the Gaomi City, benefiting a population of more than 2.6 million. The Jiaodong Water Network Project has greatly alleviated the water resource shortage in the four cities of Jiaodong and significantly improved the water resource allocation capacity of the Shandong Peninsula, which is of great significance for ensuring the sustainable economic and social development of the Shandong Peninsula.
The benefit area of the Jiaodong Water Network Project encompasses the four cities of Jiaodong: Qingdao, Yantai, Weihai, and Weifang. The data span from 2013 to 2022, with indicator data sourced from the “Shandong Water Resources Bulletin,” the “Shandong Soil and Water Conservation Bulletin,” the “Shandong Ecological and Environmental Status Bulletin” (http://wr.shandong.gov.cn, accessed on 13 May 2024), the “Shandong Statistical Yearbook” (http://tjj.shandong.gov.cn, accessed on 13 May 2024), and field research results of the Jiaodong Water Network Project. A total of 10 experts in the fields of water engineering management and water resources management were invited to fill out a questionnaire on the sustainability evaluation indicator weights for large-scale water network projects, in order to obtain the initial data for the AHP. These 10 experts all come from research institutes or universities, including the China Institute of Water Resources and Hydropower Research, Hohai University, North China Electric Power University. The data sources of this study have high authority and reliability. All official data are taken from the annual bulletins and statistical yearbooks released by the Shandong Provincial Department of Water Resources and the Bureau of Statistics, ensuring the standardization and continuity of the data. The field research results provide important information on the spot. However, cross-departmental and cross-year data may have minor differences in statistical scope and standards, and consistency needs to be ensured through normalization processing. In terms of subjective weights, although 10 domain experts were invited to conduct AHP scoring, which to some extent reduced individual subjectivity, there may still be deviations in the understanding and judgment of qualitative indicators within the expert group. Subsequently, the weight results need to be further optimized by combining EWM and game theory.
In the process of improving the fuzzy comprehensive evaluation model, it is necessary to determine the membership degrees of quantitative and qualitative indicators based on the evaluation object. Utilizing the indicator data of the Jiaodong Water Network Project over the past decade, the average values of quantitative indicator data are taken to determine the quantitative membership degrees. Based on the classification standards for quantitative indicators of large-scale water network projects (Table 3), the membership Functions (4a) and (4b) are employed to determine the quantitative indicator membership degrees of the Jiaodong Water Network Project. For qualitative indicators, 10 experts in the fields of water engineering management and water resources management are invited to conduct evaluations. The final determination of the sustainability evaluation indicator membership degrees for the Jiaodong Water Network Project is presented in Table 4.

3. Results

3.1. The Calculation Results of Indicator Weights

The results of the indicator weights calculated using the AHP are shown in Figure 3. The Consistency Ratio (CR) for the criterion layer weights is 0.0081, which is less than 0.1. The CR for the individual indicator layer sorting is also less than 0.1 for all indicators. The CR for the total hierarchy sorting is 0.0073, which is less than 0.1. This indicates that the weight results obtained from the AHP meet the consistency requirements. Based on the weight calculation results of the AHP, it can be observed that the order of importance for the criterion layer is as follows: resource dimension, management dimension, economic dimension, ecological dimension, and social dimension. In the total hierarchy sorting of the indicator layer, the top five indicators with the highest weights are: per capita water resources in the benefit area, rationality of the management system, environmental quality compliance rate in the benefit area, water supply modulus in the benefit area, and water output per unit in the benefit area. The indicator for per capita water resources holds a weight of 0.1632, significantly higher than other indicators, leading the list by a wide margin. The top five indicators with the lowest weights are: vegetation coverage rate in the benefit area, degree of management standardization, control rate of soil erosion in the benefit area, employment benefits in the benefit area, and per capita GDP in the benefit area, respectively.
The specific results of the indicator weight calculation using the entropy method are shown in Figure 4. It can be observed that the order of importance for the criterion layer is as follows: resource dimension, management dimension, ecological environment dimension, economic dimension, and social dimension. The top five indicators with the highest weights in the indicator layer are: water supply modulus in the benefit area, rationality of the management system, water production modulus in the benefit area, per capita water resources in the benefit area, and satisfaction rate of ecological water use in the benefit area. The bottom five indicators with the lowest weights are: comprehensive water price in the benefit area, employment benefits in the benefit area, environmental quality compliance rate in the benefit area, per capita water consumption in the benefit area, and control rate of soil erosion in the benefit area, respectively. The distribution of indicator weights is relatively balanced.
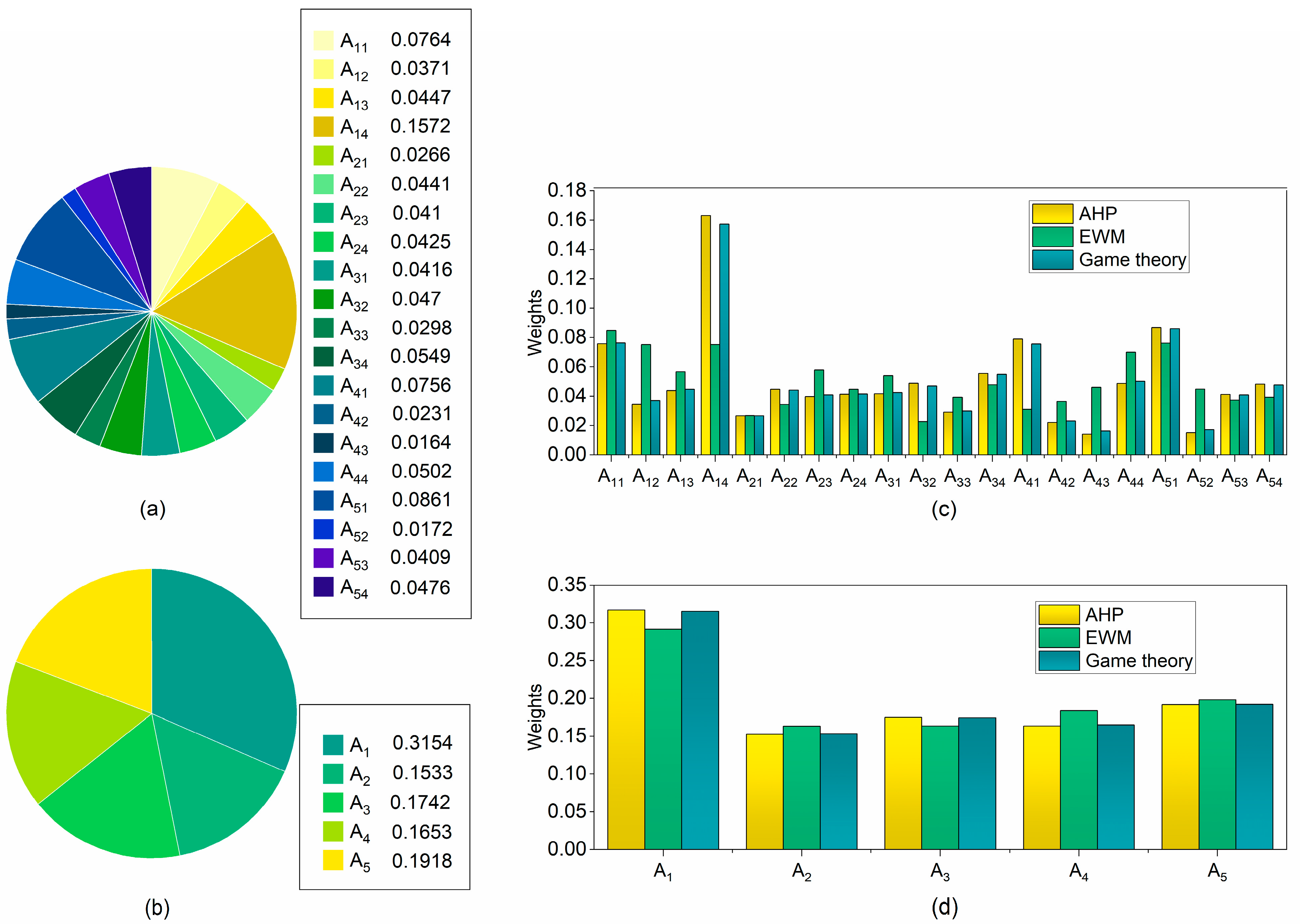
The indicator weight statistical results from the AHP and the entropy method, along with the GWF results, are summarized and ranked, with the detailed outcomes presented in Figure 5. Based on the calculation results of the GWF, the order of importance for the criterion layer is as follows: resource dimension, management dimension, economic dimension, ecological environment dimension, and social dimension. This order is the same as the weight ranking of the five dimensions obtained from the AHP method, although the specific weight values have changed.
In terms of the indicator layer, the weights obtained through the GWF method show varying degrees of change when compared to the weights derived from the AHP and EWM. For the resource dimension, the indicators are ranked from highest to lowest weight as follows: per capita water resources in the benefit area, water supply modulus in the benefit area, water production coefficient in the benefit area, and water production modulus in the benefit area. The indicator for per capita water resources in the benefit area still ranks first among all indicators in terms of weight, although its specific weight value has decreased. For the social dimension, the indicators are ranked from highest to lowest weight as follows: per capita water consumption in the benefit area, the strength of water resources supervision in the benefit area, the stability of society in the benefit area, and the employment benefits in the benefit area. The ranking of these indicators is relatively low, indicating a smaller impact on the sustainability of large-scale water network projects.
In the economic dimension, the indicators are ranked from highest to lowest weight as follows: water supply benefits in the benefit area, comprehensive water price in the benefit area, internal rate of return on investment, and per capita GDP in the benefit area. Among these, the indicators for water supply benefits and comprehensive water price in the benefit area are ranked 5th and 8th in terms of weight, respectively. For the ecological environment dimension, the indicators are ranked from highest to lowest weight as follows: environmental quality compliance rate in the benefit area, satisfaction rate of ecological water use in the benefit area, control rate of soil erosion in the benefit area, and vegetation coverage rate in the benefit area. Among these, the indicators for environmental quality compliance rate and satisfaction rate of ecological water use in the benefit area rank high at 4th and 6th, respectively, in terms of weight. In the management dimension, the indicators are ranked from highest to lowest weight as follows: rationality of the management system, level of management intelligence, effectiveness of fund management, and degree of management standardization. The indicator for rationality of the management system ranks 2nd among all indicators in terms of weight.

3.2. Sustainability Evaluation

Based on the indicator weight results obtained from the AHP, EWM and GWF method, the sustainability evaluation of the Jiaodong Water Network Project is conducted. Here, only the vector calculation process of the GWF method is demonstrated, to perform this evaluation, the weights of the criterion layer are normalized, and the weight vectors for the indicator layer and the criterion layer are obtained as follows:
W1 = [0.2429, 0.1152, 0.1421, 0.4998],
W2 = [0.1735, 0.2877, 0.2674, 0.2714],
W3 = [0.2440, 0.2698, 0.1711, 0.3151],
W4 = [0.4574, 0.1397, 0.0992, 0.3037],
W5 = [0.4489, 0.0897, 0.2133, 0.2481],
W = [0.3154, 0.1533, 0.1742, 0.1653, 0.1918].
W1, …, W5 represent the weight vectors for the indicator layers of the resource, social, economic, ecological environment, and management dimensions, respectively. W represents the weight vector for the criterion layer.
Based on the membership degrees of the indicators, the fuzzy relation matrix for each dimension’s indicator layer is constructed as follows:
R 1 = 0 0 0.52 0.48 0 0 0 0 0 1 0 0 0 0.70 0.30 0 0 0 0 1 ,   R 2 = 0 0 0 0.3 0.7 0.26 0.74 0 0 0 0 0 0 0 1 0 0 0 0.1 0.9
R 3 = 0 0 0 0.89 0.11 0 0.44 0.56 0 0 0 0 0 0 1 0 0 0 0.2 0.8 ,    R 4 = 0 0 0 0.60 0.40 0 0 0 0.79 0.21 0 0 0.83 0.17 0 0 0 0 0.91 0.09
R 5 = 0 0 0 0.1 0.9 0 0 0 0.2 0.8 0 0 0 0 1 0 0 0 0.3 0.7
R1, …, R5 represent the fuzzy relation matrices for the indicator layers of the resource, social, economic, ecological environment, and management dimensions, respectively.
By using the quantified values of the evaluation levels from Table 4 and employing the weighted average method (5d), the fuzzy vectors B1, B2, B3, B4, B5 are processed, and the results are presented in Figure 6. As can be seen from the figure, The sustainability scores under the three weights are different. Taking the management indicators as an example, the score of AHP is the highest, that of EWM is the lowest, and that of GWF is in the middle. This indicates that experts generally recognize the management level of the Jiaodong Water Network Project. However, the EWM cannot reflect this point, while GWF achieves a combination of subjective and objective factors and obtains a relatively moderate result. The sustainability evaluation value of GWF for the resource dimension of the Jiaodong Water Network Project is 85.43, with a sustainability evaluation of “very high”; for the social dimension, the sustainability evaluation value is 77.24, with a sustainability evaluation of “high”; for the economic dimension, the sustainability evaluation value is 78.44, with a sustainability evaluation of “high”; for the ecological environment dimension, the sustainability evaluation value is 79.85, with a sustainability evaluation of “high”; and for the management dimension, the sustainability evaluation value is 90.44, with a sustainability evaluation of “very high”. The fuzzy comprehensive evaluation vector B for the target layer is processed, yielding a sustainability evaluation value S = 82.83 for the Jiaodong Water Network Project, with a sustainability evaluation of “high”.

4. Discussion

The combination of AHP, EWM, and GWF for determining indicator weights, as evidenced in the results, demonstrates that the GWF method can optimize the process of determining weights. By combining the subjective weights determined by AHP with the objective weights determined by EWM, the method takes into account expert opinions while also being grounded in actual data. This approach reduces errors in the combination weighting process, enhances the accuracy and reasonableness of the indicator weights, and thus increases the credibility of the evaluation results. Numerous studies across various fields that have adopted the game theory combination weighting method have confirmed this [32,33,34,35]. The weight determination method based on the integration of AHP and EWM in game theory can balance subjective and objective information. However, its results are highly dependent on the accuracy of expert judgments in AHP and the quality of data used in EWM. Moreover, the calculation process is complex, and the final balanced weight also has certain limitations in practical interpretability.
Discussion based on the weight results from the GWF method: Large-scale water network projects are fundamentally designed for water resource allocation [36], Consequently, the quantity of water resources in the beneficiary area is a critical factor influencing the sustainability of such projects. The resource dimension emerges as the most influential factor affecting the sustainability of large-scale water network projects [37]. In the context of the management dimension, indicators such as the rationality of the management system and the level of management intelligence directly determine whether a large-scale water network project can operate stably and effectively. These factors are crucial for management efficiency and the correctness of management decisions. Consequently, the management dimension ranks second in terms of importance [38,39]. The economic dimension is a critical aspect for measuring the economic benefits of a large-scale water network project. Economic viability is a fundamental requirement for the sustainable operation of the project, and it has a direct impact on its sustainability [40]. The ecological environment dimension and the social dimension reflect the environmental and social impacts of a large-scale water network project on the beneficiary area. These dimensions are interdependent and mutually reinforcing yet mutually constraining. Although they may have a smaller weight in the overall assessment, they are still crucial for ensuring the sustainability of large-scale water network projects [41]. In terms of the indicator layer, per capita water resources are the most critical indicator affecting the sustainability of a large-scale water network project. The social dimension indicators have a relatively smaller impact on the sustainability of the project, while indicators such as water supply benefits and comprehensive water price in the beneficiary area have a significant impact. Additionally, environmental quality and ecological water use are indispensable components for measuring the sustainability of large-scale water network projects [42], Furthermore, the rationality of the management system is crucial for the sustainability of large-scale water network projects.
In the sustainability assessment of large-scale water network projects, there are often significant trade-offs between ecological sustainability and economic development, as well as between management efficiency and social benefits. On the one hand, ecological protection often demands stricter water resource management, higher pollution control standards and a more conservative intensity of water resource development, which may increase economic costs and restrict regional development speed in the short term. The pursuit of economic growth may tend to expand the scale of water use and accelerate the pace of development, thereby intensifying the pressure on water ecology. On the other hand, the improvement of management efficiency usually relies on technological optimization and institutional intensification, such as achieving water conservation and efficiency increase through digital dispatching. However, if efficiency is overly emphasized, the water fairness of vulnerable groups, cultural water usage habits or traditional livelihoods may be overlooked, leading to damage to social benefits. Conversely, if there is an excessive pursuit of extensive coverage of social benefits, such as unconditionally maintaining low water prices and ensuring employment in high-water-consuming industries, it may weaken management efficiency, lead to resource waste and long-term degradation of system sustainability. Therefore, the ideal operation of water network projects needs to seek a dynamic balance among these dimensions, such as converting ecological value into economic benefits through innovative mechanisms, or enhancing management efficiency while implementing fairness compensation measures, so as to achieve the overall coordinated development of the system.
By conducting a sustainability evaluation of the Jiaodong Water Network Project, its sustainability across different dimensions has been determined [43]. The evaluation results indicate that the sustainability of the Jiaodong Water Network Project in the resource dimension is “very high.” The beneficiary area of the project includes the four cities of Qingdao, Yantai, Weifang, and Weihai in the Jiaodong region, where the per capita water resources are relatively low, far below the world average. This is related to China’s unique water resource endowment. The Jiaodong Water Network Project has greatly alleviated the water shortage in the Jiaodong area, demonstrating strong water resource allocation capabilities. The project annually transports over 800 million cubic meters of water to the Jiaodong region, effectively addressing the water supply issues of the local population. Consequently, the four cities in the Jiaodong region are highly dependent on the Jiaodong Water Network Project. Therefore, from the resource dimension perspective, the sustainability of the Jiaodong Water Network Project is very high. The Jiaodong Water Network Project has been evaluated with a sustainability rating of “high” in both the social and economic dimensions. The project has effectively resolved the water supply issues for the people in the Jiaodong region, resulting in a certain degree of employment benefits and demonstrating a high social impact and public satisfaction. The project’s sustainability in the ecological dimension is also rated as “high.” This is due to the relatively high compliance rate of environmental quality standards in the beneficiary area, as well as the achievement of a certain level of vegetation coverage. Additionally, efforts in soil erosion control and ecological water use have also yielded positive results.
The Jiaodong Water Network Project has been evaluated with a sustainability rating of “very high” in the management dimension, indicating that the project’s management system, degree of management standardization, and level of management intelligence are all at a very high level. In October 2023, the Ministry of Water Resources of China announced the first batch of standardized management diversion projects, and the Jiaodong Water Diversion Project was recognized as a standardized management diversion project by the Ministry of Water Resources. Only three diversion projects nationwide were included in the list, which indicates that the Jiaodong Water Diversion Project’s achievements in management have been recognized by the national level, thus confirming the reliability of the evaluation results presented in this paper.

5. Conclusions

This paper proposes an improved FCE method based on GWF to quantitatively evaluate the sustainability of large-scale water network projects. An indicator system for evaluating the sustainability of large-scale water network projects is established, comprising five dimensions: resources, society, economy, ecological environment, and management, with a total of 20 indicators. The weights of the sustainability evaluation indicators for large-scale water network projects are determined through a combination of AHP and EWM, and further refined using GWF. This approach identifies the key dimensions and main indicators that affect the sustainability of large-scale water network projects. The order of importance for the criterion layer is as follows: resource dimension, management dimension, economic dimension, ecological environment dimension, and social dimension. This indicates that resources and management are the two most critical dimensions that affect the sustainability of large-scale water network projects. The high-weighted indicators in the indicator layer include per capita water resources, rationality of the management system, water supply benefits in the beneficiary area, comprehensive water price in the beneficiary area, and level of management intelligence, among others. These are the main risk factors that influence the sustainable operation of large-scale water network projects. Therefore, it is necessary to conduct in-depth research on these indicators to ensure the sustainability of large-scale water network projects.
Based on the sustainability evaluation indicator system for large-scale water network projects, an improved FCE method was employed to quantitatively assess the sustainability of the Jiaodong Water Network Project. The evaluation yielded a sustainability score of 82.83 for the project, with a sustainability assessment of “high.” The sustainability assessments for the five dimensions of the project—resource, society, economy, ecological environment, and management—were ranked as “very high,” “high,” “high,” “high,” and “very high,” respectively. The management dimension had the highest score, followed by the resource dimension, which are the primary factors contributing to the high sustainability of the Jiaodong Water Network Project. Additionally, the project should be mindful of the social and ecological impacts it generates and strive to enhance its economic efficiency to further improve its sustainability. The indicator system and the improved FCE method based on GWF proposed in this paper are effective in evaluating the sustainability of large-scale water network projects. Based on the assessment results, the system’s vulnerable points and development opportunities can be identified. For instance, if the assessment indicates a sharp conflict between economic development and ecological protection, ecological compensation mechanisms can be designed accordingly, water-saving industries or green financing projects can be guided to develop, and constraints can be transformed into innovative impetus. This research contributes to ensuring the sustainable operation of such projects, thereby assisting in addressing global water resource crises.

Author Contributions

Y.Q.: Writing—original draft, Methodology, Conceptualization, Data curation, C.L.: Writing—review & editing, Supervision. All authors have read and agreed to the published version of the manuscript.

Funding

This research was funded by the National High Technology Research and Development Program of China (No.2021YFC3200205); and the Special Project of Basic Scientific Research Business Expenses of China Institute of Water Resources and Hydropower Research: Evaluation Index and Method System of Happy Rivers and Lakes Based on River Ethics (90022516).

Data Availability Statement

The original data presented in the study are openly available in Shandong Water Resources Bulletin at http://wr.shandong.gov.cn. accessed on 13 May 2024.

Conflicts of Interest

The authors declare that they have no known competing financial interests or personal relationships that could have appeared to influence the work reported in this paper.

References

  1. Abbott, B.W.; Bishop, K.; Zarnetske, J.P.; Minaudo, C.; Chapin, F.S.; Krause, S.; Hannah, D.M.; Conner, L.; Ellison, D.; Godsey, S.E.; et al. Pinay, Human domination of the global water cycle absent from depictions and perceptions. Nat. Geosci. 2019, 12, 533. [Google Scholar] [CrossRef]
  2. Pokhrel, Y.; Felfelani, F.; Satoh, Y.; Boulange, J.; Burek, P.; Gaedeke, A.; Gerten, D.; Gosling, S.N.; Grillakis, M.; Gudmundsson, L.; et al. Wada, Global terrestrial water storage and drought severity under climate change. Nat. Clim. Change 2021, 11, 226–233. [Google Scholar] [CrossRef]
  3. Salehi, M. Global water shortage and potable water safety; Today’s concern and tomorrow’s crisis. Environ. Int. 2022, 158, 106936. [Google Scholar] [CrossRef]
  4. Asif, Z.; Chen, Z.; Sadiq, R.; Zhu, Y. Climate Change Impacts on Water Resources and Sustainable Water Management Strategies in North America. Water Resour. Manag. 2023, 37, 2771–2786. [Google Scholar] [CrossRef]
  5. Scanlon, B.R.; Fakhreddine, S.; Rateb, A.; de Graaf, I.; Famiglietti, J.; Gleeson, T.; Grafton, R.Q.; Jobbagy, E.; Kebede, S.; Kolusu, S.R.; et al. Global water resources and the role of groundwater in a resilient water future. Nat. Rev. Earth Environ. 2023, 4, 87–101. [Google Scholar] [CrossRef]
  6. Demydenko, A. What SDG6 is about: ‘sustainable management’ or ‘rational use’? Water Policy 2020, 22, 1015–1023. [Google Scholar] [CrossRef]
  7. Wang, Y.; He, W.; Chen, C.; Zhang, X.; Tang, H.; Li, P.; Tong, Y.; Li, M.; Lin, Y.; Yu, J.; et al. Different countries need strengthen water management to improve human health. J. Clean. Prod. 2022, 380, 134998. [Google Scholar] [CrossRef]
  8. Stephens, C.M.; Ho, M.; Schmeidl, S.; Pham, H.T.; Dansie, A.P.; Leslie, G.L.; Marshall, L.A. International capacity building to achieve SDG6: Insights from longitudinal analysis of five water operator partnerships. Int. J. Water Resour. Dev. 2023, 39, 557–575. [Google Scholar] [CrossRef]
  9. Tabassum, A.; Sajjad, A.; Sajid, G.H.; Ahmad, M.; Iqbal, M.; Khan, A.H.A. Assessing Recharge Zones for Groundwater Potential in Dera Ismail Khan (Pakistan): A GIS-Based Analytical Hierarchy Process Approach. Water 2025, 17, 1586. [Google Scholar] [CrossRef]
  10. Yuan, Y.; Song, J.; Liu, M.; Li, J.; Yang, J.; Zhang, Y. Construction and Application of Marine Ecological Restoration Project Effect Assessment System Based on Analytic Hierarchy Process. Water 2025, 17, 1334. [Google Scholar] [CrossRef]
  11. Fu, L.; Shi, X.; Fan, J.; Li, P.; Hong, Y.; Liu, X.; Li, W. A novel comprehensive evaluation system for the feasibility of salt cavern hydrogen storage (SCHS). Renew. Energy 2025, 253, 123611. [Google Scholar] [CrossRef]
  12. Li, Q.; Wang, F.; Yu, Y.; Huang, Z.; Li, M.; Guan, Y. Comprehensive performance evaluation of LID practices for the sponge city construction: A case study in Guangxi, China. J. Environ. Manag. 2019, 231, 10–20. [Google Scholar] [CrossRef]
  13. Cunha-Zeri, G.; Guidolini, J.F.; Branco, E.A.; Ometto, J.P. How sustainable is the nitrogen management in Brazil? A sustainability assessment using the Entropy Weight Method. J. Environ. Manag. 2022, 316, 115330. [Google Scholar] [CrossRef]
  14. Qian, B.; Zhu, Y.; Wang, Y.; Yan, F. Can Entropy Weight Method Correctly Reflect the Distinction of Water Quality Indices? Water Resour. Manag. 2020, 34, 3667–3674. [Google Scholar] [CrossRef]
  15. Zhe, W.; Xigang, X.; Feng, Y. An abnormal phenomenon in entropy weight method in the dynamic evaluation of water quality index. Ecol. Indic. 2021, 131, 108137. [Google Scholar] [CrossRef]
  16. Hou, J.; Gao, T.; Yang, Y.; Wang, X.; Yang, Y.; Meng, S. Battery inconsistency evaluation based on hierarchical weight fusion and fuzzy comprehensive evaluation method. J. Energy Storage 2024, 84, 110878. [Google Scholar] [CrossRef]
  17. Meng, Y.; Wang, M.; Xu, W.; Guan, X.; Yan, D. Structure construction, evolution analysis and sustainability evaluation of Water-Ecological-Economic system. Sustain. Cities Soc. 2022, 83, 103966. [Google Scholar] [CrossRef]
  18. Chen, Y.; Zhang, D. Evaluation and driving factors of city sustainability in Northeast China: An analysis based on interaction among multiple indicators. Sustain. Cities Soc. 2021, 67, 102721. [Google Scholar] [CrossRef]
  19. Wei, Q. Sustainability evaluation of photovoltaic poverty alleviation projects using an integrated MCDM method: A case study in Guangxi, China. J. Clean. Prod. 2021, 302, 127040. [Google Scholar] [CrossRef]
  20. Lu, C.; Ji, W.; Hou, M.; Ma, T.; Mao, J. Evaluation of efficiency and resilience of agricultural water resources system in the Yellow River Basin, China. Agric. Water Manag. 2022, 266, 107605. [Google Scholar] [CrossRef]
  21. Wang, G.; Xiao, C.; Qi, Z.; Meng, F.; Liang, X. Development tendency analysis for the water resource carrying capacity based on system dynamics model and the improved fuzzy comprehensive evaluation method in the Changchun city, China. Ecol. Indic. 2021, 122, 107232. [Google Scholar] [CrossRef]
  22. Liu, L. Assessment of water resource security in karst area of Guizhou Province, China. Sci. Rep. 2021, 11, 7641. [Google Scholar] [CrossRef]
  23. Wang, L.; Zeng, W.; Cao, R.; Zhuo, Y.; Fu, J.; Wang, J. Overloading risk assessment of water environment-water resources carrying capacity based on a novel Bayesian methodology. J. Hydrol. 2023, 622, 129697. [Google Scholar] [CrossRef]
  24. Saaty, T.L. The Modern Science of Multicriteria Decision Making and Its Practical Applications: The AHP/ANP Approach. Oper. Res. 2013, 61, 1101–1118. [Google Scholar] [CrossRef]
  25. Anchima, J.; Gokul, A.; Senan, C.P.C.; Danumah, J.H.; Saha, S.; Sajinkumar, K.S.; Rajaneesh, A.; Johny, A.; Mammen, P.C.; Ajin, R.S. Vulnerability evaluation utilizing AHP and an ensemble model in a few landslide-prone areas of the Western Ghats, India. Environ. Dev. Sustain. 2023, 27, 6423–6466. [Google Scholar] [CrossRef]
  26. Sinha, A.; Nikhil, S.; Ajin, R.S.; Danumah, J.H.; Saha, S.; Costache, R.; Rajaneesh, A.; Sajinkumar, K.S.; Amrutha, K.; Johny, A.; et al. Wildfire Risk Zone Mapping in Contrasting Climatic Conditions: An Approach Employing AHP and F-AHP Models. Fire 2023, 6, 44. [Google Scholar] [CrossRef]
  27. Gautam, V.K.; Pande, C.B.; Kothari, M.; Singh, P.K.; Agrawal, A. Exploration of groundwater potential zones mapping for hard rock region in the Jakham river basin using geospatial techniques and aquifer parameters. Adv. Space Res. 2023, 71, 2892–2908. [Google Scholar] [CrossRef]
  28. Ding, T.; Fang, L.; Chen, J.; Ji, J.; Fang, Z. Exploring the relationship between water-energy-food nexus sustainability and multiple ecosystem services at the urban agglomeration scale. Sustain. Prod. Consum. 2023, 35, 184–200. [Google Scholar] [CrossRef]
  29. Gan, L.; Shi, H.; Hu, Y.; Lev, B.; Lan, H. Coupling coordination degree for urbanization city-industry integration level: Sichuan case. Sustain. Cities Soc. 2020, 58, 102136. [Google Scholar] [CrossRef]
  30. He, H.J.; Tian, C.; Jin, G.; An, L. An Improved Uncertainty Measure Theory Based on Game Theory Weighting. Math. Probl. Eng. 2019, 2019, 3893129. [Google Scholar] [CrossRef]
  31. Li, G.; Wang, H.; Pan, T.; Liu, H.; Si, H. Fuzzy Comprehensive Evaluation of Pilot Cadets’ Flight Performance Based on G1 Method. Appl. Sci. 2023, 13, 12058. [Google Scholar] [CrossRef]
  32. Huang, X.; Liu, C.S.; Niu, G.; Zhang, C.L.; Li, Y. Novel Water Pricing Model for Water Network Projects: A Case Study of Jiaodong Water Diversion Project in China. Water 2023, 15, 3062. [Google Scholar] [CrossRef]
  33. Peng, J.; Zhang, J. Urban flooding risk assessment based on GIS- game theory combination weight: A case study of Zhengzhou City. Int. J. Disaster Risk Reduct. 2022, 77, 103080. [Google Scholar] [CrossRef]
  34. Wang, D.; Sun, H.; Ge, Y.; Cheng, J.; Li, G.; Cao, Y.; Liu, W.; Meng, J. Operation effect evaluation of grid side energy storage power station based on combined weight TOPSIS model. Energy Rep. 2024, 11, 1993–2002. [Google Scholar] [CrossRef]
  35. Zhao, B.; Shao, Y.-B.; Yang, C.; Zhao, C. The application of the game theory combination weighting-normal cloud model to the quality evaluation of surrounding rocks. Front. Earth Sci. 2024, 12, 1346536. [Google Scholar] [CrossRef]
  36. Long, Y.; Liu, Y.; Zhao, T.; Zhang, Z.; Lei, X.; Yang, Y. Optimal allocation of water resources in the middle route of south-to-north water diversion project based on multi-regional input-output model. J. Hydrol. 2024, 637, 131381. [Google Scholar] [CrossRef]
  37. Zhao, S.; Liu, W.; Zhu, M.; Ma, Y.; Li, Z. A priority-based multi-objective framework for water resources diversion and allocation in the middle route of the South-to-North Water Diversion Project. Socio-Econ. Plan. Sci. 2021, 78, 101085. [Google Scholar] [CrossRef]
  38. Liu, T.; Zhang, S.; Wang, C. A BIM-Based Safety Management Framework for Operation and Maintenance in Water Diversion Projects. Water Resour. Manag. 2021, 35, 1619–1635. [Google Scholar] [CrossRef]
  39. Liu, M.; Ding, W.; Lu, Y. Collaborative Management of a Sustainable Supply Chain in a Water Diversion Project. Water Resour. Manag. 2022, 36, 2665–2683. [Google Scholar] [CrossRef]
  40. Xu, H.; Yang, R. The economic impact of water diversion: Evidence from China. Water Supply 2024, 24, 313–328. [Google Scholar] [CrossRef]
  41. Yan, H.; Lin, Y.; Chen, Q.; Zhang, J.; He, S.; Feng, T.; Wang, Z.; Chen, C.; Ding, J. A Review of the Eco-Environmental Impacts of the South-to-North Water Diversion: Implications for Interbasin Water Transfers. Engineering 2023, 30, 161–169. [Google Scholar] [CrossRef]
  42. Hu, X.; Hu, M.; Zhu, Y.; Wang, G.; Xue, B.; Shrestha, S. Phytoplankton community variation and ecological health assessment for impounded lakes along the eastern route of China’s South-to-North Water Diversion Project. J. Environ. Manag. 2022, 318, 115561. [Google Scholar] [CrossRef] [PubMed]
  43. Sun, K.; Hua, Y.; He, W.; Yan, T.; Liu, C. Impact assessment on the economy, society, resource, and environment in the water-receiving cities of the Middle Route Project of South-to-North Water Diversion. Environ. Sci. Pollut. Res. 2022, 29, 90378–90390. [Google Scholar] [CrossRef] [PubMed]
Figure 1. Framework of this study.
Figure 1. Framework of this study.
Water 17 02822 g001
Figure 2. The study object.
Figure 2. The study object.
Water 17 02822 g002
Figure 3. Weight Results of the AHP. (a) Weights of the criterion layer. (bf) Individual sorting weights of the indicator layer. (g) Total sorting weights of the indicator layer.
Figure 3. Weight Results of the AHP. (a) Weights of the criterion layer. (bf) Individual sorting weights of the indicator layer. (g) Total sorting weights of the indicator layer.
Water 17 02822 g003
Figure 4. Weight Results of the EWM. (a) Weights of the indicator layer. (b) Weights of the criterion layer.
Figure 4. Weight Results of the EWM. (a) Weights of the indicator layer. (b) Weights of the criterion layer.
Water 17 02822 g004
Figure 5. Weight Results of GWF. (a) weights of the indicator layer. (b) Weights of the criterion layer. (c) Comparison of AHP, EWM, and GWF weights at the indicator layer. (d) Comparison of AHP, EWM, and GWF weights at the criterion layer.
Figure 5. Weight Results of GWF. (a) weights of the indicator layer. (b) Weights of the criterion layer. (c) Comparison of AHP, EWM, and GWF weights at the indicator layer. (d) Comparison of AHP, EWM, and GWF weights at the criterion layer.
Water 17 02822 g005
Figure 6. Sustainability Evaluation Values of the Jiaodong Water Network Project.
Figure 6. Sustainability Evaluation Values of the Jiaodong Water Network Project.
Water 17 02822 g006
Table 1. Sustainability Evaluation Indicator System for Large-Scale Water Network Projects.
Table 1. Sustainability Evaluation Indicator System for Large-Scale Water Network Projects.
Target LevelCriterion LevelIndicator LevelIndicator NatureIndicator
Type
Sustainability of Large-Scale Water Network Projects (A)Resource Dimension (A1)Benefit Area Water Supply Coefficient (A11)Quantitative+
Benefit Area Water Production Coefficient (A12)Quantitative
Benefit Area Water Production Factor (A13)Quantitative
Per Capita Water Resource Amount in the Benefit Area (A14)Quantitative
Social Dimension (A2)Employment Benefits in the Benefit Area (A21)Qualitative+
Per Capita Water Consumption in the Benefit Area (A22)Quantitative+
Social Stability in the Benefit Area (A23)Qualitative+
Regulatory Strength of Water Resources in the Benefit Area (A24)Qualitative+
Economic Dimension (A3)Economic Internal Rate of Return (EIRR) (A31)Quantitative+
Comprehensive Water Price in the Benefit Area (A32)Quantitative
Per Capita GDP in the Benefit Area (A33)Quantitative+
Water Supply Benefits in the Benefit Area (A34)Qualitative+
Ecological environment Dimension (A4)Environmental Quality Compliance Rate in the Benefit Area (A41)Quantitative+
Soil and Water Loss Control Rate in the Benefit Area (A42)Quantitative+
Vegetation Coverage Rate in the Benefit Area (A43)Quantitative+
Ecological Water Use Satisfaction Rate in the Benefit Area (A44)Quantitative+
Management
Dimension (A5)
Rationality of Management System (A51)Qualitative+
Degree of Management Standardization (A52)Qualitative+
Effective Financial Management Situation (A53)Quantitative+
Level of Management Intelligence (A54)Qualitative+
Table 2. Grading Standards for Quantitative Indicators of Sustainability Evaluation for Large-Scale Water Network Projects.
Table 2. Grading Standards for Quantitative Indicators of Sustainability Evaluation for Large-Scale Water Network Projects.
IndicatorsUnitTypeIIIIIIIVV
A11104 m3/km2+<55–66–77–9>9
A12104 m3/km2>6050–6030–5020–30<20
A13%>6050–6030–5020–30<20
A14m3>20001000–2000500–1000300–500<300
A22m3+<100100–200200–300300–350350–400
A31%+<55–88–99–12>12
A32yuan>43.5–43–3.52.5–32–2.5
A33104 yuan+<11–22–44–50>5
A41%+<7070–7575–8080–85>85
A42%+<22–33–44–5>5
A43%+<1010–1212–1515–20>20
A44%+<11–22–33–5>5
A53%+<6060–7070–8080–90>90
Table 3. Score Ranges and Quantitative Values.
Table 3. Score Ranges and Quantitative Values.
Evaluation LevelVery LowLowModerateHighVery High
Score Ranges[25, 40)[40, 55)[55, 70)[70, 85)[85, 100)
Quantitative Values32.547.562.577.592.5
Table 4. Membership Degrees of Sustainability Evaluation Indicators for the Jiaodong Water Network Project.
Table 4. Membership Degrees of Sustainability Evaluation Indicators for the Jiaodong Water Network Project.
IndicatorsIndicators
Nature
UnitIndicators
Type
Membership Degrees
A11Quantitative104 m3/km2+(0, 0, 0.52, 0.48, 0)
A12Quantitative104 m3/km2(0, 0, 0, 0, 1)
A13Quantitative%(0, 0, 0, 0.70, 0.30)
A14Quantitativem3(0, 0, 0, 0, 1)
A21Qualitative +(0, 0, 0, 0.3, 0.7)
A22Quantitativem3+(0.26, 0.74, 0, 0, 0)
A23Qualitative +(0, 0, 0, 0, 1)
A24Qualitative +(0, 0, 0, 0.1, 0.9)
A31Quantitative%+(0, 0, 0, 0.89, 0.11)
A32Quantitativeyuan(0, 0, 0.44, 0.56, 0)
A33Quantitative104 yuan+(0, 0, 0, 0, 1)
A34Qualitative +(0, 0, 0, 0.2, 0.8)
A41Quantitative%+(0, 0, 0, 0.60, 0.40)
A42Quantitative%+(0, 0, 0, 0.79, 0.21)
A43Quantitative%+(0, 0, 0.83, 0.17, 0)
A44Quantitative%+(0, 0, 0, 0.91, 0.09)
A51Qualitative +(0, 0, 0, 0.1, 0.9)
A52Qualitative +(0, 0, 0, 0.2, 0.8)
A53Quantitative%+(0, 0, 0, 0, 1)
A54Qualitative +(0, 0, 0, 0.3, 0.7)
Disclaimer/Publisher’s Note: The statements, opinions and data contained in all publications are solely those of the individual author(s) and contributor(s) and not of MDPI and/or the editor(s). MDPI and/or the editor(s) disclaim responsibility for any injury to people or property resulting from any ideas, methods, instructions or products referred to in the content.

Share and Cite

MDPI and ACS Style

Qiu, Y.; Liu, C. A Sustainability Evaluation of Large-Scale Water Network Projects: A Case Study of the Jiaodong Water Network Project, China. Water 2025, 17, 2822. https://doi.org/10.3390/w17192822

AMA Style

Qiu Y, Liu C. A Sustainability Evaluation of Large-Scale Water Network Projects: A Case Study of the Jiaodong Water Network Project, China. Water. 2025; 17(19):2822. https://doi.org/10.3390/w17192822

Chicago/Turabian Style

Qiu, Yue, and Changshun Liu. 2025. "A Sustainability Evaluation of Large-Scale Water Network Projects: A Case Study of the Jiaodong Water Network Project, China" Water 17, no. 19: 2822. https://doi.org/10.3390/w17192822

APA Style

Qiu, Y., & Liu, C. (2025). A Sustainability Evaluation of Large-Scale Water Network Projects: A Case Study of the Jiaodong Water Network Project, China. Water, 17(19), 2822. https://doi.org/10.3390/w17192822

Note that from the first issue of 2016, this journal uses article numbers instead of page numbers. See further details here.

Article Metrics

Back to TopTop