Modeling Sentiment–Hydrology Interaction Using LLM: Insights for Adaptive Governance in Ceará’s Water Management
Abstract
1. Introduction
2. Materials and Methods
2.1. Data Collection and Organization
- Qualitative data: Minutes of meetings of the Management Commission of the Arneiroz II Reservoir (2007–2024)
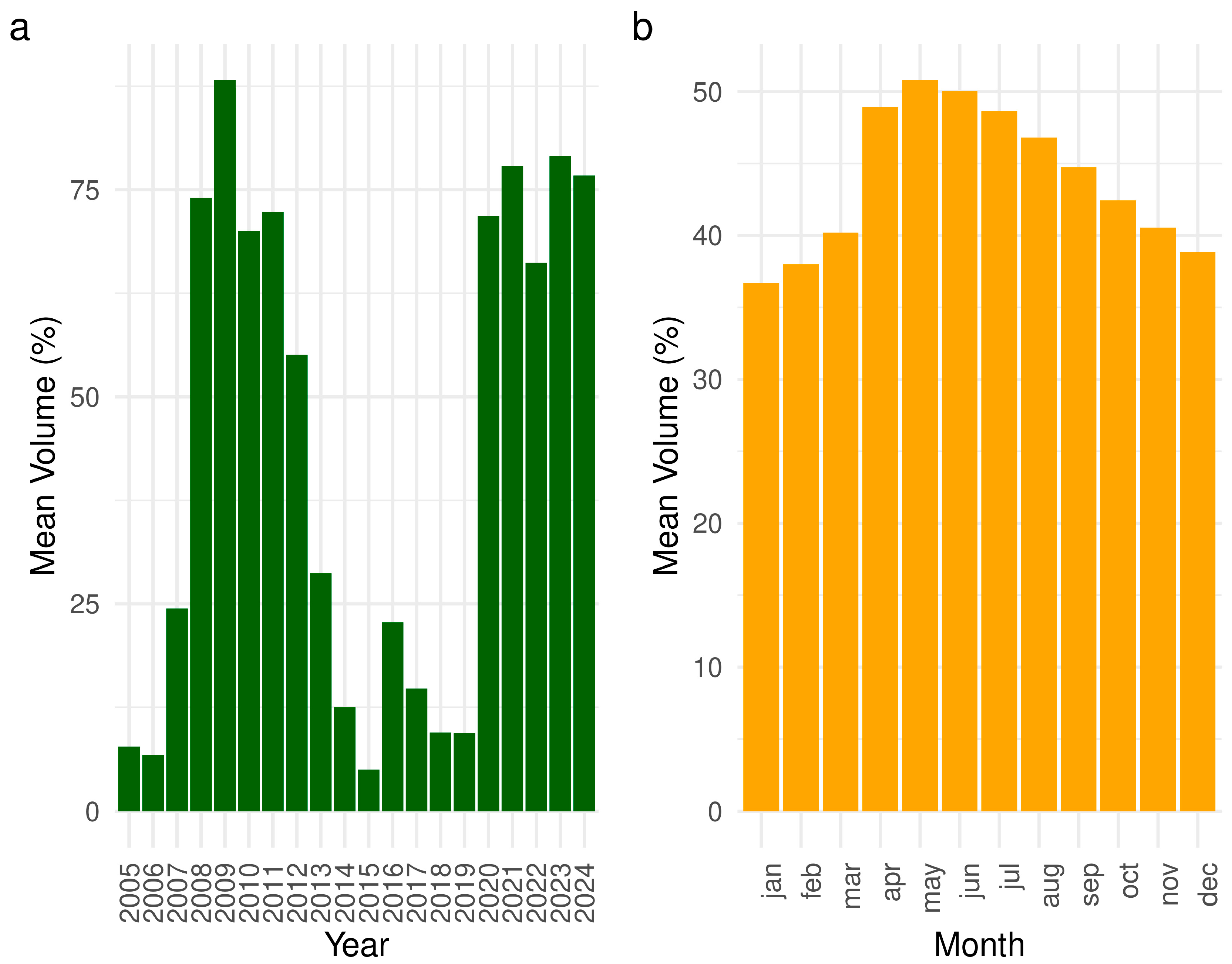
- Quantitative data: historical series of volumes (2005–2024), in percentage, of the reservoir (Figure 2).
2.2. Textual Analysis
2.2.1. Word Cloud
2.2.2. Sentiment Analysis
“I am sharing a minute from a meeting of the Management Commission of the Arneiroz II Reservoir. These commissions aim to promote local organization, regulation of activities carried out in the Superficial reservoirs, and the insertion of the normative apparatus of water resources in the management routine of the reservoirs. Below is the content of the minute:Your task is to act as an engineer, specialist in the area of Water Resources and Sentiment Analysis, responsible for analyzing the main events related to the management of the water of the Arneiroz II Reservoir, based on the minutes.The action to be performed is to calculate the overall polarity of the text, assigning a value (note) between −1 and +1, where −1 indicates an extremely negative sentiment, +1 indicates an extremely positive sentiment, and 0 indicates neutrality. The final answer must include a brief justification for the calculation of the note, highlighting the main points that influenced the assignment of the note.”
2.2.3. Interpretation Socio-Hydrological
3. Results and Discussion
3.1. Word Cloud
3.2. Sentiment Analysis
4. Conclusions
Author Contributions
Funding
Data Availability Statement
Acknowledgments
Use of Generative AI
Conflicts of Interest
References
- Lu, Y.; Tian, F.; Guo, L.; Borzì, I.; Patil, R.; Wei, J.; Liu, D.; Wei, Y.; Yu, D.J.; Sivapalan, M. Socio-hydrologic modeling of the dynamics of cooperation in the transboundary Lancang–Mekong River. Hydrol. Earth Syst. Sci. 2021, 25, 1883–1903. [Google Scholar] [CrossRef]
- Gohari, A.; Savari, P.; Eslamian, S.; Etemadi, N.; Keilmann-Gondhalekar, D. Developing a system dynamic plus framework for water-land-society nexus modeling within urban socio-hydrologic systems. Technol. Forecast. Soc. Change 2022, 185, 122092. [Google Scholar] [CrossRef]
- Shi, Y.; Wang, Z.; Zhao, J.; Chen, J.; Chen, J. A socio-hydrology model for water-urban-land-population-production nexus. J. Clean. Prod. 2024, 482, 144202. [Google Scholar] [CrossRef]
- Lyu, J.; Mo, S.; Jiang, K.; Yan, S. Seeking a pathway towards a more sustainable human-water relationship by coupled model—From a perspective of socio-hydrology. J. Environ. Manag. 2024, 368, 122231. [Google Scholar] [CrossRef]
- Bahra, M.; Fennan, A. Smart city: An advanced framework for analyzing public sentiment orientation toward recycled water. Int. J. Electr. Comput. Eng. 2024, 14, 1015–1026. [Google Scholar] [CrossRef]
- Wheeler, S.A.; Zuo, A.; Pickersgill, J.W. The propensity for negative media reporting of the Murray-Darling Basin Plan in Australia. J. Rural Stud. 2024, 109, 103320. [Google Scholar] [CrossRef]
- Srinivasan, V.; Sanderson, M.; Garcia, M.; Konar, M.; Blöschl, G.; Sivapalan, M. Prediction in a socio-hydrological world. Hydrol. Sci. J. 2017, 62, 338–345. [Google Scholar] [CrossRef]
- Xiong, J.; Hswen, Y.; Naslund, J.A. Digital surveillance for monitoring environmental health threats: A case study capturing public opinion from Twitter about the 2019 Chennai water crisis. Int. J. Environ. Res. Public Health 2020, 17, 5077. [Google Scholar] [CrossRef]
- Jaiswal, R.; Gupta, S.; Tiwari, A.K. Decoding mood of the Twitterverse on ESG investing: Opinion mining and key themes using machine learning. Manag. Res. Rev. 2024, 47, 1221–1252. [Google Scholar] [CrossRef]
- Ibrohim, M.O.; Bosco, C.; Basile, V. Sentiment analysis for the natural environment: A systematic review. ACM Comput. Surv. 2023, 56, 88. [Google Scholar] [CrossRef]
- Marengo, J.A.; Torres, R.R.; Alves, L.M. Drought in Northeast Brazil—Past, present, and future. Theor. Appl. Climatol. 2016, 129, 1189–1200. [Google Scholar] [CrossRef]
- Pontes Filho, J.D.; Souza Filho, F.A.; Martins, E.S.P.R.; Studart, T.M.C. Copula-based multivariate frequency analysis of the 2012–2018 drought in Northeast Brazil. Water 2020, 12, 834. [Google Scholar] [CrossRef]
- IPCC. Summary for Policymakers. In Climate Change 2023: Synthesis Report. Contribution of Working Groups I, II and III to the Sixth Assessment Report of the Intergovernmental Panel on Climate Change; Core Writing Team, Lee, H., Romero, J., Eds.; IPCC: Geneva, Switzerland, 2023; pp. 1–34. [Google Scholar] [CrossRef]
- Zhang, Q. Land use and adaptive governance under climate change: Analysis of four cases in pastoral areas of China. Front. Environ. Sci. 2023, 11, 922417. [Google Scholar] [CrossRef]
- Arthur, J.L. Impact of Geography on Adaptation for the Future Sustainability of Human Society on Earth. Open J. Soc. Sci. 2021, 9, 188–217. [Google Scholar] [CrossRef]
- Campos, J.N.B. Secas e políticas públicas no semiárido: Ideias, pensadores e períodos. Estud. Avançados 2014, 28, 65–88. [Google Scholar] [CrossRef]
- Frota, P.V.; Silva, U.P.A.; Sales, C.A.J.; Sousa Filho, F.A. Comissões gestoras de sistemas hídricos no estado do Ceará. In Proceedings of the XX Simpósio Brasileiro de Recursos Hídricos, Bento Gonçalves, Brazil, 17–22 November 2013; ABRHidro: Porto Alegre, Brazil, 2013. [Google Scholar]
- Carvalho, T.M.N.; Souza Filho, F.A.; Brito, M.M. Unveiling water allocation dynamics: A text analysis of 25 years of stakeholder meetings. Environ. Res. Lett. 2024, 19, 044066. [Google Scholar] [CrossRef]
- Zhang, W.; Deng, Y.; Liu, B.; Pan, S.J.; Bing, L. Sentiment analysis in the era of large language models: A reality check. Find. Assoc. Comput. Linguist. NAACL 2024, 2024, 246–257. [Google Scholar] [CrossRef]
- Lu, Z.; Wei, Y.; Feng, Q.; Western, A.W.; Zhou, S. A framework for incorporating social processes in hydrological models. Curr. Opin. Environ. Sustain. 2018, 33, 42–50. [Google Scholar] [CrossRef]
- Sowby, R.B.; South, A.J.; Jones, N.L.; Hopkins, E.G.; Ames, D. More than modelling: Building trust for positive change in water resources management. Environ. Model. Softw. 2025, 189, 106465. [Google Scholar] [CrossRef]
- COGERH. Water Resources Plan for the Alto Jaguaribe River Basin; Water Resources Management Company (COGERH): Fortaleza, Brazil, 2022.
- Formiga-Johnsson, R.M.; Kemper, K.E. Institutional and Policy Analysis River Basin Management: The Jaguaribe River Basin, Ceará, Brazil; Policy Research Working Paper no. 3649; World Bank: Washington, DC, USA, 2005. [Google Scholar]
- CEARÁ. Proactive Drought Management Plan—Arneiroz II Hydrosystem: Fortaleza, Brazil; CEARÁ: Ceará, Brazil, 2025. [Google Scholar]
- Krugmann, J.; Hartmann, J. Sentiment analysis in the age of generative AI. Cust. Needs Solut. 2024, 11, 1–19. [Google Scholar] [CrossRef]
- Gruber, J.B.; Weber, M. rollama: An R package for using generative large language models through Ollama. arXiv 2024. [Google Scholar] [CrossRef]
- Moraes, M.; Lima, J.; Costa, F. Linguistic ambiguity analysis in large language models (LLMs). Texto Livre 2024, 18, 53181. [Google Scholar] [CrossRef]
- Friesen, J.; Sinobas, L.R.; Foglia, L.; Ludwig, R. Environmental and socio-economic methodologies and solutions towards integrated water resources management. Sci. Total Environ. 2017, 581, 906–908. [Google Scholar] [CrossRef]
- Kalu, C.K.; Sakilu, O.B.; Ebhota, S. Innovative data-driven analysis of water management for effective agricultural practices. J. Food Technol. Nutr. Sci. 2023, 156, 2–21. [Google Scholar] [CrossRef]
- Karentia, A.; Suhartono, D. The influence of sentiment analysis in enhancing early warning system model for credit risk mitigation. IAES Int. J. Artif. Intell. (IJ-AI) 2025, 14, 1829–1838. [Google Scholar] [CrossRef]
- Wu, D.; Cui, Y. Disaster early warning and damage assessment analysis using social media data and geo-location information. Decis. Support Syst. 2018, 111, 48–59. [Google Scholar] [CrossRef]









Disclaimer/Publisher’s Note: The statements, opinions and data contained in all publications are solely those of the individual author(s) and contributor(s) and not of MDPI and/or the editor(s). MDPI and/or the editor(s) disclaim responsibility for any injury to people or property resulting from any ideas, methods, instructions or products referred to in the content. |
© 2025 by the authors. Licensee MDPI, Basel, Switzerland. This article is an open access article distributed under the terms and conditions of the Creative Commons Attribution (CC BY) license (https://creativecommons.org/licenses/by/4.0/).
Share and Cite
Batista, T.L.; Studart, T.M.d.C.; Duarte, M.G.; Souza Filho, F.d.A.d. Modeling Sentiment–Hydrology Interaction Using LLM: Insights for Adaptive Governance in Ceará’s Water Management. Water 2025, 17, 2615. https://doi.org/10.3390/w17172615
Batista TL, Studart TMdC, Duarte MG, Souza Filho FdAd. Modeling Sentiment–Hydrology Interaction Using LLM: Insights for Adaptive Governance in Ceará’s Water Management. Water. 2025; 17(17):2615. https://doi.org/10.3390/w17172615
Chicago/Turabian StyleBatista, Tatiane Lima, Ticiana Marinho de Carvalho Studart, Marlon Gonçalves Duarte, and Francisco de Assis de Souza Filho. 2025. "Modeling Sentiment–Hydrology Interaction Using LLM: Insights for Adaptive Governance in Ceará’s Water Management" Water 17, no. 17: 2615. https://doi.org/10.3390/w17172615
APA StyleBatista, T. L., Studart, T. M. d. C., Duarte, M. G., & Souza Filho, F. d. A. d. (2025). Modeling Sentiment–Hydrology Interaction Using LLM: Insights for Adaptive Governance in Ceará’s Water Management. Water, 17(17), 2615. https://doi.org/10.3390/w17172615

