Agroforestry Systems Enhance Soil Moisture Retention and Aquifer Recharge in a Semi-Arid Mexican Valley
Abstract
1. Introduction
2. Materials and Methods
2.1. Experimental Site
2.2. Experimental Design
2.3. Measurement of Tree Species
2.4. Measurement of Soil and Climate Variables
2.4.1. Soil Characterization
2.4.2. Soil Moisture Content
2.5. Soil Moisture Distribution Uniformity
2.6. Potential Aquifer Recharge Depth
2.7. Statistical Analysis
3. Results and Discussion
3.1. Characteristics of Tree Species
3.2. Soil Characteristics
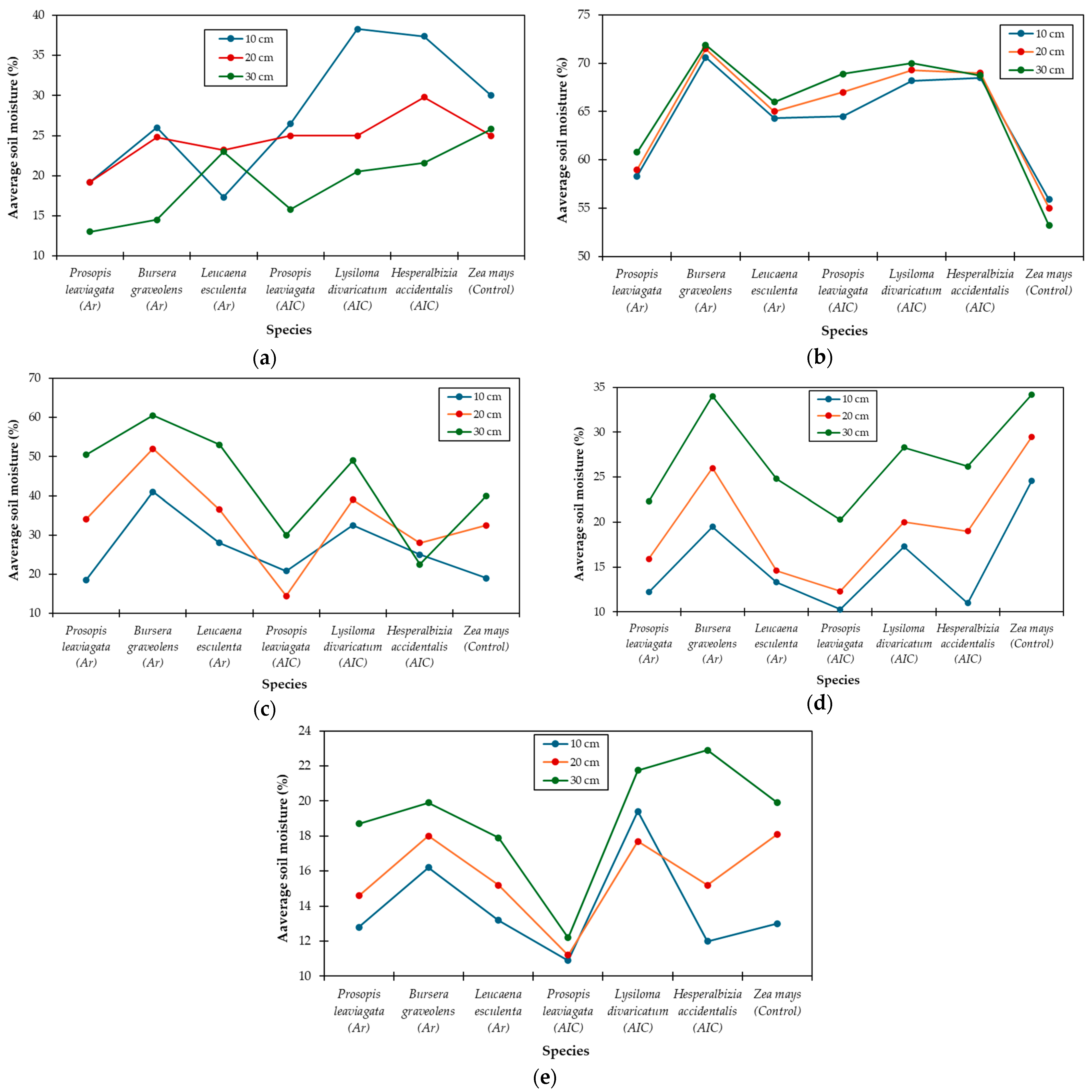
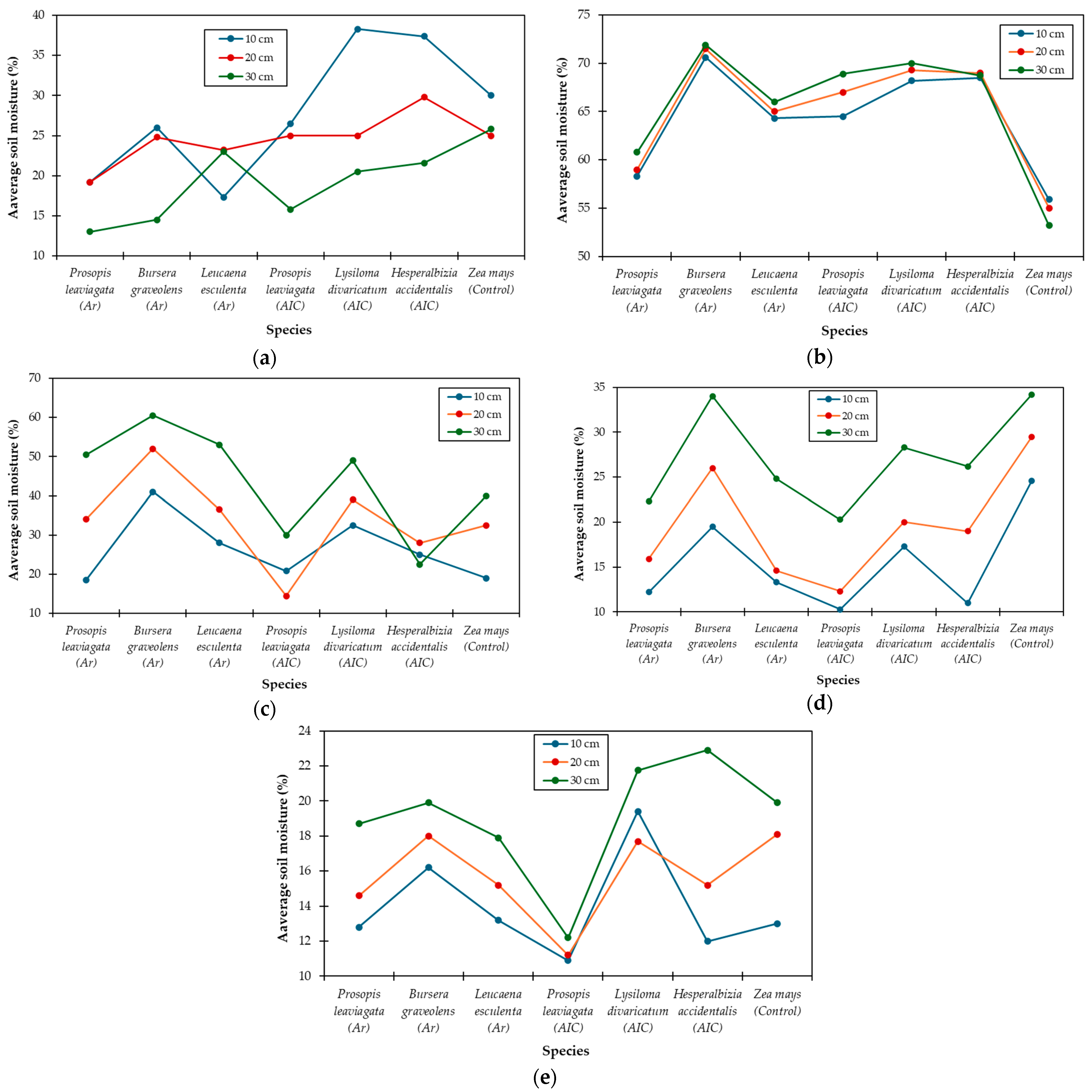
3.3. Behavior of Soil Moisture Content
3.4. Uniformity of Moisture Distribution in the Soil
3.5. Potential Recharge to the Aquifer
3.6. Relationship Between Moisture Behavior and Vegetation Cover
4. Conclusions
Author Contributions
Funding
Data Availability Statement
Acknowledgments
Conflicts of Interest
References
- Acharya, B.S.; Kharel, G.; Zou, C.B.; Wilcox, B.P.; Halihan, T. Woody Plant Encroachment Impacts on Groundwater Recharge: A Review. Water 2018, 10, 1466. [Google Scholar] [CrossRef]
- Chapman, T.G. Construction of hydrological models for natural systems management. Math. Comput. Simul. 1990, 32, 13–37. [Google Scholar] [CrossRef]
- Ríos, N.; Andrade, H.J.; Ibrahim, M. Evaluación de la recarga hídrica en sistemas silvopastoriles en paisajes ganaderos. Zootec. Trop. 2008, 26, 183–186. [Google Scholar]
- Bayala, J.; Prieto, I. Water acquisition, sharing and redistribution by roots: Applications to agroforestry systems. Plant Soil 2020, 453, 17–28. [Google Scholar] [CrossRef]
- Hamadi, A.; Larid, M.; Gómez, J.A.; Ouabel, H. Potential Impacts of Agroforestry on Controlling Soil Degradation by Water Erosion in the Agricultural Lands of Foothills North-West of Dahra (Mostaganem, Algeria). Proceedings 2019, 30, 50. [Google Scholar] [CrossRef]
- Anderson, S.H.; Udawatta, R.P.; Seobi, T.; Garrett, H.E. Soil water content and infiltration in agroforestry buffer strips. Agrofor. Syst. 2009, 75, 5–16. [Google Scholar] [CrossRef]
- Sahin, H.; Anderson, S.H.; Udawatta, R.P. Water infiltration and soil water content in claypan soils influenced by agroforestry and grass buffers compared to row crop management. Agrofor. Syst. 2016, 90, 839–860. [Google Scholar] [CrossRef]
- Wang, C.; Zhao, C.Y.; Xu, Z.L.; Wang, Y.; Peng, H.H. Effect of vegetation on soil water retention and storage in a semi-arid alpine forest catchment. J. Arid Land 2013, 5, 207–219. [Google Scholar] [CrossRef]
- Niu, C.Y.; Musa, A.; Liu, Y. Analysis of soil moisture condition under different land uses in the arid region of Horqin sandy land, northern China. Solid Earth 2015, 6, 1157–1167. [Google Scholar] [CrossRef]
- Zhang, Q.; Wei, W.; Chen, L.; Yang, L.; Luo, Y.; Cai, A. Plant traits in influencing soil moisture in semiarid grasslands of the Loess Plateau, China. Sci. Total Environ. 2020, 718, 137355. [Google Scholar] [CrossRef]
- Shukla, M.K.; Lal, R.; Ebinger, M.; Meyer, C. Physical and chemical properties of soils under some piñon-juniper-oak canopies in a semi-arid ecosystem in New Mexico. J. Arid Environ. 2006, 66, 673–685. [Google Scholar] [CrossRef]
- Popović, Z.; Cerdà, A. Soil water repellency and plant cover: A state-of-knowledge review. Catena 2023, 229, 107213. [Google Scholar] [CrossRef]
- Moreno-Calles, A.I.; Galicia-Luna, V.J.; Casas, A.; Toledo, V.M.; Ramos, M.V.; Santos-Fita, D.; Camou-Guerrero, A. Etnoagroforestería: El estudio de los sistemas agroforestales tradicionales de México. Etnobiología 2014, 12, 1–16. [Google Scholar]
- Muñoz-Villers, L.; Holwerda, F.; Alvarado-Barrientos, M.S.; Geissert, D.; Marín-Castro, B.; Gómez-Tagle, A.; McDonnell, J.; Asbjornsen, H.; Dawson, T.; Bruijnzeel, L.A. Hydrological effects of cloud forest conversion in central Veracruz, Mexico. Bosque 2015, 36, 395–407. [Google Scholar] [CrossRef]
- Fuentes, J.L.; Rivera, C.M.; McDonald, M.; Otárola, F.J.; Ibrahim, M.A.; Fragoso, L.V.; Luna, F.B. Hydrological information, the first step to design a local policy of payment for ecosystem services. Rev. Mex. Cienc. For. 2015, 6, 24–43. [Google Scholar] [CrossRef]
- Ávila-García, D.; Morató, J.; Pérez-Maussán, A.I.; Santillán-Carvantes, P.; Alvarado, J.; Comín, F. Impacts of alternative land-use policies on water ecosystem services in the Río Grande de Comitán-Lagos de Montebello watershed, Mexico. Ecosyst. Serv. 2020, 45, 101179. [Google Scholar] [CrossRef]
- Pascual-Ramírez, F.; Prado-Hernández, J.V.; Martínez-Ruiz, A.; Cristóbal-Acevedo, D. Surface water balance at the Chapingo River basin: Rainfall intercepted by vegetation and water infiltration into the soil. Agro Product. 2023, 16, 173–180. [Google Scholar] [CrossRef]
- Murray-Núñez, R.; Bojórquez-Serrano, J.I.; Hernández-Jiménez, A.; Orozco-Benítez, M.G.; García-Paredes, J.D.; Gómez-Aguilar, J.R.; Ontiveros-Guerra, H.; Aguirre-Ortega, J. Efecto de la materia orgánica sobre las propiedades físicas del suelo en un sistema agroforestal de la llanura costera norte de Nayarit, México. Bio Cienc. 2011, 1, 27–35. [Google Scholar] [CrossRef]
- Luna-Robles, E.; Cantú-Silva, I.; Yáñez-Díaz, M.I.; González-Rodríguez, H.; Marmolejo-Monsiváis, J.G.; Béjar Pulido, S.J. Ajuste de modelos empíricos de infiltración en un Umbrisol bajo diferentes tratamientos silvícolas. Rev. Mex. Cienc. For. 2020, 11, 132–152. [Google Scholar] [CrossRef][Green Version]
- Estadísticas del Agua en México 2023. Comisión Nacional del Agua (CONAGUA)-Secretaría de Medio Ambiente y Recursos Naturales (SEMARNAT). Available online: https://sinav30.conagua.gob.mx:8080/Descargas/pdf/EAM2023_f.pdf (accessed on 20 December 2024).
- Romero, J.H.; Palacios, O.L.; Escobar, B.S. Estimación de la sobreexplotación producida en el acuífero Valle de Celaya (México). Tecnol. Cienc. Agua 2017, 3, 127–138. [Google Scholar] [CrossRef]
- García, E. Modificaciones al Sistema de Clasificación Climática de Köppen; Instituto de Geografía, Universidad Nacional Autónoma de México: Ciudad de México, Mexico, 2004. [Google Scholar]
- González, J.M.; Ventura, E.; Castellanos, J.Z.; Brevik, E.C. Soil Science in Mexico: History Challenges and the Future. Soil Surv. Horiz. 2010, 51, 63–71. [Google Scholar] [CrossRef]
- Bhansali, R.R. Biology and multiplication of Prosopis species grown in the Thar Desert. In Desert Plants; Ramawat, K., Ed.; Springer: Berlin/Heidelberg, Germany, 2010; pp. 371–406. [Google Scholar] [CrossRef]
- Vásquez-Méndez, R.; Ventura-Ramos, E.; Oleschko, K.; Hernández-Sandoval, L.; Domínguez-Cortázar, M.A. Soil erosion processes in semiarid areas: The importance of native vegetation. INTECH Open Access Publ. 2011, 1, 25–41. [Google Scholar] [CrossRef]
- Rzedowski, J.; Lemos, R.M.; de Rzedowski, G.C. Inventario del conocimiento taxonómico, así como de la diversidad y del endemismo regionales de las especies mexicanas de Bursera (Burseraceae). Acta Bot. Mex. 2005, 70, 85–111. [Google Scholar] [CrossRef]
- Romero-Estrada, A.; Maldonado-Magaña, A.; González-Christen, J.; Bahena, S.M.; Garduño-Ramírez, M.L.; Rodríguez-López, V.; Alvarez, L. Anti-inflammatory and antioxidative effects of six pentacyclic triterpenes isolated from the Mexican copal resin of Bursera copallifera. BMC Complement. Altern. Med. 2016, 16, 422. [Google Scholar] [CrossRef] [PubMed]
- Peralta-Juárez, I.; Gómez-Campos, A.; Romero-Castillo, P.A.; Reyes-Dorantes, A. Anthropocentric use of the guaje leucaena esculenta (Moc. & Sessé Ex. Dc.) Benth, in two communities in the mixteca baja region of Oaxaca, Mexico. Polibotánica 2017, 43, 349–364. [Google Scholar] [CrossRef]
- Sánchez-Hernández, M.Á.; Fierros-González, A.M.; Velázquez-Martínez, A.; Santos-Posadas, H.; Aldrete, A.; Cortés-Díaz, E. Estructura, riqueza y diversidad de especies de árboles en un bosque tropical caducifolio de Morelos. Rev. Mex. Cienc. For. 2018, 9, 131–156. [Google Scholar] [CrossRef]
- Stewart, J.L.; Dunsdon, A.J. The potential of some neotropical Albizia species and close relatives as fodder resources. Agrofor. Syst. 2000, 49, 17–30. [Google Scholar] [CrossRef]
- Salvador, R. Maíz. Publicaciones del Programa Nacional de Etnobotánica; Universidad Autónoma Chapingo: Chapingo, Texcoco, México, 2001. [Google Scholar]
- Landert, K. Comparing Photographic and GIS-based Applications for Estimating Canopy Cover in Southern Appalachian Bogs. In Proceedings of the National Conference on Undergraduate Research (NCUR), Asheville, NC, USA, 7–9 April 2016. [Google Scholar]
- Bouyoucos, G.J. Hydrometer Method Improved for Making Particle Size Analyses of Soils. Agron. J. 1962, 54, 464–465. [Google Scholar] [CrossRef]
- Blake, G.R. Bulk Density. In Methods of Soil Analysis, Part 1: Physical and Mineralogical Properties, Including Statistics of Measurement and Sampling; American Society of Agronomy, Crop Science Society of America, and Soil Science Society of America: Madison, WI, USA, 2015; pp. 374–390. [Google Scholar] [CrossRef]
- De Vos, B.; Lettens, S.; Muys, B.; Deckers, J.A. Walkley–Black analysis of forest soil organic carbon: Recovery, limitations and uncertainty. Soil Use Manag. 2007, 23, 221–229. [Google Scholar] [CrossRef]
- Ladoni, M.; Bahrami, H.A.; Alavipanah, S.K.; Norouzi, A.A. Estimating soil organic carbon from soil reflectance: A review. Precis. Agric. 2010, 11, 82–99. [Google Scholar] [CrossRef]
- She, D.; Zhang, W.; Hopmans, J.W.; Timm, L.C. Area representative soil water content estimations from limited measurements at time-stable locations or depths. J. Hydrol. 2015, 530, 580–590. [Google Scholar] [CrossRef]
- Zhang, Q.; Yue, C.; Yu, P.; Xu, H.; Liu, K.; Wu, J.; Sheng, F. Impacts of Different Vegetation Types on Soil Aggregate Stability in the Key Ecological Rehabilitation Area of the Tarim River Basin, Northwest China. Land 2024, 13, 2157. [Google Scholar] [CrossRef]
- Bottinelli, N.; Jouquet, P.; Capowiez, Y.; Podwojewski, P.; Grimaldi, M.; Peng, X. Why is the influence of soil macrofauna on soil structure only considered by soil ecologists? Soil Tillage Res. 2015, 146, 118–124. [Google Scholar] [CrossRef]
- Brady, N.C.; Weil, R.R. The Nature and Properties of Soils; Prentice Hall: Upper Saddle River, NJ, USA, 1998; p. 881. [Google Scholar]
- Heitschmidt, R.K.; Ansley, R.J.; Dowhower, S.L.; Jacoby, P.W.; Price, D.L. Some observations from the excavation of honey mesquite root systems. J. Range Manag. 1988, 41, 227–231. [Google Scholar] [CrossRef]
- Camp, C.R.; Sadler, E.J.; Busscher, W.J. A comparison of uniformity measures for drip irrigation systems. Trans. ASAE 1997, 40, 1013–1020. [Google Scholar] [CrossRef]
- Saxton, K.E.; Rawls, W.J. Soil Water Characteristic Estimates by Texture and Organic Matter for Hydrologic Solutions. Soil Sci. Soc. Am. J. 2006, 70, 1569–1578. [Google Scholar] [CrossRef]
- Minitab Statistical Software. Available online: http://www.minitab.com/en-US/products/minitab/ (accessed on 15 December 2024).
- Bruijnzeel, L.A. Hydrological functions of tropical forests: Not seeing the soil for the trees? Agric. Ecosyst. Environ. 2004, 104, 185–228. [Google Scholar] [CrossRef]
- Ilstedt, U.; Bargués Tobella, A.; Bazié, H.R.; Bayala, J.; Verbeeten, E.; Nyberg, G.; Sanou, J.; Benegas, L.; Murdiyarso, D.; Laudon, H.; et al. Intermediate tree cover can maximize groundwater recharge in the seasonally dry tropics. Sci. Rep. 2016, 6, 21930. [Google Scholar] [CrossRef]
- Ong, C.K.; Black, C.R.; Muthuri, C.W. Modifying forestry and agroforestry to increase water productivity in the semi-arid tropics. CAB Rev. Perspect. Agric. Vet. Sci. Nutr. Nat. Resour. 2006, 1, 1–19. [Google Scholar] [CrossRef]
- Levia, D.F.; Frost, E.E. Variability of throughfall volume and solute inputs in wooded ecosystems. Prog. Phys. Geogr. 2006, 30, 605–632. [Google Scholar] [CrossRef]
- Hölscher, D.; Mackensen, J.; Roberts, J.-M. Forest recovery in the humid tropics: Changes in vegetation structure, nutrient pools and the hydrological cycle. In Forests, Water and People in the Humid Tropics: Past, Present and Future Hydrological Research for Integrated Land and Water Management; Bonell, M., Bruijnzeel, L.A., Eds.; International Hydrology Series; Cambridge University Press: Cambridge, UK, 2005. [Google Scholar]
- Porta Casanellas, J.; Reguerín, L.A.; de Laburu, C. Edafología Para la Agricultura y el Medio Ambiente, 3rd ed.; Mundi-Prensa: Madrid, Spain, 2003; p. 961. [Google Scholar]
- Khaleel, A.A.; Sauer, T.J.; Tyndall, J.C. Changes in deep soil organic carbon and soil properties beneath tree windbreak plantings in the U.S. Great Plains. Agrofor. Syst. 2020, 94, 565–581. [Google Scholar] [CrossRef]
- Barbosa-Briones, E.; Cardona-Benavides, A.; Reyes-Hernández, H.; Muñoz-Robles, C. Ecohydrological function of vegetation patches in semi-arid shrublands of central Mexico. J. Arid Environ. 2019, 168, 36–45. [Google Scholar] [CrossRef]
- Korkanҫ, S.Y. Effects of afforestation on soil organic carbon and other soil properties. CATENA 2014, 123, 62–69. [Google Scholar] [CrossRef]
- Bhark, E.W.; Small, E.E. Association between plant canopies and the spatial patterns of infiltration in shrubland and grassland of the Chihuahuan desert, New Mexico. Ecosystems 2003, 6, 185–196. [Google Scholar] [CrossRef]
- Bosi, C.; Pezzopane, J.R.M.; Sentelhas, P.C. Soil water availability in a full sun pasture and in a silvopastoral system with eucalyptus. Agrofor. Syst. 2020, 94, 429–440. [Google Scholar] [CrossRef]
- Chamizo, S.; Cantón, Y.; Lázaro, R.; Domingo, F. The role of biological soil crusts in soil moisture dynamics in two semiarid ecosystems with contrasting soil textures. J. Hydrol. 2013, 489, 74–84. [Google Scholar] [CrossRef]
- Ni, J.; Cheng, Y.; Wang, Q.; Ng, C.W.W.; Garg, A. Effects of vegetation on soil temperature and water content: Field monitoring and numerical modelling. J. Hydrol. 2019, 571, 494–502. [Google Scholar] [CrossRef]
- Yang, T.; Ala, M.; Zhang, Y.; Wu, J.; Wang, A.; Guan, D. Characteristics of soil moisture under different vegetation coverage in Horqin Sandy Land, northern China. PLoS ONE 2018, 13, e0198805. [Google Scholar] [CrossRef]
- He, S.; Zhang, C.; Meng, F.R.; Bourque, C.P.A.; Huang, Z.; Li, X. Impacts of re-vegetation on soil water dynamics in a semiarid region of Northwest China. Sci. Total Environ. 2024, 911, 168496. [Google Scholar] [CrossRef]
- Xu, Q.; Liu, S.; Wan, X.; Jiang, C.; Song, X.; Wang, J. Effects of rainfall on soil moisture and water movement in a subalpine dark coniferous forest in southwestern China. Hydrol. Process. 2012, 26, 3800–3809. [Google Scholar] [CrossRef]






| Species | High (m) | Crown Diameter (m) | Cover (%) |
|---|---|---|---|
| Prosopis leaviagata (Ar) | 5.00 ± 1.00 | 5.23 ± 0.72 | 62.40 ± 5.87 |
| Bursera graveolens (Ar) | 4.34 ± 0.50 | 4.04 ± 1.68 | 73.80 ± 4.12 |
| Leucaena esculenta (Ar) | 3.90 ± 0.65 | 3.83 ± 1.21 | 75.20 ± 3.84 |
| Prosopis leaviagata (AIC) | 4.30 ± 0.44 | 5.70 ± 0.58 | 58.05 ± 3.69 |
| Lysiloma divaricatum (AIC) | 4.70 ± 1.15 | 6.25 ± 1.04 | 71.05 ± 8.22 |
| Hesperalbizia occidentalis (AIC) | 6.00 ± 0.61 | 7.51 ± 1.06 | 71.65 ± 10.77 |
| Horizon | Thickness, Particle Content, and Texture | System | ||
|---|---|---|---|---|
| Dense Agroforestry (Ar) | Intercropped Agroforestry (AIC) | Control | ||
| A | Thickness (cm) | 14.00 | 4.00 | Close to zero |
| Clay (%) | 70.55 | 66.95 | 71.95 | |
| Silt (%) | 17.50 | 20.00 | 22.20 | |
| Sand (%) | 11.95 | 13.05 | 5.55 | |
| Texture | Clay | Clay | Clay | |
| B | Thickness (cm) | 26.00 | 28.00 | 30.00 |
| Clay (%) | 44.45 | 64.45 | 56.96 | |
| Silt (%) | 15.00 | 20.00 | 22.50 | |
| Sand (%) | 40.55 | 15.55 | 20.55 | |
| Texture | Clay | Clay | Clay | |
| Horizon | Parameter | System | ||
|---|---|---|---|---|
| Dense Agroforestry (Ar) | Intercropped Agroforestry (AIC) | Control | ||
| A | 0.539 | 0.536 | 0.553 | |
| 0.453 | 0.453 | 0.449 | ||
| 0.347 | 0.348 | 0.345 | ||
| 1.220 | 1.230 | 1.190 | ||
| 1.460 | 1.320 | 2.490 | ||
| B | 0.462 | 0.529 | 0.518 | |
| 0.388 | 0.455 | 0.458 | ||
| 0.269 | 0.349 | 0.350 | ||
| 1.430 | 1.250 | 1.280 | ||
| 0.990 | 0.960 | 0.730 | ||
| Cover | ||
|---|---|---|
| 15 August 2022 | 7 September 2022 | |
| Prosopis leaviagata Ar b | 14.06 | 0.00 |
| Bursera graveolens Ar a | 25.98 | 6.03 |
| Leucaena esculenta Ar a | 19.77 | 0.00 |
| Prosopis leaviagata AIC a | 21.45 | 0.00 |
| Lysiloma divaricatum AIC a | 23.88 | 0.00 |
| Hesperalbizia occidentalis AIC a | 23.47 | 0.00 |
| Control b | 9.64 | 0.00 |
Disclaimer/Publisher’s Note: The statements, opinions and data contained in all publications are solely those of the individual author(s) and contributor(s) and not of MDPI and/or the editor(s). MDPI and/or the editor(s) disclaim responsibility for any injury to people or property resulting from any ideas, methods, instructions or products referred to in the content. |
© 2025 by the authors. Licensee MDPI, Basel, Switzerland. This article is an open access article distributed under the terms and conditions of the Creative Commons Attribution (CC BY) license (https://creativecommons.org/licenses/by/4.0/).
Share and Cite
Pulido-Esquivel, A.Y.; Prado-Hernández, J.V.; Buendía-Espinoza, J.C.; García-Núñez, R.M. Agroforestry Systems Enhance Soil Moisture Retention and Aquifer Recharge in a Semi-Arid Mexican Valley. Water 2025, 17, 1488. https://doi.org/10.3390/w17101488
Pulido-Esquivel AY, Prado-Hernández JV, Buendía-Espinoza JC, García-Núñez RM. Agroforestry Systems Enhance Soil Moisture Retention and Aquifer Recharge in a Semi-Arid Mexican Valley. Water. 2025; 17(10):1488. https://doi.org/10.3390/w17101488
Chicago/Turabian StylePulido-Esquivel, Aldo Yair, Jorge Víctor Prado-Hernández, Julio César Buendía-Espinoza, and Rosa María García-Núñez. 2025. "Agroforestry Systems Enhance Soil Moisture Retention and Aquifer Recharge in a Semi-Arid Mexican Valley" Water 17, no. 10: 1488. https://doi.org/10.3390/w17101488
APA StylePulido-Esquivel, A. Y., Prado-Hernández, J. V., Buendía-Espinoza, J. C., & García-Núñez, R. M. (2025). Agroforestry Systems Enhance Soil Moisture Retention and Aquifer Recharge in a Semi-Arid Mexican Valley. Water, 17(10), 1488. https://doi.org/10.3390/w17101488

