Abstract
Coastal saline–alkaline soils are characterized by high salinity and poor permeability. Subsurface drainage and biochar amendment are both practical methods, and their combination may overcome the limitations of individual measures and achieve rapid desalination and soil improvement. To evaluate the impact of different subsurface drainage spacing and biochar amendment on soil properties and crop yield, the salt-tolerant plant “alfalfa” was used as the main material. We designed four drainage spacing treatments (0 m (CK), 6 m (S1), 12 m (S2), and 18 m (S3)) and three biochar amendment rates (5 t ha−1 (C1), 10 t ha−1 (C2), 15 t ha−1 (C3)). Soil physical indicators, salinity, and alfalfa yield are measured. The results showed that smaller drainage spacing and higher biochar amendment rates were beneficial for soil improvement, including bulk density, porosity, and field capacity. The experimental treatments affected the entire soil profile (0–80 cm), with subsurface drainage showing a greater impact on reducing salinity than biochar amendment. The S1 treatment had the most significant yield-increasing effect compared to other spacings. The increase in the biochar amendment rate promoted alfalfa yield, particularly for the first harvest. Overall, the results indicated that the drainage spacing of 6 m and the biochar amendment of 15 t ha−1 were most beneficial in improving soil properties in the plow layer and promoting alfalfa yield in saline–alkaline soils.
1. Introduction
Saline–alkaline soils are extensively distributed across more than 100 countries and regions globally, covering an area of 9.5 million hectares, with an annual growth rate ranging from 1 × 104 to 1 × 105 hectares [1]. In China, saline–alkaline soils are categorized into inland saline–alkaline soils and coastal saline–alkaline soils, with a surface area of roughly 1.5 billion acres (1 × 109 hectares). The saline–alkaline soils in the northwest areas, including Xinjiang, Inner Mongolia, Gansu, and Qinghai, account for 70% of the total area, while coastal saline–alkaline soils are widely distributed in coastal provinces such as Tianjin, Shandong, Zhejiang, and Jiangsu [2]. Due to unreasonable irrigation and field measures, secondary salinization often occurs and gradually intensifies [3,4].
However, saline–alkaline soils are valuable backup agricultural land resources and are crucial in ensuring regional food security [3]. Developing effective measures to improve saline–alkaline land and achieving sustainable agricultural development is an important task, not only for China but also for many other countries around the world.
Oxygen-limited pyrolysis transforms biomass precursors into biochar, a functional carbon material, at temperatures between 350 °C and 1000 °C [5]. Biochar can absorb heavy metal ions, hormones, and organic pollutants and can be used for soil enhancement, carbon sequestration, and developing new materials that use biochar as the main component [6]. As the application rate increases, the proportion of larger particles in the soil increases, increasing porosity, which enhances soil permeability and improves water retention. Higher biochar application rates increase the proportion of larger soil particles and raise porosity. As a result, both permeability and water retention improve. Importantly, biochar has a long-lasting effect on soil particle size composition. Furthermore, applying biochar promotes the availability of nutrients and fertility in different soil types including saline soil [7].
With technological advancements in trenching equipment and pipes, subsurface drainage has become a common and practical method for improving coastal saline–alkaline soils, and its application can significantly improve soil salinity and moisture conditions [8]. Excess water in the soil can be efficiently removed through subsurface drainage, lowering the groundwater level, thus preventing salts from rising to the soil surface with moisture and reducing salt damage to crop roots [9,10]. Early studies found that applying subsurface drainage in saline–alkaline soils can improve the soil environment and enhance soil productivity [11]. The selection of drainage pipe spacing in subsurface drainage plays a crucial role in drainage effectiveness. If the spacing is too large, drainage efficiency is reduced. If the spacing is too small, construction costs and operational expenses increase [12]. Previous studies have explored soil enhancement in saline–alkaline soils using different drainage pipe spacings combined with burial depths, organic fertilizer applications, and the planting of salt-tolerant plants in conjunction with subsurface drainage. However, research on the combined effects of subsurface drainage with different tube spacings and biochar on soil properties in saline–alkaline soils is limited. Furthermore, the response of alfalfa, a salt-tolerant forage plant suitable for saline–alkaline land, to the synergistic effects of subsurface drainage and biochar remains unclear.
In summary, subsurface drainage can achieve rapid leaching of salt, and the porous structure and functional groups of biochar can adsorb and lock in salt (especially Na+). The combination of these two measures may have various effects on the salt content of coastal saline soil. Meanwhile, both measures have been proven to improve soil physical structure, and their combination may have a new effect. These effects on the soil will ultimately influence crop growth, ultimately impacting their yield and quality formation. Therefore, this study is based on the hypothesis that different drainage pipe spacings and biochar amendment rates may impact the properties of coastal saline–alkaline soils and potentially affect crop yield. Therefore, this experiment selects alfalfa as the plant material, designs different drainage pipe spacings and biochar amendment rates, observes soil physical and chemical indicators, and measures alfalfa yield. The goals of this study are (1) to investigate the effects of different drainage pipe spacing-biochar amendment treatments on the soil structure, salinity, nutrients, and other indicators; (2) to compare the differences in alfalfa yield under different treatments; and (3) to identify the main factors affecting crop yield under different treatments and find the optimal drainage pipe spacing–biochar synergistic strategy for coastal saline–alkaline soils. This study aims to provide a theoretical and practical basis for the development of collaborative improvement measures for saline–alkaline land.
2. Materials and Methods
2.1. Experimental Site
The experimental period spanned from March to October 2024 at the Modern Agricultural Park of Cixi Hangzhou Bay (Ningbo Haihan Agricultural Development Co., Ltd., Ningbo, China) (Latitude 30°10′ N, Longitude 121°13′ E) (this study was approved by the land manager He Xia). The experimental site has four distinct seasons and is in a subtropical climate zone. Over the past decade, the region recorded 1422 mm mean annual precipitation and 1850 annual sunshine hours. The soil in Hangzhou Bay is saline–alkaline, with a salt content ranging from 1% to 28%. The experimental area underwent appropriate improvements in the early stages, such as irrigation leaching, plant cultivation, and organic fertilizer application. The rainfall and temperature during the experiment are shown in Table 1. During the experiment, the average minimum temperature and maximum temperature were in ranges of 6–26 °C and 17–35 °C, and the monthly precipitation was 6.7–240.9 mm. The climate during the experimental period was similar to previous years, and there were no extreme rainfall events.
Table 1.
Soil physical and chemical properties.
The basic soil properties and mechanical composition of the 0–60 cm soil layer before the start of this experiment are presented in Table 1 and Table 2.
Table 2.
Soil mechanical composition.
2.2. Experimental Design
This experiment used the alfalfa variety “Zhongmu No. 3” as the material. The sowing date was 12 March, and the seeding rate was 25 kg ha−1 during the experiment. Irrigation was carried out on 27 March, 2 July, and 17 August, with irrigation amounts of 88 mm, 96 mm, and 83 mm, respectively. The planted alfalfa was mowed thrice: on 4 June, 29 July, and 2 October. Before sowing, all treatments were applied in advance with organic fertilizer. The organic fertilizer was made from raw materials, including EM microbial inoculant, rice straw, soybean meal, and chicken manure, and applied at a rate of 1000 kg ha−1.
This experiment was designed with four different spacings for the drainage pipes and three different biochar amendment rates. The four spacing distances for the drainage pipes are 0 m (CK), 6 m (S1), 12 m (S2), and 18 m (S3), while the three application rates of biochar are 5 t ha−1 (C1), 10 t ha−1 (C2), and 15 t ha−1 (C3) (Table 3). Therefore, this study includes a total of 4 × 3 = 12 treatments, with each treatment being replicated three times. The drainage pipes are buried 1 m deep, and the slope is 1‰. The drainage pipes are made of PVC corrugated pipes wrapped in non-woven fabric. Peanuts are a widely planted crop in the local area, and peanut shells are its waste resources. Using peanut shells as raw material for biochar allows for local sourcing and reduces overall material costs. The biochar used in this experiment is carbonized from peanut shells and has a pH of 9.7, with an organic matter content of 446.3 g kg−1 organic carbon and 5.6 g kg−1 total nitrogen, and a specific surface area of 9.12 m2 g−1. Aside from the differences in drainage pipe spacing and biochar amendment rates, all other field management practices in the experimental areas remained consistent.
Table 3.
The experimental treatments.
The experiment uses a split-plot design, with the four pipe spacings corresponding to four experimental blocks. Each block has an area of 60 m × 40 m. A 60 cm deep isolation membrane separates the blocks. Within each block, three 6 m × 6 m subplots are designated for applying the three different biochar rates. The subplots are located in the center between two adjacent drainage pipes. Each treatment is repeated three times, totaling 36 subplots. An observation point is set in the center of each subplot, as shown in Figure 1.
Figure 1.
Schematic diagram of experimental treatment (1‰ represents the ratio of the vertical elevation difference to the horizontal distance of the pipeline).
2.3. Measurement
Since alfalfa is a shallow-rooted crop, after soil enhancement, the focus is on the soil production conditions in the plow layer; the main objects of this study are the observation of soil porosity, bulk density, field water capacity, and soil nutrients within the plow layer, specifically the 0–20 cm soil depth. However, soil salinity is a long-term concern for coastal saline–alkaline land, and the salinity in the plow layer can be influenced by the salinity in the middle and lower layers due to water and salt migration conditions. Therefore, the salinity observations in this study target a deeper soil profile.
After each alfalfa harvest, undisturbed soil samples from the 0–20 cm depth were collected using the soil auger method to measure the soil bulk density, soil porosity, field capacity, and moisture content of the plougher layer. At the observation points, observation wells were dug, and sensors (FJA-10, Saiyasi Co., Ltd., Dandong, China) were installed at 10 cm, 30 cm, 50 cm, and 70 cm to determine soil electrical conductivity (EC). The EC values were converted to total salt according to the following formula [13]:
where S represents the total salt content (g kg−1), and EC represents the electrical conductivity (ms cm−1).
S = 3.618 × EC + 0.412
The fresh yield was obtained by directly weighing the alfalfa after mowing, while the dry yield was obtained by naturally air-drying the alfalfa samples until mass stabilization. This study uses the alfalfa dry yield (kg ha−1) for analysis. During harvesting, a 1 m2 area with uniform alfalfa growth was selected from each plot for harvest, leaving a 5 cm stubble. After harvesting, the fresh yield was weighed. A 500 g sample from the harvested alfalfa was air-dried to a constant weight, and the dry weight was documented. The dry-to-fresh weight ratio was then calculated. The total fresh yield in the harvest area was multiplied by the dry-to-fresh weight ratio and converted to per-hectare yield, which represents the alfalfa yield.
2.4. Data Analysis
For significance analysis, the data were submitted to SPSS 17.0 software [14]. Levene’s test was used to check the homogeneity of variance. Then, an ANOVA was performed to analyze whether there were significant differences among groups. Finally, Duncan’s test was conducted to examine the differences between treatments [15,16].
3. Results
3.1. The Effects of Different Subsurface Drainage Spacing and Biochar Amendments on Soil Physical Properties in the Plow Layer
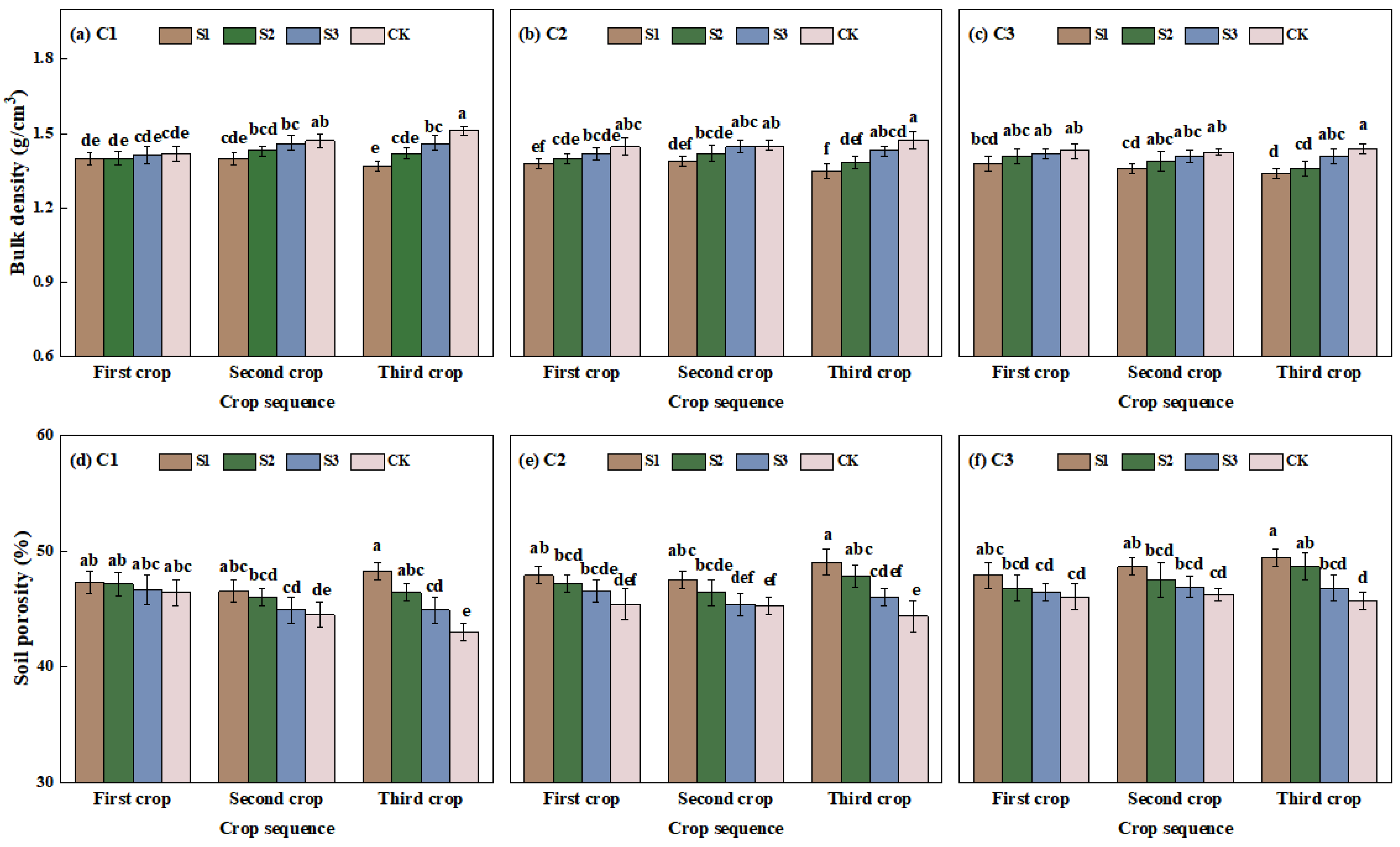
As the spacing of subsurface drains decreased from S3 to S1, the soil bulk density gradually decreased (Figure 2a–c). For the three alfalfa harvests, the reduction rates were 1.2–2.9%, 3.1–4.1%, and 5.2–6.6%, respectively, indicating that reduced bulk density with smaller drainage spacing became more evident over time. Compared to the no-drainage treatment (CK), the average soil bulk density under S1 conditions significantly decreased by 3.4%, 4.3%, and 8.9% for the first, second, and third harvests of alfalfa, respectively. As the biochar amendment rate increased from C1 (5 t ha−1) to C3 (15 t ha−1), the soil bulk density decreased, but this effect was only observed in the second and third harvests. For the third harvest, under S2 conditions, the increase in biochar amendment from C1 to C3 led to the highest reduction in bulk density, reaching 4.4%. Overall, the effect of subsurface drainage spacing on bulk density was greater than that of biochar amendment.
Figure 2.
Effects of different spacing of drainage pipes and biochar amendment on bulk density (a–c), soil total porosity (d–f) in the plough layer (S1, S2, S3, and CK denote drainage pipe spacings of 6 m, 12 m, 18 m, and 0 m (no drainage pipes), respectively). C1, C2, and C3 represent 5, 10, and 15 t ha−1 biochar amendment rates, respectively. Different letter superscripts represent Duncan’s test groupings, and different superscripts denote statistically significant differences (p < 0.05). Values are means ± standard deviation (n = 3).
Soil porosity exhibited an opposite trend to bulk density, with decreasing drainage spacing leading to an increase in porosity (Figure 2d–f). On this basis, increasing the biochar amendment rate further enhanced the increase in porosity. For example, in the first harvest, under the C3 biochar amendment rate, the decrease in drainage spacing from S3 to S1 resulted in the greatest increase in porosity, which was 3.3%. Over time, the effect of drainage spacing on porosity became more pronounced. By the second and third harvests, the average increase in porosity from S3 to S1 was 4.0% and 6.6%, respectively. The increase in biochar amendment also enhanced soil porosity, mainly in the second and third harvests, demonstrating that biochar can improve soil aeration.
In the first crop, the drainage pipe spacing had already reached a significant effect on soil bulk density and porosity (Table 4), and in the second and third crops, the effects were highly significant. The application rate of biochar showed no significant effect on soil bulk density and porosity in the first crop, but its influence became highly significant in the second and third crops. However, the combined effect of drainage spacing and biochar application did not show any significant effect across all three crops of alfalfa cultivation.
Table 4.
ANOVA analysis of the interactive effects between subsurface drainage spacing and biochar amendment on bulk density and soil porosity.
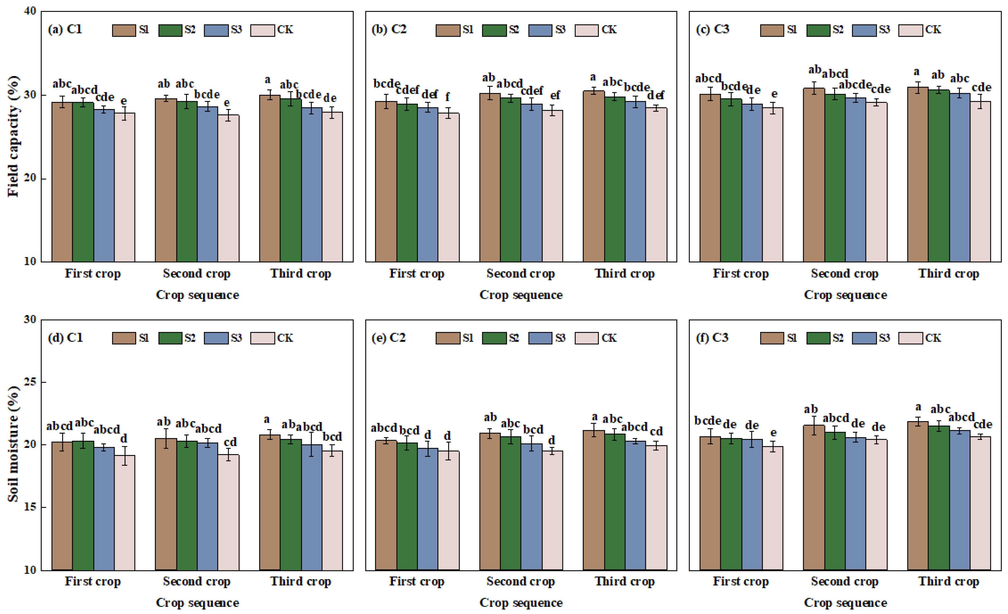
As the drainage spacing decreased, the field capacity gradually increased, a trend observed during all three alfalfa harvests (Figure 3a–c). As the biochar amendment rate increased, the field’s water-holding capacity gradually increased, but this trend was only evident in the second and third harvests. Under the three biochar amendment rates, the average field water-holding capacity for the drainage treatments in the first, second, and third harvests was 28.8–29.5%, 29.2–30.2%, and 29.3–30.6%, respectively, indicating that as the planting period increased, the effect of the experimental treatments on enhancing the field’s water-holding capacity gradually became more significant. Compared to CK, the drainage treatments’ average field water-holding capacity increased by 3.6–3.8%, 3.7–5.6%, and 4.6–5.1% for the first, second, and third harvests, respectively.
Figure 3.
Effects of different spacing of drainage pipes and biochar amendment on soil water content at the field capacity (a–c) and soil moisture content of the plow layer (d–f) (the treatments comprised three subsurface drainage spacings (S1 = 6 m, S2 = 12 m, S3 = 18 m) and an undrained control (CK)), respectively. C1, C2, and C3 represent 5, 10, and 15 t ha−1 biochar amendment rates, respectively. Based on Duncan’s multiple range test, various letters (a–f) indicate notable differences at the 0.05 level. Values are means ± standard deviation (n = 3).
Compared to CK, subsurface drainage was beneficial in increasing the soil moisture content of the plow layer, and this increase became more pronounced as the planting period extended (Figure 3d–f). In the third harvest, the soil moisture content under the drainage treatment was 20.0–21.2%, higher than the 19.5–20.6% under CK. For the same biochar amendment rate, the smaller the drainage spacing, the higher the soil moisture content. This trend was observed during all three harvests but was more pronounced in the second and third harvests. Under the same drainage spacing, the increase in biochar amendment significantly contributed to the increase in soil moisture content. For the third harvest, under the C1 treatment, the soil moisture content was 19.5–20.8%, while under the C3 treatment, it was significantly higher, ranging from 20.6 to 21.8%.
Overall, drainage spacing exerted significant effects on field capacity and soil moisture content throughout the three crops (Table 5). The effect of biochar rate on field capacity and soil moisture content became progressively significant with extended cultivation duration, reaching a highly significant level by the third crop. However, the interaction between these two factors showed no significant effects on either indicator.
Table 5.
ANOVA analysis of the interactive effects between subsurface drainage spacing and biochar amendment on field capacity and soil moisture.
Overall, the results indicated that smaller subsurface drainage spacing (6 m) and higher biochar amendment rates (15 t ha−1) significantly improved the physical properties of the plow layer soil, such as decreasing the soil bulk density, enhancing the porosity, increasing the field water-holding capacity and soil moisture content. These improvements help optimize soil structure and enhance the soil’s water retention and aeration properties, creating more favorable conditions for crop growth.
3.2. Soil Salinity Changes in the Soil Profile Under Different Spacing of Drainage Pipes and Biochar Amendment
The impacts of various spacing of drainage pipes and biochar amendment rates on soil profile salinity variation are shown in Figure 4. Overall, both drainage pipe installation and biochar amendment effectively reduced soil salinity, with a more significant reduction in salinity as the separation of the drainage pipes decreased and the biochar amendment rate increased. For soil strata at depths of 0–20 cm, the combination of a 6 m drainage pipe spacing (S1) and a 15 t ha−1 biochar amendment rate (C3) (S1C3) demonstrated the best salt reduction effect, with salinity decreasing from 1.89 g kg−1 to 1.13 g kg−1, a reduction of 40.2%. In contrast, the combination of no drainage pipes (CK) and a low biochar amendment rate (C1) (CKC1) showed only a slight decrease in salinity from 1.95 g kg−1 to 1.77 g kg−1, a reduction of 9.2%. For soil depths of 20–40 cm, the S1C3 treatment reduced salinity from 2.09 g kg−1 to 1.18 g kg−1, a decrease of 43.5%, whereas the CKC1 treatment only reduced salinity from 2.13 g kg−1 to 1.87 g kg−1, a decrease of 12.2%. In the 40–60 cm and 60–80 cm soil layers, the S1C3 treatment exhibited the highest salt removal efficiency, with reductions of 37.9% and 45.0%, respectively. This indicates that the experimental treatments impacted the entire soil profile (0–80 cm), and the S1C3 combination showed the most satisfactory salt reduction effect.
Figure 4.
Soil salinity changes under different drainage pipe spacings and biochar applications (S1, S2, S3, and CK represent drainage pipe spacings of 6 m, 12 m, 18 m, and 0 m (no drainage pipe), respectively). C1, C2, and C3 represent 5, 10, and 15 t ha−1 biochar amendment rates, respectively. (a–c), (d–f), (g–i), (j–l) represent measurements at 0–20 cm, 20–40 cm, 40–60 cm, and 60–80 cm soil depths, respectively. Values are means ± standard deviation (n = 3).
Under the same biochar amendment rate, the S1 spacing resulted in the most notable reduction in salt content. Compared with the S3 spacing, S1 led to a 43.0–85.6% reduction in salinity in the 0–20 cm soil layer and a 43.8–79.1% reduction in the 20–40 cm soil layer. The drainage pipe treatments performed significantly better in salt removal for all four soil layers than the CK treatment with no drainage pipes. Under the same drainage pipe spacing, increasing the biochar application rate from C1 to C3 resulted in a salinity reduction of 0.1–17.2%, 6.8–12.7%, 4.2–12.5%, and 7.4–13.1% for the 0–20 cm, 20–40 cm, 40–60 cm, and 60–80 cm soil layers, respectively. From the perspective of the extent of salinity reduction, the effect of drainage pipes was more significant than that of biochar amendment.
3.3. Impact of Different Drainage Pipe Spacings and Biochar Amendment on Alfalfa Yield
As the drainage pipe spacing decreased from S3 to S1, the alfalfa yields gradually increased (Figure 5). This pattern was observed under all biochar treatments, with significant increases (p < 0.05) in the second and third cuts. For the second and third cuts, the alfalfa yield in S1 was 10.7–18.5% higher than in S3, respectively. Compared to the control (CK), the drainage pipe treatment significantly improved the alfalfa yield, with increases of 10.6–47.4%.
Figure 5.
The effects of different subsurface drain spacing and biochar amendment on the yield of alfalfa in the first (a), second (b), and third (c) harvests. S1, S2, S3, and CK represent subsurface drain spacings of 6 m, 12 m, 18 m, and 0 m (no drainage pipe), respectively. C1, C2, and C3 represent biochar amendment amounts of 5, 10, and 15 t ha−1, respectively. According to Duncan’s multiple range test, different letters (a–g) in the figure indicate significant differences at the 0.05 level. Values are means ± standard deviation (n = 3).
As the biochar amendment rate increased from C1 to C3, the alfalfa yield showed an increasing trend. For example, under the S1 condition, the yield of C3 was 30.3% higher than that of C1 in the first cut. Similar yield increases were observed in the second and third cuts, with 16.2% and 8.9%, respectively. Notably, the promoting effect of increasing biochar amendment on the yield gradually weakened as the planting time extended. This trend was observed not only at S1 spacing but also at S2 and S3 spacings.
Among all 12 treatments, CKC1 yielded the lowest levels of alfalfa in all three cuts, with yields of 603, 1895, and 1628 kg ha−1, respectively. In contrast, the S1C3 treatment resulted in the highest alfalfa yields in all three cuts, reaching 1028, 2796, and 2269 kg ha−1, respectively. This indicates that selecting an appropriate drainage pipe spacing and biochar amendment rate can promote high alfalfa yields.
4. Discussion
Biochar application reduced soil bulk density and porosity primarily during the second and third crops, which is likely because the first harvest was conducted more shortly after biochar was applied, meaning the full effects of biochar had not yet been realized. The effect of biochar depends on the degree of microbial activation, and microbial activation depends on soil environmental indicators such as water content and the soil’s physical and chemical properties. The improvement in these indicators requires a certain amount of time. The duration from the first crop to the addition of biochar (83 days) is shorter than that of the other two crops, which may prevent the effect of biochar from being fully utilized. Our results show that after applying biochar, soil porosity increased to varying degrees, soil bulk density decreased, and soil structure improved. This may be because biochar has a low bulk density and can dilute the soil. Additionally, its strong adsorption capacity and high organic content help promote aggregate formation, improving soil structure, reducing bulk density, and increasing porosity, which also helps alleviate soil compaction [17]. After proper subsurface drainage spacing, our study found that these beneficial effects were enhanced. This may be due to the alternating wet and dry conditions created by subsurface drainage, which promotes dehydration and reorganization of soil particles into micro-aggregates [18,19].
Our result that the biochar amendment improved soil water retention was consistent with the findings of Liu et al. [20]. This could be because biochar contains abundant oxygen-containing functional groups, giving it polarity and hydrophilicity, which enhance its ability to retain soil moisture [21]. Polar hydrogen bonds such as O2— and C—O—H promote interactions between water molecules and the biochar surface, further improving soil water retention. However, Liang et al. [22] suggested that excessive biochar may negatively affect the hydraulic properties of saline soils, possibly because too many biochar particles block soil pores. Mahmood et al. [23] also pointed out that the impacts of biochar on soil moisture retention vary depending on the application depth. Our study found that under subsurface drainage conditions, the soil’s water-holding capacity increased. Compared to no drainage, this may be due to the soil structural improvements promoted by drainage. Additionally, subsurface drainage increases soil moisture, which can be attributed to boosting soil permeability (porosity) and the ability to retain water (field water-holding capacity).
Our results demonstrate that biochar reduces soil salinity, and when combined with subsurface drainage, the desalination effect may influence the entire soil profile. The desalination effect of subsurface drainage has been confirmed in many studies [24,25] because it promotes vertical water movement, leaching soluble salts from the soil and draining them away. The mechanism by which biochar reduces soil salinity may be due to its sparse and porous nature, with a large surface area that can reorganize soil pore distribution and aggregation processes, improving soil porosity and permeability and promoting vertical and horizontal water movement. Enhanced water movement facilitates salt leaching and reduces salt accumulation in the soil. Additionally, biochar surfaces are usually negatively charged, allowing them to adsorb cations such as sodium ions, one of the common salts in saline–alkaline soils. Wei et al. [26] and Su et al. [27] conducted similar experiments without subsurface drainage, and Wei’s study showed that straw biochar reduced soil EC in the plow layer by 55.0–92.1%, while Su’s research showed a 16–23% reduction. Our findings are consistent with Wei’s results.
The effect of subsurface drainage on crop yield is indirect. On the one hand, subsurface drainage can cause the loss of nutrients in the plow layer, reducing the available nutrients for crops and potentially leading to a reduction in yield. On the other hand, subsurface drainage alleviates salt stress, which may increase crops’ ability to absorb nutrients and water, thus promoting yield. In this study, the effect of subsurface drainage on alfalfa yield was particularly evident under narrower spacing, indicating that the contribution of subsurface drainage to alleviating salt stress outweighed the losses caused by nutrient leaching. This also highlights that salinity is a major barrier to alfalfa yield in the experimental field. Biochar also promoted yield, likely because it improved the soil microenvironment (soil structure and nutrient status), promoting root growth and laying a solid foundation for yield formation. Ruan et al. [28] and Zhen et al. [29] found that biochar promotes root characteristics, including length, surface area, and root tip number. However, it is notable that the yield-enhancing effect of biochar weakened with longer planting periods. This is likely because the biochar content in the root zone decreased under drainage conditions, further indicating that the yield-enhancing effect of biochar works directly on the crop root zone.
Our findings demonstrate that smaller subsurface drain spacing and relatively higher biochar amendment rates achieve better soil enhancement and yield increase. However, in practical applications, economic conditions and pipe costs may limit the installation of extensive underground drainage systems in some coastal areas. Therefore, local conditions should be considered when adjusting pipe layouts, prioritizing saline–alkaline soil areas that urgently need improvement for agricultural use. Regarding biochar amendment rates, as soil properties and crop types may differ in various regions, the recommended application rates can be pre-tested to determine the most suitable amount for each local area.
One shortcoming of this study is that we attached great importance to discovering regularities and selecting appropriate management strategies, but the mechanisms could have been more in-depth. For example, we did not measure the amount of biochar at different positions from the center of the root system, which limited our understanding of whether improving drainage would enhance the movement of biochar particles into the root zone or whether biochar would help retain nutrients that may be lost through drainage. Also, we did not pay attention to soil evaporation, which, to some extent, limits the study of salt transport mechanisms. Currently, in many countries, particularly developing countries, urban land and agricultural land are encroaching on each other, and developing coastal agriculture has become an important way for sustainable agricultural development. Most coastal soils are mostly alkaline, with oxygen-containing functional groups in acidic biochar protonate alkaline components, reducing soil pH through acid–base reactions, and improving the soil’s acid–base balance [30]. Future research could further explore the utilization of acidic biochar in saline–alkaline soils and its synergistic effects with engineering measures such as subsurface drainage. In addition, plant remediation measures can also be introduced for the desalination of saline–alkaline soil while exploring whether there are more suitable collaborative measures.
5. Conclusions
The smaller drainage spacing and higher biochar amendment rates were beneficial for soil improvement, including bulk density, porosity, and field capacity. The experimental treatments affected the entire soil profile (0–80 cm), with subsurface drainage showing a greater impact on reducing salinity than biochar amendment. The S1 treatment had the most significant yield-increasing effect compared to other spacings. The increase in the biochar amendment rate promoted alfalfa yield, particularly for the first harvest. Overall, the results indicated that the drainage spacing of 6 m and the biochar amendment of 15 t ha−1 were most beneficial in improving soil properties in the plow layer and promoting alfalfa yield in saline–alkaline soils. Future research could further explore the utilization of acidic biochar in saline–alkaline soils and its synergistic effects with subsurface drainage.
Author Contributions
J.L., H.X. and S.H. conceived the research idea, designed the methodology, and supervised the project implementation. J.L., H.X., Y.L. and C.L. developed the analytical framework. J.L., S.H., Q.L. and X.Z. performed the experiments, validation, and data collection. J.L., P.C., H.S. and Y.A.H. conducted formal analysis and data curation. J.L., H.X., Q.Z. and X.Z. wrote the original manuscript. H.X., S.H., Y.L. and P.C. critically reviewed and revised the manuscript. J.L. and C.L. prepared visualizations and figures. H.X. acquired funding and administered the project. All authors have read and agreed to the published version of the manuscript.
Funding
This research was funded by [Efficient Salt Reduction Technology Through Optimized Irrigation and Drainage Management for Saline-Alkali Farmland] grant number (2022YHTDJB02-1).
Data Availability Statement
Data is contained within the article.
Conflicts of Interest
Authors Jinxiu Liu, Hong Xiong, Shunshen Huang, Yaohua Li, Chengzhu Li, Qiang Li, Xiangying Zhang and Peng Cheng were employed by the CCCC Guangzhou Water Transport Engineering Design and Research Institute Co., Ltd. The remaining authors declare that this research was conducted in the absence of any commercial or financial relationships that could be construed as potential conflicts of interest.
References
- Chang, C.; Yang, G.; Li, S.; Wang, H.; Song, Y. Spatial characteristics and critical groundwater depth of soil salinization in arid artesian irrigation area of northwest China. Agric. Water. Manag. 2025, 307, 109196. [Google Scholar] [CrossRef]
- Feng, Q.; Yin, X.; Zhu, M.; Zhang, J.; Liu, W.; Xi, H.; Yu, T.; Yang, L.; Liu, W.; Lu, Z. Overall promotion of integrated management and utilization of saline-alkali land in Northwest China: Conditions, challenges, and recommendations. Bull. Chin. Acad. Sci. 2024, 39, 2060–2073. [Google Scholar]
- Zhang, S.; Wang, J.; Yang, Q.; Zhang, E.; Shaghaleh, H.; Hamoud, Y.A.; Jin, Q. Effects of Subsurface Drainage Spacing and Organic Fertilizer Application on Alfalfa Yield, Quality, and Coastal Saline Soil. Water 2024, 16, 1144. [Google Scholar] [CrossRef]
- Kaya, F.; Schillaci, C.; Keshavarzi, A.; Başayiğit, L. Predictive mapping of electrical conductivity and assessment of soil salinity in a Western Türkiye alluvial plain. Land 2022, 11, 2148. [Google Scholar] [CrossRef]
- World Biochar Certificate (WBC). Guidelines for a Sustainable Production of Biochar and Its Certification, version 1.1; Carbon Standards International: Frick, Switzerland, 2023; Available online: http://www.european-biochar.org (accessed on 20 December 2024).
- Fan, F.; Li, Y.; Fang, Y.; Li, J.; Li, D.; Huang, H. Research advances in removal of petroleum hydrocarbons from water by biochar and its composite. Environ. Sci. Technol. 2022, 45, 187–200. [Google Scholar]
- Hamoud, Y.A.; Saleem, T.; Zia-ur-Rehman, M.; Shaghaleh, H.; Usman, M.; Rizwan, M.; Alharby, H.F.; Alamri, A.A.; Sarraj, F.A.; Alabdallah, N.M. Synergistic effect of biochar with gypsum, lime, and farm manure on the growth and tolerance in rice plants under different salt-affected soils. Chemosphere 2024, 360, 142357. [Google Scholar] [CrossRef]
- Alfadil, A.A.; Xia, J.; Shaghaleh, H.; Alhaj Hamoud, Y.; Ibrahim, J.N.; Hamad, A.A.A.; Rahim, S.F.; Sheteiwy, M.S.; Wu, T. Wheat straw biochar application improves the morphological, physiological, and yield attributes of maize and the physicochemical properties of soil under deficit irrigation and salinity stress. J. Plant Nutr. 2021, 44, 2399–2420. [Google Scholar] [CrossRef]
- Yang, Y.; Zhu, Y.; Wu, J.; Mao, W.; Ye, M.; Yang, J. Development and application of a new package for MODFLOW-LGR-MT3D for simulating regional groundwater and salt dynamics with subsurface drainage systems. Agric. Water Manag. 2022, 260, 107330. [Google Scholar] [CrossRef]
- Mukhopadhyay, R.; Fagodiya, R.K.; Narjary, B.; Barman, A.; Prajapat, K.; Kumar, S.; Bundela, D.S.; Parbodh, C. Restoring soil quality and carbon sequestration potential of waterlogged saline land using subsurface drainage technology to achieve land degradation neutrality in India. Sci. Total Environ. 2023, 885, 163959. [Google Scholar] [CrossRef]
- Aboud, A.A.; Shaghaleh, H.; Alhaj Hamoud, Y.; Xia, J.; Wu, T.; Hamad, A.A.A.; Wang, T.Y.; Oumarou, A.A.; Sheteiwy, M.S. Straw Biochar-induced Modification of the Soil Physical Properties Enhances Growth, Yield and Water Productivity of Maize under Deficit Irrigation. Commun. Soil Sci. Plant Anal. 2021, 52, 1954–1970. [Google Scholar]
- Zheng, Y. Response of Soil Water, Salt and Sunflower Growth to Subsurface Drainage and Simulation of Field Drainage. Master’s Thesis, Inner Mongolia Agricultural University, Hohhot, China, 2021; p. 000315. [Google Scholar]
- Jin, Q.; Yang, Q.; Zhong, F.; Zhu, L. Impact of drip irrigation and buried straw layer on the soil cultivated environment: A case study under greenhouse. Fresenius Environ. Bull. 2017, 26, 5413–5419. [Google Scholar]
- Mi, S.B.; Wang, F.; Zhang, L. SPSS17.0 Enables the Analysis and Pairwise Comparison of Repeated Measurement Data. Master’s Thesis. J. Chende. Med. Coll. 2013, 30, 322–324. [Google Scholar]
- Lin, Z.; Chen, Z.; Lu, X.; Li, J.; Yan, W.; Liu, C.; Ruan, Y.; Liu, S.; Zhong, F.; Hou, M. Effects of EM (effective microorganism) organic fertilizer application on the soil environment under greenhouse condition. Fresenius Environ. Bull. 2018, 27, 3721–3727. [Google Scholar]
- Hou, M.; Xu, R.; Lin, Z.; Xi, D.; Wang, Y.; Wen, J.; Nie, S.; Zhong, F. Vertical characteristics of anaerobic oxidation of ammonium (anammox) in a coastal saline-alkali field. Soil Tillage Res. 2020, 198, 104531. [Google Scholar] [CrossRef]
- Tian, R.; Wang, S.; Liu, J.; Xu, L.; Sun, Z.; LI, Y.; LI, E.; Wen, X.; Yang, J.; Zhao, Y. Applying biochar and flue gas desulfurization gypsum in the root zone to improve saline-alkali soil quality and sunflower yield. Trans. Chin. Soc. Agric. Eng. 2024, 40, 148–157. [Google Scholar]
- Ai, T.; Li, F. Study on Biological Activities of Extracts from Lycopersicon esculentum against Pieris rapae. J. Yangtze Univ. (Nat. Sci. Ed.) Agric. Sci. V 2007, 6, 4–8. [Google Scholar]
- Fan, Y.; Cai, L.; Xu, H. Effect of concealed pipe drainage on improving stained paddy soil. Soil. Fert. Sci. Chin. 1989, 2, 9–12. [Google Scholar]
- Liu, H.; Jiao, Y.; Dou, W.; Zhang, W.; Pei, W. Compensation Effect and Mechanism of Nitrogen Reduction Combined with Biochar Application on Soil Fertility and Rice Yield. Trans. Chin. Soc. Agric. Mach. 2024, 55, 391–401. [Google Scholar]
- Wang, G.Y. Effects of Biochar on Soil Water Retention and Shear Strength of Different Land Use Types in Karst Mountainous Areas. Master’s Thesis, Guilin University of Technology, Guilin, China, 2024. [Google Scholar]
- Liang, J.; Li, Y.; Si, B.; Wang, Y.; Chen, X.; Wang, X.; Chen, H.; Wang, H.; Zhang, F.; Bai, Y. Optimizing biochar application to improve soil physical and hydraulic properties in saline-alkali soils. Sci. Total Environ. 2021, 771, 144802. [Google Scholar] [CrossRef]
- Laghari, M.; Naidu, R.; Xiao, B.; Hu, Z.; Mirjat, M.S.; Hu, M.; Kandhro, M.N.; Chen, Z.; Guo, D.; Jogi, Q. Recent developments in biochar as an effective tool for agricultural soil management: A review. J. Sci. Food Agric. 2016, 96, 4840–4849. [Google Scholar] [CrossRef]
- Hou, M.; Lin, Z.; Chen, J.; Zhai, Y.; Jin, Q.; Zhong, F. Optimization on the buried depth of subsurface drainage under greenhouse condition based on entropy evaluation method. Entropy 2018, 20, 859. [Google Scholar] [CrossRef]
- Long, L.; Zheng, G.; Li, Y.; Shi, L.; Li, Y.; Yang, G. Development of a Java-based optimization scheduling software for drainage pumping stations. J. Irrig. Drain. 2024, 43, 103–112. [Google Scholar]
- Wei, Y.; Wei, Y.; Jiao, L.; Zhang, P.; Liu, F.; Xiao, H.; Dong, Y.; Sun, H. Research and Application Progress of Biochar in Amelioration of Saline-Alkali Soil. Environ. Sci. 2024, 45, 940–951. [Google Scholar]
- Su, B.; Tu, Z.; Yang, Z.; Liu, N.; Bai, Z.; Deng, Z.; Tian, F.; Huang, D.; Tian, D.; Wu, Z. Enterobacter hormaechei Wu15-loaded biochar enhances the ice plant growth by improving saline soil quality. Plant Soil 2024, 12, 1–13. [Google Scholar] [CrossRef]
- Ruan, R.; Zhang, P.; Lambers, H.; Xie, W.; Zhang, Z.; Xie, S.; Wang, Y.; Wang, Y. Biochar application improves maize yield on the Loess Plateau of China by changing soil pore structure and enhancing root growth. Sci. Total Environ. 2024, 956, 177379. [Google Scholar] [CrossRef]
- Zou, Z.; Mi, W.; Li, X.; Hu, Q.; Zhang, L.; Zhang, L.; Fu, J.; Li, Z.; Han, W.; Yan, P. Biochar application method influences root growth of tea (Camellia sinensis L.) by altering soil biochemical properties. Sci. Hortic. 2023, 315, 111960. [Google Scholar] [CrossRef]
- Xu, X.; Wang, J.; Tang, Y.; Cui, X.; Hou, D.; Jia, H.; Wang, S.; Guo, L.; Wang, J.; Lin, A. Mitigating soil salinity stress with titanium gypsum and biochar composite materials: Improvement effects and mechanism. Chemosphere 2023, 321, 138127. [Google Scholar] [CrossRef]
Disclaimer/Publisher’s Note: The statements, opinions and data contained in all publications are solely those of the individual author(s) and contributor(s) and not of MDPI and/or the editor(s). MDPI and/or the editor(s) disclaim responsibility for any injury to people or property resulting from any ideas, methods, instructions or products referred to in the content. |
© 2025 by the authors. Licensee MDPI, Basel, Switzerland. This article is an open access article distributed under the terms and conditions of the Creative Commons Attribution (CC BY) license (https://creativecommons.org/licenses/by/4.0/).




