Analysis of the Water Quality of a Typical Industrial Park on the Qinghai–Tibet Plateau Using a Self-Organizing Map and Interval Fuzzy Number-Based Set-Pair Analysis
Abstract
1. Introduction
2. Material and Methods
2.1. Study Area
2.2. Sample Collection
2.3. Statistical Analyses and Models
2.3.1. Self-Organizing Map Analysis (SOM)
2.3.2. Major Factor Selection
2.3.3. Interval Fuzzy Number-Based Set-Pair Analysis
3. Results and Discussion
3.1. Statistical Overview of Water Quality Parameters
3.2. Spatial Patterns of Water Quality Parameters
3.3. Categorization of Water Quality Parameters
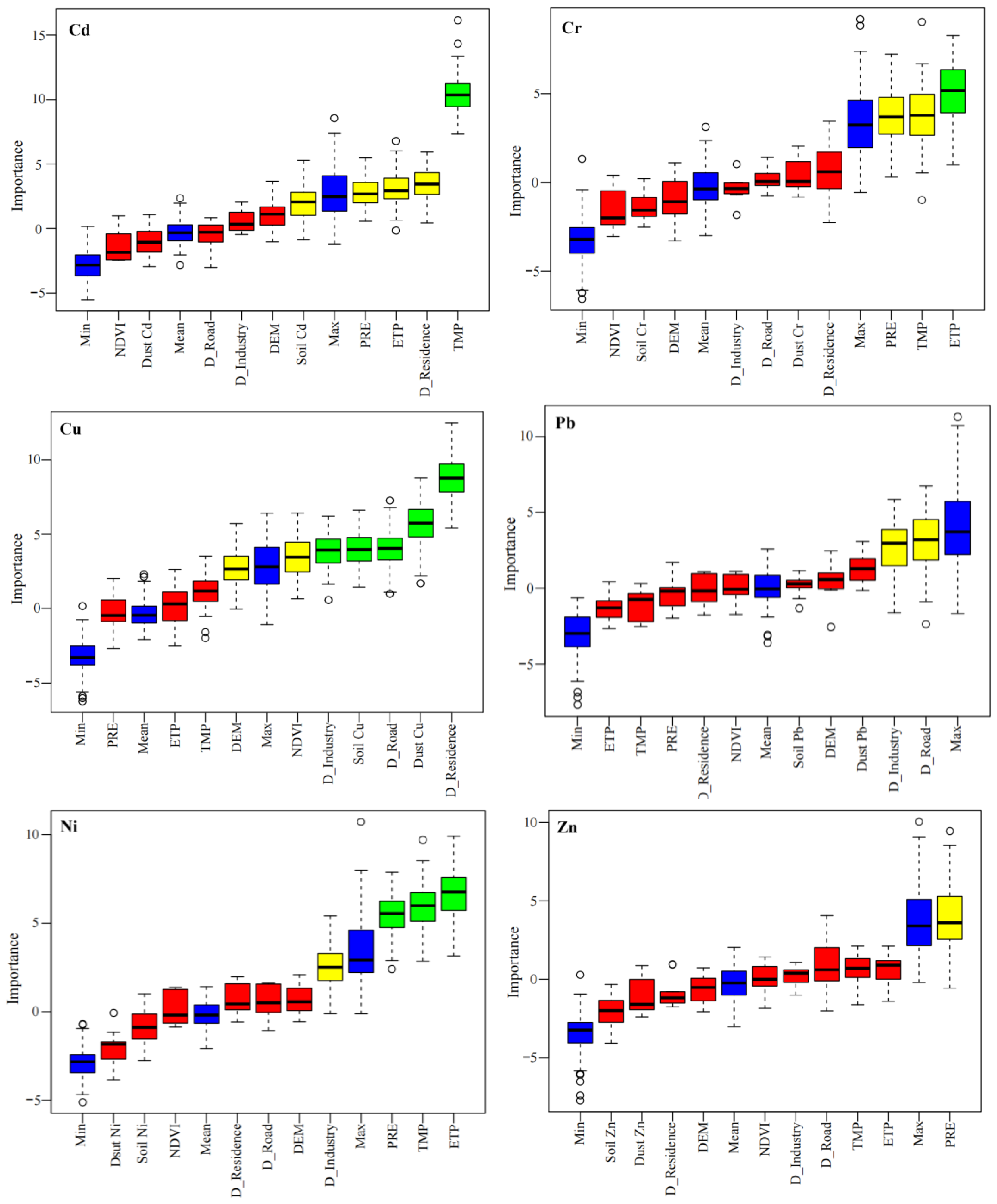
3.4. Main Factors Influencing Water Quality
3.5. Water Quality Risk Assessment
4. Conclusions
Author Contributions
Funding
Data Availability Statement
Acknowledgments
Conflicts of Interest
References
- Zheng, N.; Wang, Q.C.; Zheng, D.M. Health risk of Hg, Pb, Cd, Zn, and Cu to the inhabitants around Huludao Zinc Plant in China via consumption of vegetables. Sci. Total Environ. 2007, 383, 81–89. [Google Scholar] [CrossRef] [PubMed]
- Uddin, G.M.; Nash, S.; Rahman, A.; Olbert, A.I. Assessing optimization techniques for improving water quality model. J. Clean. Prod. 2023, 385, 135671. [Google Scholar] [CrossRef]
- Huang, J.; Zhang, Y.; Bing, H.; Peng, J.; Dong, F.; Gao, J.; Arhonditsis, G.B. Characterizing the river water quality in China: Recent progress and on-going challenges. Water Res. 2021, 201, 117309. [Google Scholar] [CrossRef]
- Mari, M.; Nadal, M.; Schuhmacher, M.; Domingo, J.L. Application of self-organizing maps for PCDD/F pattern recognition of environmental and biological samples to evaluate the impact of a hazardous waste incinerator. Environ. Sci. Technol. 2010, 44, 3162–3168. [Google Scholar] [CrossRef]
- Feng, Z.; Xu, C.; Zuo, Y.; Luo, X.; Wang, L.; Chen, H.; Xie, X.; Yan, D.; Liang, T. Analysis of water quality indexes and their relationships with vegetation using self-organizing map and geographically and temporally weighted regression. Environ. Res. 2023, 216, 114587. [Google Scholar] [CrossRef] [PubMed]
- Li, C.; Sun, L.; Jia, J.; Cai, Y.; Wang, X. Risk assessment of water pollution sources based on an integrated k-means clustering and set pair analysis method in the region of Shiyan. China Sci. Total Environ. 2016, 557–558, 307–316. [Google Scholar] [CrossRef] [PubMed]
- Lyu, H.M.; Shen, S.L.; Zhou, A. The development of IFN-SPA: A new risk assessment method of urban water quality and its application in Shanghai. J. Clean. Prod. 2021, 282, 124542. [Google Scholar] [CrossRef]
- Lyu, H.M.; Shen, S.L.; Zhou, A.; Yin, Z.Y. Assessment of safety status of shield tunnelling using operational parameters with enhanced SPA. Tunn. Undergr. Space Technol. 2022, 123, 104428. [Google Scholar] [CrossRef]
- de Paul Obade, V.; Moore, R. Synthesizing water quality indicators from standardized geospatial information to remedy water security challenges: A review. Environ. Int. 2018, 119, 220–231. [Google Scholar] [CrossRef]
- Serpa, D.; Nunes, J.P.; Keizer, J.J.; Abrantes, N. Impacts of climate and land use changes on the water quality of a small Mediterranean catchment with intensive viticulture. Environ. Pollut. 2017, 224, 454–465. [Google Scholar] [CrossRef]
- Chapra, S.C.; Boehlert, B.; Fant, C.; Bierman, V.J.; Henderson, J.; Mills, D.; Mas, D.M.L.; Rennels, L.; Jantarasami, L.; Martinich, J.; et al. Climate change impacts on harmful algal blooms in U.S. freshwaters: A screening-level assessment. Environ. Sci. Technol. 2017, 51, 8933–8943. [Google Scholar] [CrossRef]
- Michalak, A.M. Study role of climate change in extreme threats to water quality. Nature 2016, 535, 349–350. [Google Scholar] [CrossRef] [PubMed]
- Tian, Y.; Yu, C.; Zha, X.; Wu, J.; Gao, X.; Feng, C.; Luo, K. Distribution and potential health risks of arsenic, selenium, and fluorine in natural waters in Tibet, China. Water 2016, 8, 568. [Google Scholar] [CrossRef]
- GB3838-2002; Environmental Quality Standards for Surface Water. Ministry of Ecology and Environment of the People’s Republic of China: Beijing, China; General Administration of Quality Supervision, Inspection and Quarantine of the People’s Republic of China: Beijing, China, 2002.
- Kohonen, T. Self-organized formation of topologically correct feature maps. Biol. Cybern. 1982, 43, 59–69. [Google Scholar] [CrossRef]
- Lu, R.; Lo, S. Diagnosing reservoir water quality using self-organizing maps and fuzzy theory. Water Res. 2022, 36, 2265–2274. [Google Scholar] [CrossRef]
- Rahman, A.T.M.S.; Kono, Y.; Hosono, T. Self-organizing map improves understanding on the hydrochemical processes in aquifer systems. Sci. Total Environ. 2022, 846, 157281. [Google Scholar] [CrossRef] [PubMed]
- Şahin, M. Impact of weather on COVID-19 pandemic in Turkey. Sci. Total Environ. 2020, 728, 138810. [Google Scholar] [CrossRef]
- Subbiah, S.; Anbananthen, K.S.M.; Thangaraj, S.; Kannan, S.; Chelliah, D. Intrusion detection technique in wireless sensor network using grid search random forest with Boruta feature selection algorithm. J. Commun. Netw. 2022, 24, 264–273. [Google Scholar] [CrossRef]
- Kursa, M.B.; Rudnicki, W.R. Feature selection with the Boruta package. J. Stat. Softw. 2010, 36, 1–13. [Google Scholar] [CrossRef]
- Gauthier, T.D. Detecting trends using Spearman’s rank correlation coefficient. Environ. Forensics 2001, 2, 359–362. [Google Scholar] [CrossRef]
- Ho, J.; Afan, H.A.; El-Shafie, A.H.; Koting, S.B.; Mohd, N.S.; Jaafar, W.Z.B.; Hin, L.S.; Malek, M.A.; Ahmed, A.N.; Mohtar, W.H.M.W.; et al. Towards a time and cost effective approach to water quality index class prediction. J. Hydrol. 2019, 575, 148–165. [Google Scholar] [CrossRef]
- Bai, Y.; Sun, W.; Li, N.; Gu, Q. Spatial distribution and pollution characteristics of heavy metals in soil of Diaojiang River basin based on geostatistics. J. Min. Sci. Technol. 2017, 2, 409–415. [Google Scholar]
- Wu, W.; Qu, S.; Nel, W.; Ji, J. The impact of natural weathering and mining on heavy metal accumulation in the karst areas of the Pearl River Basin, China. Sci. Total Environ. 2020, 734, 139480. [Google Scholar] [CrossRef] [PubMed]
- Morsy, A.; Ebeid, M.; Soliman, A.; Halim, A.A.; Ali, A.E.; Fahmy, M. Evaluation of the water quality and the eutrophication risk in Mediterranean sea area: A case study of the Port Said Harbour. Egypt. Environ. Chall. 2022, 7, 100484. [Google Scholar] [CrossRef]
- Choudhury, T.R.; Islam, T.; Md Towfiqul Islam, A.R.; Hasanuzzaman, M.; Idris, A.M.; Rahman, M.S.; Alam, E.; Chowdhury, A.M.S. Multi-media compartments for assessing ecological and health risks from concurrent exposure to multiple contaminants on Bhola Island, Bangladesh. Emerg. Contam. 2022, 8, 134–150. [Google Scholar] [CrossRef]
- Bai, B.; Nie, Q.; Zhang, Y.; Wang, X.; Hu, W. Cotransport of heavy metals and SiO2 particles at different temperatures by seepage. J. Hydrol. 2021, 597, 125771. [Google Scholar] [CrossRef]
- Zhao, X.; Liu, X.; Xing, Y.; Wang, L.; Wang, Y. Evaluation of water quality using a Takagi-Sugeno fuzzy neural network and determination of heavy metal pollution index in a typical site upstream of the Yellow River. Environ. Res. 2022, 211, 113058. [Google Scholar] [CrossRef] [PubMed]
- Sun, W.; Xu, X.; Lv, Z.; Mao, H.; Wu, J. Environmental impact assessment of wastewater discharge with multi pollutants from iron and steel industry. J. Environ. Manag. 2019, 245, 210–215. [Google Scholar] [CrossRef]
- Haghnazar, H.; Johannesson, K.H.; Gonz’alez-Pinz’on, R.; Pourakbar, M.; Aghayani, E.; Rajabi, A.; Hashemi, A.A. Groundwater geochemistry, quality, and pollution of the largest lake basin in the Middle East: Comparison of PMF and PCA-MLR receptor models and application of the source-oriented HHRA approach. Chemosphere 2022, 288, 132489. [Google Scholar] [CrossRef]
- Ezoe, K.; Ohyama, S.; Hashem, M.A.; Ohira, S.I.; Toda, K. Automated determinations of selenium in thermal power plant wastewater by sequential hydride generation and chemiluminescence detection. Talanta 2016, 148, 609–616. [Google Scholar] [CrossRef]
- Wan, K.; Huang, L.; Yan, J.; Ma, B.; Huang, X.; Luo, Z.; Zhang, H.; Xiao, T. Removal of fluoride from industrial wastewater by using different adsorbents: A review. Sci. Total Environ. 2021, 773, 145535. [Google Scholar] [CrossRef] [PubMed]
- Ding, J.; Cao, J.; Xu, Q.; Xi, B.; Su, J.; Gao, R.; Huo, S.; Liu, H. Spatial heterogeneity of lake eutrophication caused by physiogeographic conditions: An analysis of 143 lakes in China. J. Environ. Sci. 2015, 30, 140–147. [Google Scholar] [CrossRef] [PubMed]
- Choudhury, T.R.; Acter, T.; Alam, M.A.; Sowrav, S.F.F.; Rahman, M.S.; Chowdhury, A.M.S.; Quraishi, S.B. Appraisal of heavy metal contamination and their source apportionment identification in five river water systems of the coastal areas in Bangladesh. Reg. Stud. Mar. Sci. 2024, 70, 103378. [Google Scholar] [CrossRef]
- Xu, W.; Yu, W.; Jing, S.; Zhang, G.; Huang, J. Debris flow susceptibility assessment by GIS and information value model in a large-scale region, Sichuan Province (China). Nat. Hazards 2013, 65, 1379–1392. [Google Scholar] [CrossRef]
- Gong, S.; Bai, X.; Luo, G.; Li, C.; Wu, L.; Chen, F.; Ran, C.; Xi, H.; Zhang, S. Climate change has enhanced the positive contribution of rock weathering to the major ions in riverine transport. Glob. Planet. Change 2023, 228, 104203. [Google Scholar] [CrossRef]
- Abyaneh, Z. Evaluation of multivariate linear regression and artificial neural networks in prediction of water quality parameters. J. Environ. Health Sci. Eng. 2014, 12, 1–8. [Google Scholar]
- Ahmed, A.M.; Shah, S.M.A. Application of adaptive neuro-fuzzy inference system (ANFIS) to estimate the biochemical oxygen demand (BOD) of Surma River. J. King Saud Univ. Eng. Sci. 2017, 29, 237–243. [Google Scholar] [CrossRef]
- Hern’andez, F.; Ib’anez, M.; Portol’es, T.; Cervera, M.I.; Sancho, J.V.; L’opez, F.J. Advancing towards universal screening for organic pollutants in waters. J. Hazard. Mater. 2015, 282, 86–95. [Google Scholar] [CrossRef] [PubMed]
- Lee, J.; Lee, S.; Yu, S.; Rhew, D. Relationships between water quality parameters in rivers and lakes: BOD5, COD, NBOPs, and TOC. Environ. Monit. Assess. 2016, 188, 1–8. [Google Scholar] [CrossRef]
- Rashed, M.N. Adsorption technique for the removal of organic pollutants from water and wastewater. Organ. Pollut.-Monitor. Risk Treat. 2013, 7, 167–194. [Google Scholar]
- Hossain, M.A.; Im, S.; Nasly, M.A. Water quality index: An indicator of surface water pollution in eastern part of Peninsular Malaysia. Res. J. Recent Sci. 2013, 2, 10–17. [Google Scholar]
- Ndiokwere, C.L. A study of heavy metal pollution from motor vehicle emissions and its effect on roadside soil, vegetation and crops in Nigeria. Environ. Pollut. Ser. B Chem. Phys. 1984, 7, 35–42. [Google Scholar] [CrossRef]
- Yao, X.; Yu, X.; Wang, L.; Zeng, Y.; Mao, L.; Liu, S.; Xie, H.; He, G.; Huang, Z.; Liu, Z. Preparation of cinnamic hydroxamic acid collector and study on flotation characteristics and mechanism of scheelite. Int. J. Min. Sci. Technol. 2023, 33, 773–781. [Google Scholar] [CrossRef]
- Faroon, O.; Ashizawa, A.; Wright, S.; Tucker, P.; Jenkins, K.; Ingerman, L.; Rudisill, C. Toxicological Profile for Cadmium; Agency for Toxic Substances and Disease Registry (US): Atlanta, GA, USA, 2012. [PubMed]
- Ashari, I.F.; Banjarnahor, R.; Farida, D.R.; Aisyah, S.P.; Dewi, A.P.; Humaya, N. Application of data mining with the K-means clustering method and Davies bouldin index for grouping IMDB movies. J. Appl. Informat. Comput. 2022, 6, 7–15. [Google Scholar] [CrossRef]
- Rabiaa, E.; Noura, B.; Adnene, C. Improvements in LEACH based on K-means and Gauss algorithms. Procedia Comput. Sci. 2015, 73, 460–467. [Google Scholar] [CrossRef]
- Wang, Z.; Xiao, J.; Wang, L.; Liang, T.; Guo, Q.; Guan, Y.; Rinklebe, J. Elucidating the differentiation of soil heavy metals under different land uses with geographically weighted regression and self-organizing map. Environ. Pollut. 2020, 260, 114065. [Google Scholar] [CrossRef] [PubMed]
- Yang, L.; Chen, L.; Sun, R. River ecosystems and their self-purification capability: Research status and challenges. Acta Ecol. Sin. 2009, 29, 5066–5075. [Google Scholar]
- Terrado, M.; Tauler, R.; Bennett, E.M. Landscape and local factors influence water purification in the Monteregian agroecosystem in Qu’ebec, Canada. Reg. Environ. Change 2015, 15, 1743–1755. [Google Scholar] [CrossRef]
- Xiang, Z.; Wu, S.; Zhu, L.; Yang, K.; Lin, D. Pollution characteristics and source apportionment of heavy metal(loid)s in soil and groundwater of a retired industrial park. J. Environ. Sci. 2024, 143, 23–34. [Google Scholar] [CrossRef] [PubMed]
- Xiong, Q.; Xiao, Y.; Liang, P.; Li, L.; Zhang, L.; Li, T.; Pan, K.; Liu, C. Trends in climate change and human interventions indicate grassland productivity on the Qinghai-Tibetan Plateau from 1980 to 2015. Ecol. Indic. 2021, 129, 108010. [Google Scholar] [CrossRef]
- Ballard, T.C.; Sinha, E.; Michalak, A.M. Long-term changes in precipitation and temperature have already impacted nitrogen loading. Environ. Sci. Technol. 2019, 53, 5080–5090. [Google Scholar] [CrossRef]
- Wang, W.; Liang, T.; Wang, L.; Liu, Y.; Wang, Y.; Zhang, C. The effects of fertilizer applications on runoff loss of phosphorus. Environ. Earth Sci. 2013, 68, 1313–1319. [Google Scholar] [CrossRef]
- Mararakanye, N.; Le Roux, J.J.; Franke, A.C. Long-term water quality assessments under changing land use in a large semi-arid catchment in South Africa. Sci. Total Environ. 2022, 818, 151670. [Google Scholar] [CrossRef]
- Wu, J.; Lu, J. Spatial scale effects of landscape metrics on stream water quality and their seasonal changes. Water Res. 2021, 191, 116811. [Google Scholar] [CrossRef] [PubMed]
- Yu, S.; Xu, Z.; Wu, W.; Zuo, D. Effect of land use types on stream water quality under seasonal variation and topographic characteristics in the Wei River basin, China. Ecol. Indic. 2016, 60, 202–212. [Google Scholar] [CrossRef]
- Hurley, T.; Mazumder, A. Spatial scale of land-use impacts on riverine drinking source water quality. Water Resour. Res. 2013, 49, 1591–1601. [Google Scholar] [CrossRef]
- Mainali, J.; Chang, H. Landscape and anthropogenic factors affecting spatial patterns of water quality trends in a large river basin. South Korea J. Hydrol. 2018, 564, 26–40. [Google Scholar] [CrossRef]
- Fernandes, J.D.F.; de Souza, A.L.; Tanaka, M.O. Can the structure of a riparian forest remnant influence stream water quality? A tropical case study. Hydrobiologia 2014, 724, 175–185. [Google Scholar] [CrossRef]
- Casson, N.J.; Eimers, M.C.; Watmough, S.A.; Richardson, M.C. The role of wetland coverage within the near-stream zone in predicting of seasonal stream export chemistry from forested headwater catchments. Hydrol. Process. 2019, 33, 1465–1475. [Google Scholar] [CrossRef]
- Huang, J.; Zhang, Y.; Arhonditsis, G.B.; Gao, J.; Chen, Q.; Wu, N.; Dong, F.; Shi, W. How successful are the restoration efforts of China’s lakes and reservoirs? Environ. Int. 2019, 123, 96–103. [Google Scholar] [CrossRef] [PubMed]








| Index | pH | Cr (mg/L) | Ni (mg/L) | Cu (mg/L) | Zn (mg/L) | Cd (mg/L) | Pb (mg/L) | Hg (mg/L) | As (mg/L) | |
|---|---|---|---|---|---|---|---|---|---|---|
| Flood Season | Max | 8.1 | 0.00158 | 0.00082 | 0.00181 | 0.00781 | 0.00190 | 0.00083 | 0.00028 | 0.0021 |
| Min | 7.15 | 0.00058 | 0.00046 | 0.00042 | 0.00223 | 0.00047 | 0.00449 | 0.0001 | 0.0011 | |
| Mean | 7.63 | 0.00116 | 0.00064 | 0.00119 | 0.00484 | 0.00115 | 0.00283 | 0.000196 | 0.0016 | |
| SD | 0.23 | 0.00026 | 0.00011 | 0.00040 | 0.00176 | 0.00038 | 0.00082 | 0.00007 | 0.0016 | |
| CV% | 2.98 | 22.65 | 17.06 | 33.64 | 36.33 | 32.89 | 29.00 | 35.98 | 23.63 | |
| Dry Season | Max | 7.75 | 0.0018 | 0.0076 | 0.0058 | 0.00091 | 0.00091 | 0.00454 | 0.0009 | 0.0038 |
| Min | 7.00 | 0.00052 | 0.00099 | 0.00095 | 0.00046 | 0.00046 | 0.00100 | 0.00006 | 0.00045 | |
| Mean | 7.45 | 0.00109 | 0.00304 | 0.00323 | 0.00067 | 0.00067 | 0.00266 | 0.00018 | 0.0018 | |
| SD | 0.23 | 0.00036 | 0.00160 | 0.00138 | 0.00013 | 0.00013 | 0.00091 | 0.00027 | 0.00085 | |
| CV% | 3.06 | 32.73 | 52.64 | 42.55 | 18.61 | 18.61 | 34.34 | 147.99 | 46.23 |
Disclaimer/Publisher’s Note: The statements, opinions and data contained in all publications are solely those of the individual author(s) and contributor(s) and not of MDPI and/or the editor(s). MDPI and/or the editor(s) disclaim responsibility for any injury to people or property resulting from any ideas, methods, instructions or products referred to in the content. |
© 2025 by the authors. Licensee MDPI, Basel, Switzerland. This article is an open access article distributed under the terms and conditions of the Creative Commons Attribution (CC BY) license (https://creativecommons.org/licenses/by/4.0/).
Share and Cite
Zhao, X.; Ming, D.; Meng, Y.; Yang, Z.; Peng, Q. Analysis of the Water Quality of a Typical Industrial Park on the Qinghai–Tibet Plateau Using a Self-Organizing Map and Interval Fuzzy Number-Based Set-Pair Analysis. Water 2025, 17, 111. https://doi.org/10.3390/w17010111
Zhao X, Ming D, Meng Y, Yang Z, Peng Q. Analysis of the Water Quality of a Typical Industrial Park on the Qinghai–Tibet Plateau Using a Self-Organizing Map and Interval Fuzzy Number-Based Set-Pair Analysis. Water. 2025; 17(1):111. https://doi.org/10.3390/w17010111
Chicago/Turabian StyleZhao, Xiaoyuan, Di Ming, Yingyi Meng, Zhiping Yang, and Qin Peng. 2025. "Analysis of the Water Quality of a Typical Industrial Park on the Qinghai–Tibet Plateau Using a Self-Organizing Map and Interval Fuzzy Number-Based Set-Pair Analysis" Water 17, no. 1: 111. https://doi.org/10.3390/w17010111
APA StyleZhao, X., Ming, D., Meng, Y., Yang, Z., & Peng, Q. (2025). Analysis of the Water Quality of a Typical Industrial Park on the Qinghai–Tibet Plateau Using a Self-Organizing Map and Interval Fuzzy Number-Based Set-Pair Analysis. Water, 17(1), 111. https://doi.org/10.3390/w17010111

