Artificial Neural Network for Forecasting Reference Evapotranspiration in Semi-Arid Bioclimatic Regions
Abstract
1. Introduction
2. Materials and Methods
2.1. Research Area
2.2. Meteorological Data Overview
2.3. Artificial Neural Network (ANN)
2.4. Modular Feedforward Neural Network Combinations (MFF)
- The MFF-1 model utilizes WS as its main input. This model focuses on analyzing and interpreting WS data, which can be crucial in various applications such as in sprinkler irrigation network design;
- The MFF-2 model is centered on the input variable of minimum temperature (Tmin). It is specifically designed to analyze the variations in Tmin, making it suitable for studying nighttime weather conditions and frost risks;
- The MFF-3 model is based on the input variable of maximum temperature (Tmax), and it will also be used to make a comparison with the Turc equation for ETo estimation [8];
- The MFF-4 model focuses on the input variable of mean temperature (Tmean), and it is used to make a comparison with the FAO 24 Blaney–Criddle model [9];
- The MFF-5 model is based on the input variable of solar radiation (SR). It is specifically designed to analyze and interpret SR levels, which can be relevant in solar energy applications;
- The MFF-6 model is centered on the input variable of relative humidity (RH). It is tailored to analyze and interpret relative humidity levels, which can be important in fields such as agriculture, meteorology, or human health;
- The MFF-7, MFF-8, MFF-9, and MFF-11 models involve combinations of multiple input variables, and they were designed to study the influence or the interaction between climatic parameters;
- The MFF-10 model has all the parameters that CropWat 8.0 needs to figure out ETo using the FAO-56 PM equation.
2.5. Models’ Performance
3. Results and Discussion
3.1. Comparison of ETo Conventional Estimation Equations
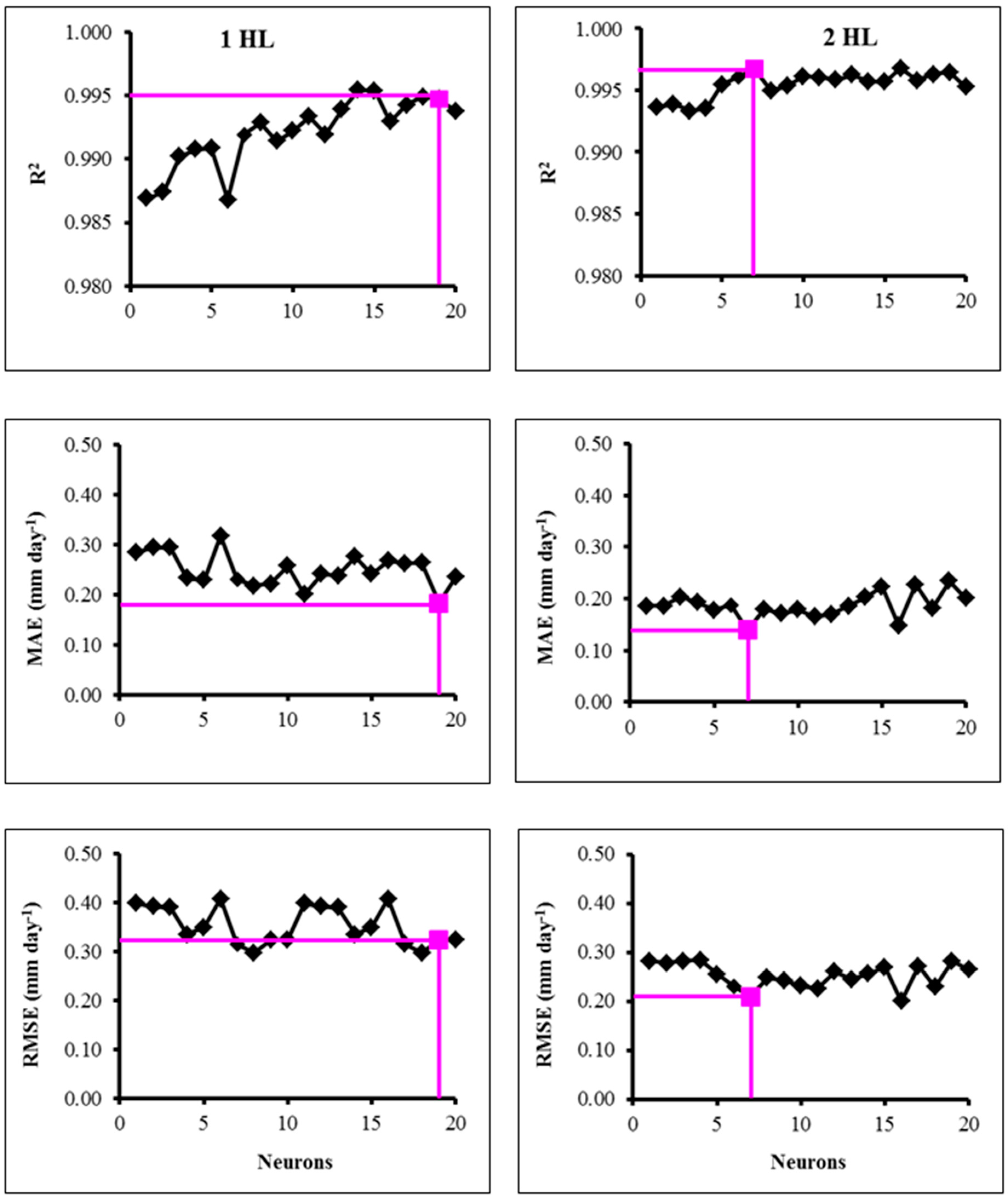
3.2. Hiding Layers and Neurons Determination
3.3. Most Influential Meteorological Parameters on ETo Modeling
3.4. Comparison ETo Estimation Models and ANNs Models
3.4.1. Jendouba Weather Station
3.4.2. Kairouan Weather Station
3.4.3. Kélibia Weather Station
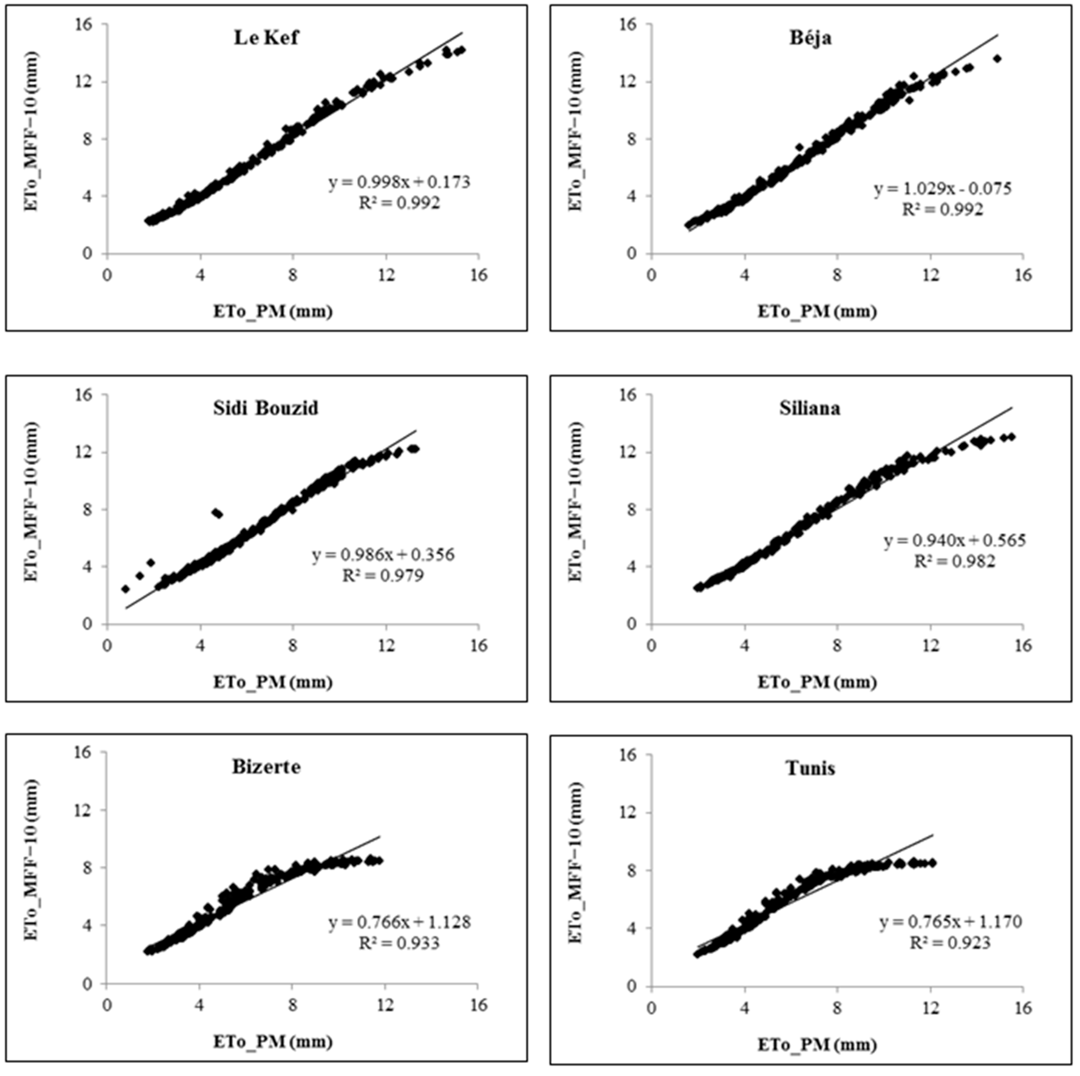
3.5. Reference Evapotranspiration Estimation of Nearby Weather Stations
4. Conclusions
- Both the EToBC and EToRIOU equations attest to being suitable for estimating ETo in the studied regions when compared to the FAO-56 PM model. Conversely, the EToTURC model consistently underestimated ETo values;
- It has been demonstrated that ANNs are an effective technique for modeling reference evapotranspiration;
- It was found that Tmax is the most influential meteorological parameter in ETo modeling;
- However, using only WS as an ANN input was determined to be insufficient for ETo modeling;
- Nevertheless, inserting WS in the input combinations leads to improved estimation accuracy, primarily because of its influence on ETo through advection effects;
- On the other side, the use of SR and Tmean gives much better ETo estimates than those obtained using RH and Tmin;
- The ANN model integrating Tmax, SR, Tmin, RH, and WS performs the best among the input combinations tested in this study, which means that all meteorological parameters are quite important for ETo modeling;
- It is evident that the use of ANN for estimating ETo consistently provides more accurate estimates of ETo compared to the conventional formulas of FAO-24 BC, Riou, and Turc;
- It was found that the trained MFF-10 model, which takes into account all meteorological factors, could accurately estimate the ETo for nearby areas when different input variables were used.
Author Contributions
Funding
Data Availability Statement
Acknowledgments
Conflicts of Interest
References
- Naoum, S.; Tsanis, I.K. Hydro informatics in evapotranspiration estimation. Environ. Model. Softw. 2003, 18, 261–271. [Google Scholar] [CrossRef]
- Allen, R.G.; Jensen, M.E.; Wright, J.L.; Burman, R.D. Operational estimates of reference evapotranspiration. J. Agron. 1989, 81, 650–662. [Google Scholar] [CrossRef]
- Allen, R.G.; Pereira, L.S.; Raes, D.; Smith, M. Crop evapotranspiration guidelines for computing crop water requirements. In FAO Irrigation and Drainage Paper No. 56; Food and Agriculture Organization of the United Nations: Rome, Italy, 1998. [Google Scholar]
- Smith, M.; Allen, R.; Pereira, L. Revised FAO Methodology for Crop Water requirements. In Land and Water Development Division; FAO: Rome, Italy, 1997. [Google Scholar]
- Srivastava, A.; Sahoo, B.; Raghuwanshi, N.S.; Singh, R. Evaluation of Variable-Infiltration Capacity Model and MODIS-Terra Satellite-Derived Grid-Scale Evapotranspiration Estimates in a River Basin with Tropical Monsoon-Type Climatology. J. Irrig. Drain. Eng. 2017, 146, 1–18. [Google Scholar] [CrossRef]
- Chow, V.T.; Maidment, D.R.; Mays, L.W. (Eds.) Applied Hydrology; McGraw-Hill: New York, NY, USA, 1988. [Google Scholar]
- Riou, C. Compte rendu des Journées d’étude de l’Office de la Recherche Scientifique et Technique Outre-Mer; ORSTOM: Paris, France, 1980; p. 373. ISBN 2-7099-0657-0. [Google Scholar]
- Turc, L. Evaluation des besoins en eau d’irrigation, évapotranspiration potentielle. Ann. Agron. 1961, 12, 13–49. [Google Scholar]
- Doorenbos, J.; Pruitt, W.O. Guidelines for Predicting Crop Water Requirements; FAO: Rome, Italy, 1977; 24p. [Google Scholar]
- Elbeltagi, A.; Kumari, N.; Dharpure, J.K.; Mokhtar, A.; Alsafadi, K.; Kumar, M.; Mehdinejadiani, B.; Etedali, H.R.; Brouziyne, Y.; Towfiqul Islam, A.R.M.; et al. Prediction of combined terrestrial evapotranspiration index (CTEI) over large River basin based on machine learning approaches. Water 2021, 13, 547. [Google Scholar] [CrossRef]
- Kisi, O.; Ozturk, O. Adaptive neurofuzzy computing technique for evapotranspiration estimation. J. Irrig. Drain. Eng. 2007, 133, 368–379. [Google Scholar] [CrossRef]
- Kisi, O. Daily pan evaporation modelling using a neuro-fuzzy computing technique. J. Hydrol. 2006, 329, 636–646. [Google Scholar] [CrossRef]
- Landeras, G.; Ortiz-Barredo, A.; López, J.J. Comparison of artificial neural network models and empirical and semi-empirical equations for daily reference evapotranspiration estimation in the Basque Country (Northern Spain). Agric. Water Manag. 2008, 95, 553–565. [Google Scholar] [CrossRef]
- Sudheer, K.P.; Gosain, A.K.; Ramasastri, K.S. Estimating actual evapotranspiration from limited climatic data using neural computing technique. J. Irrig. Drain. Eng. 2003, 129, 214–218. [Google Scholar] [CrossRef]
- Kumar, M.; Raghuwanshi, N.S.; Singh, R.; Wallender, W.W.; Pruitt, W.O. Estimating evapotranspiration using artificial neural network. J. Irrig. Drain. Eng. 2002, 128, 224–233. [Google Scholar] [CrossRef]
- Trajkovic, S.; Todorovic, B.; Stankovic, M. Forecasting reference evapotranspiration by artificial neural networks. ASCE J. Irrig. Drain. Engng. 2003, 129, 454–457. [Google Scholar] [CrossRef]
- Keskin, M.E.; Terzi, O. Artificial Neural Network Models of Daily Pan Evaporation. J. Hydrol. Eng. 2006, 11, 65–70. [Google Scholar] [CrossRef]
- Gonzalez-Camacho, J.M.; Cervantes-Osornio, R.; Ojeda-Bustamante, W.; Lopez-Cruz, I. Forecasting reference evapotranspiration using artificial neural networks. Ing. Hidráulica México 2008, 23, 127–138. [Google Scholar]
- Kumar, M.; Raghuwanshi, N.S.; Singh, R. Development and validation of GANN model for evapotranspiration estimation. J. Hydrol Eng. ASCE 2009, 44, 131–140. [Google Scholar] [CrossRef]
- Falamarzi, Y.; Palizdan, N.; Huang, Y.F.; Lee, T.S. Estimating evapotranspiration from temperature and wind speed data using artificial and wavelet neural networks (WNNs). Agric. Water Manag. 2014, 140, 26–36. [Google Scholar] [CrossRef]
- Traore, S.; Wang, Y.M.; Chung, W. Predictive accuracy of backpropagation neural network methodology in evapotranspiration forecasting in Dédougou region, western Burkina Faso. J. Earth Syst. Sci. 2014, 123, 307–318. [Google Scholar] [CrossRef][Green Version]
- Raju, K.S.; Kumar, D.N.; Duckstein, L. Artificial neural networks and multi criterion analysis for sustainable irrigation planning. Comput. Oper. Res. 2006, 33, 1138–1153. [Google Scholar] [CrossRef]
- Pulido-Calvo, I.; Gutierrez-Estrada, J.C. Improved irrigation water demand forecasting using a soft-computing hybrid model. Biosyst. Eng. 2009, 102, 202–218. [Google Scholar] [CrossRef]
- Tsang, S.W.; Jim, C.Y. Applying artificial intelligence modeling to optimize green roof irrigation. Energy Build. 2016, 127, 360–369. [Google Scholar] [CrossRef]
- Yang, C.C.; Prasher, S.O.; Lacroix, R.; Sreekanth, S.; Patni, N.K.; Masse, L. Artificial neural network model for subsurface-drained farmlands. J. Irrig. Drain. Eng. 1997, 123, 285–292. [Google Scholar] [CrossRef]
- Deka, P.C.; Chandramouli, V. Fuzzy neural network modeling of reservoir operation. J. Water Resour. Plan. Manag. 2009, 135, 5–12. [Google Scholar] [CrossRef]
- Thornton, P.E.; Hasenauer, H.; White, M.A. Simultaneous estimation of daily solar radiation and humidity from observed temperature and precipitation: An application over complex terrain in Austria. Agric. For. Meteorol. 2000, 104, 255–271. [Google Scholar] [CrossRef]
- Kisi, O. Generalized regression neural networks for evapotranspiration modeling. J. Hydrol. Sci. 2006, 51, 1092–1105. [Google Scholar] [CrossRef]
- Dai, X.; Shi, H.; Li, Y.; Ouyang, Z.; Huo, Z. Artificial neural network models for estimating regional reference evapotranspiration based on climate factors. Hydrol. Process. 2009, 23, 442–450. [Google Scholar] [CrossRef]
- Ayaz, A.; Rajesh, M.; Singh, S.K.; Rehana, S. Estimation of reference evapotranspiration using machine learning models with limited data. AIMS Geosci. 2021, 7, 268–290. [Google Scholar] [CrossRef]
- Wu, M.; Feng, Q.; Wen, X.H.; Deo, R.C.; Yin, Z.L.; Yang, L.S.; Sheng, D.R. Random forest predictive model development with uncertainty analysis capability for the estimation of evapotranspiration in an arid oasis region. Hydrol. Res. 2020, 51, 648–665. [Google Scholar] [CrossRef]
- Tabari, H.; Talaee, P.H. Multilayer perceptron for reference evapotranspiration estimation in a semiarid region. Neural Comput. Appl. 2013, 23, 341–348. [Google Scholar] [CrossRef]
- Naidu, D.; Majhi, B. Reference evapotranspiration modeling using radial basis function neural network in different agro-climatic zones of Chhattisgarh. J. Agrometeorol. 2019, 21, 316–326. [Google Scholar] [CrossRef]
- Majhi, B.; Naidu, D. Differential evolution based radial basis function neural network model for reference evapotranspiration estimation. SN Appl. Sci. 2021, 3, 1–20. [Google Scholar] [CrossRef]
- Üneş, F.; Kaya, Y.Z.; Mamak, M. Daily reference evapotranspiration prediction based on climatic conditions applying different data mining techniques and empirical equations. Theor. Appl. Climatol. 2020, 141, 763–773. [Google Scholar] [CrossRef]
- Sanikhani, H.; Kisi, O.; Maroufpoor, E.; Yaseen, Z.M. Temperature-based modeling of reference evapotranspiration using several artificial intelligence models: Application of different modeling scenarios. Theor. Appl. Climatol. 2019, 135, 449–462. [Google Scholar] [CrossRef]
- Ozkan, C.; Kisi, O.; Akay, B. Neural networks with artificial bee colony algorithm for modeling daily reference evapotranspiration. Irrig. Sci. 2011, 29, 431–441. [Google Scholar] [CrossRef]
- Kisi, O. Modeling monthly evaporation using two different neural computing techniques. Irrig. Sci. 2009, 27, 417–430. [Google Scholar] [CrossRef]
- Kisi, O. The potential of different ANN techniques in evapotranspiration modelling. Hydrol. Process. 2008, 22, 2449–2460. [Google Scholar] [CrossRef]
- Laaboudi, A.; Mouhouche, B.; Draoui, B. Neural network approach to reference evapotranspiration modeling from limited climatic data in arid regions. Int. J. Biometeorol. 2012, 56, 831–841. [Google Scholar] [CrossRef]
- Mohawesh, O.E. Artificial neural network for estimating monthly reference evapotranspiration under arid and semi-arid environments. Arch. Agron. Soil Sci. 2013, 59, 105–117. [Google Scholar] [CrossRef]
- Shiri, J. Evaluation of FAO56-PM, empirical, semi-empirical and gene expression programming approaches for estimating daily reference evapotranspiration in hyper-arid regions of Iran. Agric. Water Manag. 2017, 188, 101–114. [Google Scholar] [CrossRef]
- Zanetti, S.S.; Sousa, E.F.; Oliveira, V.P.S.; Almeida, F.T.; Bernardo, S. Estimating evapotranspiration using artificial neural network and minimum climatological data. J. Irrig. Drain. Eng. 2007, 133, 83–89. [Google Scholar] [CrossRef]
- Diamantopoulou, M.J.; Georgiou, P.E.; Papamichail, D.M. Performance evaluation of artificial neural network in estimating reference evapotranspiration with minimal meteorological data. Glob. Nest J. 2011, 13, 18–27. [Google Scholar] [CrossRef]
- Antonopoulos, V.Z.; Antonopoulos, A.V. Daily reference evapotranspiration estimates by artificial neural networks technique and empirical equations using limited input climate variables. Comput. Electron. Agric. 2017, 132, 86–96. [Google Scholar] [CrossRef]
- Abdullahi, J.; Elkiran, G. Prediction of the future impact of climate change on reference evapotranspiration in Cyprus using artificial neural network. Procedia Comput. Sci. 2017, 120, 276–283. [Google Scholar] [CrossRef]
- Gaaloul, N.; Eslamian, S.; Katlance, R. Impacts of Climate Change and Water Resources Management in the Southern Mediterranean Countries. Water Product. J. 2020, 1, 51–72. [Google Scholar] [CrossRef]
- Haykin, S. Neural Network: A Comprehensive Foundation, 2nd ed.; Pearson: London, UK, 2004. [Google Scholar]
- Sudheer, K.P.; Nayak, P.C.; Ramasastri, K.S. Improving peak flow estimates in artificial neural network river flow models. Hydrol. Process. 2003, 17, 677–686. [Google Scholar] [CrossRef]
- Al-Ghobari, H.M.; El-Marazky, M.S.; Dewidar, A.Z.; Mattar, M.A. Prediction of wind drift and evaporation losses from sprinkler irrigation using neural network and multiple regression techniques. Agric. Water Manag. 2018, 195, 211–221. [Google Scholar] [CrossRef]
- Basheer, I.A.; Hajmeer, M. Artificial neural networks: Fundamentals, computing, design, and application. J. Microbiol. Methods 2000, 43, 3–31. [Google Scholar] [CrossRef] [PubMed]
- Jain, S.K.; Singh, V.P.; Van Genuchten, M.T. Analysis of soil water retention data using artificial neural networks. J. Hydrol. Eng. 2004, 9, 415–420. [Google Scholar] [CrossRef]
- Emberger, L. Une classification Biogéographique des Climats. Recueil des Travaux des Laboratoires de Botanique, Géologie et Zoologie de la Faculté des Sciences de L’Université de Montpellier. Série Bot. 1955, 7, 3–43. [Google Scholar]
- Allen, R.G.; Pruitt, W.O.; Wright, L.R.; Howell, T.A.; Ventura, F.; Snyder, R.; Itenfisu, D.; Steduto, P.; Berengena, J.; Yrisarry, J.B.; et al. A recommendation on standardized surface resistance for hourly calculation of reference ETo by the FAO56 Penman-Monteith method. Agric. Water Manag. 2006, 80, 1–22. [Google Scholar] [CrossRef]
- Jensen, M.E.; Burman, R.D.; Allen, R.G. (Eds.) Evapotranspiration and irrigation water requirements. In ASCE Manuals and Reports on Engineering Practice; ASCE: Reston, VA, USA, 1990; Volume 70. [Google Scholar] [CrossRef]
- Fausset, L. What is a Neural Net? In Fundamentals of Neural Networks: Architectures, Algorithms, and Applications; Fowley, B., Baker, X., Dworkin, A., Eds.; Prentice Hall: Englewood Cliffs, NJ, USA, 1994; pp. 3–4. [Google Scholar]
- Neurosolutions Software. Neurosolutions Software; NeuroDimension Inc.: Gainesville, FL, USA, 2006. [Google Scholar]
- Piovani, J.I. The historical construction of correlation as a conceptual and operative instrument for empirical research. Qual. Quant. 2008, 42, 757–777. [Google Scholar] [CrossRef]
- Willmott, C.J.; Robeson, S.; Matsuura, K. A refined index of model performance. Int. J. Climatol. 2012, 32, 2088–2094. [Google Scholar] [CrossRef]
- Singh, J.; Vernon Knapp, H.; Arnold, J.G.; Demissie, M. Hydrologic modeling of the Iroquois River watershed using HSPF and SWAT. J. Am. Water Resour. Assoc. 2005, 41, 343–360. [Google Scholar] [CrossRef]
- Willmott, C.J.; Matsuura, K. Advantages of the mean absolute error (MAE) over the root mean square error (RMSE) in assessing average model performance. Clim. Res. 2005, 30, 79–82. [Google Scholar] [CrossRef]
- Khoob, A.R. Comparative study of Hargreaves’s and artificial neural network’s methodologies in estimating reference evapotranspiration in a semiarid environment. Irrig. Sci. 2008, 26, 253–259. [Google Scholar] [CrossRef]
- Traore, S.; Wang, Y.M.; Kerh, T. Artificial neural network for modeling reference evapotranspiration complex process in Sudano-Sahelian zone. Agric. Water Manag. 2010, 97, 707–714. [Google Scholar] [CrossRef]
- Citakoglu, H.; Cobaner, M.; Haktanir, T.; Kisi, O. Estimation of Monthly Mean Reference Evapotranspiration in Turkey. Water Resour. Manag. 2014, 28, 99–113. [Google Scholar] [CrossRef]
- Kisi, O.; Meysam, A. Modelling reference evapotranspiration using a new wavelet conjunction heuristic method: Wavelet extreme learning machine vs. wavelet neural networks. Agric. For. Meteorol. 2018, 263, 41–48. [Google Scholar] [CrossRef]
- Farooque, A.A.; Afzaal, H.; Abbas, F.; Bos, M.; Maqsood, J.; Wang, X.; Hussain, N. Forecasting daily evapotranspiration using artificial neural networks for sustainable irrigation scheduling. Irrig. Sci. 2022, 40, 55–65. [Google Scholar] [CrossRef]
- Hupet, F.; Vanclooster, M. Effect of the sampling frequency of meteorological variables on the estimation of the reference evapotranspiration. J. Hydrol. 2001, 243, 192–204. [Google Scholar] [CrossRef]
- Jain, S.K.; Nayak, P.C.; Sudheer, K.P. Models for estimating evapotranspiration using artificial neural networks, and their physical interpretation. Hydrol. Process. 2008, 22, 2225–2234. [Google Scholar] [CrossRef]
- Laluet, P.; Olivera-Guerra, L.; Rivalland, V.; Simonneux, V.; Inglada, J.; Bellvert, J.; Erraki, S.; Merlin, O. A sensitivity analysis of a FAO-56 dual crop coefficient-based model under various field conditions. Environ. Model. Softw. 2003, 160, 105608. [Google Scholar] [CrossRef]
- Bruton, J.M.; McClendon, R.W.; Hoogenboom, G. Estimating daily pan evaporation with artificial neural networks. Trans. ASAE 2000, 43, 491–496. [Google Scholar] [CrossRef]
- Trajkovic, S. Temperature-based approaches for estimating reference evapotranspiration. J. Irrig. Drain. Eng. ASCE 2005, 131, 316–323. [Google Scholar] [CrossRef]
- Marti, P.; Royuela, A.; Manzano, J.; Palau-Salvador, G. Generalization of ETo ANN models through data supplanting. J. Irrig. Drain. Eng. 2010, 136, 161–174. [Google Scholar] [CrossRef]













| Name | Latitude (°) | Longitude (°) | Altitude (m) | Annual Rainfall (mm) | Emberger’s Index | Bioclimatic Zone |
|---|---|---|---|---|---|---|
| Training and testing phase | ||||||
| Jendouba | 36.48° N | 08.80° E | 143.0 | 451.2 | 34.9 | Semi-arid |
| Kairouan | 35.66° N | 10.10° E | 60.0 | 293.1 | 24.1 | Arid |
| Kélibia | 36.85° N | 11.08° E | 29.0 | 535.9 | 60.9 | Semi-arid |
| Production phase | ||||||
| Beja | 36.73° N | 09.23° E | 158.0 | 553.9 | 42.1 | Semi-arid |
| Le Kef | 36.13° N | 08.23° E | 518.0 | 477.9 | 36.7 | Semi-arid |
| Tunis | 36.85° N | 10.23° E | 4.0 | 473.0 | 41.1 | Semi-arid |
| Bizerte | 37.25° N | 09.08° E | 3.0 | 617.6 | 52.5 | Semi-arid |
| Siliana | 36.07° N | 09.34° E | 443.0 | 441.5 | 34.2 | Semi-arid |
| Sidi Bouzid | 35.00° N | 09.48° E | 354.0 | 248.5 | 19.5 | Arid |
| Data | Tmin (°C) | Tmax (°C) | RH (%) | WS (m s−1) | SR (MJ m−2 d−1) | EToPM (mm d−1) |
|---|---|---|---|---|---|---|
| Jendouba weather station | ||||||
| Xmean | 5.8 | 32.9 | 66.4 | 5.3 | 7.2 | 6.9 |
| Xmin | −4.0 | 16.6 | 40.0 | 2.5 | 2.7 | 1.8 |
| Xmax | 18.6 | 48.5 | 84.0 | 8.9 | 12.9 | 15.7 |
| SX | 5.8 | 8.6 | 9.8 | 1.0 | 2.0 | 3.4 |
| CV | 0.99 | 0.26 | 0.15 | 0.19 | 0.28 | 0.50 |
| CSX | 0.34 | 0.02 | −0.51 | 0.79 | 0.23 | 0.49 |
| R | 0.84 | 0.96 | −0.92 | 0.28 | 0.88 | 1.00 |
| Kairouan weather station | ||||||
| Xmean | 9.4 | 33.4 | 59.5 | 4.6 | 17.5 | 6.8 |
| Xmin | −3.1 | 18.2 | 39.0 | 2.5 | 7.8 | 2.0 |
| Xmax | 21.8 | 48.1 | 79.0 | 10.6 | 28.3 | 13.3 |
| SX | 6.3 | 7.8 | 7.0 | 0.9 | 6.0 | 2.7 |
| CV | 0.67 | 0.23 | 0.12 | 0.20 | 0.34 | 0.40 |
| CSX | 0.25 | 0.03 | −0.03 | 1.22 | 0.04 | 0.34 |
| R | 0.81 | 0.94 | −0.80 | 0.08 | 0.91 | 1.00 |
| Kélibia weather station | ||||||
| Xmean | 10.1 | 26.5 | 73.8 | 5.2 | 16.9 | 4.4 |
| Xmin | −1.0 | 15.2 | 64.0 | 3.3 | 6.8 | 1.8 |
| Xmax | 21.0 | 42.0 | 82.0 | 8.6 | 28.1 | 9.1 |
| SX | 5.4 | 5.9 | 3.1 | 0.9 | 6.5 | 1.7 |
| CV | 0.53 | 0.22 | 0.04 | 0.17 | 0.38 | 0.38 |
| CSX | 0.23 | 0.26 | −0.37 | 0.50 | 0.06 | 0.50 |
| R | 0.80 | 0.91 | −0.67 | −0.27 | 0.91 | 1.00 |
| Model Denomination | Input Variables |
|---|---|
| MFF-1 | WS |
| MFF-2 | Tmin |
| MFF-3 | Tmax |
| MFF-4 | Tmean |
| MFF-5 | SR |
| MFF-6 | RH |
| MFF-7 | Tmax and SR |
| MFF-8 | Tmax, SR and Tmin |
| MFF-9 | Tmax, SR, Tmin and RH |
| MFF-10 | Tmax, SR, Tmin, RH and WS |
| MFF-11 | Tmean, SR and RH |
| Region | Model | R2 | d | MAE (mm d−1) | RMSE (mm d−1) | ETo (mm y−1) | EToModel/EToPM |
|---|---|---|---|---|---|---|---|
| Jendouba | EToPM | - | - | - | - | 2434.7 | - |
| EToBC | 0.88 | 0.88 | 1.58 | 2.09 | 1901.3 | 0.781 | |
| EToRIOU | 0.85 | 0.94 | 1.13 | 1.48 | 2389.4 | 0.981 | |
| EToTURC | 0.90 | 0.64 | 3.59 | 4.13 | 1177.4 | 0.484 | |
| Kairouan | EToPM | - | - | - | - | 2399.3 | - |
| EToBC | 0.87 | 0.99 | 0.85 | 1.10 | 2229.2 | 0.929 | |
| EToRIOU | 0.82 | 0.99 | 0.88 | 1.15 | 2421.6 | 1.009 | |
| EToTURC | 0.89 | 0.91 | 3.14 | 3.43 | 1305.6 | 0.586 | |
| Kélibia | EToPM | - | - | - | - | 1563.1 | - |
| EToBC | 0.91 | 0.98 | 1.16 | 1.40 | 1954.1 | 1.250 | |
| EToRIOU | 0.89 | 0.99 | 0.57 | 0.71 | 1705.7 | 1.091 | |
| EToTURC | 0.92 | 0.98 | 1.14 | 1.25 | 1178.1 | 0.754 |
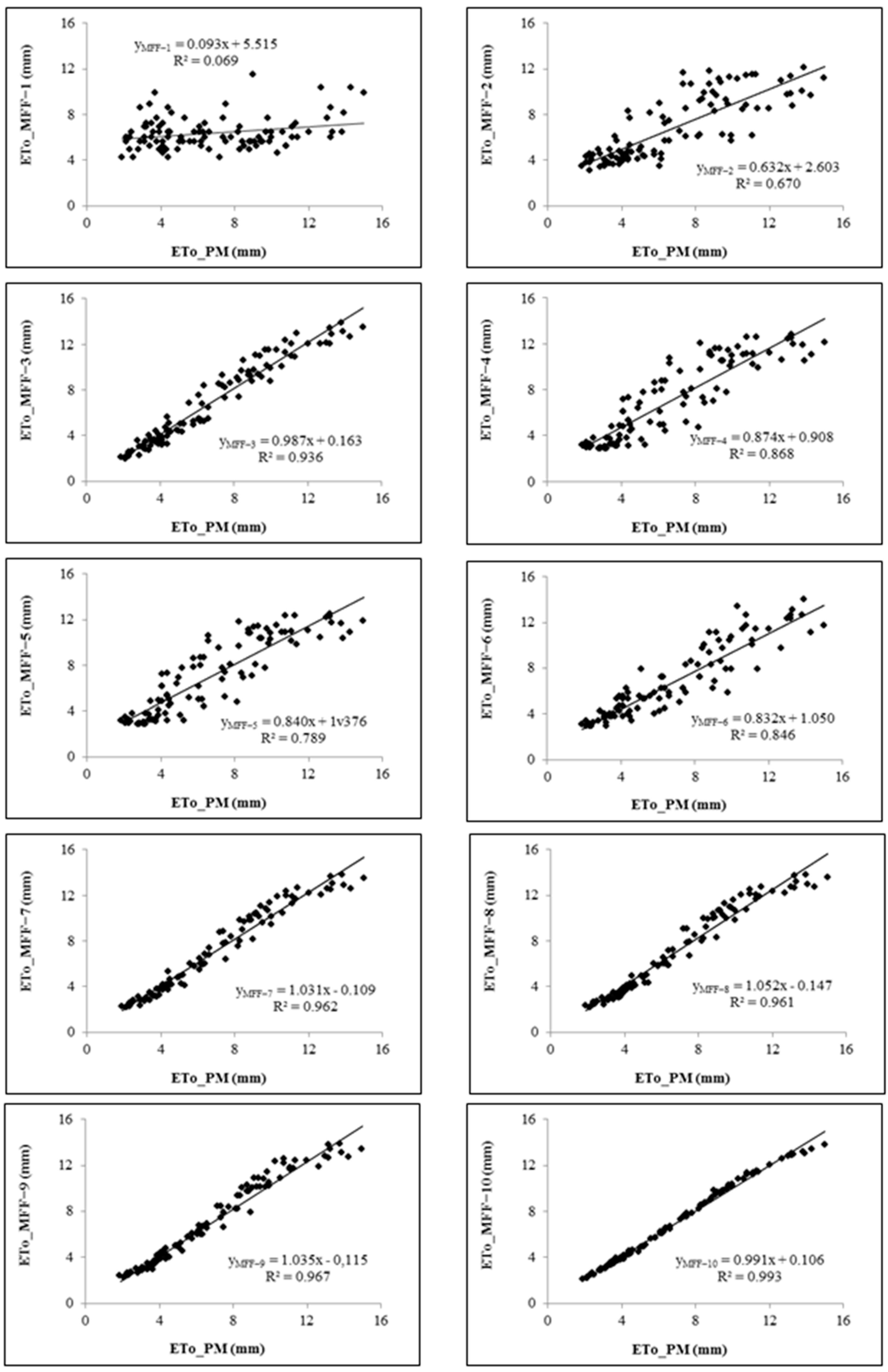
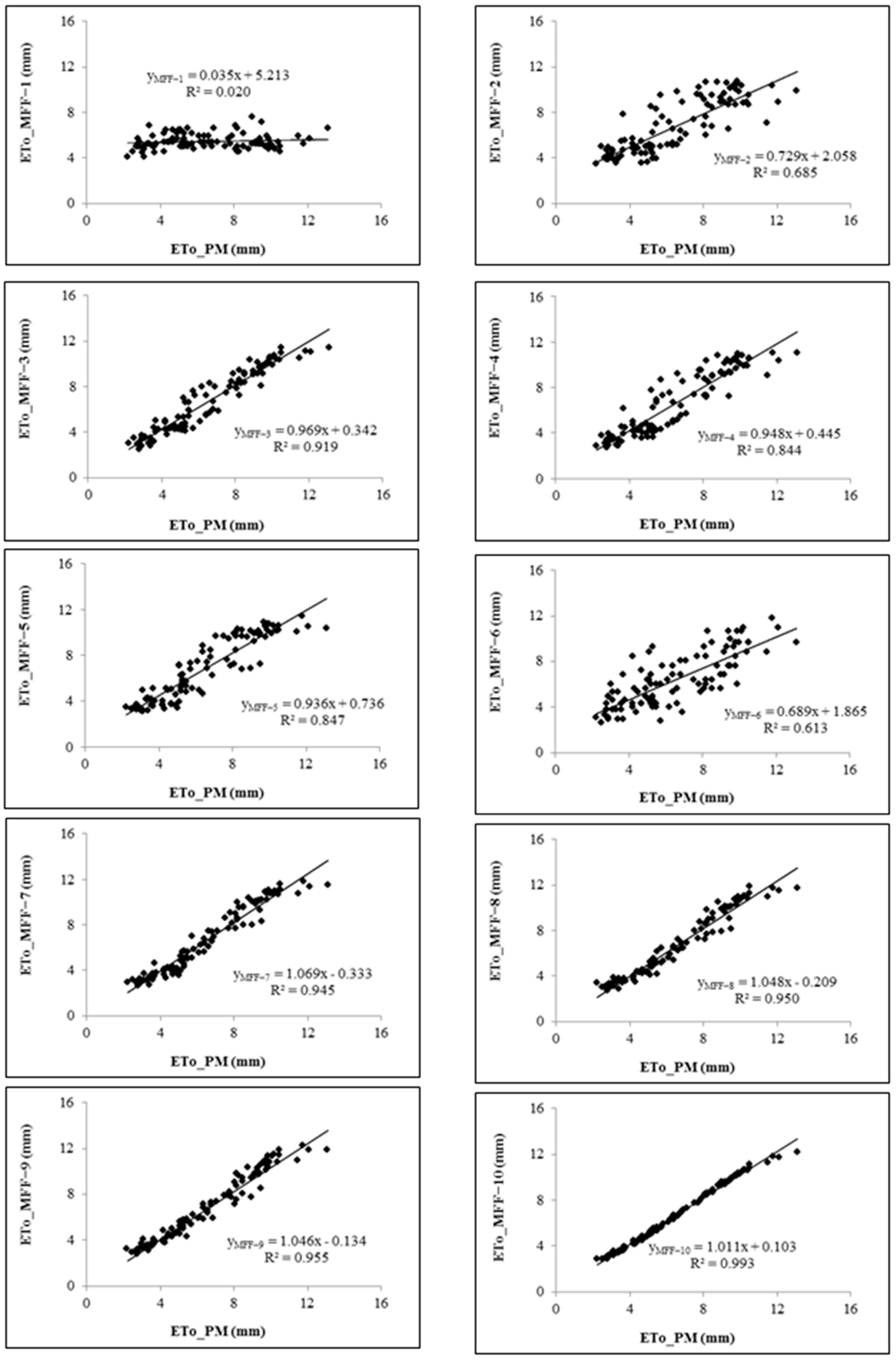
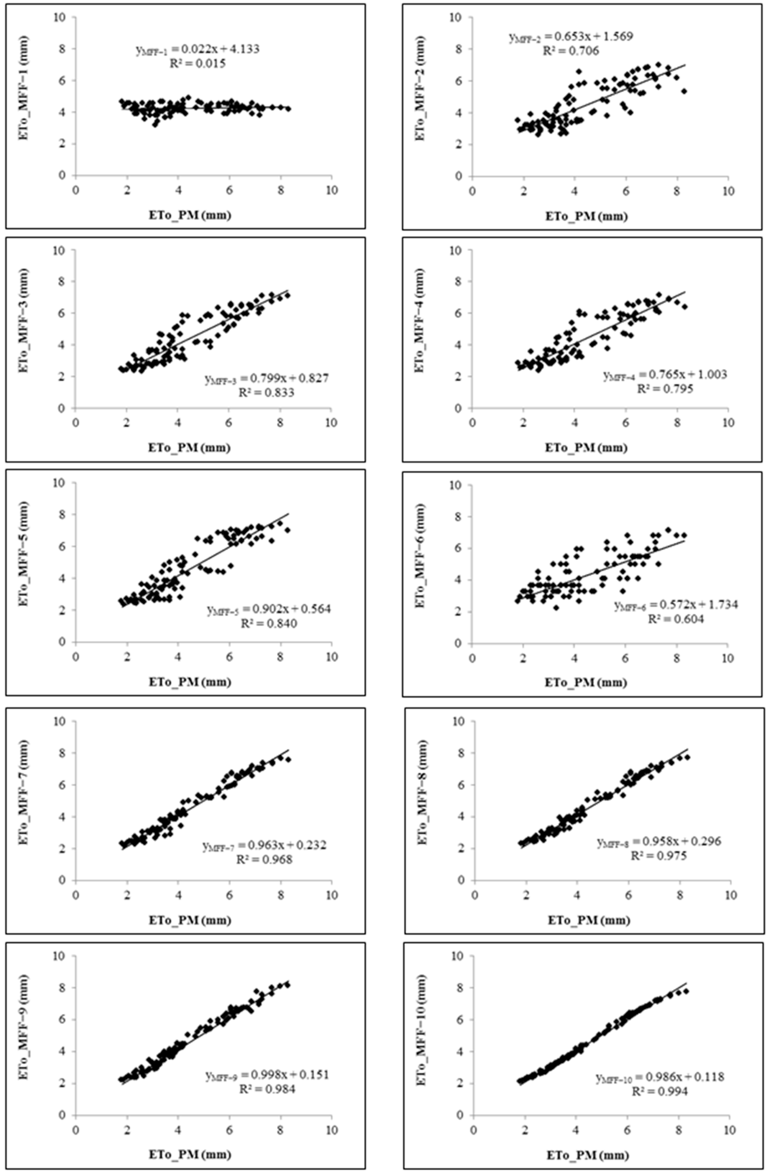
| Model | Inputs | R2 (-) | d (-) | MAE (mm day−1) | RMSE (mm day−1) |
|---|---|---|---|---|---|
| Jendouba | |||||
| MFF-1 | WS | 0.069 | 0.449 | 2.869 | 3.407 |
| MFF-2 | Tmin | 0.670 | 0.886 | 1.580 | 1.989 |
| MFF-3 | Tmax | 0.936 | 0.983 | 0.704 | 0.894 |
| MFF-4 | Tmean | 0.868 | 0.964 | 1.005 | 1.252 |
| MFF-5 | SR | 0.789 | 0.939 | 1.280 | 1.620 |
| MFF-6 | RH | 0.846 | 0.956 | 1.050 | 1.359 |
| MFF-7 | Tmax and SR | 0.962 | 0.989 | 0.552 | 0.726 |
| MFF-8 | Tmax, SR and Tmin | 0.961 | 0.988 | 0.572 | 0.779 |
| MFF-9 | Tmax, SR, Tmin and RH | 0.967 | 0.991 | 0.496 | 0.682 |
| MFF-10 | Tmax, SR, Tmin, RH and WS | 0.993 | 0.998 | 0.209 | 0.293 |
| MFF-11 | Tmean, SR and RH | 0.961 | 0.988 | 0.572 | 0.779 |
| Kairouan | |||||
| MFF-1 | WS | 0.020 | 0.424 | 2.303 | 2.865 |
| MFF-2 | Tmin | 0.685 | 0.901 | 1.208 | 1.531 |
| MFF-3 | Tmax | 0.919 | 0.978 | 0.632 | 0.784 |
| MFF-4 | Tmean | 0.844 | 0.957 | 0.877 | 1.101 |
| MFF-5 | SR | 0.847 | 0.955 | 0.909 | 1.121 |
| MFF-6 | RH | 0.613 | 0.879 | 1.335 | 1.686 |
| MFF-7 | Tmax and SR | 0.945 | 0.983 | 0.588 | 0.724 |
| MFF-8 | Tmax, SR and Tmin | 0.950 | 0.986 | 0.541 | 0.659 |
| MFF-9 | Tmax, SR, Tmin and RH | 0.955 | 0.987 | 0.508 | 0.638 |
| MFF-10 | Tmax, SR, Tmin, RH and WS | 0.993 | 0.997 | 0.229 | 0.284 |
| MFF-11 | Tmean, SR and RH | 0.921 | 0.977 | 0.669 | 0.836 |
| Kélibia | |||||
| MFF-1 | WS | 0.015 | 0.253 | 1.410 | 1.709 |
| MFF-2 | Tmin | 0.706 | 0.900 | 0.737 | 0.930 |
| MFF-3 | Tmax | 0.833 | 0.950 | 0.597 | 0.703 |
| MFF-4 | Tmean | 0.795 | 0.937 | 0.639 | 0.775 |
| MFF-5 | SR | 0.840 | 0.955 | 0.569 | 0.702 |
| MFF-6 | RH | 0.604 | 0.856 | 0.910 | 1.089 |
| MFF-7 | Tmax and SR | 0.968 | 0.991 | 0.245 | 0.312 |
| MFF-8 | Tmax, SR and Tmin | 0.975 | 0.992 | 0.237 | 0.294 |
| MFF-9 | Tmax, SR, Tmin and RH | 0.984 | 0.994 | 0.213 | 0.261 |
| MFF-10 | Tmax, SR, Tmin, RH and WS | 0.994 | 0.998 | 0.110 | 0.146 |
| MFF-11 | Tmean, SR and RH | 0.964 | 0.991 | 0.259 | 0.324 |
| Model | Inputs | R2 (-) | d (-) | MAE (mm day−1) | RMSE (mm day−1) |
|---|---|---|---|---|---|
| Jendouba | |||||
| FAO-56 PM | Tmax, SR, Tmin, RH and WS | 0.993 | 0.998 | 0.209 | 0.293 |
| MFF-10 | |||||
| FAO 24 BC | Tmean | 0.884 | 0.877 | 1.582 | 2.085 |
| MFF-4 | 0.868 | 0.964 | 1.005 | 1.252 | |
| Turc | Tmean, SR and RH | 0.903 | 0.637 | 3.591 | 4.133 |
| MFF-11 | 0.961 | 0.988 | 0.572 | 0.779 | |
| Riou | Tmax | 0.846 | 0.936 | 1.130 | 1.482 |
| MFF-3 | 0.936 | 0.983 | 0.704 | 0.894 | |
| Kairouan | |||||
| FAO-56 PM | Tmax, SR, Tmin, RH and WS | 0.993 | 0.997 | 0.229 | 0.284 |
| MFF-10 | |||||
| FAO 24 BC | Tmean | 0.870 | 0.994 | 0.854 | 1.095 |
| MFF-4 | 0.919 | 0.978 | 0.632 | 0.784 | |
| Turc | Tmean, SR and RH | 0.889 | 0.906 | 3.142 | 3.428 |
| MFF-11 | 0.921 | 0.977 | 0.669 | 0.836 | |
| Riou | Tmax | 0.822 | 0.994 | 0.879 | 1.154 |
| MFF-3 | 0.919 | 0.978 | 0.632 | 0.784 | |
| Kélibia | |||||
| FAO-56 PM | Tmax, SR, Tmin, RH and WS | 0.994 | 0.998 | 0.110 | 0.146 |
| MFF-10 | |||||
| FAO 24 BC | Tmean | 0.911 | 0.983 | 1.155 | 1.400 |
| MFF-4 | 0.795 | 0.937 | 0.639 | 0.775 | |
| Turc | Tmean, SR and RH | 0.918 | 0.977 | 1.140 | 1.245 |
| MFF-11 | 0.964 | 0.991 | 0.259 | 0.324 | |
| Riou | Tmax | 0.887 | 0.995 | 0.565 | 0.708 |
| MFF-3 | 0.833 | 0.950 | 0.597 | 0.703 | |
| Region | R2 | d | MAE (mm day−1) | RMSE (mm day−1) |
|---|---|---|---|---|
| Beja | 0.992 | 0.997 | 0.233 | 0.326 |
| Le Kef | 0.992 | 0.997 | 0.259 | 0.347 |
| Sidi Bouzid | 0.979 | 0.992 | 0.321 | 0.483 |
| Siliana | 0.982 | 0.994 | 0.352 | 0.494 |
| Bizerte | 0.933 | 0.967 | 0.494 | 0.831 |
| Tunis | 0.923 | 0.964 | 0.514 | 0.869 |
Disclaimer/Publisher’s Note: The statements, opinions and data contained in all publications are solely those of the individual author(s) and contributor(s) and not of MDPI and/or the editor(s). MDPI and/or the editor(s) disclaim responsibility for any injury to people or property resulting from any ideas, methods, instructions or products referred to in the content. |
© 2024 by the authors. Licensee MDPI, Basel, Switzerland. This article is an open access article distributed under the terms and conditions of the Creative Commons Attribution (CC BY) license (https://creativecommons.org/licenses/by/4.0/).
Share and Cite
Skhiri, A.; Ferhi, A.; Bousselmi, A.; Khlifi, S.; Mattar, M.A. Artificial Neural Network for Forecasting Reference Evapotranspiration in Semi-Arid Bioclimatic Regions. Water 2024, 16, 602. https://doi.org/10.3390/w16040602
Skhiri A, Ferhi A, Bousselmi A, Khlifi S, Mattar MA. Artificial Neural Network for Forecasting Reference Evapotranspiration in Semi-Arid Bioclimatic Regions. Water. 2024; 16(4):602. https://doi.org/10.3390/w16040602
Chicago/Turabian StyleSkhiri, Ahmed, Ali Ferhi, Anis Bousselmi, Slaheddine Khlifi, and Mohamed A. Mattar. 2024. "Artificial Neural Network for Forecasting Reference Evapotranspiration in Semi-Arid Bioclimatic Regions" Water 16, no. 4: 602. https://doi.org/10.3390/w16040602
APA StyleSkhiri, A., Ferhi, A., Bousselmi, A., Khlifi, S., & Mattar, M. A. (2024). Artificial Neural Network for Forecasting Reference Evapotranspiration in Semi-Arid Bioclimatic Regions. Water, 16(4), 602. https://doi.org/10.3390/w16040602

