Disintegration Characteristics of Highly Weathered Granite under the Influence of Scouring
Abstract
1. Introduction
2. Experimental Equipment and Test Method
2.1. Experimental Equipment
2.2. Rock Sample Preparation
2.3. Test Methods
- (1)
- Test 1: This test includes conducting disintegration tests on specimens exposed to varying scouring flow rates following different immersion durations. The aim is to determine the influence of the immersion length and scouring flow rate on the disintegration characteristics of the rock samples, as delineated in Table 3.
- (2)
- Test 2: Building upon Test 1, multiple cycle tests are executed, varying the scouring flow rates applied to specimens initially immersed for 0, 2, 4, 12, and 24 h. The goal is to investigate the influence of the cycle count on the scouring and disintegration characteristics. The test program is presented in Table 4 (according to the preliminary experiment results, the heavily weathered granite has completed disintegration after 10 cycles, and no further disintegration has occurred).
- (1)
- Test preparation: specimens were dried at 105 °C for 24 h, subsequently cooled to room temperature, and weighed.
- (2)
- Test: Rock samples were placed in a disintegration tank and subjected to immersion treatment for the predetermined immersion duration. Following immersion, the test device was adjusted to ensure constant water flow within the disintegration tank, which was maintained for 2 h to facilitate flushing. The disintegrated particles were then collected, dried, sieved, and weighed. Finally, NMR spectroscopy was conducted on the flushed and disintegrated rock samples.
3. Cumulative Relative Disintegration under Scouring Action
4. Relationship between Disintegration Stabilization Flow Rate, Pore Space Variation, and Immersion Duration
4.1. Relationship between Disintegration Stabilization Flow Rate and Immersion Duration
- (1)
- As the initial immersion length of the rock samples increases, the disintegration stabilization flow rate generally exhibits three stages: an initial gradual decline (a maximum reduction of 0.62 m/s), a subsequent sharp reduction (a maximum reduction of 2.83 m/s), and eventual stabilization (a maximum reduction of 0 m/s).
- (2)
- The disintegration stabilization flow rate, denoted as vcr, is well fitted to the immersion duration, t. This relationship is defined by the following equation:
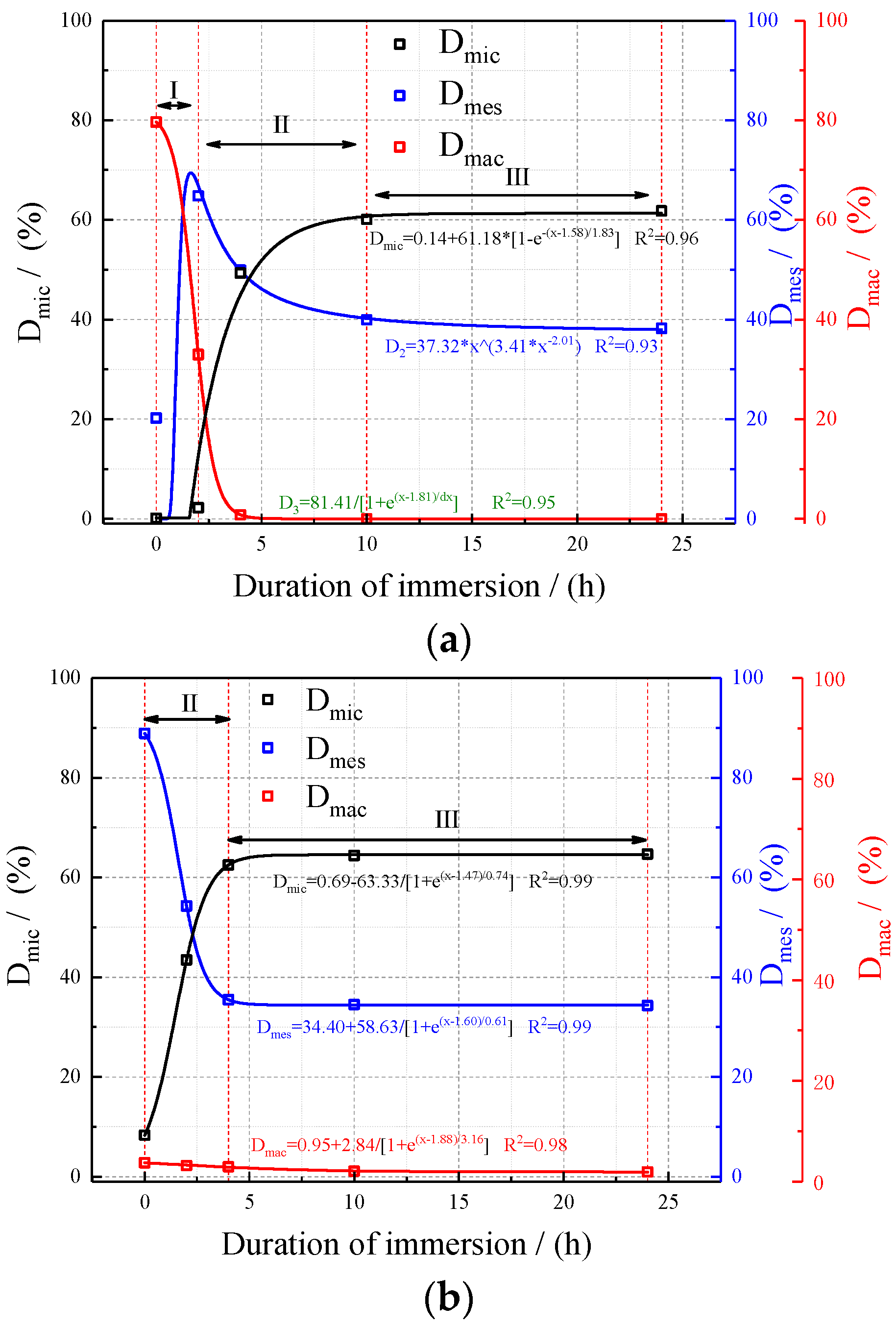
4.2. Relationship between Pore Changes and Immersion Time of Rock Samples
- (1)
- With increasing immersion time, the peak intensity within the small pore range gradually increases, while the relaxation time steadily decreases. Conversely, the peak intensity and relaxation time for the medium and large pore ranges exhibit a gradual decrease.
- (2)
- When the scouring flow rate surpasses the disintegration stabilization flow rate (from Figure 6, 1 m/s and 2 m/s for specimens with immersion lengths of 10 h and 4 h, respectively), the T2 relaxation spectra exhibit negligible changes with an extended immersion duration.
- (1)
- The disintegration of the rock samples under the action of scouring can be categorized into three stages as the immersion time increases: initial rapid disintegration (stage I), medium-term gradual disintegration (stage II), and late stabilization (stage III). The characteristics of these stages become more pronounced with lower scouring flow rates and shorter rapid disintegration stages with higher scouring flow rates.
- (2)
- During the initial rapid disintegration stage, an extended immersion time led to a substantial increase in the cumulative disintegration of the rock samples, accompanied by a marked decrease in porosity (as shown in Figure 8a, the cumulative relative disintegration volume increased by 32.4%, and the porosity decreased by 0.03). Conversely, during medium-term gradual disintegration, both the cumulative disintegration amount and rock sample porosity gradually increased as the immersion time increased. Once the disintegration stabilization stage was reached, neither the cumulative disintegration amount nor the rock sample porosity demonstrated significant changes.
- (1)
- During the initial rapid disintegration stage, as the immersion time increases, the percentage of the large pore volume in the rock samples sharply decreases (as shown in Figure 9a, a maximum reduction of 81.23%), while the percentage of the medium pore volume increases significantly (a maximum increase of 54.05%), with only minimal change in the percentage of the small pore volume.
- (2)
- In the medium-term gradual disintegration stage, the proportion of large pores in the samples is minimal. With prolonged immersion time, the proportion of medium pores in the samples sharply decreases (as shown in Figure 9b, a maximum reduction of 52.48%), while the proportion of small pores in the samples increases significantly.
- (3)
- In the late stabilization stage, the volume fraction of the large pores in the rock samples remains very low, and the volume fraction of the medium and small pores shows little change with increasing immersion time.
5. Relationship between Disintegration Stabilization Flow Rate, Pore Space Variation, and Number of Cycles
5.1. Relationship between Disintegration Stabilization Flow Rate and Number of Cycles
- (1)
- The disintegration-stabilized flow rate of the rock samples subjected to different immersion durations generally exhibits three stages: an initial slow decrease, a sharp decrease in the middle stage, and stabilization in the later stage as the number of cycles increases.
- (2)
- As the immersion time decreased, the impact on the disintegration stabilization flow rate became more pronounced with increasing cycles during the rapid reduction stage. Notably, the disintegration-stabilized flow rate of the rock samples in this study remained relatively constant when the immersion duration reached 10 h.
- (3)
- The disintegration stabilization flow rate (vcr) and the number of cycles (N) strongly correlated with the immersion duration, as described by the following relationship:
5.2. Relationship between Pore Changes and Cycle Times of Rock Samples
- (1)
- As the number of cycles increases, the peak intensity of the small pore interval gradually increases, and the relaxation time progressively decreases. Conversely, the peak intensity and relaxation time of the medium and large pore intervals decrease.
- (2)
- After more than six cycles (approaching a disintegration-stabilized flow rate of 1 m/s), the T2 relaxation spectra cease to exhibit significant changes with an increasing number of cycles.
- (1)
- As the number of cycles increases, the scouring disintegration of the rock samples can be categorized into three stages: initial sharp disintegration (stage I), medium-term slow disintegration (stage II), and late stabilization (stage III).
- (2)
- During the rapid disintegration stage, the cumulative disintegration amount and the porosity of the rock samples sharply decrease with an increasing number of cycles. In the slow disintegration stage, these parameters increase gradually with increasing cycle number, and in the disintegration stabilization stage, there is only a minor increase in both the cumulative disintegration and porosity.
- (1)
- During the rapid disintegration stage, an increase in the number of cycles leads to a sharp decrease in the percentage of the large pore volume in the sample, a significant increase in the percentage of the medium pore volume, and only minor changes in the percentage of the small pore volume.
- (2)
- In the medium-term slow disintegration stage, the proportion of large pores in the rock samples is minimal. With an increasing number of cycles, the pore volume in the rock samples decreases sharply, while the percentage of small pores increases significantly.
- (3)
- In the late stabilization stage, the rock samples predominantly contain small pores, and the volume shares of the medium and small pores remain relatively stable with an increasing number of cycles.
6. Formation Mechanism of Rock Sample Disintegration under Scouring Action
- (1)
- During the rapid disintegration stage, the particles surrounding the large pores in the rock samples exhibit the lowest shear resistance to scour disintegration, as the large pores diminish the cemented area between them and the surrounding particles. Consequently, disintegration primarily affects the particles surrounding the large pores. The volume ratio of the large pores in the rock samples sharply decreases during the rapid disintegration stage, as observed in Figure 9 and Figure 13.
- (2)
- As disintegration progresses, the amount of macroporous space significantly decreases, resulting in a substantial increase in the cemented area between the remaining surface particles and their surrounding counterparts compared to that of the particles around the macroporous spaces. The bonding force between the particles increases accordingly, and disintegration halts when the bonding force equals the shear force of the water flow scouring. The flow rate corresponding to this cessation point is the disintegration stabilization flow rate. Therefore, the phenomenon of a disintegration stabilization flow rate, as shown in Figure 5, is observed in the rock samples subjected to various immersion lengths and cycle times.
- (3)
- As the initial immersion length of the rock samples increases, the water-rock interactions intensify, increasing the pore volume. Larger pores facilitate solution infiltration, enhancing the water-rock interactions. Consequently, the rock sample pore space enlarges with longer initial immersion times, reducing the cemented area between the particles surrounding the large pore spaces. This reduction weakens the resistance to water scouring, decreasing the disintegration stabilization flow rate, as illustrated in Figure 6.
- (4)
- Similarly, wet-dry cycles enlarge the rock sample pores, causing the disintegration stabilization flow rate to decrease with an increasing number of cycles, as shown in Figure 10.
- (5)
- Although both immersion and the wet-dry cycles gradually increase the number of the rock sample pores, shorter immersion durations or fewer wet-dry cycles do not significantly expand the large pores. The large pores in the rock samples undergo significant expansion only after reaching a certain accumulation of damage during immersion or the wet-dry cycles. Thus, the disintegration stabilization flow rate exhibits the characteristics of an initial slow decrease, a sharp decrease in the middle stage, and ultimately stabilization, as demonstrated in Figure 6 and Figure 10.
- (6)
- After a certain duration of immersion or a specific number of wet-dry cycles, the medium and large pores in the rock samples evolve into large pores. In this paper, the immersion duration and cycle number reached the limits at which the small pores could not transform into large pores. Consequently, the disintegration stabilization flow rate ceases to decrease significantly after surpassing a specific immersion duration or cycle number, as depicted in Figure 6 and Figure 10.
7. Conclusions
- (1)
- The cumulative relative disintegration of highly weathered granite increases as the scouring flow rate, immersion time, and cycle number increase. Once a specific threshold in the scouring flow rate is reached, the cumulative relative disintegration stabilizes, giving rise to a flow rate associated with disintegration stabilization. This flow rate demonstrated a robust correlation with either the immersion duration or cycle number.
- (2)
- Highly weathered granite disintegration exhibits a tripartite progression comprising an initial phase of rapid disintegration, a subsequent intermediate phase of gradual disintegration, and a final phase of stabilization, all of which are associated with lengthened immersion times (or cycle numbers). Correspondingly, alterations in the flow rate associated with disintegration stabilization exhibit a comparable triphasic pattern as the immersion duration (or cycle number) increases.
- (3)
- In the rapid disintegration stage, an extended immersion time (or higher cycle number) precipitates a pronounced reduction in the volume ratio of the large pores within the rock samples while simultaneously resulting in a substantial increase in the volume ratio of the medium pores, with negligible changes observed in the volume ratio of the small pores. During the slow disintegration stage, an increase in the immersion time (or cycle number) leads to a marked reduction in the volume ratio of the medium pores, concomitant with a notable increase in the volume ratio of the small pores. Within the disintegration and stabilization stage, large pores become scarce. In contrast, the volume ratio of the medium to small pores exhibits relative stability, even as the immersion time (or cycle number) increases.
- (4)
- When exposed to scouring, the disintegration of highly weathered granite predominantly occurs in proximity to the large pores. The changes in the disintegration characteristics induced by the variations in the immersion times (or cycle numbers) are primarily attributed to the dynamic shift in the relative volume of the large pores within the rock samples.
Author Contributions
Funding
Data Availability Statement
Conflicts of Interest
References
- Lee, Y.F.; Chi, Y.Y. Rainfall-induced landslide risk at Lushan, Taiwan. Eng. Geol. 2011, 123, 113–121. [Google Scholar] [CrossRef]
- Gautam, T.P.; Shakoor, A. Comparing the slaking of clay-bearing rocks under laboratory conditions to slaking under natural climatic conditions. Rock Mech. Rock Eng. 2016, 49, 19–31. [Google Scholar] [CrossRef]
- Wang, W.; Xu, Q.; Zheng, G.; Li, J.; Luo, B. Centrifugal model tests on sliding failure of gentle debris slope under rainfall. Rock Soil Mech. 2016, 37, 87–95. [Google Scholar] [CrossRef]
- Sarman, R.; Shakoor, A.; Palmer, D.F. A multiple regression approach to predict swelling in mudrocks. Bull. Assoc. Eng. Geol. 1994, 31, 107–121. [Google Scholar] [CrossRef]
- Kıncal, C.; Koca, M.Y.; Ozden, G.; Demirbasa, N. Fractal parameter approach on weathering grade determination of Çeşme (Izmir, Turkey) tuffs. Bull. Eng. Geol. Environ. 2011, 70, 331. [Google Scholar] [CrossRef]
- Ghobadi, M.H.; Mousavi, S. The effect of pH and salty solutions on durability of sandstones of the Aghajari Formation in Khouzestan province, southwest of Iran. Arab. J. Geosci. 2014, 7, 641–653. [Google Scholar] [CrossRef]
- Zhang, Z.; Gao, W.; Huang, J.; Ouyang, S.; Zhang, Z. Swelling characteristics of red sandstone under cyclic wetting and drying. Geotech. Geol. Eng. 2020, 38, 4289–4306. [Google Scholar] [CrossRef]
- Yavuz, H. Effect of freeze–thaw and thermal shock weathering on the physical and mechanical properties of an andesite stone. Bull. Eng. Geol. Environ. 2011, 70, 187–192. [Google Scholar] [CrossRef]
- Wu, D.; Liu, H.; Wang, G. Laboratory experimental study of slaking characteristics of red-bed soft rock. Chin. J. Rock Mech. Eng. 2010, 29, 4173–4179. [Google Scholar]
- Dhakal, G.; Yoneda, T.; Kato, M.; Kaneko, K. Slake durability and mineralogical properties of some pyroclastic and sedimentary rocks. Eng. Geol. 2002, 65, 31–45. [Google Scholar] [CrossRef]
- Chai, Z.; Zhang, Y.; Zhang, X. Experimental investigation on correlation with slake durability and mineral composition of mudstone. J. China Coal Soc. 2015, 40, 1188–1193. [Google Scholar] [CrossRef]
- Erguler, Z.A.; Shakoor, A. Relative contribution of various climatic processes in disintegration of clay-bearing rocks. Eng. Geol. 2009, 108, 36–42. [Google Scholar] [CrossRef]
- Zhang, Z.; Gao, W.; Chen, Q.; Zhang, Z. A lateral unconfined swelling test for swelling rocks. Adv. Mater. Sci. Eng. 2018, 2018, 1823541. [Google Scholar] [CrossRef]
- Vergara, M.R.; Triantafyllidis, T. Swelling behavior of volcanic rocks under cyclic wetting and drying. Int. J. Rock Mech. Min. Sci. 2015, 80, 231–240. [Google Scholar] [CrossRef]
- Zhang, D.; Chen, A.; Su, Y.; Duan, H.; Wang, R.; Liu, G. Influence of hydrothermal environment on the disintegration characteristics of different purple parent rocks. Acta Pedol. Sin. 2013, 50, 643–651. [Google Scholar] [CrossRef]
- Zhao, J.; Lu, C.; Deng, L.; Liu, G. Impacts of simulated acid solution on the disintegration and cation release of purple rock (mudstone) in Southwest China. Geomorphology 2018, 316, 35–43. [Google Scholar] [CrossRef]
- Zhang, D.; Chen, A.; Liu, G. Laboratory investigation of disintegration characteristics of purple mudstone under different hydrothermal conditions. J. Mt. Sci. 2012, 9, 127–136. [Google Scholar] [CrossRef]
- Zhang, Z.T.; Gao, W.H. Effect of different test methods on the disintegration behaviour of soft rock and the evolution model of disintegration breakage under cyclic wetting and drying. Eng. Geol. 2020, 279, 105888. [Google Scholar] [CrossRef]
- Zhang, Z.T.; Gao, W.H.; Zeng, C.F.; Tang, X.Y.; Wu, J. Evolution of the disintegration breakage of red-bed soft rock using a logistic regression model. Transp. Geotech. 2020, 24, 100382. [Google Scholar] [CrossRef]
- Zhao, G.; Visser, P.J.; Peeters, P.; Vrijling, J.K. Headcut migration prediction of the cohesive embankment breach. Eng. Geol. 2013, 164, 18–25. [Google Scholar] [CrossRef]
- Wang, L.; Chen, G.; Zhan, Q.; Wang, S. Critical incipient motion of slope soil under thin layer flow scouring. J. Civil Environ. Eng. 2022, 1–11. Available online: https://kns.cnki.net/kcms/detail/50.1218.TU.20220124.1631.008.html (accessed on 26 January 2022).
- Wu, Q.; Wang, C.; Song, P.; Zhu, H.; Ma, D. Rainfall erosion experiment for steep loess slope and fluid-soil coupling simulation with PFC3D. Rock Soil Mech. 2014, 35, 977–985. [Google Scholar] [CrossRef]
- Yan, L.; Liu, P.; Peng, H.; Kašanin-Grubin, M.; Lin, K. Laboratory study of the effect of temperature difference on the disintegration of redbed softrock. Phys. Geogr. 2019, 40, 149–163. [Google Scholar] [CrossRef]
- Zhao, Y.R.; Yang, H.Q.; Huang, L.P.; Chen, R.; Chen, X.S.; Liu, S.Y. Mechanical behavior of intact completely decomposed granite soils along multi-stage loading–unloading path. Eng. Geol. 2019, 260, 105242. [Google Scholar] [CrossRef]
- DL/T5368-2007; Rock Testing Procedure for Water Conservancy and Hydropower Engineering. National Development and Reform Commission, People’s Republic of China: Beijing, China, 2007.
- SL/T264-2020; Code for Rock Tests in Water and Hydropower Projects. Ministry of Water Resources of People’s Republic of China: Beijing, China, 2020.
- Li, K.; Zhao, X.; Xiao, D.; Li, J. Mechanism of silty mudstone slaking aggravated by acid rain-induced chemical damage. Rock Soil Mech. 2020, 41, 2693–2702. [Google Scholar] [CrossRef]
- Armand, G.; Conil, N.; Talandier, J.; Seyedi, D.M. Fundamental aspects of the hydromechanical behaviour of Callovo-Oxfordian claystone: From experimental studies to model calibration and validation. Comput. Geotech. 2017, 85, 277–286. [Google Scholar] [CrossRef]
- Sørensen, E.S.; Clausen, J.; Damkilde, L. Finite element implementation of the Hoek–Brown material model with general strain softening behavior. Int. J. Rock Mech. Min. Sci. 2015, 78, 163–174. [Google Scholar] [CrossRef]
- Yu, J.; Zhang, X.; Cai, Y.; Liu, S.; Tu, B.; Fu, G. Meso-damage and mechanics properties degradation of sandstone under combined effect of water chemical corrosion and freeze-thaw cycles. Rock Soil Mech. 2019, 40, 455–464. [Google Scholar] [CrossRef]
- Kong, L.; Sayem, H.M.; Tian, H. Influence of drying–wetting cycles on soil-water characteristic curve of undisturbed granite residual soils and microstructure mechanism by nuclear magnetic resonance (NMR) spin-spin relaxation time (T2) relaxometry. Canadian Geotech. J. 2018, 55, 208–216. [Google Scholar] [CrossRef]
- Qin, Q.; Li, K.; Li, M.; Li, W.; Liu, B. Study on the deterioration mechanism of dolomite microscopic damage based on NMR technique. Chin. J. Rock Mech. Eng. 2022, 41, 2944–2954. [Google Scholar] [CrossRef]
- Zhao, J.S.; Duan, S.Q.; Chen, B.R.; Li, L.; He, B.G.; Li, P.X.; Liu, G.F. Failure mechanism of rock masses with complex geological conditions in a large underground cavern: A case study. Soil Dyn. Earthq. Eng. J. 2024, 177, 108439. [Google Scholar] [CrossRef]













| Natural Gravity/ | Poisson’s Ratio | Density/ | Natural Moisture Content/% | Saturated Moisture Content/% |
|---|---|---|---|---|
| 23.52 | 0.29 | 2.83 | 1.35 | 3.52 |
| Minerals | Kaolinite | Quartz | Albite | Galena | Others |
|---|---|---|---|---|---|
| Content/% | 38.3 | 52.6 | 5.3 | 4.0 | 9.8 |
| Immersion Duration/(h) | Flow Rate/(m/s) |
|---|---|
| 0 | 0, 0.5, 1, 1.5, 2 |
| 2 | 0, 0.5, 1, 1.5, 2 |
| 4 | 0, 0.5, 1, 1.5, 2 |
| 10 | 0, 0.5, 1, 1.5, 2 |
| 24 | 0, 0.5, 1, 1.5, 2 |
| Immersion Duration/(h) | Flow Rate/(m/s) | Number of Cycles |
|---|---|---|
| 0, 2, 4, 12, 24 | 0 | 1, 2, 3, 4, 5, 6, 7, 8, 9, 10 |
| 0.5 | 1, 2, 3, 4, 5, 6, 7, 8, 9, 10 | |
| 1 | 1, 2, 3, 4, 5, 6, 7, 8, 9, 10 | |
| 1.5 | 1, 2, 3, 4, 5, 6, 7, 8, 9, 10 | |
| 2 | 1, 2, 3, 4, 5, 6, 7, 8, 9, 10 |
Disclaimer/Publisher’s Note: The statements, opinions and data contained in all publications are solely those of the individual author(s) and contributor(s) and not of MDPI and/or the editor(s). MDPI and/or the editor(s) disclaim responsibility for any injury to people or property resulting from any ideas, methods, instructions or products referred to in the content. |
© 2024 by the authors. Licensee MDPI, Basel, Switzerland. This article is an open access article distributed under the terms and conditions of the Creative Commons Attribution (CC BY) license (https://creativecommons.org/licenses/by/4.0/).
Share and Cite
He, X.; Liu, C.; Zhang, X.; Wu, C.; Weng, Z. Disintegration Characteristics of Highly Weathered Granite under the Influence of Scouring. Water 2024, 16, 496. https://doi.org/10.3390/w16030496
He X, Liu C, Zhang X, Wu C, Weng Z. Disintegration Characteristics of Highly Weathered Granite under the Influence of Scouring. Water. 2024; 16(3):496. https://doi.org/10.3390/w16030496
Chicago/Turabian StyleHe, Xiyang, Chengyu Liu, Xiangxiang Zhang, Changyu Wu, and Zhiyu Weng. 2024. "Disintegration Characteristics of Highly Weathered Granite under the Influence of Scouring" Water 16, no. 3: 496. https://doi.org/10.3390/w16030496
APA StyleHe, X., Liu, C., Zhang, X., Wu, C., & Weng, Z. (2024). Disintegration Characteristics of Highly Weathered Granite under the Influence of Scouring. Water, 16(3), 496. https://doi.org/10.3390/w16030496
