Water Footprints of Dairy Milk Processing Industry: A Case Study of Punjab (India) †
Abstract
1. Introduction
2. Methods and Materials
2.1. The Study Area
2.2. The Study Variables
2.3. Quantification of Water Footprint of Dairy Milk Processing
2.4. Data Analysis
3. Results and Discussion
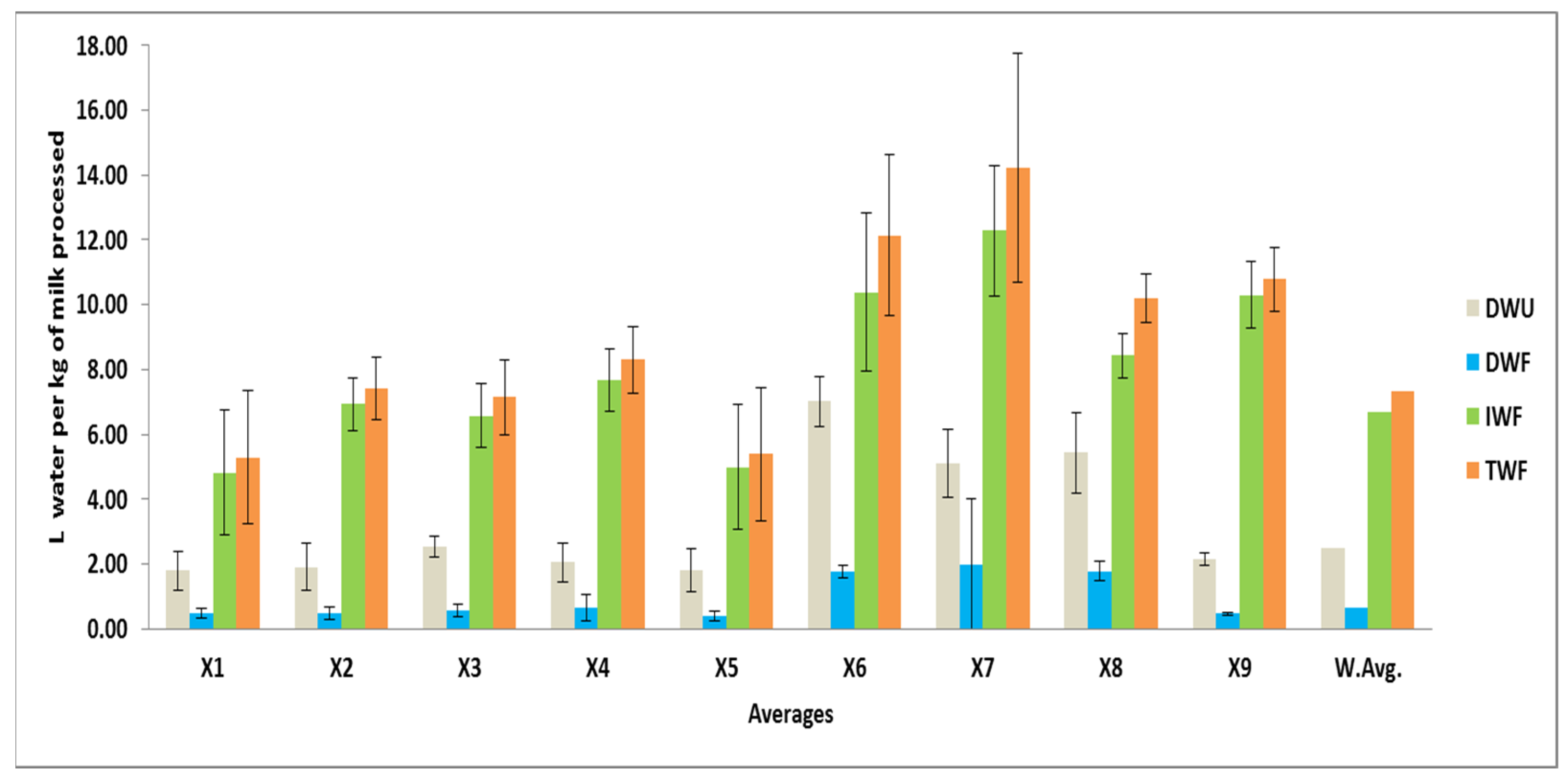
3.1. Water Used and Consumed in the Dairy Milk Processing Plants
- (a)
- Direct Water Usage (DWU)
- (b)
- Direct Water Footprint (DWF)
- (c)
- Indirect Water Footprint (IWF)
- (d)
- Total Water Footprint (TWF)
3.2. Seasonal Variability in Water Used and Consumed in the Dairy Milk Processing Plants
3.3. Relationship between Dairy Processing Product Mix and Its Water Footprint
3.4. Assessment of Dairy Processing Water Footprint Impact on Water Resources in Punjab State
4. Conclusions
Author Contributions
Funding
Data Availability Statement
Acknowledgments
Conflicts of Interest
References
- Mall, R.K.; Gupta, A.; Singh, R.; Singh, R.S.; Rathore, L.S. Water Resources and Climate Change. Curr. Sci. 2006, 90, 1610–1626. [Google Scholar] [CrossRef]
- Molden, D. Water for Food Water for Life: A Comprehensive Assessment of Water Management in Agriculture; Earthscan: London, UK, 2013. [Google Scholar] [CrossRef]
- Opio, C.; Gerber, P.; Steinfeld, H. Livestock and the Environment: Addressing the Consequences of Livestock Sector Growth. Adv. Anim. Biosci. 2011, 2, 601–607. [Google Scholar] [CrossRef]
- OECD/FAO. OECD-FAO Agricultural Outlook 2021–2030; OECD: Paris, France, 2021. [Google Scholar]
- Deutsch, L.; Falkenmark, M.; Gordon, L.; Rockström, J.; Folke, C. Water-Mediated Ecological Consequences of Intensification and Expansion of Livestock Production. In Livestock in a Changing Landscape; Island Press: Washington, DC, USA, 2010; Volume 1, pp. 97–110. [Google Scholar]
- FAO. Water Use in Livestock Production Systems and Supply Chains; FAO: Rome, Italy, 2019. [Google Scholar]
- Drastig, K.; Prochnow, A.; Kraatz, S.; Klauss, H.; Plöchl, M. Water Footprint Analysis for the Assessment of Milk Production in Brandenburg (Germany). Adv. Geosci. 2010, 27, 65–70. [Google Scholar] [CrossRef]
- Ridoutt, B.G.; Williams, S.R.O.; Baud, S.; Fraval, S.; Marks, N. Short Communication: The Water Footprint of Dairy Products: Case Study Involving Skim Milk Powder. J. Dairy Sci. 2010, 93, 5114–5117. [Google Scholar] [CrossRef]
- Zonderland-Thomassen, M.A.; Ledgard, S.F. Water Footprinting—A Comparison of Methods Using New Zealand Dairy Farming as a Case Study. Agric. Syst. 2012, 110, 30–40. [Google Scholar] [CrossRef]
- Manazza, J.F.; Iglesias, D.H. Water Footprint in Milk Agrifood Chain in the Subhumid and Semiarid Central Region of Argentina. In Proceedings of the International Association of Agricultural Economists (IAAE) Triennial Conference, Foz do Iguaçu, Brazil, 18–24 August 2012; pp. 1–24. [Google Scholar]
- Huang, J.; Xu, C.C.; Ridoutt, B.G.; Liu, J.J.; Zhang, H.L.; Chen, F.; Li, Y. Water Availability Footprint of Milk and Milk Products from Large-Scale Dairy Production Systems in Northeast China. J. Clean. Prod. 2014, 79, 91–97. [Google Scholar] [CrossRef]
- Murphy, E.; de Boer, I.J.M.; van Middelaar, C.E.; Holden, N.M.; Shalloo, L.; Curran, T.P.; Upton, J. Water Footprinting of Dairy Farming in Ireland. J. Clean. Prod. 2017, 140, 547–555. [Google Scholar] [CrossRef]
- Owusu-Sekyere, E.; Jordaan, H.; Chouchane, H. Evaluation of Water Footprint and Economic Water Productivities of Dairy Products of South Africa. Ecol. Indic. 2017, 83, 32–40. [Google Scholar] [CrossRef]
- Espíndola, J.C.; Mierzwa, J.C.; Amaral, M.C.S.; De Andrade, L.H. Water Reuse through Membrane Technologies for a Dairy Plant Using Water Pinch Simulation Software. Sustainability 2023, 15, 2540. [Google Scholar] [CrossRef]
- FAO. World Food and Agriculture—Statistical Yearbook 2022; FAO: Rome, Italy, 2022. [Google Scholar] [CrossRef]
- Economic and Statistical Organisation, Department of Planning, G. o. P. Statistical Abstract of Punjab 2021; Economic and Statistical Organisation, Department of Planning, G. o. P.: Mohali, India, 2021.
- Singh, O.P.; Kumar, M.D. Impact of Dairy Farming on Agricultural Water Productivity and Irrigation Water Use; 2007; pp. 85–98. Available online: https://cgspace.cgiar.org/items/e402efbf-c81b-4077-bfe5-45e642fa8a25 (accessed on 10 December 2023).
- Singh, O.P.; Singh, P.K.; Singh, R.; Singh, H.P.; Badal, P.S. Water Intensity of Milk Production: A Comparative Analysis from Waterscarce and Water Rich Regions of India. Econ. Aff. 2014, 59, 299–309. [Google Scholar] [CrossRef]
- Harika, R.; Pandey, D.; Sharma, A.; Sirohi, S. Water Footprint of Milk Production in Andhra Pradesh. Indian J. Dairy Sci. 2015, 68, 384–389. [Google Scholar]
- Amarasinghe, U.A.; Smakhtin, V.; Sharma, B.R.; Eriyagama, N. Bailout with White Revolution or Sink Deeper? Groundwater Depletion and Impacts in the Moga District of Punjab, India; IWMI: Colombo, Sri Lanka, 2010. [Google Scholar]
- Rao, G.V.L.N.; Srivastava, A.K.; Das, M.; John, A.J.; Prasad, S.N.; Gujarathi, P.; Srivastava, D.; Kumar, R. External Monitoring and Evaluation of the National Dairy Plan Phase I (National Dairy Support Project)—Baseline Study; Development and Research Services (P) Ltd.: New Delhi, India, 2013; p. 129. [Google Scholar]
- Prasad, P.; Pagan, R.; Kauter, M.; Price, N.; Crittenden, P. Eco-Efficiency for the Dairy Processing Industry. In The UNEP Working Group for Cleaner Production in the Food Industry; Environmental Management Centre, The University of Queensland: St. Lucia, Australia, 2004; p. 153. [Google Scholar]
- Vourch, M.; Balannec, B.; Chaufer, B.; Dorange, G. Treatment of Dairy Industry Wastewater by Reverse Osmosis for Water Reuse. Desalination 2008, 219, 190–202. [Google Scholar] [CrossRef]
- Wojdalski, J.; Drózdz, B.; Piechocki, J.; Gaworski, M.; Zander, Z.; Marjanowski, J. Determinants of Water Consumption in the Dairy Industry. Polish J. Chem. Technol. 2013, 15, 61–72. [Google Scholar] [CrossRef]
- Irfan, Z.B.; Mondal, M. Water Footprint Analysis in Dairy Industry in India. Int. J. Environ. Sci. Dev. 2016, 7, 591–594. [Google Scholar] [CrossRef]
- Anonymous. Ground Water Year Book Punjab and Chandigarh (UT) 2017-18; Central Ground Water Board, North Western Region Chandigarh, Department of Water Resources, River Development & Ganga Rejuvenation Ministry of Jal Shakti, Government of India: New Delhi, India, 2018; pp. 1–205.
- Department of Animal Husbandry, Ministry of Agriculture. Basic Animal Husbandry Statistics 2021; Government of India: New Delhi, India, 2021.
- Hoekstra, A.; Chapagain, A.; Aldaya, M.; Mekonnen, M. Water Footprint Manual: State of the Art; Water Footprint Network: Hengelo/Enschede, The Netherlands, 2009. [Google Scholar]
- CEA. Report on Minimisation of Water Requirement in Coal Based Thermal Power Stations; Central Electricity Authority: New Delhi, India, 2012; pp. 1–52.
- Herath, I.; Deurer, M.; Horne, D.; Singh, R.; Clothier, B. The Water Footprint of Hydroelectricity: A Methodological Comparison from a Case Study in New Zealand. J. Clean. Prod. 2011, 19, 1582–1589. [Google Scholar] [CrossRef]
- Gerbens-Leenes, P.W.; Hoekstra, A.Y.; van der Meer, T. The Water Footprint of Energy from Biomass: A Quantitative Assessment and Consequences of an Increasing Share of Bio-Energy in Energy Supply. Ecol. Econ. 2009, 68, 1052–1060. [Google Scholar] [CrossRef]
- Mekonnen, M.M.; Hoekstra, A.Y. The Blue Water Footprint of Electricity from Hydropower. Hydrol. Earth Syst. Sci. 2012, 16, 179–187. [Google Scholar] [CrossRef]
- Jackson, J.E. A User’s Guide to Principal Components; John Wiley & Sons: Hoboken, NJ, USA, 1991. [Google Scholar]
- Vasilaki, V.; Katsou, E.; Ponsá, S.; Colón, J. Water and Carbon Footprint of Selected Dairy Products: A Case Study in Catalonia. J. Clean. Prod. 2016, 139, 504–516. [Google Scholar] [CrossRef]
- Olmstead, I.; Prasad, P.; Pagan, R.; Kauter, M.; Price, N.; Crittenden, P. Eco-Efficiency for the Dairy Processing Industry, 2019th ed.; Dairy Australia: Victoria, Australia, 2019. [Google Scholar]
- Boguniewicz-Zablocka, J.; Klosok-Bazan, I.; Naddeo, V. Water Quality and Resource Management in the Dairy Industry. Environ. Sci. Pollut. Res. 2019, 26, 1208–1216. [Google Scholar] [CrossRef]
- Singh, R.; Singh, P.K.; Kaur, I.; Kaur, R. Decomposition of Cost Structure and Evaluating Operational Feasibility of Low Fat Yoghurt Ice Cream. Indian J. Econ. Dev. 2016, 12, 483. [Google Scholar] [CrossRef]
- Kumar, S.; Rai, D.C.; Niranjan, K.; Bhat, Z.F. Paneer—An Indian Soft Cheese Variant: A Review. J. Food Sci. Technol. 2014, 51, 821–831. [Google Scholar] [CrossRef] [PubMed]
- Singh, A.; Chandel, B.; Chauhan, A.; Das, J.; KM, R. Economics of Milk Processing in Cooperative Sector of Haryana. Indian J. Dairy Sci. 2021, 74, 255–261. [Google Scholar] [CrossRef]
- Mudgal, S.P.; Prajapati, J.B. Dahi-An Indian Naturally Fermented Yogurt; Elsevier Inc.: Amsterdam, The Netherlands, 2017. [Google Scholar] [CrossRef]
- Alli, M.M.; Chauhan, A.K.; Franco, D.; Singh, S.P. Economics of Resource Utilization for Manufacturing of Dairy Products in a Cooperative Dairy Plant in Coastal Odisha. Indian J. Econ. Dev. 2020, 16, 631–635. [Google Scholar] [CrossRef]
- ETSU. Reducing Energy Costs in Dairies—A Guide to Improved Profitability, Good Practice Guide 209, UK Energy Efficiency Best Practice Programme; ETSU: Oxford, UK, 1998. [Google Scholar]
- Srivastava, S.K.; Chand, R.; Raju, S.S.; Jain, R.; Kingsly, I.; Sachdeva, J.; Singh, J.; Kaur, A.P. Unsustainable Groundwater Use in Punjab Agriculture: Insights from Cost of Cultivation Survey. Indian J. Agric. Econ. 2015, 70, 365–378. [Google Scholar] [CrossRef]
- Kumar, R.V.; Goswami, L.; Pakshirajan, K.; Pugazhenthi, G. Dairy Wastewater Treatment Using a Novel Low Cost Tubular Ceramic Membrane and Membrane Fouling Mechanism Using Pore Blocking Models. J. Water Process Eng. 2016, 13, 168–175. [Google Scholar] [CrossRef]
- Jia, M.; Farid, M.U.; Kharraz, J.A.; Kumar, N.M.; Chopra, S.S.; Jang, A.; Chew, J.; Khanal, S.K.; Chen, G.; An, A.K. Nanobubbles in Water and Wastewater Treatment Systems: Small Bubbles Making Big Difference. Water Res. 2023, 245, 120613. [Google Scholar] [CrossRef]
- Levitsky, I.; Tavor, D.; Gitis, V. Micro and Nanobubbles in Water and Wastewater Treatment: A State-of-The-Art Review. J. Water Process Eng. 2022, 47, 102688. [Google Scholar] [CrossRef]






| S.No. | Name of Milk Processing Plant | Installed Capacity (Million L/day) | Utilized Capacity (Million L/day) | % Utilization of the Installed Capacity |
|---|---|---|---|---|
| 1 | X1 | 0.55 | 0.60 | 109 |
| 2 | X2 | 0.40 | 0.47 | 118 |
| 3 | X3 | 0.20 | 0.23 | 113 |
| 4 | X4 | 0.25 | 0.30 | 120 |
| 5 | X5 | 0.75 | 0.80 | 107 |
| 6 | X6 | 0.13 | 0.15 | 115 |
| 7 | X7 | 0.10 | 0.10 | 100 |
| 8 | X8 | 0.13 | 0.15 | 115 |
| 9 | X9 | 0.15 | 0.20 | 133 |
| Name of Milk Processing Plant | Product Mix |
|---|---|
| X1 | Liquid Milk, Butter, Ghee, Dahi, Paneer, Milk Powder (MP), Milk Cake |
| X2 | Liquid Milk, Butter, Ghee, Dahi, Paneer, Milk Powder (MP) |
| X3 | Liquid Milk, Butter, Ghee, Dahi, Paneer |
| X4 | Liquid Milk, Butter, Ghee, Dahi, Paneer, Milk Powder (MP) |
| X5 | Liquid Milk, Butter, Ghee, Dahi, Paneer |
| X6 | Liquid Milk, Butter, Ghee, Dahi, Paneer, Milk Powder (MP), Ice Cream |
| X7 | Liquid Milk, Butter, Ghee, Dahi, Paneer, Milk Powder (MP) |
| X8 | Liquid Milk, Butter, Ghee, Dahi, Paneer, Milk Powder (MP) |
| X9 | Liquid Milk, Butter, Ghee, Dahi, Paneer, Milk Powder (MP) |
| Season | Mean Milk Processed (Million Kg per Plant) | Water Used or Consumed (in Liters per kg of Milk Processed). The Water Footprint Refers to the Water Consumed. | |||
|---|---|---|---|---|---|
| Direct Water Use (DWU) | Direct Water Footprint (DWF) | Indirect Water Footprint (IWF) | Total Water Footprint (TWF) | ||
| 2015 | |||||
| Summer | 26.84 | 5.32 ± 3.71 | 1.31 ± 0.78 * | 8.41 ± 2.99 * | 9.72 ± 3.66 * |
| Winter | 35.14 | 3.36 ± 1.77 | 0.97 ± 0.55 * | 6.38 ± 2.03 * | 7.35 ± 2.46 * |
| Annual | 30.99 | 4.34 ± 2.68 | 1.14 ± 0.66 * | 7.39 ± 2.36 * | 8.53 ± 2.93 * |
| 2016 | |||||
| Summer | 23.31 | 4.33 ± 2.27 | 1.87 ± 1.87 * | 9.41 ± 2.86 | 11.28 ± 4.62 |
| Winter | 31.65 | 3.54 ± 1.93 | 1.38 ± 1.45 * | 7.51 ± 2.50 * | 8.89 ± 3.90 * |
| Annual | 27.48 | 3.93 ± 2.05 | 1.62 ± 1.63 * | 8.46 ± 2.59 * | 10.08 ± 4.18 * |
| 2017 | |||||
| Summer | 66.26 | 2.99 ± 2.24 | 0.76 ± 0.69 * | 6.81 ± 2.53 * | 7.57 ± 2.98 * |
| Winter | 79.45 | 2.45 ± 1.70 | 0.60 ± 0.42 * | 6.17 ± 2.89 * | 6.77 ± 3.16 * |
| Annual | 72.85 | 2.72 ± 1.92 | 0.68 ± 0.54 * | 6.49 ± 2.63 * | 7.17 ± 2.98 * |
| 2018 | |||||
| Summer | 43.42 | 3.71 ± 2.56 | 0.97 ± 0.78 * | 10.80 ± 5.18 * | 11.77 ± 5.69 * |
| Winter | 58.09 | 2.55 ± 1.45 | 0.63 ± 0.38 * | 6.64 ± 2.27 * | 7.27 ± 2.43 * |
| Annual | 50.76 | 3.13 ± 1.99 | 0.80 ± 0.58 * | 8.72 ± 3.54 * | 9.52 ± 3.89 * |
| 2019 | |||||
| Summer | 38.28 | 4.03 ± 2.56 | 1.02 ± 0.72 * | 10.54 ± 2.37 | 11.56 ± 2.76 |
| Winter | 53.47 | 2.54 ± 1.41 | 0.61 ± 0.35 * | 6.89 ± 1.63 | 7.50 ± 1.81 |
| Annual | 45.87 | 3.29 ± 1.97 | 0.82 ± 0.53 * | 8.71 ± 1.87 * | 9.53 ± 2.15 * |
| Plant | Milk Proc. (Millon kg per Year) | TWF (L of Water/kg Milk Processed) | Liquid Milk (%) | Ghee (%) | Butter (%) | MP (%) | Paneer (%) | Dahi (%) | Milk Cake (%) | Ice Cream (%) |
|---|---|---|---|---|---|---|---|---|---|---|
| X1 | 15.86 | 5.28 | 87.07 | 1.61 | 2.58 | 3.43 | 0.80 | 4.51 | 0.01 | |
| X2 | 4.68 | 7.41 | 93.15 | 0.99 | 0.84 | 0.07 | 1.02 | 3.92 | ||
| X3 | 3.34 | 7.14 | 90.78 | 0.77 | 0.83 | 0.54 | 7.08 | |||
| X4 | 3.62 | 8.31 | 90.38 | 0.98 | 1.04 | 2.72 | 1.02 | 3.90 | ||
| X5 | 18.14 | 5.39 | 88.93 | 0.41 | 1.11 | 1.08 | 8.46 | |||
| X6 | 2.45 | 12.14 | 76.28 | 3.49 | 2.10 | 3.90 | 6.70 | 7.14 | 0.38 | |
| X7 | 1.34 | 14.23 | 85.19 | 1.33 | 2.05 | 2.74 | 0.93 | 7.76 | ||
| X8 | 2.51 | 10.20 | 56.20 | 8.31 | 5.29 | 12.20 | 7.52 | 10.47 | ||
| X9 | 1.96 | 10.78 | 85.95 | 1.97 | 2.55 | 5.76 | 0.46 | 3.32 | ||
| Av | 5.98 | 8.99 | 83.77 | 2.21 | 2.04 | 3.42 | 2.23 | 6.29 | 0.01 | 0.38 |
| District of the Dairy Processing Plants | Groundwater Over-Utilization in the District (%) | Groundwater Usage in Agricultural Activities in the District (MCM per Year) | Groundwater Usage at Industrial and Domestic Level in the District (MCM per Year) | Groundwater Usage (DWU) in the Study Dairy Milk Processing Plant (MCM per Year) | Groundwater Consumption (DWF) in the Study Dairy Milk Plant (MCM per Year) |
|---|---|---|---|---|---|
| X1 | 183 | 3383.77 | 163.30 | 1.46 | 0.39 |
| X2 | 239 | 2684.33 | 122.64 | 0.47 | 0.12 |
| X3 | 217 | 2903.19 | 71.39 | 0.45 | 0.10 |
| X4 | 148 | 2179.50 | 100.14 | 0.39 | 0.13 |
| X5 | 120 | 236.93 | 71.77 | 1.06 | 0.23 |
| X6 | 98 | 1321.49 | 54.84 | 0.88 | 0.22 |
| X7 | 107 | 848.90 | 72.31 | 0.30 | 0.09 |
| X8 | 260 | 3685.02 | 61.29 | 0.72 | 0.24 |
| X9 | 135 | 2024.77 | 70.64 | 0.13 | 0.03 |
| Punjab | 166 | 34,564.64 | 1217.72 | 27.64 | 7.27 |
Disclaimer/Publisher’s Note: The statements, opinions and data contained in all publications are solely those of the individual author(s) and contributor(s) and not of MDPI and/or the editor(s). MDPI and/or the editor(s) disclaim responsibility for any injury to people or property resulting from any ideas, methods, instructions or products referred to in the content. |
© 2024 by the authors. Licensee MDPI, Basel, Switzerland. This article is an open access article distributed under the terms and conditions of the Creative Commons Attribution (CC BY) license (https://creativecommons.org/licenses/by/4.0/).
Share and Cite
Sharma, H.; Singh, P.K.; Kaur, I.; Singh, R. Water Footprints of Dairy Milk Processing Industry: A Case Study of Punjab (India). Water 2024, 16, 435. https://doi.org/10.3390/w16030435
Sharma H, Singh PK, Kaur I, Singh R. Water Footprints of Dairy Milk Processing Industry: A Case Study of Punjab (India). Water. 2024; 16(3):435. https://doi.org/10.3390/w16030435
Chicago/Turabian StyleSharma, Hanish, Pranav K. Singh, Inderpreet Kaur, and Ranvir Singh. 2024. "Water Footprints of Dairy Milk Processing Industry: A Case Study of Punjab (India)" Water 16, no. 3: 435. https://doi.org/10.3390/w16030435
APA StyleSharma, H., Singh, P. K., Kaur, I., & Singh, R. (2024). Water Footprints of Dairy Milk Processing Industry: A Case Study of Punjab (India). Water, 16(3), 435. https://doi.org/10.3390/w16030435
