Photocatalytic Degradation of Tetracycline by La-Fe Co-Doped SrTiO3/TiO2 Composites: Performance and Mechanism Study
Abstract
1. Introduction
2. Materials and Methods
2.1. Materials
2.2. Synthesis of Photocatalysts
2.2.1. Preparation of SrTiO3/TiO2
2.2.2. Preparation of La-SrTiO3/TiO2
2.2.3. Preparation of La-Sr (Ti-Fe) O3/TiO2
2.3. Characterization
2.4. Evaluation of Photocatalytic Performance
2.5. Evaluation of Inflencing Factors
2.6. Tests for Stability and Evalatution of Radicals Via Quenching
2.7. Determination of Tetracycline Degradation Products
3. Results and Discussion
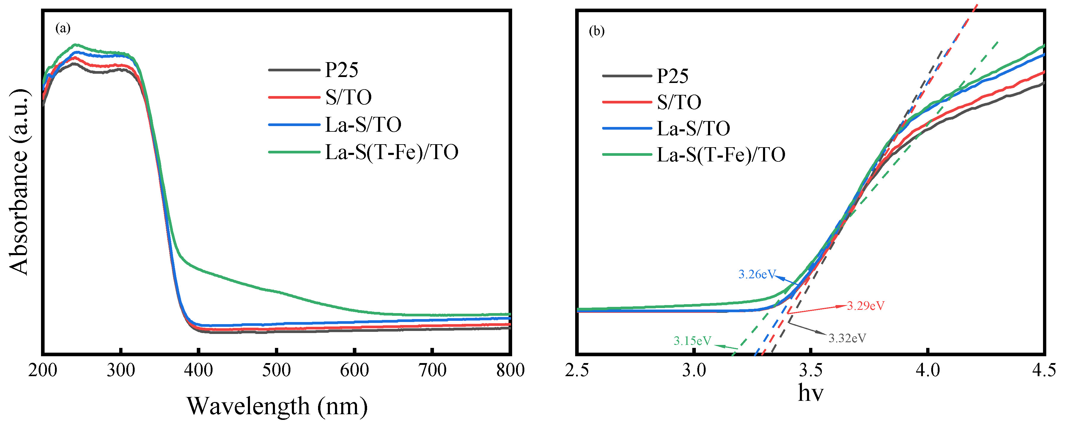
3.1. Characterization of Photocatalysts
3.2. Degradation Performance of Tetracycline by Photocatalysts
3.3. Factors Influencing the Photocatalytic Degradation of Tetracycline
3.4. Stability Experiment
3.5. Radical Quenching and Photocatalytic Mechanism
3.6. Degradation Pathways of Tetracycline
4. Conclusions
Supplementary Materials
Author Contributions
Funding
Data Availability Statement
Conflicts of Interest
References
- Kafaei, R.; Papari, F.; Seyedabadi, M.; Sahebi, S.; Tahmasebi, R.; Ahmadi, M.; Sorial, G.A.; Asgari, G.; Ramavandi, B. Occurrence, distribution, and potential sources of antibiotics pollution in the water-sediment of the northern coastline of the Persian Gulf, Iran. Sci. Total Environ. 2018, 627, 703–712. [Google Scholar] [CrossRef] [PubMed]
- Wammer, K.H.; Slattery, M.T.; Stemig, A.M.; Ditty, J.L. Tetracycline photolysis in natural waters: Loss of antibacterial activity. Chemosphere 2011, 85, 1505–1510. [Google Scholar] [CrossRef] [PubMed]
- Chen, T.; Luo, L.; Deng, S.; Shi, G.; Zhang, S.; Zhang, Y.; Deng, O.; Wang, L.; Zhang, J.; Wei, L. Sorption of tetracycline on H3PO4 modified biochar derived from rice straw and swine manure. Bioresour. Technol. 2018, 267, 431–437. [Google Scholar] [CrossRef] [PubMed]
- Yu, F.; Li, Y.; Han, S.; Ma, J. Adsorptive removal of antibiotics from aqueous solution using carbon materials. Chemosphere 2016, 153, 365–385. [Google Scholar] [CrossRef] [PubMed]
- Zhu, X.-D.; Wang, Y.-J.; Sun, R.-J.; Zhou, D.-M. Photocatalytic degradation of tetracycline in aqueous solution by nanosized TiO2. Chemosphere 2013, 92, 925–932. [Google Scholar] [CrossRef] [PubMed]
- Qi, N.; Wang, P.; Wang, C.; Ao, Y. Effect of a typical antibiotic (tetracycline) on the aggregation of TiO2 nanoparticles in an aquatic environment. J. Hazard. Mater. 2018, 341, 187–197. [Google Scholar] [CrossRef] [PubMed]
- Silva, C.P.; Louros, V.; Silva, V.; Otero, M.; Lima, D.L.D. Antibiotics in Aquaculture Wastewater: Is It Feasible to Use a Photodegradation-Based Treatment for Their Removal? Toxics 2021, 9, 194. [Google Scholar] [CrossRef]
- Iakovides, I.C.; Michael-Kordatou, I.; Moreira, N.F.F.; Ribeiro, A.R.; Fernandes, T.; Pereira, M.F.R.; Nunes, O.C.; Manaia, C.M.; Silva, A.M.T.; Fatta-Kassinos, D. Continuous ozonation of urban wastewater: Removal of antibiotics, antibiotic-resistant Escherichia coli and antibiotic resistance genes and phytotoxicity. Water Res. 2019, 159, 333–347. [Google Scholar] [CrossRef]
- Wang, Y.; Zhang, H.; Zhang, J.; Lu, C.; Huang, Q.; Wu, J.; Liu, F. Degradation of tetracycline in aqueous media by ozonation in an internal loop-lift reactor. J. Hazard. Mater. 2011, 192, 35–43. [Google Scholar] [CrossRef]
- Xu, B.L.; Liu, F.; Brookes, P.C.; Xu, J.M. Microplastics play a minor role in tetracycline sorption in the presence of dissolved organic matter. Environ. Pollut. 2018, 240, 87–94. [Google Scholar] [CrossRef]
- Hosseini-Bandegharaei, A.; Alahabadi, A.; Rahmani-Sani, A.; Rastegar, A.; Khamirchi, R.; Mehrpouyan, M.; Agah, J.; Pajohankia, Z. Effect of nitrate and amine functionalization on the adsorption properties of a macroporous resin towards tetracycline antibiotic. J. Taiwan Inst. Chem. Eng. 2016, 66, 143–153. [Google Scholar] [CrossRef]
- Liu, K.; Chen, J.F.; Sun, F.F.; Liu, Y.Y.; Tang, M.Z.; Yang, Y.W. Historical development and prospect of intimately coupling photocatalysis and biological technology for pollutant treatment in sewage: A review. Sci. Total Environ. 2022, 835, 155482. [Google Scholar] [CrossRef] [PubMed]
- Akhundi, A.; Badiei, A.; Ziarani, G.M.; Habibi-Yangjeh, A.; Muñoz-Batista, M.J.; Luque, R. Graphitic carbon nitride-based photocatalysts: Toward efficient organic transformation for value-added chemicals production. Mol. Catal. 2020, 488, 110902. [Google Scholar] [CrossRef]
- Akhundi, A.; Habibi-Yangjeh, A.; Abitorabi, M.; Pouran, S.R. Review on photocatalytic conversion of carbon dioxide to value-added compounds and renewable fuels by graphitic carbon nitride-based photocatalysts. Catal. Rev.-Sci. Eng. 2019, 61, 595–628. [Google Scholar] [CrossRef]
- Shekofteh-Gohari, M.; Habibi-Yangjeh, A.; Abitorabi, M.; Rouhi, A. Magnetically separable nanocomposites based on ZnO and their applications in photocatalytic processes: A review. Crit. Rev. Environ. Sci. Technol. 2018, 48, 806–857. [Google Scholar] [CrossRef]
- Zhang, L.; Xiao, P.; Che, B.; Yang, J.; Cai, Z.; Wang, H.; Gao, J.; Liang, W.; Wu, C.; Chen, T.J.C. Mechanistic Study of the Transition from Antimony Oxide to Antimony Sulfide in the Hydrothermal Process to Obtain Highly Efficient Solar Cells. Entironmental Prog. Sustain. Energy 2023, 16, e202202049. [Google Scholar] [CrossRef] [PubMed]
- Yanagida, S.; Sano, K.; Takei, T.; Kumada, N. Preparation and photocatalytic properties of rutile TiO2 with a unique morphology and SrTiO3–TiO2 composites obtained by acid treatment of SrTiO3. Mater. Res. Bull. 2020, 125, 110762. [Google Scholar] [CrossRef]
- Cao, T.; Li, Y.; Wang, C.; Shao, C.; Liu, Y. A Facile in Situ Hydrothermal Method to SrTiO3/TiO2 Nanofiber Heterostructures with High Photocatalytic Activity. Langmuir 2011, 27, 2946–2952. [Google Scholar] [CrossRef]
- Wei, Y.; Wang, J.; Yu, R.; Wan, J.; Wang, D. Constructing SrTiO3-TiO2 Heterogeneous Hollow Multi-shelled Structures for Enhanced Solar Water Splitting. Angew Chem. Int. Ed. Engl. 2019, 58, 1422–1426. [Google Scholar] [CrossRef]
- Karacasulu, L.; Kartal, U.; Icin, O.; Bortolotti, M.; Biesuz, M.; Vakifahmetoglu, C. Formation of monolithic SrTiO3-TiO2 ceramic heterostructures by reactive hydrothermal sintering. J. Eur. Ceram. Soc. 2023, 43, 6982–6988. [Google Scholar] [CrossRef]
- Guo, Y.H.; Zhou, S.H.; Sun, X.K.; Yuan, H.L. Improving photocatalytic activity in NO removal by adding metallic bismuth to SrTiO3 nanoparticles. Ceram. Int. 2020, 46, 14257–14261. [Google Scholar] [CrossRef]
- Hirayama, J.; Abe, R.; Kamiya, Y. Combinational effect of Pt/SrTiO3:Rh photocatalyst and SnPd/Al2O3 non-photocatalyst for photocatalytic reduction of nitrate to nitrogen in water under visible light irradiation. Appl. Catal. B-Environ. 2014, 144, 721–729. [Google Scholar] [CrossRef]
- Liu, Z.D.; Ma, Z. Ag-SrTiO3/TiO2 composite nanostructures with enhanced photocatalytic activity. Mater. Res. Bull. 2019, 118, 110492. [Google Scholar] [CrossRef]
- Lucas, T.T.A.; Melo, M.A.; Freitas, A.L.M.; Souza, F.L.; Goncalves, R.V. Enhancing the solar water splitting activity of TiO2 nanotube-array photoanode by surface coating with La-doped SrTiO3. Sol. Energy Mater. Sol. Cells 2020, 208, 110428. [Google Scholar] [CrossRef]
- Srivastava, D.; Norman, C.; Azough, F.; Schäfer, M.C.; Guilmeau, E.; Kepaptsoglou, D.; Ramasse, Q.M.; Nicotra, G.; Freer, R.J.P.C.C.P. Tuning the thermoelectric properties of A-site deficient SrTiO3 ceramics by vacancies and carrier concentration. Phys. Chem. Chem. Phys. 2016, 18, 26475–26486. [Google Scholar] [CrossRef]
- Vračar, M.; Kuzmin, A.; Merkle, R.; Purans, J.; Kotomin, E.; Maier, J.; Mathon, O. Jahn-Teller distortion around Fe4+ in Sr (FexTi1−x) O3−δ from X-ray absorption spectroscopy, X-ray diffraction, and vibrational spectroscopy. Phys. Rev. B 2007, 76, 174107. [Google Scholar] [CrossRef]
- da Silva, L.; Bernardi, M.; Maia, L.; Frigo, G.; Mastelaro, V. Synthesis and thermal decomposition of SrTi1−xFexO3 (0.0 a parts per thousand currency sign xa parts per thousand currency sign 0.1) powders obtained by the polymeric precursor method. J. Therm. Anal. Calorim. 2009, 97, 173–177. [Google Scholar] [CrossRef]
- Kayaalp, B.; Lee, S.; Klauke, K.; Seo, J.; Nodari, L.; Kornowski, A.; Jung, W.; Mascotto, S. Template-free mesoporous La0.3Sr0.7Ti1−xFexO3±δ for CH4 and CO oxidation catalysis. Appl. Catal. B Environ. 2019, 245, 536–545. [Google Scholar] [CrossRef]
- Guo, R.; Fang, L.; Dong, W.; Zheng, F.; Shen, M. Enhanced photocatalytic activity and ferromagnetism in Gd doped BiFeO3 nanoparticles. J. Phys. Chem. C 2010, 114, 21390–21396. [Google Scholar] [CrossRef]
- Janotti, A.; Jalan, B.; Stemmer, S.; Van de Walle, C.G. Effects of doping on the lattice parameter of SrTiO3. Appl. Phys. Lett. 2012, 100, 262104. [Google Scholar] [CrossRef]
- Xu, Q.; Zhu, B.; Jiang, C.; Cheng, B.; Yu, J. Constructing 2D/2D Fe2O3/g-C3N4 direct Z-scheme photocatalysts with enhanced H2 generation performance. Sol. Rrl. 2018, 2, 1800006. [Google Scholar] [CrossRef]
- Suwannaruang, T.; Pratyanuwat, A.; Sinthujariwat, P.; Wantala, K.; Chirawatkul, P.; Junlek, N.; Nijpanich, S.; Shahmoradi, B.; Shivaraju, H.P. Dynamically driven perovskite La-Fe-modified SrTiO3 nanocubes and their improved photoresponsive activity under visible light: Influence of alkaline environment. Environ. Sci. Pollut. Res. 2023, 30, 90298–90317. [Google Scholar] [CrossRef] [PubMed]
- Yokota, Y.; Horii, S.; Ogino, H.; Yoshida, Y.; Yoshikawa, A. Microstructure and thermoelectric properties of La-doped SrTiO3/TiO2 eutectic crystals grown by Micro-Pulling-Down method. J. Cryst. Growth 2022, 583, 126551. [Google Scholar] [CrossRef]
- Sun, H.; Dong, C.L.; Huang, A.J.; Zhan, H.J.; Wang, G.; Liu, W.Y.; Ma, B.J.; Wang, W. Transition Metal Doping Induces Ti3+ to Promote the Performance of SrTiO3@TiO2 Visible Light Photocatalytic Reduction of CO2 to Prepare C1 Product. Chem.-A Eur. J. 2022, 28, e202200019. [Google Scholar] [CrossRef]
- Zhang, N.; Ciriminna, R.; Pagliaro, M.; Xu, Y.-J. Nanochemistry-derived Bi2WO2 nanostructures: Towards production of sustainable chemicals and fuels induced by visible light. Chem. Soc. Rev. 2014, 43, 5276–5287. [Google Scholar] [CrossRef] [PubMed]
- Miyauchi, M.; Takashio, M.; Tobimatsu, H. Photocatalytic Activity of SrTiO3 Codoped with Nitrogen and Lanthanum under Visible Light Illumination. Langmuir 2004, 20, 232–236. [Google Scholar] [CrossRef] [PubMed]
- Xiao, J.; Xie, Y.; Nawaz, F.; Jin, S.; Duan, F.; Li, M.; Cao, H. Super synergy between photocatalysis and ozonation using bulk g-C3N4 as catalyst: A potential sunlight/O3/g-C3N4 method for efficient water decontamination. Appl. Catal. B Environ. 2016, 181, 420–428. [Google Scholar] [CrossRef]
- Wenderich, K.; Mul, G. Methods, Mechanism, and Applications of Photodeposition in Photocatalysis: A Review. Chem. Rev. 2016, 116, 14587–14619. [Google Scholar] [CrossRef]
- Liu, H.; Huo, W.; Zhang, T.C.; Ouyang, L.; Yuan, S. Photocatalytic removal of tetracycline by a Z-scheme heterojunction of bismuth oxyiodide/exfoliated g-C3N4: Performance, mechanism, and degradation pathway. Mater. Today Chem. 2022, 23, 100729. [Google Scholar] [CrossRef]
- Huo, B.; Meng, F.; Yang, J.; Wang, Y.; Qi, J.; Ma, W.; Wang, Z.; Wang, J.; Wang, Z. High efficiently piezocatalysis degradation of tetracycline by few-layered MoS2/GDY: Mechanism and toxicity evaluation. Chem. Eng. J. 2022, 436, 135173. [Google Scholar] [CrossRef]
- Xu, H.; Zhang, Y.; Wang, Y.; Zhang, L.; Zhang, Z.; Zhong, L.; He, Z.; Zheng, Y.; Shen, Y. Heterojunction material BiYO3/g-C3N4 modified with cellulose nanofibers for photocatalytic degradation of tetracycline. Carbohydr. Polym. 2023, 312, 120829. [Google Scholar] [CrossRef] [PubMed]
- Cao, W.; Yuan, Y.; Yang, C.; Wu, S.; Cheng, J. In-situ fabrication of g-C3N4/MIL-68(In)-NH2 heterojunction composites with enhanced visible-light photocatalytic activity for degradation of ibuprofen. Chem. Eng. J. 2020, 391, 123608. [Google Scholar] [CrossRef]
- Chen, F.; Yang, Q.; Wang, Y.; Zhao, J.; Wang, D.; Li, X.; Guo, Z.; Wang, H.; Deng, Y.; Niu, C.; et al. Novel ternary heterojunction photcocatalyst of Ag nanoparticles and g-C3N4 nanosheets co-modified BiVO4 for wider spectrum visible-light photocatalytic degradation of refractory pollutant. Appl. Catal. B Environ. 2017, 205, 133–147. [Google Scholar] [CrossRef]
- Du, C.; Zhang, Z.; Tan, S.; Yu, G.; Chen, H.; Zhou, L.; Yu, L.; Su, Y.; Zhang, Y.; Deng, F.; et al. Construction of Z-scheme g-C3N4/ MnO2/GO ternary photocatalyst with enhanced photodegradation ability of tetracycline hydrochloride under visible light radiation. Environ. Res. 2021, 200, 111427. [Google Scholar] [CrossRef] [PubMed]
- Cao, J.; Yang, Z.; Xiong, W.; Zhou, Y.; Peng, Y.; Li, X.; Zhou, C.; Xu, R.; Zhang, Y. One-step synthesis of Co-doped UiO-66 nanoparticle with enhanced removal efficiency of tetracycline: Simultaneous adsorption and photocatalysis. Chem. Eng. J. 2018, 353, 126–137. [Google Scholar] [CrossRef]
- Liu, D.H.; Zeng, M.L.; Li, Z.; Zhu, Z.Q.; Chen, Y.; Thummavichai, K.; Ola, O.; Wang, N.N.; Zhu, Y.Q. Interfacial construction of P25/Bi2WO6 composites for selective CO2 photoreduction to CO in gas-solid reactions. RSC Adv. 2023, 13, 8564–8576. [Google Scholar] [CrossRef] [PubMed]
- Han, J.; Sun, Q.; Song, Y. Enhanced thermoelectric properties of La and Dy co-doped, Sr-deficient SrTiO3 ceramics. J. Alloys Compd. 2017, 705, 22–27. [Google Scholar] [CrossRef]
- Lancet, D.; Pecht, I. Spectroscopic and immunochemical studies with nitrobenzoxadiazolealanine, a fluorescent dinitrophenyl analog. Biochemistry 1977, 16, 5150–5157. [Google Scholar] [CrossRef]
- Güy, N. Directional transfer of photocarriers on CdS/g-C3N4 heterojunction modified with Pd as a cocatalyst for synergistically enhanced photocatalytic hydrogen production. Appl. Surf. Sci. 2020, 522, 146442. [Google Scholar] [CrossRef]
- Zhang, B.; Xu, H.; Wang, M.; Su, L.; Zhang, S.; Zhang, Y.; Wang, Q. Bismuth (III)-based metal-organic framework for tetracycline removal via adsorption and visible light catalysis processes. J. Environ. Chem. Eng. 2022, 10, 108469. [Google Scholar] [CrossRef]
- Niu, L.; Zhang, G.; Xian, G.; Ren, Z.; Wei, T.; Li, Q.; Zhang, Y.; Zou, Z. Tetracycline degradation by persulfate activated with magnetic γ-Fe2O3/CeO2 catalyst: Performance, activation mechanism and degradation pathway. Sep. Purif. Technol. 2021, 259, 118156. [Google Scholar] [CrossRef]
- Kuang, X.; Fu, M.; Kang, H.; Lu, P.; Bai, J.; Yang, Y.; Gao, S. A BiOIO3/BiOBr n-n heterojunction was constructed to enhance the photocatalytic degradation of TC. Opt. Mater. 2023, 138, 113690. [Google Scholar] [CrossRef]









| Sample | Average Particle Size (nm) | BET-Specific Surface Areas (m2/g) | Pore Volume (cm3/g) |
|---|---|---|---|
| P25 | 21 | 50 | 0.18 |
| S/TO | 433.9 | 63.3 | 0.33 |
| La-S/TO | 569.7 | 57.6 | 0.40 |
| La-S(T-Fe)/TO | 444.8 | 62.1 | 0.41 |
Disclaimer/Publisher’s Note: The statements, opinions and data contained in all publications are solely those of the individual author(s) and contributor(s) and not of MDPI and/or the editor(s). MDPI and/or the editor(s) disclaim responsibility for any injury to people or property resulting from any ideas, methods, instructions or products referred to in the content. |
© 2024 by the authors. Licensee MDPI, Basel, Switzerland. This article is an open access article distributed under the terms and conditions of the Creative Commons Attribution (CC BY) license (https://creativecommons.org/licenses/by/4.0/).
Share and Cite
Hu, M.; Chen, W.; Wang, J. Photocatalytic Degradation of Tetracycline by La-Fe Co-Doped SrTiO3/TiO2 Composites: Performance and Mechanism Study. Water 2024, 16, 210. https://doi.org/10.3390/w16020210
Hu M, Chen W, Wang J. Photocatalytic Degradation of Tetracycline by La-Fe Co-Doped SrTiO3/TiO2 Composites: Performance and Mechanism Study. Water. 2024; 16(2):210. https://doi.org/10.3390/w16020210
Chicago/Turabian StyleHu, Mingzhu, Weifang Chen, and Jie Wang. 2024. "Photocatalytic Degradation of Tetracycline by La-Fe Co-Doped SrTiO3/TiO2 Composites: Performance and Mechanism Study" Water 16, no. 2: 210. https://doi.org/10.3390/w16020210
APA StyleHu, M., Chen, W., & Wang, J. (2024). Photocatalytic Degradation of Tetracycline by La-Fe Co-Doped SrTiO3/TiO2 Composites: Performance and Mechanism Study. Water, 16(2), 210. https://doi.org/10.3390/w16020210

