The Effect of Reynolds Numbers on Flow-Induced Vibrations: A Numerical Study of a Cylinder on Elastic Supports
Abstract
1. Introduction
- (1)
 - Compare the vibration responses of smooth and PTC cylinders under varying Reynolds numbers to detail changes in flow dynamics.
 - (2)
 - Analyze key vibration characteristics—amplitude ratios, lift coefficients, and phase differences—across different flow regimes.
 - (3)
 - Investigate the mechanisms affecting vibration responses and wake structures, emphasizing the influence of Reynolds numbers.
 - (4)
 - Focus on the galloping phenomena in PTC cylinders at high Reynolds numbers, an area currently underexplored.
 
2. Numerical Method and Computational Details
2.1. Governing Equations and Turbulence Modeling
2.2. Computational Details
2.3. Validation
3. Reynolds Number Effects on FIVs in Smooth Cylinders
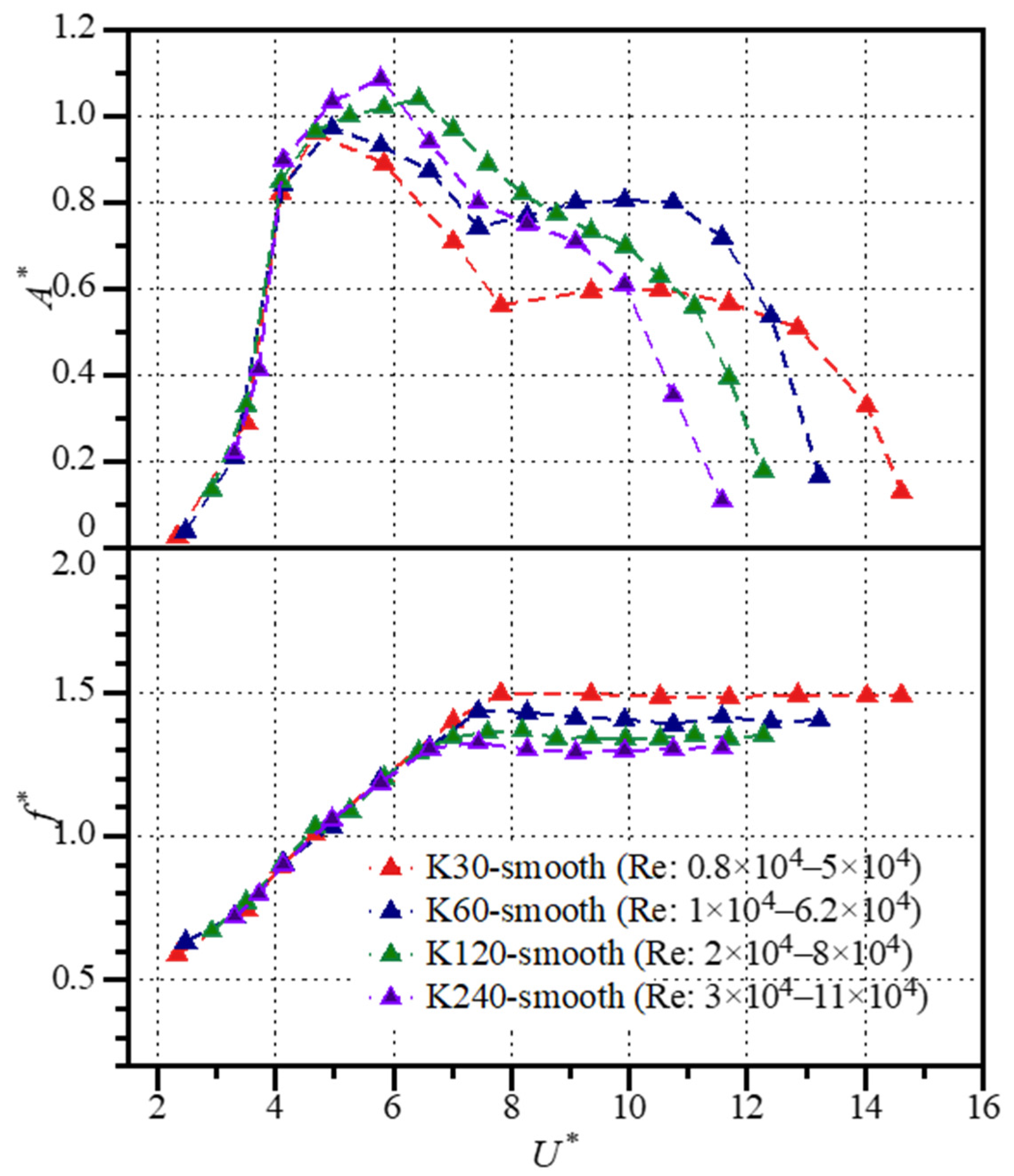
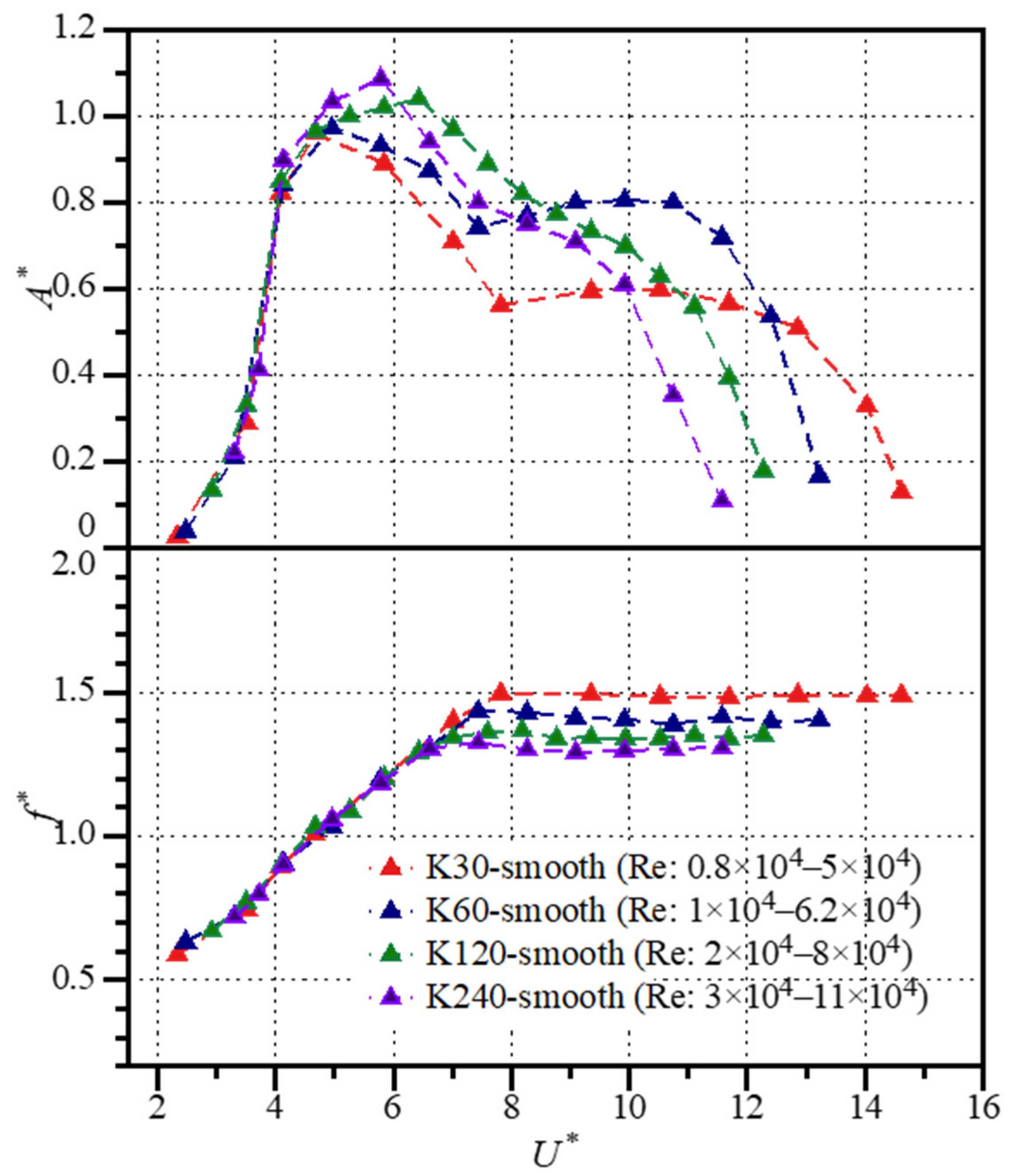
3.1. Vibration Responses of Smooth Cylinders
3.2. Lift Coefficients and Phase Differences of Smooth Cylinders
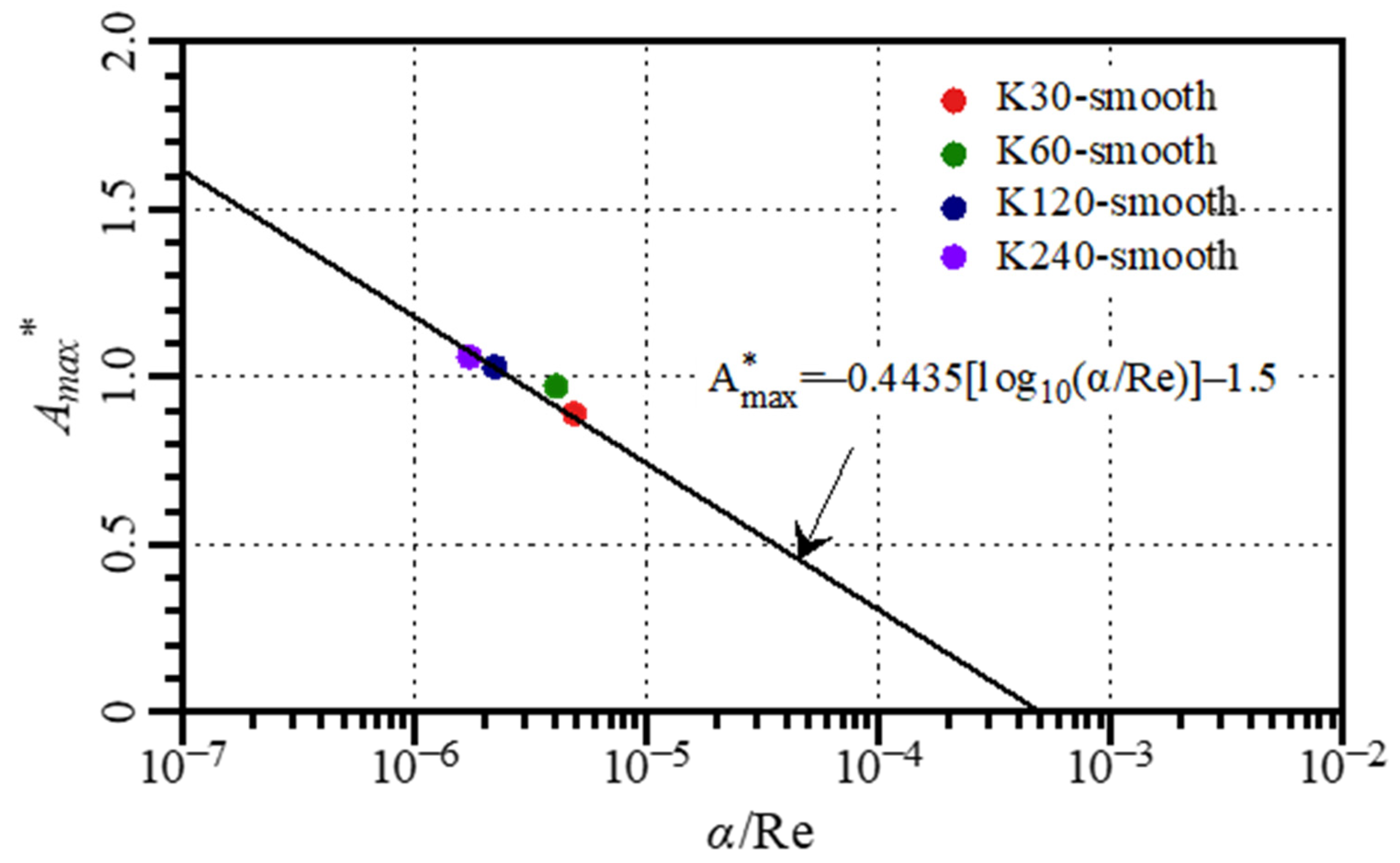
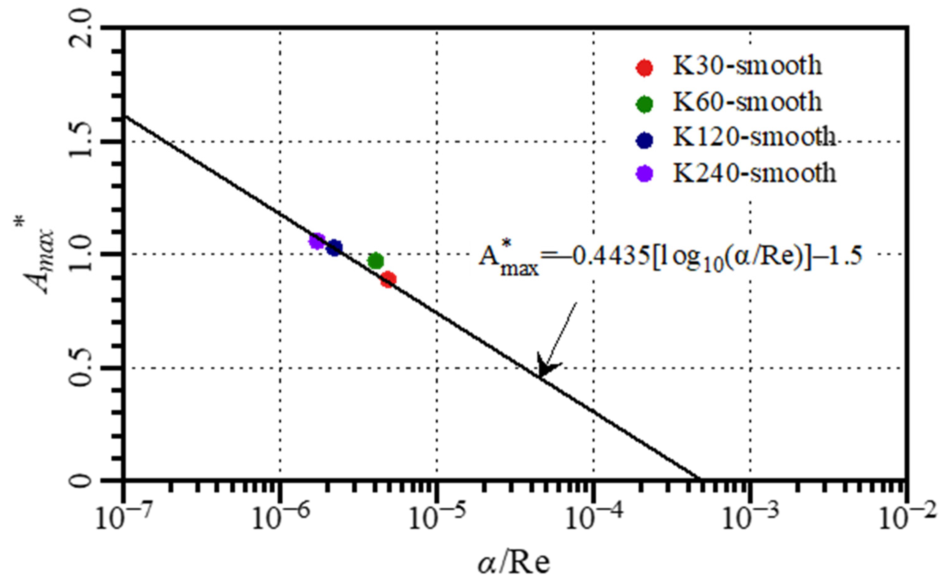
3.3. End Lift Correlation of Smooth Cylinders
3.4. Spanwise Lift Correlation and Wake Structure of Smooth Cylinders
4. Reynolds Number Effects on FIVs in PTC Cylinders
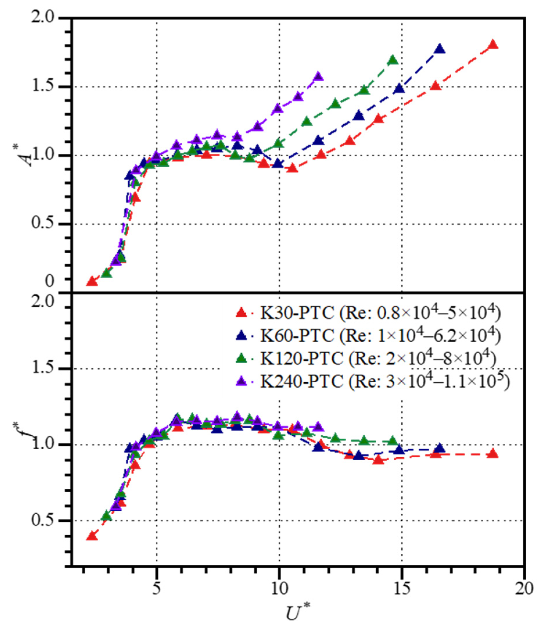
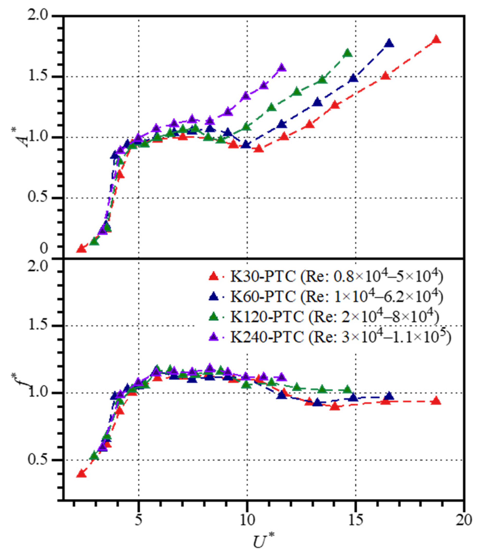
4.1. Vibration Responses of PTC Cylinders
4.2. Lift Coefficients and Phase Differences of PTC Cylinders
4.3. End Lift Correlation of PTC Cylinders
4.4. Spanwise Lift Correlation and Wake Structure of PTC Cylinders
5. Conclusions
- For smooth cylinders, the peak amplitude ratio () of VIV upper branches increases with increases in the Reynolds number, consistent with the experimental fitting formulas. When Reynolds numbers fall into the TrSL3 range, it becomes difficult to distinguish between the upper and lower branches, with the entire lower branch not vibrating at consistent amplitudes, as seen in TrSL2.
 - Passive turbulence control strips facilitate four types of FIV phenomena across various Reynolds numbers: initial branch, passive upper branch, transitional phase, and galloping. As Reynolds numbers increase, galloping occurs at lower reduced velocities.
 - Although FIV responses show some consistency during the initial and upper branches of vibration, as Reynolds numbers increase, particularly during the transitional and galloping phases, the variability in responses increases. This suggests that higher Reynolds numbers augment the complexity and nonlinearity of the flow field, impacting the predictability and control of vibration behavior.
 - Changes in lift coefficients across different Reynolds numbers are not significant, indicating that variations in lift coefficients are not the primary cause of differences in FIV responses between TrSL2 and TrSL3. While passive turbulence control strips do mitigate nonlinear flows to some extent, their effectiveness diminishes with increasing Reynolds numbers.
 
Author Contributions
Funding
Data Availability Statement
Conflicts of Interest
References
- Tian, G.; Xiao, Z. New Insight on Large-Eddy Simulation of Flow Past a Circular Cylinder at Subcritical Reynolds Number 3900. AIP Adv. 2020, 10, 085321. [Google Scholar] [CrossRef]
 - Zhang, K.; Zhu, H.; Cao, Y.; Zhou, D. Reynolds Number Effects on the Bistable Flows over a Wavy Circular Cylinder. Ocean Eng. 2023, 271, 113776. [Google Scholar] [CrossRef]
 - Zhong, W.; Yim, S.C.; Deng, L. Reynolds-Number Effect on Flow Past a Rectangular Cylinder in the Presence of a Free Surface. Ocean Eng. 2020, 216, 107865. [Google Scholar] [CrossRef]
 - Schlichting, H.; Gersten, K. Boundary-Layer Theory, 9th ed.; Springer: Berlin, Germany, 2017; p. 22. [Google Scholar]
 - Griffin, O.M. Vortex-Excited Cross-Flow Vibrations of a Single Cylindrical Tube. J. Press. Vessel Technol. 1980, 102, 158–166. [Google Scholar] [CrossRef]
 - Zhang, M.; Zhang, C.; Abdelkefi, A.; Yu, H.; Gaidai, O.; Qin, X.; Zhu, H.; Wang, J. Piezoelectric Energy Harvesting from Vortex-Induced Vibration of a Circular Cylinder: Effect of Reynolds Number. Ocean Eng. 2021, 235, 109378. [Google Scholar] [CrossRef]
 - Gu, J.; Fernandes, A.C.; Sales, J.S. Alternative Insight to Understand the Reynolds Number Effects in Vortex-Induced Vibration. Mar. Struct. 2020, 69, 102686. [Google Scholar] [CrossRef]
 - Jiang, H.; Ju, X.; Zhao, M.; Zhou, T.; Draper, S.; An, H.; Watson, P.; Lei, Z.; Wang, L. Large-Eddy Simulation of Vortex-Induced Vibration of a Circular Cylinder at Reynolds Number 10,000. Phys. Fluids 2024, 36, 085113. [Google Scholar] [CrossRef]
 - Cicolin, M.M.; Assi, G.R.S. Experiments with Flexible Shrouds to Reduce the Vortex-Induced Vibration of a Cylinder with Low Mass and Damping. Appl. Ocean Res. 2017, 65, 290–301. [Google Scholar] [CrossRef]
 - Modiri, A.; Goudarzi, N. Experimental Investigation of Reynolds Number and Spring Stiffness Effects on Vortex Induced Vibrations of a Rigid Circular Cylinder. Eur. J. Mech. B/Fluids 2019, 74, 34–40. [Google Scholar] [CrossRef]
 - Bernitsas, M.M.; Ben-Simon, Y.; Raghavan, K.; Garcia, E.M.H. The VIVACE Converter: Model Tests at Reynolds Numbers around 105. J. Offshore Mech. Arct. Eng. 2009, 131, 011102. [Google Scholar] [CrossRef]
 - Xu, W.; Ji, C.; Sun, H.; Ding, W.; Bernitsas, M.M. Flow-Induced Vibration of Two Elastically Mounted Tandem Cylinders in Cross-Flow at Subcritical Reynolds Numbers. Ocean Eng. 2019, 173, 375–387. [Google Scholar] [CrossRef]
 - Govardhan, R.N.; Williamson, C.H.K. Defining the ‘Modified Griffin Plot’ in Vortex-Induced Vibration: Revealing the Effect of Reynolds Number Using Controlled Damping. J. Fluid Mech. 2006, 561, 147–180. [Google Scholar] [CrossRef]
 - Narendran, K.; Murali, K.; Sundar, V. Vortex-Induced Vibrations of Elastically Mounted Circular Cylinder at Re of the O(105). J. Fluids Struct. 2015, 54, 503–521. [Google Scholar] [CrossRef]
 - Sourav, K.; Sen, S. Transition of VIV-Only Motion of a Square Cylinder to Combined VIV and Galloping at Low Reynolds Numbers. Ocean Eng. 2019, 187, 106208. [Google Scholar] [CrossRef]
 - Sourav, K.; Sen, S. Determination of the Transition Mass Ratio for Onset of Galloping of a Square Cylinder at the Least Permissible Reynolds Number of 150. Phys. Fluids 2020, 32, 063601. [Google Scholar] [CrossRef]
 - Liu, G.; Song, Z.; Xu, W.; Sha, M. Numerical Study on the VIVs of Two Side-by-Side Elastically Coupled Cylinders under Different Re and Natural Frequencies. Ocean Eng. 2023, 284, 115261. [Google Scholar] [CrossRef]
 - Zhang, D.; Yang, H.; Sui, Y.; Yao, Y.; Li, W. Influence of System Parameters on the Coupling between Vortex Induced Vibration and Galloping. Ocean Eng. 2022, 266, 112857. [Google Scholar] [CrossRef]
 - Cheng, Z.; Lien, F.-S.; Dowell, E.H.; Yee, E. Triggering of Galloping in Structures at Low Reynolds Numbers. J. Fluids Struct. 2023, 118, 103860. [Google Scholar] [CrossRef]
 - Bernitsas, M.M. Harvesting Energy by Flow Included Motions. In Springer Handbook of Ocean Engineering; Springer International Publishing: Cham, Switzerland, 2016; pp. 1163–1244. [Google Scholar]
 - Sun, H.; Kim, E.S.; Nowakowski, G.; Mauer, E.; Bernitsas, M.M. Effect of Mass-Ratio, Damping, and Stiffness on Optimal Hydrokinetic Energy Conversion of a Single, Rough Cylinder in Flow Induced Motions. Renew. Energy 2016, 99, 936–959. [Google Scholar] [CrossRef]
 - Sun, H.; Ma, C.; Bernitsas, M.M. Hydrokinetic Power Conversion Using Flow Induced Vibrations with Cubic Restoring Force. Energy 2018, 153, 490–508. [Google Scholar] [CrossRef]
 - Xu, W.; Yang, M.; Wang, E.; Sun, H. Performance of Single-Cylinder VIVACE Converter for Hydrokinetic Energy Harvesting from Flow-Induced Vibration near a Free Surface. Ocean Eng. 2020, 218, 108168. [Google Scholar] [CrossRef]
 - Ma, C.; Zhao, W.; Wan, D. Numerical Investigations of the Flow-Induced Vibration of a Three-Dimensional Circular Cylinder with Various Symmetric Strips Attached. Phys. Fluids 2022, 34, 065102. [Google Scholar] [CrossRef]
 - Ma, C.; Zhao, W.; Wan, D. Numerical Investigations of Three-Dimensional Flows around a Cylinder Attaching with Symmetric Strips. Phys. Fluids 2021, 33, 075101. [Google Scholar] [CrossRef]
 - Chen, S.; Zhao, W.; Wan, D. Turbulent Structures and Characteristics of Flows Past a Vertical Surface-Piercing Finite Circular Cylinder. Phys. Fluids 2022, 34, 015115. [Google Scholar] [CrossRef]
 - Zhang, X.; Wang, J.; Wan, D. Euler–Lagrange Study of Bubble Drag Reduction in Turbulent Channel Flow and Boundary Layer Flow. Phys. Fluids 2020, 32, 027101. [Google Scholar] [CrossRef]
 - Chen, S.; Zhao, W.; Wan, D. On the Scattering of Focused Wave by a Finite Surface-Piercing Circular Cylinder: A Numerical Investigation. Phys. Fluids 2022, 34, 035132. [Google Scholar] [CrossRef]
 - Shen, Z.; Wan, D.; Carrica, P.M. Dynamic Overset Grids in OpenFOAM with Application to KCS Self-Propulsion and Maneuvering. Ocean Eng. 2015, 108, 287–306. [Google Scholar] [CrossRef]
 - Gritskevich, M.S.; Garbaruk, A.V.; Schütze, J.; Menter, F.R. Development of DDES and IDDES Formulations for the K-ω Shear Stress Transport Model. Flow Turbul. Combust. 2011, 88, 431–449. [Google Scholar] [CrossRef]
 - Zhao, W.W.; Wan, D.C. Numerical Study of 3D Flow Past a Circular Cylinder at Subcritical Reynolds Number Using SST-DES and SST-URANS. Shuidonglixue Yanjiu Yu Jinzhan/Chin. J. Hydrodyn. Ser. A 2016, 31, 1–8. [Google Scholar]
 - Khalak, A.; Williamson, C.H.K. Motions, Forces and Mode Transitions in Vortex-Induced Vibrations at Low Mass-Damping. J. Fluids Struct. 1999, 13, 813–851. [Google Scholar] [CrossRef]
 - Han, P.; Pan, G.; Tian, W. Numerical Simulation of Flow-Induced Motion of Three Rigidly Coupled Cylinders in Equilateral-Triangle Arrangement. Phys. Fluids 2018, 30, 125107. [Google Scholar]
 - Raghavan, K.; Bernitsas, M.M. Experimental Investigation of Reynolds Number Effect on Vortex Induced Vibration of Rigid Circular Cylinder on Elastic Supports. Ocean Eng. 2011, 38, 719–731. [Google Scholar] [CrossRef]
 















Disclaimer/Publisher’s Note: The statements, opinions and data contained in all publications are solely those of the individual author(s) and contributor(s) and not of MDPI and/or the editor(s). MDPI and/or the editor(s) disclaim responsibility for any injury to people or property resulting from any ideas, methods, instructions or products referred to in the content.  | 
© 2024 by the authors. Licensee MDPI, Basel, Switzerland. This article is an open access article distributed under the terms and conditions of the Creative Commons Attribution (CC BY) license (https://creativecommons.org/licenses/by/4.0/).
Share and Cite
Ma, C.; Huang, F.; Li, B.; Li, X.; Liu, Y. The Effect of Reynolds Numbers on Flow-Induced Vibrations: A Numerical Study of a Cylinder on Elastic Supports. Water 2024, 16, 2765. https://doi.org/10.3390/w16192765
Ma C, Huang F, Li B, Li X, Liu Y. The Effect of Reynolds Numbers on Flow-Induced Vibrations: A Numerical Study of a Cylinder on Elastic Supports. Water. 2024; 16(19):2765. https://doi.org/10.3390/w16192765
Chicago/Turabian StyleMa, Chunhui, Fenglai Huang, Bin Li, Xujian Li, and Yu Liu. 2024. "The Effect of Reynolds Numbers on Flow-Induced Vibrations: A Numerical Study of a Cylinder on Elastic Supports" Water 16, no. 19: 2765. https://doi.org/10.3390/w16192765
APA StyleMa, C., Huang, F., Li, B., Li, X., & Liu, Y. (2024). The Effect of Reynolds Numbers on Flow-Induced Vibrations: A Numerical Study of a Cylinder on Elastic Supports. Water, 16(19), 2765. https://doi.org/10.3390/w16192765
        
