An Early Warning System for Urban Fluvial Floods Based on Rainfall Depth–Duration Thresholds and a Predefined Library of Flood Event Scenarios: A Case Study of Palermo (Italy)
Abstract
1. Introduction
- Risk knowledge through the identification of hazards, exposures, and vulnerability;
- Forecasting and monitoring of hydro-meteorological variables, such as water stage, flow velocity, and rainfall and data processing using computational models;
- Dissemination and communication of alerts;
- Reaction to the alerts issued.
- Acquiring the NMB and the associated maximum expected cumulative depth and accumulation period from the QPF to derive the expected rainfall trajectory;
- Retrieving the water stage at the OPP station at the time of issuing of the NMB, assessing Q0, and identifying 1 out of 10 possible reference families of iso-critical discharge DDT curves (Qinit,DDT);
- Deriving the expected hydrograph peak flow from the DDTs (Qpeak,DDT) based on the rainfall trajectory (point 1) and the selected reference family of DDT curves (point 2);
- Associating Q0 (point 2) with one out of four possible initial discharge conditions (Qinit,FES) considered for the generation of the FES library;
- Associating Qpeak,DDT (point 3) with 1 of the 19 possible peak values (Qpeak,FES) considered for the generation of the FES library;
- Retrieving from the library the expected FES associated with the paired Qinit,FES − Qpeak,FES values.
2. Materials and Methods
2.1. Study Area: The City of Palermo and the Oreto River Basin
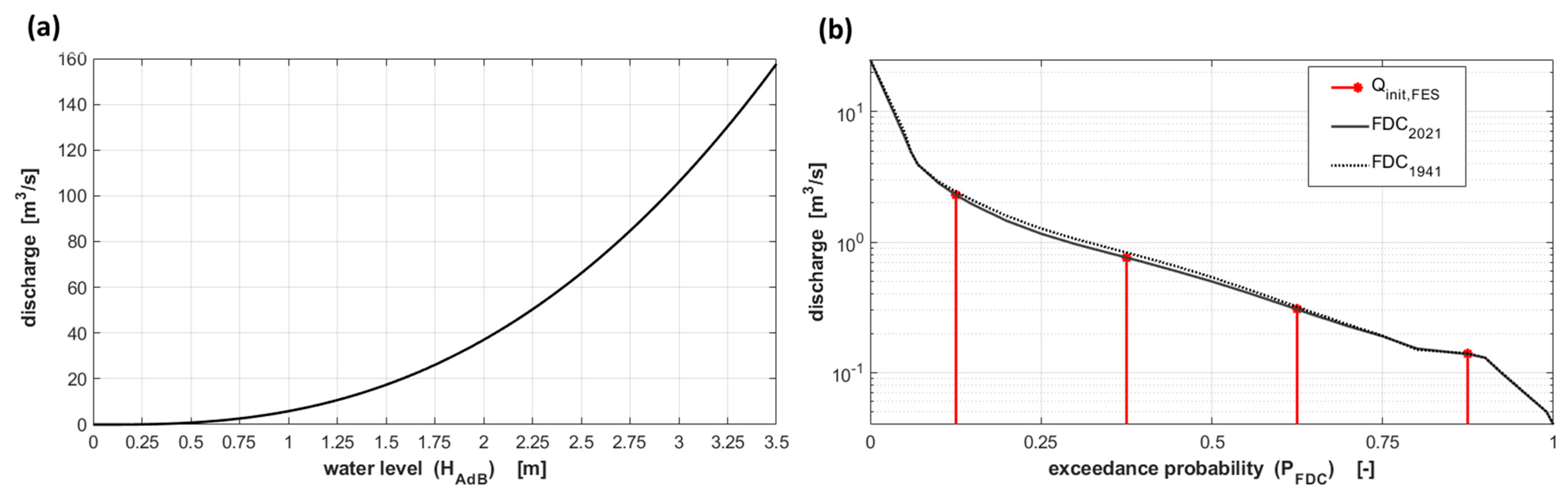
2.1.1. Flow Rating and Flow Duration Curves at OPP
2.1.2. Characterization of the Computational Domain
2.2. Rainfall Depth–Duration Thresholds
2.3. Flood Event Scenarios: Definition and Products
- A report table of “critical flooding points” (CPs) in .cvs format, reporting the location (spatial coordinates, CPloc) and timing (CPtime, time in hours from the beginning of the rainfall) of all points along the river, where water level begins to exceed the bankfull stage, thus triggering the flood;
- A flood map defining the flooding area extension and the maximum flood depth reached at each node of the full computational domain, classified according to the following four classes: “low” (0.05 < h < 0.50 m); “moderate” (0.50 ≤ h < 1.00 m); “high” (1.00 ≤ h < 2.00 m); “extreme” (h ≥ 2.00 m). Each flood map also displays all the CPs occurring for the associated scenario;
- Three specific hazard maps for people, vehicles, and buildings, respectively.
2.4. Architecture of the Early Warning System
2.5. Generation of the Pre-Built Library of FESs
- Hydrological study aimed to (i) derive six representative hydrographs at the ICS with different return periods (i.e., 10, 25, 50, 100, 300, and 500 years) and (ii) evaluate the scaling factor, kp, between the peak flow at the ICS and the OPP section;
- Normalization of the obtained hydrographs and estimation of a standard Unit Hydrograph (UH);
- Scaling procedure application to the standard UH in order to obtain a set of 19 design hydrographs with peak flow (Qpeak,FES) varying from 100 to 1000 m3/s with steps of 50 m3/s;
- Hydraulic modelling to simulate the propagation of the 19 hydrographs within the computational domain under the four alternative initial conditions defined in Table 1 (i.e., QLF, QLM, QMH, and QHF);
- Derivation of the FES products defined in Section 2.3 (Figure 4) from each simulation;
- Generation of the FES library, where a label, given by paired Qinit,FES and Qpeak,FES values, is associated with each of the 76 generated scenarios (19 Qpeak,FES × 4 Qinit,FES).
2.5.1. Generation of the Design Hydrographs
2.5.2. Hydraulic Modelling
3. Results
3.1. Analysis of the Critical Flooding Points
3.2. Floodable Areas and Hazard Variability across Different FESs
3.3. Testing the EWS with a Historical Event
4. Discussion
5. Conclusions
Author Contributions
Funding
Data Availability Statement
Acknowledgments
Conflicts of Interest
References
- European Commission. Datasets, ESM 2015–2019. 2020. Available online: https://ghsl.jrc.ec.europa.eu/esm_R2019.php (accessed on 1 June 2024).
- Noto, L.V.; Cipolla, G.; Francipane, A.; Pumo, D. Climate change in the mediterranean basin (part I): Induced alterations on climate forcings and hydrological processes. Water Resour. Manag. 2023, 37, 2287–2305. [Google Scholar] [CrossRef]
- UN DESA. 2018 Revision of World Urbanization Prospects. UN DESA Publication. 2018. Available online: https://www.un.org/en/desa/2018-revision-world-urbanization-prospects (accessed on 12 June 2024).
- Pumo, D.; Arnone, E.; Francipane, A.; Caracciolo, D.; Noto, L.V. Potential implications of climate change and urbanization on watershed hydrology. J. Hydrol. 2017, 554, 80–99. [Google Scholar] [CrossRef]
- ISPRA. Landslides and Floods in Italy: Hazard and Risk Indicators—Summary Report 2018; Trigila, A., Iadanza, C., Eds.; ISPRA: Rome, Italy, 2018; ISBN 978-88-448-0934-8. Available online: https://www.isprambiente.gov.it/en/publications/reports/landslides-and-floods-in-italy-hazard-and-risk-indicators-2013-summary-report-2018 (accessed on 12 June 2024).
- UNISDR. Towards a Post-2015 Framework for Disaster Risk Reduction. The United Nations Office for Disaster Risk Reduction. 2012. Available online: https://www.undrr.org/publication/towards-post-2015-framework-disaster-risk-reduction (accessed on 12 June 2024).
- Kundzewicz, Z.W. Non-structural Flood Protection and Sustainability. Water Int. 2002, 27, 3–13. [Google Scholar] [CrossRef]
- Acosta-Coll, M.; Ballester-Merelo, F.; Martinez-Peiró, M.; de La Hoz-Franco, E. Real-Time Early Warning System Design for Pluvial Flash Floods-A Review. Sensors 2018, 18, 2255. [Google Scholar] [CrossRef] [PubMed]
- Keil, C.; Craig, G.C. Regime-dependent forecast uncertainty of convective precipitation. Meteorol. Z. 2011, 20, 145–151. [Google Scholar] [CrossRef]
- Silvestro, F.; Rebora, N.; Cummings, G.; Ferraris, L. Experiences of dealing with flash floods using an ensemble hydrological nowcasting chain: Implications of communication, accessibility and distribution of the results. J. Flood Risk Manag. 2017, 10, 446–462. [Google Scholar] [CrossRef]
- Norbiato, D.; Borga, M.; Degli Esposti, S.; Gaume, E.; Anquetin, S. Flash flood warning based on rainfall depth-duration thresholds and soil moisture conditions: An assessment for gauged and ungauged basins. J. Hydrol. 2008, 362, 274–290. [Google Scholar] [CrossRef]
- Zanchetta, A.D.L.; Coulibaly, P. Recent Advances in Real-Time Pluvial Flash Flood Forecasting. Water 2020, 12, 570. [Google Scholar] [CrossRef]
- Alfieri, L.; Salamon, P.; Pappenberger, F.; Wetterhall, F.; Thielen, J. Operational early warning systems for water-related hazards in Europe. Environ. Sci. Policy 2012, 21, 35–49. [Google Scholar] [CrossRef]
- Alfieri, L.; Thielen, J. A European precipitation index for extreme rain-storm and flash flood early warning. Meteorol. Appl. 2015, 22, 3–13. [Google Scholar] [CrossRef]
- Georgakakos, K.P. Analytical results for operational flash flood guidance. J. Hydrol. 2006, 317, 81–103. [Google Scholar] [CrossRef]
- Gourley, J.J.; Erlingis, J.M.; Hong, Y.; Wells, E.B. Evaluation of tools used for monitoring and forecasting flash floods in the United States. Weather Forecast. 2012, 27, 158–173. [Google Scholar] [CrossRef]
- Reed, S.; Schaake, J.; Zhang, Z. A distributed hydrologic model and threshold frequency-based method for flash flood forecasting at ungauged locations. J. Hydrol. 2007, 337, 402–420. [Google Scholar] [CrossRef]
- Javelle, P.; Demargne, J.; Defrance, D.; Pansu, J.; Arnaud, P. Evaluating flash-flood warnings at ungauged locations using post-event surveys: A case study with the AIGA warning system. Hydrol. Sci. J. 2014, 59, 1390–1402. [Google Scholar] [CrossRef]
- Heuvelink, D.; Berenguer, M.; Brauer, C.; Uijlenhoet, R. Hydrological application of radar rainfall nowcasting in The Netherlands. Environ. Int. 2020, 136, 105431. [Google Scholar] [CrossRef] [PubMed]
- Berenguer, M.; Sempere-Torres, D.; Pegram, G.G. SBMcast—An ensemble nowcasting technique to assess the uncertainty in rainfall forecasts by Lagrangian extrapolation. J. Hydrol. 2011, 404, 226–240. [Google Scholar] [CrossRef]
- Vivoni, E.R.; Entekhabi, D.; Bras, R.L.; Ivanov, V.Y.; Van Horne, M.P.; Grassotti, C.; Hoffman, R.N. Extending the predictability of hydrometeorological flood events using radar rainfall nowcasting. J. Hydrometeorol. 2006, 7, 660–677. [Google Scholar] [CrossRef]
- Rebora, N.; Ferraris, L.; von Hardenberg, J.; Provenzale, A. RainFARM: Rainfall downscaling by a Filtered Autoregressive Model. J. Hydrometeorol. 2006, 7, 724–738. [Google Scholar] [CrossRef]
- Silvestro, F.; Rossi, L.; Campo, L.; Parodi, A.; Fiori, E.; Rudari, R.; Ferraris, L. Impact-based flash-flood forecasting system: Sensitivity to high resolution numerical weather prediction systems and soil moisture. J. Hydrol. 2019, 572, 388–402. [Google Scholar] [CrossRef]
- Spyrou, C.; Varlas, G.; Pappa, A.; Mentzafou, A.; Katsafados, P.; Papadopoulos, A.; Anagnostou, M.N.; Kalogiros, J. Implementation of a Nowcasting Hydrometeorological System for Studying Flash Flood Events: The Case of Mandra, Greece. Remote Sens. 2020, 12, 2784. [Google Scholar] [CrossRef]
- Hofmann, J.; Schüttrumpf, H. Risk-Based Early Warning System for Pluvial Flash Floods: Approaches and Foundations. Geosciences 2019, 9, 127. [Google Scholar] [CrossRef]
- Massazza, G.; Tamagnone, P.; Wilcox, C.; Belcore, E.; Pezzoli, A.; Vischel, T.; Panthou, G.; Housseini Ibrahim, M.; Tiepolo, M.; Tarchiani, V.; et al. Flood hazard scenarios of the Sirba river (Niger): Evaluation of the hazard thresholds and flooding areas. Water 2019, 11, 1018. [Google Scholar] [CrossRef]
- US Army Corps of Engineers (USACE). Hydrologic Modeling System HEC-HMS: Technical Reference Manual; Hydrologic Engineering Center: Davis, CA, USA, 2000.
- US Army Corps of Engineers (USACE). HEC-RAS, River Analysis System Hydraulic Reference Manual; Brunner, G.W., Ed.; Hydrologic Engineering Center: Davis, CA, USA, 2016.
- Russo, B.; Gómez, M.; Macchione, F. Pedestrian hazard criteria for flooded urban areas. Nat. Hazards 2013, 69, 251–265. [Google Scholar] [CrossRef]
- Blanco-Vogt, A.; Schanze, J. Assessment of the physical flood susceptibility of buildings on a large scale—Conceptualand methodological frameworks. Nat. Hazards Earth Syst. Sci. 2014, 14, 2105–2117. [Google Scholar] [CrossRef]
- Xia, J.; Falconer, R.A.; Wang, Y.; Xiao, X. New criterion for the stability of a human body in floodwaters. J. Hydraul. Res. 2014, 52, 93–104. [Google Scholar] [CrossRef]
- Xia, J.; Falconer, R.A.; Xiao, X.; Wang, Y. Criterion of vehicle stability in floodwaters based on theoretical and experimental studies. Nat. Hazards J. Int. Soc. Prev. Mitig. Nat. Hazards 2014, 70, 1619–1630. [Google Scholar] [CrossRef]
- Milanesi, L.; Pilotti, M.; Bacchi, R. Using web-based observations to identify thresholds of a person’s stability in a flow. Water Resour. Res. 2016, 52, 7793–7805. [Google Scholar] [CrossRef]
- Martínez-Gomariz, E.; Gómez, M.; Russo, B. Experimental study of the stability of pedestrians exposed to urban pluvial flooding. Nat. Hazards 2016, 82, 1259–1278. [Google Scholar] [CrossRef]
- Martínez-Gomariz, E.; Gómez, M.; Russo, B.; Djordjević, S. A new experiments-based methodology to define the stability threshold for any vehicle exposed to flooding. Urban Water J. 2017, 14, 930–939. [Google Scholar] [CrossRef]
- Chanson, H.; Brown, R. Stability of Individuals during Urban Inundations: What Should We Learn from Field Observations? Geosciences 2018, 8, 341. [Google Scholar] [CrossRef]
- Chen, Q.; Xia, J.; Falconer, R.A.; Guo, P. Further improvement in a criterion for human stability in floodwaters. J. Flood Risk Manag. 2019, 12, e12486. [Google Scholar] [CrossRef]
- Leal, M.; Reis, E.; Pereira, S.; Santos, P.P. Physical vulnerability assessment to flash floods using an indicator-based methodology based on building properties and flow parameters. J. Flood Risk Manag. 2021, 14, e12712. [Google Scholar] [CrossRef]
- Forestieri, A.; Caracciolo, D.; EArnone Noto, L.V. Derivation of Rainfall Thresholds for Flash Flood Warning in a Sicilian Basin Using a Hydrological Model. Procedia Eng. 2016, 154, 818–825. [Google Scholar] [CrossRef]
- INRIX. Inrix 2022 Global Traffic Scorecard. 2022. Available online: https://inrix.com/scorecard (accessed on 12 June 2024).
- Pumo, D.; Viola, F.; La Loggia, G.; Noto, L.V. Annual flow duration curves assessment in ephemeral small basins. J. Hydrol. 2014, 519 Pt A, 258–270. [Google Scholar] [CrossRef]
- Chow, V.T. Open-Channel Hydraulics; McGraw-Hill Book Co.: New York, NY, USA, 1959. [Google Scholar]
- Martina, M.L.V.; Todini ELibralon, A. A Bayesian decision approach to rainfall thresholds based flood warning. Hydrol. Earth Syst. Sci. 2006, 10, 413–426. [Google Scholar] [CrossRef]
- Golian, S.; Saghafian, B.; Maknoon, R. Derivation of probabilistic thresholds of spatially distributed rainfall for flood forecasting. Water Resour. Manag. 2010, 24, 3547–3559. [Google Scholar] [CrossRef]
- Montesarchio, V.; Lombardo, F.; Napolitano, F. Rainfall thresholds and flood warning: An operative case study. Nat. Hazards Earth Syst. Sci. 2009, 9, 135–144. [Google Scholar] [CrossRef]
- Noto, L.V. Exploiting the Topographic Information in a PDM-Based Conceptual Hydrological Model. J. Hydrol. Eng. 2014, 19, 6. [Google Scholar] [CrossRef]
- Radice, A.; Longoni, L.; Papini, M.; Brambilla, D.; Ivanov, V.I. Generation of a Design Flood-Event Scenario for a Mountain River with Intense Sediment Transport. Water 2016, 8, 597. [Google Scholar] [CrossRef]
- Yin, J.; Yu, D.; Yin, Z.; Wang, J.; Xu, S. Modelling the anthropogenic impacts on fluvial flood risks in a coastal mega-city: A scenario-based case study in Shanghai, China. Landsc. Urban Plan. 2015, 136, 144–155. [Google Scholar] [CrossRef]
- Salvati, P.; Petrucci, O.; Rossi, M.; Bianchi, C.; Pasqua, A.A.; Guzzetti, F. Gender, age and circumstances analysis of flood and landslide fatalities in Italy. Sci. Total Environ. 2018, 610, 867–879. [Google Scholar] [CrossRef] [PubMed]
- Wallingford, H.R.; Flood Hazard Research Centre; Middlesex University; Risk & Policy Analysts Ltd. Flood Risks to People, Phase 2, FD2321/TR2 Guidance Document. Defra and UK Environment Agency: Flood and Coastal Defence R&D Programme; Department for Environment, Food and Rural Affairs: London, UK, March 2006; PB NO. 11545. Available online: https://assets.publishing.service.gov.uk/media/602bbc3de90e07055f646148/Flood_risks_to_people_-_Phase_2_Guidance_Document_Technical_report.pdfwww.defra.gov.uk/environ/fcd/research (accessed on 12 June 2024).
- Reiter, P. International Methods of Risk Analysis, Damage Evaluation and Social Impact Studies Concerning Dam-Break Accidents; Technical Report of the EU-Project RESCDAM; Helsinki PR Water Consulting: Seinäjoki, Finland, 2000. [Google Scholar]
- Maijala, T. Rescdam: Development of Rescue Actions Based on Dam-Break FLOOD Analysis; Final Report, Grant Agreement No.650. Subv 99/52623 Community Action Programme in the Field of Civil Protection; Finnish Environment Institute: Helsinki, Finland, 2001; Available online: https://civil-protection-humanitarian-aid.ec.europa.eu/system/files/2014-11/rescdam_rapportfin.pdf (accessed on 12 June 2024).
- Clausen, L.; Clark, P.B. The development of criteria for predicting dam-break food damages using modelling of historical dam failures. In International Conference on River Flood Hydraulics; White, W.R., Ed.; John Wiley & Sons Ltd.: Hoboken, NJ, USA; Hydraulics Research Limited: Wallingford, UK, 1990; pp. 369–380. [Google Scholar]
- Forestieri, A.; Lo Conti, F.; Blenkinsop, S.; Cannarozzo, M.; Fowler, H.J.; Noto, L.V. Regional frequency analysis of extreme rainfall in Sicily (Italy). Int. J. Climatol. 2018, 38, e698–e716. [Google Scholar] [CrossRef]
- SCS. Soil Conservation Service (SCS). Hydrology. In National Engineering Handbook; Soil Conservation Service; USDA: Washington, DC, USA, 1993; Section 4, Chapter 4. [Google Scholar]
- Brocca, L.; Liersch, S.; Melone, F.; Moramarco, T.; Volk, M. Application of a model-based rainfall-runoff database as efficient tool for flood risk management. Hydrol. Earth Syst. Sci. 2013, 17, 3159–3169. [Google Scholar] [CrossRef]














| Discharge Classes | Discharge at OPP | Qinit,FES | ||||
|---|---|---|---|---|---|---|
| Frequency—FDC | [m3/s] | Symbol | [m3/s] | PFDC,2021 | ||
| low flow | LF | Q0 < Q274 | Q0 < 0.19 | QLF = | 0.14 | 0.875 | 
| low–medium flow | LM | Q274 ≤ Q0 < Q185 | 0.19 ≤ Q0 < 0.50 | QLM = | 0.31 | 0.625 | 
| medium–high flow | MH | Q185 ≤ Q0 < Q91 | 0.50 ≤ Q0 < 1.16 | QMH = | 0.76 | 0.375 | 
| high flow | HF | Q0 ≥ Q91 | Q0 > 1.16 | QHF = | 2.30 | 0.125 | 
| Initial Discharge for the DDT [m3/s] | ||||||
| Qinit,DDT1 = 0.05 | Qinit,DDT6 = 0.77 | |||||
| Qinit,DDT2 = 0.15 | Qinit,DDT7 = 1.06 | |||||
| Qinit,DDT3 = 0.23 | Qinit,DDT8 = 1.58 | |||||
| Qinit,DDT4 = 0.36 | Qinit,DDT9 = 2.90 | |||||
| Qinit,DDT5 = 0.54 | Qinit,DDT10 = 7.00 | |||||
| Feature | SB1 | SB2 | 
|---|---|---|
| Area [km2] | 84.76 | 26.14 | 
| Length [km] | 20.11 | 13.86 | 
| Average Elevation [m. a.s.l.] | 500 | 385 | 
| Tc [h] | 4 | 3 | 
| CNII | 79.38 | 77.27 | 
| CNIII | 88.18 | 87.65 | 
| Impervious Area [%] | 1.33% | 11.04% | 
| Time of Evaluation EWS | 2 November 2018 12:00 | 3 November 2018 12:00 | ||
|---|---|---|---|---|
| Actual preannouncement time | [h] | 33 | 9 | |
| Reference Bulletins | NMB1 | NMB2 | ||
| Max. expected cumulative rainfall | Ec | [mm] | 130 | 65 | 
| Max. expected accumulation period | dNMB | [h] | 24 | 12 | 
| Regional growth curve factor (DDF) | Kt | [-] | 1.835 | 1.178 | 
| Water stage at OPP | HAdB | [m] | 0.96 | 0.74 | 
| Init. discharge at the OPP | Q0 | [m3/s] | 5.22 | 2.54 | 
| Initial condition for FES selection | Qinit,FES | QHF | QHF | |
| Initial condition for DDT | Qinit,DDT | Qinit,DDT10 | Qinit,DDT09 | |
| Peak Discharge at OPP | Qpeak,DDT | [m3/s] | 288 | 125 | 
| Peak Discharge at ICS | Qpeak,ICS | [m3/s] | 383 | 166 | 
| Peak Discharge for FES selection | Qpeak,FES | [m3/s] | 400 | 200 | 
| Selected FES from the Library | FES | Q0400HF | Q0200HF | |
| Disclaimer/Publisher’s Note: The statements, opinions and data contained in all publications are solely those of the individual author(s) and contributor(s) and not of MDPI and/or the editor(s). MDPI and/or the editor(s) disclaim responsibility for any injury to people or property resulting from any ideas, methods, instructions or products referred to in the content. | 
© 2024 by the authors. Licensee MDPI, Basel, Switzerland. This article is an open access article distributed under the terms and conditions of the Creative Commons Attribution (CC BY) license (https://creativecommons.org/licenses/by/4.0/).
Share and Cite
Pumo, D.; Avanti, M.; Francipane, A.; Noto, L.V. An Early Warning System for Urban Fluvial Floods Based on Rainfall Depth–Duration Thresholds and a Predefined Library of Flood Event Scenarios: A Case Study of Palermo (Italy). Water 2024, 16, 2599. https://doi.org/10.3390/w16182599
Pumo D, Avanti M, Francipane A, Noto LV. An Early Warning System for Urban Fluvial Floods Based on Rainfall Depth–Duration Thresholds and a Predefined Library of Flood Event Scenarios: A Case Study of Palermo (Italy). Water. 2024; 16(18):2599. https://doi.org/10.3390/w16182599
Chicago/Turabian StylePumo, Dario, Marco Avanti, Antonio Francipane, and Leonardo V. Noto. 2024. "An Early Warning System for Urban Fluvial Floods Based on Rainfall Depth–Duration Thresholds and a Predefined Library of Flood Event Scenarios: A Case Study of Palermo (Italy)" Water 16, no. 18: 2599. https://doi.org/10.3390/w16182599
APA StylePumo, D., Avanti, M., Francipane, A., & Noto, L. V. (2024). An Early Warning System for Urban Fluvial Floods Based on Rainfall Depth–Duration Thresholds and a Predefined Library of Flood Event Scenarios: A Case Study of Palermo (Italy). Water, 16(18), 2599. https://doi.org/10.3390/w16182599
 
        





 
                         
       