Effectiveness of Collars and Hooked-Collars in Mitigating Scour around Different Abutment Shapes
Abstract
1. Introduction
2. Materials and Method
2.1. Experimental Setup: Channel Description and Preparation
2.2. Abutment Conditions
2.3. Flow Conditions
2.4. Experimental Procedure
2.5. Dimensional Analysis
3. Results
3.1. Scour Development without Collar or Hooked-Collar Protections
3.2. Scour Development with Collar Protection
3.3. Scour Development with Hooked Collar Protection
3.4. Application of Hooked Collar at the Bed Surface Level
3.5. Application of Hooked Collar below Bed Surface Level
3.6. Application of Hooked Collars above the Bed Surface Level
3.7. Regression Analysis
3.7.1. Regression Analysis for Dimensionless Scour Depth (Ds/Yf) Prediction
3.7.2. Regression Analysis for Scour Depth Reduction (RDs/Yf)
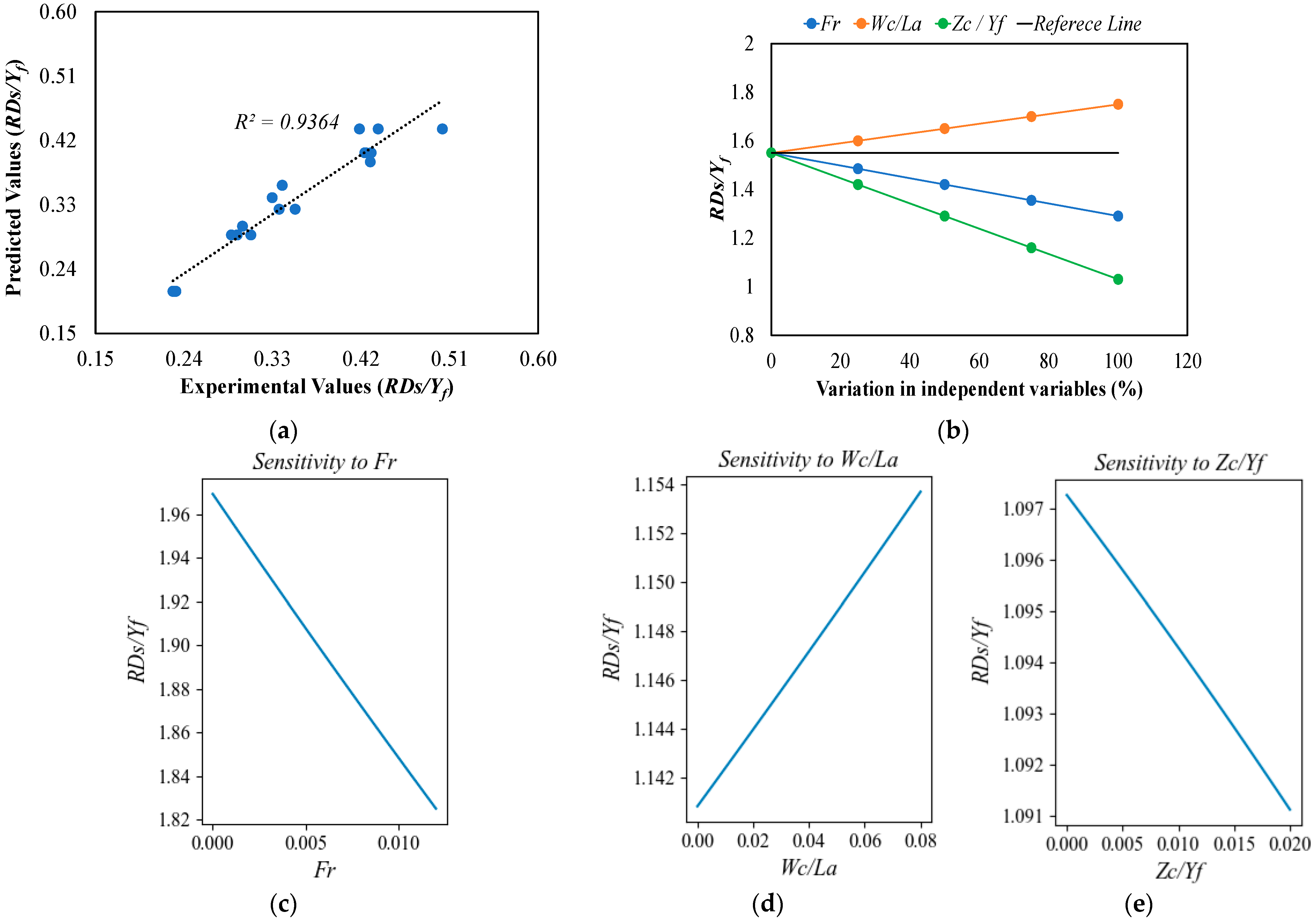
3.7.3. Sensitivity Analysis for Scour Reduction
3.8. Temporal Evolution of Scour Depth
3.9. Scour Depth Prediction
3.10. Comparison to Past Literature
4. Discussion
4.1. Discussion of Robustness of the Predictive Equations
4.2. Discussion of Countermeasures Placement
4.3. Implications for the Hydraulic Engineering Practice, Limitations and Future Outlook
5. Conclusions
- The current investigation demonstrates the significance of hooked collar position and placement for scour reduction around bridge abutments of vertical wall abutments and wing wall abutments. It was observed that scour can be reduced up to 83.9% by hooked collars around vertical wall abutments and up to 73.1% for the case of wing wall abutments. Moreover, the placement of hooked collars below the bed surface level resulted in greater scour reduction compared to placing them above or at the bed surface level.
- Multiple linear regression analyses yielded high R2 values (0.96 for scour prediction and 0.93 for scour reduction), indicating precise and robust predictive models. Sensitivity analysis highlighted flow conditions and collar width as critical factors affecting the achieved equilibrium scour.
- The results indicate a significant statistical interdependence between various parameters, such as the Froude number (Fr), collar width to abutment length ratio (WHC/La), and relative collar height (Zc/Yf). Increasing WHC/La reduces Zc/Yf, demonstrating the efficiency of wider collars in scour protection.
- Future research should explore the integration of sensors and adaptive technologies with hooked collars to develop smart countermeasures for real-time monitoring and response to changing flow conditions. Engineers must assess local flow conditions, sediment characteristics, and abutment geometry to ensure the effectiveness of hooked collars for specific sites. These recommendations can be implemented in the design of both new and existing bridge structures.
Author Contributions
Funding
Data Availability Statement
Conflicts of Interest
Nomenclature
| B | channel width |
| C | collar |
| Ds,max | maximum scour depth |
| Fr | Froude’s number |
| HC | hooked-collar |
| HHC | hooked-collar height |
| La | abutment length |
| RDs | scour depth reduction |
| U | approach flow velocity |
| Uc | critical velocity |
| U*c | critical shear velocity |
| VW | vertical-wall abutment |
| WW | wing-wall abutment |
| Wc | collar width |
| WHC | hooked-collar width |
| Yf | flow depth |
| ZHC | hooked-collar elevation with reference to the bed surface level |
| Zc | collar elevation with reference to the bed surface level |
| g | gravitational acceleration |
| ke | equivalent roughness coefficient |
| v | water viscosity |
| d50 | bed surface sediment particles median diameter |
| ρw | water density |
References
- Bestawy, A.; Eltahawy, T.; Alsaluli, A.; Almaliki, A.; Alqurashi, M. Reduction of Local Scour around a Bridge Pier by Using Different Shapes of Pier Slots and Collars. Water Sci. Technol. Water Supply 2020, 20, 1006–1015. [Google Scholar] [CrossRef]
- Singh, N.B.; Devi, T.T.; Kumar, B. The Local Scour around Bridge Piers—A Review of Remedial Techniques. ISH J. Hydraul. Eng. 2022, 28, 527–540. [Google Scholar] [CrossRef]
- Jahangirzadeh, A.; Basser, H.; Akib, S.; Karami, H.; Naji, S.; Shamshirband, S. Experimental and Numerical Investigation of the Effect of Different Shapes of Collars on the Reduction of Scour around a Single Bridge Pier. PLoS ONE 2014, 9, e98592. [Google Scholar] [CrossRef] [PubMed]
- Kothyari, U.C.; Garde, R.C.J.; Ranga Raju, K.G. Temporal Variation of Scour Around Circular Bridge Piers. J. Hydraul. Eng. 1992, 118, 1091–1106. [Google Scholar] [CrossRef]
- Dey, S.; Raikar, R.V. Characteristics of Horseshoe Vortex in Developing Scour Holes at Piers. J. Hydraul. Eng. 2007, 133, 399–413. [Google Scholar] [CrossRef]
- Coleman, S.E.; Melville, B.W. Case Study: New Zealand Bridge Scour Experiences. J. Hydraul. Eng. 2001, 127, 535–546. [Google Scholar] [CrossRef]
- Karalar, M.; Dicleli, M. Fatigue in Jointless Bridge H-Piles under Axial Load and Thermal Movements. J. Constr. Steel Res. 2018, 147, 504–522. [Google Scholar] [CrossRef]
- Karalar, M.; Dicleli, M. Effect of Thermal Induced Flexural Strain Cycles on the Low Cycle Fatigue Performance of Integral Bridge Steel H-Piles. Eng. Struct. 2016, 124, 388–404. [Google Scholar] [CrossRef]
- Karalar, M.; Dicleli, M. Effect of Pile Orientation on the Fatigue Performance of Jointless Bridge H-Piles Subjected to Cyclic Flexural Strains. Eng. Struct. 2023, 276, 115385. [Google Scholar] [CrossRef]
- Tang, H.-W.; Ding, B.; Chiew, Y.-M.; Fang, S.-L. Protection of Bridge Piers against Scouring with Tetrahedral Frames. Int. J. Sediment Res. 2009, 24, 385–399. [Google Scholar] [CrossRef]
- Osroush, M.; Hosseini, S.A.; Kamanbedast, A.A. Countermeasures Against Local Scouring Around Bridge Abutments: Combined System of Collar and Slot. Iran. J. Sci. Technol. Trans. Civ. Eng. 2021, 45, 11–25. [Google Scholar] [CrossRef]
- Tafarojnoruz, A.; Gaudio, R.; Dey, S. Flow-Altering Countermeasures against Scour at Bridge Piers: A Review. J. Hydraul. Res. 2010, 48, 441–452. [Google Scholar] [CrossRef]
- Hosseinjanzadeh, H.; Khozani, Z.S.; Ardeshir, A.; Singh, V.P. Experimental Investigation into the Use of Collar for Reducing Scouring around Short Abutments. ISH J. Hydraul. Eng. 2021, 27, 616–632. [Google Scholar] [CrossRef]
- Khosravinia, P.; Malekpour, A.; Hosseinzadehdalir, A.; Farsadizadeh, D. Effect of Trapezoidal Collars as a Scour Countermeasure around Wing-Wall Abutments. Water Sci. Eng. 2018, 11, 53–60. [Google Scholar] [CrossRef]
- Kumcu, S.Y.; Kokpinar, M.A.; Gogus, M. Effect of Collars on the Downstream Movement of the Maximum Scour Depth Location Around Bridge Abutments and Piers. Iran. J. Sci. Technol. Trans. Civ. Eng. 2022, 46, 1421–1432. [Google Scholar] [CrossRef]
- Luo, K.; Si, Y.; Lu, S.; Liang, B.; Qi, H. Characteristics of Reducing Local Scour around Cylindrical Pier Using a Horn-Shaped Collar. J. Eng. Appl. Sci. 2022, 69, 105. [Google Scholar] [CrossRef]
- Farooq, R.; Azimi, A.H.; Tariq, M.A.U.R.; Ahmed, A. Effects of Hooked-Collar on the Local Scour around a Lenticular Bridge Pier. Int. J. Sediment Res. 2023, 38, 1–11. [Google Scholar] [CrossRef]
- Murtaza, N.; Khan, Z.U. A Review of Experimental Approach for Scour Reduction in the Vicinity of Bridge Abutment. Hydraul. Civ. Eng. Technol. 2023, 43, 728–733. [Google Scholar] [CrossRef]
- Ballio, F.; Teruzzi, A.; Radice, A. Constriction Effects in Clear-Water Scour at Abutments. J. Hydraul. Eng. 2009, 135, 140–145. [Google Scholar] [CrossRef]
- Chiew, Y. Scour Protection at Bridge Piers. J. Hydraul. Eng. 1992, 118, 1260–1269. [Google Scholar] [CrossRef]
- Melville, B.W. Pier and Abutment Scour: Integrated Approach. J. Hydraul. Eng. 1997, 123, 125–136. [Google Scholar] [CrossRef]
- Murtaza, N.; Khan, Z.U.; Khedher, K.M.; Amir, R.A.; Khan, D.; Salem, M.A.; Alsulamy, S. Mitigating Scour at Bridge Abutments: An Experimental Investigation of Waste Material as an Eco-Friendly Solution. Water 2023, 15, 3798. [Google Scholar] [CrossRef]
- Breusers, H.N.C.; Raudkivi, A.J. Scouring; CRC Press: London, UK, 1991; ISBN 9781003079477. [Google Scholar]
- Pandey, M.; Valyrakis, M.; Qi, M.; Sharma, A.; Lodhi, A.S. Experimental Assessment and Prediction of Temporal Scour Depth around a Spur Dike. Int. J. Sediment Res. 2021, 36, 17–28. [Google Scholar] [CrossRef]
- Zampiron, A.; Ouro, P.; Cameron, S.M.; Stoesser, T.; Nikora, V. Conservation Equations for Open-Channel Flow: Effects of Bed Roughness and Secondary Currents. Environ. Fluid Mech. 2024, 1–29. [Google Scholar] [CrossRef]
- Omara, H.; Ookawara, S.; Nassar, K.A.; Masria, A.; Tawfik, A. Assessing Local Scour at Rectangular Bridge Piers. Ocean Eng. 2022, 266, 112912. [Google Scholar] [CrossRef]
- Dey, S.; Barbhuiya, A.K. Time Variation of Scour at Abutments. J. Hydraul. Eng. 2005, 131, 11–23. [Google Scholar] [CrossRef]
- Rossell, R.P.; Ting, F.C.K. Hydraulic and Contraction Scour Analysis of a Meandering Channel: James River Bridges near Mitchell, South Dakota. J. Hydraul. Eng. 2013, 139, 1286–1296. [Google Scholar] [CrossRef]
- Lee, S.O.; Hong, S.H. Turbulence Characteristics before and after Scour Upstream of a Scaled-Down Bridge Pier Model. Water 2019, 11, 1900. [Google Scholar] [CrossRef]
- Yagci, O.; Celik, M.F.; Kitsikoudis, V.; Ozgur Kirca, V.S.; Hodoglu, C.; Valyrakis, M.; Duran, Z.; Kaya, S. Scour Patterns around Isolated Vegetation Elements. Adv. Water Resour. 2016, 97, 251–265. [Google Scholar] [CrossRef]
- Bharadwaj, M.R.; Gupta, L.K.; Pandey, M.; Valyrakis, M. Countermeasures for Local Scour around the Bridge Pier: A Review. Acta Geophys. 2024, 1–28. [Google Scholar] [CrossRef]
- Mohamed, Y.A.; Nasr-Allah, T.H.; Abdel-Aal, G.M.; Awad, A.S. Investigating the Effect of Curved Shape of Bridge Abutment Provided with Collar on Local Scour, Experimentally and Numerically. Ain Shams Eng. J. 2015, 6, 403–411. [Google Scholar] [CrossRef]
- Fathi, A.; Zomorodian, S.M.A.; Zolghadr, M.; Chadee, A.; Chiew, Y.-M.; Kumar, B.; Martin, H. Combination of Riprap and Submerged Vane as an Abutment Scour Countermeasure. Fluids 2023, 8, 41. [Google Scholar] [CrossRef]
- Yorozuya, A.; Ettema, R. Three Abutment Scour Conditions at Bridge Waterways. J. Hydraul. Eng. 2015, 141, 04015028. [Google Scholar] [CrossRef]
- Sturm, T.W. Scour around Bankline and Setback Abutments in Compound Channels. J. Hydraul. Eng. 2006, 132, 21–32. [Google Scholar] [CrossRef]
- Ettema, R.; Bergendahl, B.S.; Yorozuya, A.; Idil-Bektur, P. Breaching of Bridge Abutments and Scour at Exposed Abutment Columns. J. Hydraul. Eng. 2016, 142, 06016010. [Google Scholar] [CrossRef]
- Pizarro, A.; Manfreda, S.; Tubaldi, E. The Science behind Scour at Bridge Foundations: A Review. Water 2020, 12, 374. [Google Scholar] [CrossRef]
- Chiew, Y.-M. Mechanics of Riprap Failure at Bridge Piers. J. Hydraul. Eng. 1995, 121, 635–643. [Google Scholar] [CrossRef]
- Valela, C.; Whittaker, C.N.; Rennie, C.D.; Nistor, I.; Melville, B.W. Novel Riprap Structure for Improved Bridge Pier Scour Protection. J. Hydraul. Eng. 2022, 148, 04022002. [Google Scholar] [CrossRef]
- Bhuiyan, F.; Hey, R.D.; Wormleaton, P.R. Hydraulic Evaluation of W-Weir for River Restoration. J. Hydraul. Eng. 2007, 133, 596–609. [Google Scholar] [CrossRef]
- AlObaidi, K.; Valyrakis, M. Linking the Explicit Probability of Entrainment of Instrumented Particles to Flow Hydrodynamics. Earth Surf. Process. Landf. 2021, 46, 2448–2465. [Google Scholar] [CrossRef]
- Al-Obaidi, K.; Valyrakis, M. A Sensory Instrumented Particle for Environmental Monitoring Applications: Development and Calibration. IEEE Sens. J. 2021, 21, 10153–10166. [Google Scholar] [CrossRef]
- Xu, Y.; Valyrakis, M.; Gilja, G.; Michalis, P.; Yagci, O.; Przyborowski, Ł. Assessing Riverbed Surface Destabilization Risk Downstream Isolated Vegetation Elements. Water 2022, 14, 2880. [Google Scholar] [CrossRef]
- Al-Obaidi, K.; Xu, Y.; Valyrakis, M. The Design and Calibration of Instrumented Particles for Assessing Water Infrastructure Hazards. J. Sens. Actuator Netw. 2020, 9, 36. [Google Scholar] [CrossRef]














| Discharge, Q [m³/s] | Flow Depth, Yf [m] | Sediment Particle Diameter, d₅₀ [m] | Approach Flow Velocity, U [m/s] | Critical Velocity, Uc [m/s] | Critical Shear Velocity, U*c [m/s] | Flow Intensity, U/Uc | Froude Number, Fr |
|---|---|---|---|---|---|---|---|
| 0.0270 | 0.150 | 0.00088 | 0.180 | 0.359 | 0.021 | 0.50 | 0.154 |
| 0.0320 | 0.150 | 0.00088 | 0.210 | 0.359 | 0.021 | 0.59 | 0.179 |
| Test No | Test Name | U [cm/s] | Ds,max [mm] | Vs [m3] | Ds,max Location | |
|---|---|---|---|---|---|---|
| X [mm] | Y [mm] | |||||
| Run 1 | VW | 21 | 118 | 0.0097 | 100 | 150 |
| Run 2 | VW | 18 | 106 | 0.0086 | 100 | 150 |
| Run 3 | WW (45°) | 21 | 93 | 0.0096 | 250 | 150 |
| Run 4 | WW (45°) | 18 | 86 | 0.0088 | 250 | 150 |
| Run 5 | WW (60°) | 21 | 102 | 0.0102 | 225 | 150 |
| Run 6 | WW (60°) | 18 | 92 | 0.0092 | 225 | 150 |
| Test No | Test Name | Wc/La | Zc/Yf | AC/AT | Ds,max [mm] | RDs [%] | Vs [m3] | RVs [%] | Ds,max Location [mm] | |
|---|---|---|---|---|---|---|---|---|---|---|
| X | Y | |||||||||
| RUN 7 | VW-C | 2.25 | +0.2 | 0.802 | 67 | 43.22 | 0.0052 | 46.39 | 100 | 150 |
| RUN 8 | VW-C | 2 | +0.2 | 0.750 | 77 | 34.75 | 0.0055 | 43.29 | 100 | 150 |
| RUN 9 | VW-C | 2.25 | 0 | 0.802 | 43 | 63.56 | 0.0045 | 53.6 | 200 | 350 |
| RUN 10 | VW-C | 2 | 0 | 0.750 | 65 | 44.92 | 0.0051 | 47.42 | 150 | 150 |
| RUN 11 | VW-C | 2.25 | −0.2 | 0.802 | 29 | 75.40 | 0.0041 | 57.73 | 150 | 300 |
| RUN 12 | VW-C | 2 | −0.2 | 0.750 | 42 | 64.40 | 0.0043 | 55.67 | 150 | 150 |
| RUN 13 | WW-C (45°) | 2.25 | +0.2 | 0.790 | 50 | 46.20 | 0.0051 | 45.16 | 250 | 150 |
| RUN 14 | WW-C (45°) | 2 | +0.2 | 0.740 | 61 | 34.40 | 0.0054 | 41.94 | 250 | 150 |
| RUN 15 | WW-C (45°) | 2.25 | 0 | 0.790 | 33 | 64.52 | 0.0042 | 54.83 | 250 | 320 |
| RUN 16 | WW-C (45°) | 2 | 0 | 0.740 | 46 | 50.50 | 0.0049 | 47.31 | 250 | 320 |
| RUN 17 | WW-C (45°) | 2.25 | −0.2 | 0.790 | 32 | 65.60 | 0.0043 | 53.76 | 275 | 150 |
| RUN 18 | WW-C (45°) | 2 | -0.2 | 0.740 | 47 | 49.46 | 0.005 | 46.24 | 300 | 200 |
| RUN 19 | WW-C (60°) | 2.25 | +0.2 | 0.795 | 57 | 44.10 | 0.0053 | 49.50 | 250 | 150 |
| RUN 20 | WW-C (60°) | 2 | +0.2 | 0.745 | 67 | 34.31 | 0.0058 | 42.57 | 250 | 150 |
| RUN 21 | WW-C (60°) | 2.25 | 0 | 0.795 | 37 | 63.72 | 0.0044 | 56.43 | 250 | 320 |
| RUN 22 | WW-C (60°) | 2 | 0 | 0.745 | 48 | 52.94 | 0.0052 | 48.51 | 250 | 320 |
| RUN 23 | WW-C (60°) | 2.25 | −0.2 | 0.795 | 38 | 62.75 | 0.0045 | 55.45 | 275 | 150 |
| RUN 24 | WW-C (60°) | 2 | −0.2 | 0.745 | 50 | 50.98 | 0.0053 | 47.53 | 275 | 200 |
| Test No | Test Name | WHC/La | HHC/La | ZHC/Yf | AHC/AT | Ds,max [mm] | RDs [%] | Vs [m3] | RVs (%) | Ds,max Location [mm] | |
|---|---|---|---|---|---|---|---|---|---|---|---|
| X | Y | ||||||||||
| RUN 25 | VW-HC | 2.25 | 0.35 | +0.2 | 0.802 | 56 | 52.54 | 0.0048 | 50.52 | 100 | 150 |
| RUN 26 | VW-HC | 2 | 0.35 | +0.2 | 0.75 | 69 | 41.50 | 0.0051 | 47.42 | 100 | 150 |
| RUN 27 | VW-HC | 2.25 | 0.25 | +0.2 | 0.802 | 59 | 50.0 | 0.0049 | 49.48 | 100 | 150 |
| RUN 28 | VW-HC | 2 | 0.25 | +0.2 | 0.75 | 71 | 39.83 | 0.0054 | 44.33 | 100 | 150 |
| RUN 29 | VW-HC | 2.25 | 0.35 | 0 | 0.802 | 32 | 72.80 | 0.004 | 58.76 | 250 | 350 |
| RUN 30 | VW-HC | 2 | 0.35 | 0 | 0.75 | 53 | 55.0 | 0.0047 | 51.54 | 100 | 150 |
| RUN 31 | VW-HC | 2.25 | 0.25 | 0 | 0.802 | 39 | 66.90 | 0.0043 | 55.67 | 250 | 350 |
| RUN 32 | VW-HC | 2 | 0.25 | 0 | 0.75 | 55 | 53.39 | 0.0045 | 53.6 | 100 | 150 |
| RUN 33 | VW-HC | 2.25 | 0.35 | −0.2 | 0.802 | 19 | 83.89 | 0.0039 | 59.79 | 150 | 300 |
| RUN 34 | VW-HC | 2 | 0.35 | −0.2 | 0.75 | 33 | 72.0 | 0.0041 | 57.73 | 100 | 150 |
| RUN 35 | VW-HC | 2.25 | 0.25 | −0.2 | 0.802 | 23 | 80.50 | 0.0038 | 60.82 | 150 | 300 |
| RUN 36 | VW-HC | 2 | 0.25 | −0.2 | 0.75 | 38 | 67.79 | 0.0045 | 53.6 | 100 | 150 |
| RUN 37 | WW-HC (45°) | 2.25 | 0.35 | +0.2 | 0.790 | 47 | 49.46 | 0.0048 | 48.39 | 250 | 150 |
| RUN 38 | WW-HC (45°) | 2 | 0.35 | +0.2 | 0.740 | 56 | 39.78 | 0.005 | 46.24 | 250 | 150 |
| RUN 39 | WW-HC (45°) | 2.25 | 0.25 | +0.2 | 0.790 | 49 | 47.32 | 0.0047 | 49.46 | 250 | 150 |
| RUN 40 | WW-HC (45°) | 2 | 0.25 | +0.2 | 0.740 | 59 | 36.56 | 0.0053 | 43.01 | 250 | 150 |
| RUN 41 | WW-HC (45°) | 2.25 | 0.35 | 0 | 0.790 | 24 | 74.20 | 0.0037 | 60.21 | 250 | 320 |
| RUN 42 | WW-HC (45°) | 2 | 0.35 | 0 | 0.740 | 37 | 60.22 | 0.0045 | 51.61 | 250 | 320 |
| RUN 43 | WW-HC (45°) | 2.25 | 0.25 | 0 | 0.790 | 34 | 63.44 | 0.0041 | 55.91 | 250 | 320 |
| RUN 44 | WW-HC (45°) | 2 | 0.25 | 0 | 0.740 | 46 | 50.54 | 0.0046 | 50.53 | 250 | 320 |
| RUN 45 | WW-HC (45°) | 2.25 | 0.35 | −0.2 | 0.790 | 25 | 73.12 | 0.0039 | 58.06 | 275 | 150 |
| RUN 46 | WW-HC (45°) | 2 | 0.35 | −0.2 | 0.740 | 38 | 59.14 | 0.0041 | 55.91 | 300 | 200 |
| RUN 47 | WW-HC (45°) | 2.25 | 0.25 | −0.2 | 0.790 | 28 | 69.89 | 0.004 | 56.98 | 275 | 150 |
| RUN 48 | WW-HC (45°) | 2 | 0.25 | −0.2 | 0.740 | 39 | 58.06 | 0.0043 | 53.76 | 300 | 200 |
| RUN 49 | WW-HC (60°) | 2.25 | 0.35 | +0.2 | 0.795 | 51 | 50.0 | 0.005 | 50.49 | 250 | 150 |
| RUN 50 | WW-HC (60°) | 2 | 0.35 | +0.2 | 0.745 | 61 | 40.20 | 0.0054 | 46.53 | 250 | 150 |
| RUN 51 | WW-HC (60°) | 2.25 | 0.25 | +0.2 | 0.795 | 54 | 47.06 | 0.0052 | 48.51 | 250 | 150 |
| RUN 52 | WW-HC (60°) | 2 | 0.25 | +0.2 | 0.745 | 65 | 36.27 | 0.0054 | 46.53 | 250 | 150 |
| RUN 53 | WW-HC (60°) | 2.25 | 0.35 | 0 | 0.795 | 27 | 73.50 | 0.0039 | 61.38 | 250 | 320 |
| RUN 54 | WW-HC (60°) | 2 | 0.35 | 0 | 0.745 | 39 | 61.76 | 0.0045 | 55.45 | 250 | 320 |
| RUN 55 | WW-HC (60°) | 2.25 | 0.25 | 0 | 0.795 | 33 | 67.64 | 0.0041 | 59.4 | 250 | 320 |
| RUN 56 | WW-HC (60°) | 2 | 0.25 | 0 | 0.745 | 47 | 53.92 | 0.0046 | 54.45 | 250 | 320 |
| RUN 57 | WW-HC (60°) | 2.25 | 0.35 | −0.2 | 0.795 | 29 | 71.50 | 0.0039 | 61.38 | 275 | 150 |
| RUN 58 | WW-HC (60°) | 2 | 0.35 | −0.2 | 0.745 | 37 | 63.72 | 0.0044 | 56.44 | 275 | 200 |
| RUN 59 | WW-HC (60°) | 2.25 | 0.25 | −0.2 | 0.795 | 33 | 67.65 | 0.0042 | 58.41 | 275 | 150 |
| RUN 60 | WW-HC (60°) | 2 | 0.25 | −0.2 | 0.745 | 43 | 57.84 | 0.0049 | 51.48 | 275 | 200 |
Disclaimer/Publisher’s Note: The statements, opinions and data contained in all publications are solely those of the individual author(s) and contributor(s) and not of MDPI and/or the editor(s). MDPI and/or the editor(s) disclaim responsibility for any injury to people or property resulting from any ideas, methods, instructions or products referred to in the content. |
© 2024 by the authors. Licensee MDPI, Basel, Switzerland. This article is an open access article distributed under the terms and conditions of the Creative Commons Attribution (CC BY) license (https://creativecommons.org/licenses/by/4.0/).
Share and Cite
Khan, Z.U.; Ahmed, A.; Valyrakis, M.; Pasha, G.A.; Farooq, R.; Murtaza, N.; Khan, D. Effectiveness of Collars and Hooked-Collars in Mitigating Scour around Different Abutment Shapes. Water 2024, 16, 2550. https://doi.org/10.3390/w16172550
Khan ZU, Ahmed A, Valyrakis M, Pasha GA, Farooq R, Murtaza N, Khan D. Effectiveness of Collars and Hooked-Collars in Mitigating Scour around Different Abutment Shapes. Water. 2024; 16(17):2550. https://doi.org/10.3390/w16172550
Chicago/Turabian StyleKhan, Zaka Ullah, Afzal Ahmed, Manousos Valyrakis, Ghufran Ahmed Pasha, Rashid Farooq, Nadir Murtaza, and Diyar Khan. 2024. "Effectiveness of Collars and Hooked-Collars in Mitigating Scour around Different Abutment Shapes" Water 16, no. 17: 2550. https://doi.org/10.3390/w16172550
APA StyleKhan, Z. U., Ahmed, A., Valyrakis, M., Pasha, G. A., Farooq, R., Murtaza, N., & Khan, D. (2024). Effectiveness of Collars and Hooked-Collars in Mitigating Scour around Different Abutment Shapes. Water, 16(17), 2550. https://doi.org/10.3390/w16172550

