Ecological Vulnerability Assessment of the Three Rivers Source Area Based on the Analytic Hierarchy Process
Abstract
1. Introduction
2. Overview of the Research Area
3. Selection of Evaluation Indicators and Construction of Models
4. Results and Discussion
4.1. Calculation and Analysis of Indicator Weights
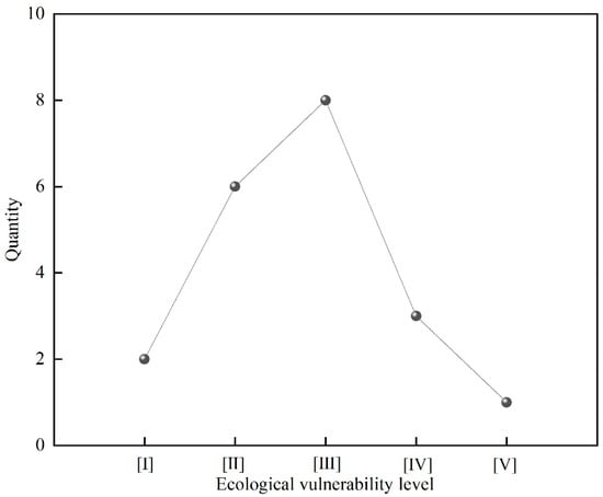
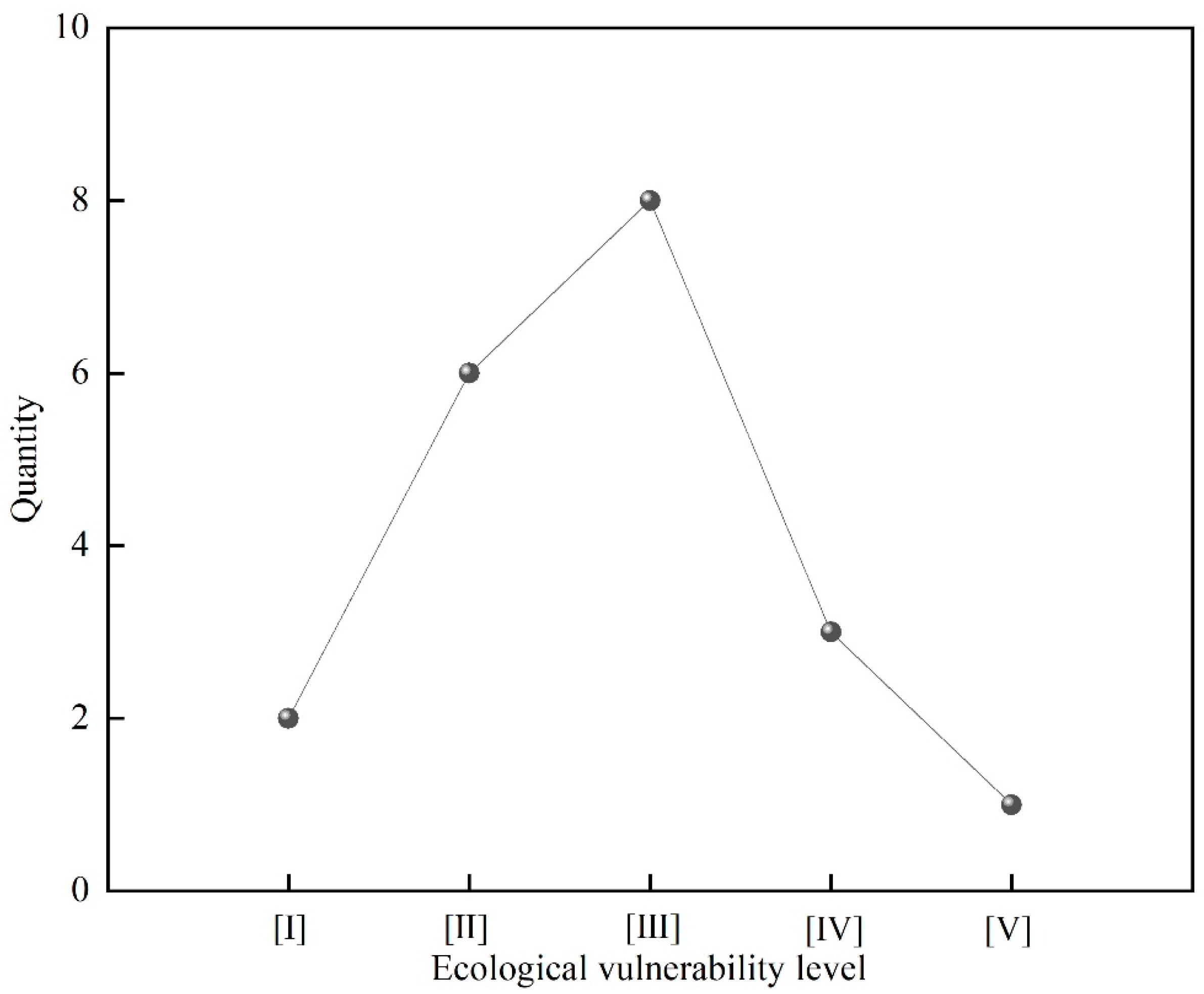
4.2. Evaluation Index Results and Analysis
5. Conclusions
Author Contributions
Funding
Data Availability Statement
Conflicts of Interest
References
- Hou, K.; Tao, W.; Wang, L.; Li, X. Study on hierarchical transformation mechanisms of regional ecological vulnerability and its applicability. Ecol. Indic. 2020, 114, 106343. [Google Scholar] [CrossRef]
- Lan, G.; Jiang, X.; Xu, D.; Guo, X.; Wu, Y.; Liu, Y.; Yang, Y. Ecological vulnerability assessment based on remote sensing ecological index (RSEI): A case of Zhongxian County, Chongqing. Front. Environ. Sci. 2023, 10, 1074376. [Google Scholar] [CrossRef]
- Li, J. Evaluation method of ecological vulnerability of scenic spots based on entropy weight TOPSIS model. Int. J. Environ. Technol. Manag. 2023, 26, 14–26. [Google Scholar] [CrossRef]
- Hyrynsalmi, S.; Mantymaki, M. Is Ecosystem Health a Useful Metaphor? Towards a Research Agenda for Ecosystem Health Research. In Proceedings of the 17th International-Federation-of-Information-Processing (IFIP) WG 6.11 Conference on e-Business, e-Services, and e-Society (I3E), Gulf Univ Sci & Technol, Kuwait City, Kuwait, 30 October–1 November 2018. [Google Scholar]
- Zhu, T.; Zhang, S.; Wang, Y.; Wang, C.; Wang, H. Integrated Assessment and Restoration Pathways for Holistic Ecosystem Health in Anxi County, China. Sustainability 2023, 15, 15932. [Google Scholar] [CrossRef]
- Yang, F.; Zhao, H. Progress in radiotherapy for small-cell lung cancer. Precis. Radiat. Oncol. 2023, 7, 207–217. [Google Scholar] [CrossRef]
- Kiladze, I.; Chkhaidze, L.; Iovashvili, A.; Natelauri, E.; Sokurashvili, B.; Mariamidze, E.; Kacheishvili, N.; Jeremic, B. Definitive chemoradiotherapy in elderly patients with esophageal cancer: Safety and outcome. Precis. Radiat. Oncol. 2023, 7, 51–58. [Google Scholar] [CrossRef]
- Zhang, Z.; Chen, X.; Yuan, T. Precision radiotherapy for nasopharyngeal carcinoma. Precis. Radiat. Oncol. 2024, 8, 37–41. [Google Scholar] [CrossRef]
- Cui, C. The Study of Ecological Environment Evolution and Countermeasures in Source Area of the Three Rivers. In Proceedings of the 5th International Yellow River Forum on Ensuring Water Right of the River’s Demand and Healthy River Basin maintenance, Minist Water Resources, Yellow River Conservancy Commiss, Zhengzhou, China, 24–28 September 2012. [Google Scholar]
- Zeng, Y.; Wang, L.-E.; Zhong, L. Future Risk of Tourism Pressures under Climate Change: A Case Study in the Three-River-Source National Park. Remote Sens. 2022, 14, 3758. [Google Scholar] [CrossRef]
- Cheng, H.J. The Coupled Model of Melting Snow and Frozen Soil in Three-River Source Area. Master’s Thesis, Hohai University, Nanjing, China, 2011. [Google Scholar]
- Liu, X.; Zhang, J.; Zhu, X.; Pan, Y.; Liu, Y.; Zhang, D.; Lin, Z. Spatiotemporal changes in vegetation coverage and its driving factors in the Three-River Headwaters Region during 2000–2011. J. Geogr. Sci. 2014, 24, 288–302. [Google Scholar] [CrossRef]
- Chen, P.; Hou, K.; Chang, Y.; Li, X.; Zhang, Y. Study on the Progress of Ecological Fragility Assessment in China. In Proceedings of the 3rd International Conference on Advances in Energy Resources and Environment Engineering (ICAESEE), Harbin, China, 8–10 December 2017. [Google Scholar]
- He, C.; Wu, H.; Zhou, Q.; Wang, F.; Li, H. Gis Analysis of Changes in Environmental Fragility in the Yinchuan, China. Fresenius Environ. Bull. 2018, 27, 5391–5398. [Google Scholar]
- Nicholson, S.K.; Dickman, A.; Hinks, A.; Riggio, J.; Bauer, H.; Loveridge, A.; Becker, M.; Begg, C.; Bhalla, S.; Burnham, D.; et al. Socio-political and ecological fragility of threatened, free-ranging African lion populations. Commun. Earth Environ. 2023, 4, 302. [Google Scholar] [CrossRef]
- Zheng, Y.; Wang, S.; Cao, Y.; Shi, J.; Qu, Y.; Li, L.; Zhao, T.; Niu, Z.; Yang, R.; Gong, P. Assessing the ecological vulnerability of protected areas by using Big Earth Data. Int. J. Digit. Earth 2021, 14, 1624–1637. [Google Scholar] [CrossRef]
- Zhang, H.; Lin, X.; Yu, G.; Huang, X.; Jing, G. Ecological vulnerability assessment in the middle and lower reaches of the Hanjiang River Basin. In Proceedings of the 3rd International Conference on Bioinformatics and Biomedical Engineering, Beijing, China, 11–13 June 2009. [Google Scholar]
- Wang, Z.; Xiong, H.; Zhang, F.; Qiu, Y.; Ma, C. Sustainable development assessment of ecological vulnerability in arid areas under the influence of multiple indicators. J. Clean. Prod. 2024, 436, 140629. [Google Scholar] [CrossRef]
- Hou, K.; Tao, W.; He, D.; Li, X. A new perspective on ecological vulnerability and its transformation mechanisms. Ecosyst. Health Sustain. 2022, 8, 2115403. [Google Scholar] [CrossRef]
- Qi, A.N.; Wu, Q.; Zhao, G.L. Research on the vulnerability of ecological water resources under continuous precipitation based on spatial heterogeneity. Int. J. Environ. Technol. Manag. 2021, 24, 231–247. [Google Scholar] [CrossRef]
- Yuan, X.M.; Guo, B. Dynamic Monitoring of the Ecological Vulnerability for Multi-Type Ecological Functional Areas during 2000–2018. Sustainability 2022, 14, 15987. [Google Scholar] [CrossRef]
- Zhang, W.; Chen, J.; Peng, J. Ecological change of the Source Region of Three Rivers during last 30 years based on satellite and ground observations. In Proceedings of the International Workshop on Earth Observation and Remote Sensing Applications, Beijing, China, 30 June–2 July 2008. [Google Scholar]
- Zhang, Y.; Zhang, S.; Zhai, X.; Xia, J. Runoff variation and its response to climate change in the Three Rivers Source Region. J. Geogr. Sci. 2012, 22, 781–794. [Google Scholar] [CrossRef]
- Li, F.; Wang, W.; Yin, Y.; Zhang, S. Climate control on summer precipitation in the Source Region of Three Rivers, China: East or South Asian summer monsoon? Hydrol. Sci. J. 2020, 65, 242–253. [Google Scholar] [CrossRef]
- Cui, D.H.; Zhang, X.Y. Application of Gray Analytic Hierarchy Process in Project Risk Evaluation. In Proceedings of the International Conference on Artificial Intelligence and Computational Intelligence, Shanghai, China, 7–8 November 2009. [Google Scholar]
- Díaz, H.; Teixeira, A.; Soares, C.G. Application of Monte Carlo and Fuzzy Analytic Hierarchy Processes for ranking floating wind farm locations. Ocean. Eng. 2022, 245, 110453. [Google Scholar] [CrossRef]
- Wang, J.; An, B. Comprehensive Evaluation of Forest Health Status of Guangxi State owned Paiyangshan Forest Farm Based on Analytic Hierarchy Process. J. West China For. Sci. 2022, 51, 711–724. [Google Scholar]
- van Zolingen, S.J.; Klaassen, C.A. Selection processes in a Delphi study about key qualifications in Senior Secondary Vocational Education. Technol. Forecast. Soc. Chang. 2003, 70, 317–340. [Google Scholar] [CrossRef]
- Lund, B.D. Review of the Delphi method in library and information science research. J. Doc. 2020, 76, 929–960. [Google Scholar] [CrossRef]
- Fathullah, M.A.; Subbarao, A.; Muthaiyah, S. Methodological Investigation: Traditional and Systematic Reviews as Preliminary Findings for Delphi Technique. Int. J. Qual. Methods 2023, 22, 16094069231190747. [Google Scholar] [CrossRef]
- Jin, F.; Zhou, Z.; Ma, Y.; Chen, Y. Satisfactory consistency judgement and inconsistency adjustment of linguistic judgement matrix. Appl. Math. Nonlinear Sci. 2022, 8, 2091–2102. [Google Scholar] [CrossRef]
- Zhang, R.; Gao, C.; Chen, X.; Li, F.; Yi, D.; Wu, Y. Genetic algorithm optimised Hadamard product method for inconsistency judgement matrix adjustment in AHP and automatic analysis system development. Expert Syst. Appl. 2023, 211, 118689. [Google Scholar] [CrossRef]
- Lin, C.; Kou, G.; Ergu, D. A statistical approach to measure the consistency level of the pairwise comparison matrix. J. Oper. Res. Soc. 2014, 65, 1380–1386. [Google Scholar] [CrossRef]
- Zarifian, T.; Ahmadi, A.; Ebadi, A. Development and measurement of psychometric properties of the Persian test of speech consistency in children with typical development. Appl. Neuropsychol. Child 2022, 11, 226–234. [Google Scholar] [CrossRef]
- Wang, Y.; Wang, Z.; Li, R.; Meng, X.; Ju, X.; Zhao, Y.; Sha, Z. Comparison of Modeling Grassland Degradation with and without Considering Localized Spatial Associations in Vegetation Changing Patterns. Sustainability 2018, 10, 316. [Google Scholar] [CrossRef]
- Yang, H.; Yao, L.; Wang, Y.; Li, J. Relative contribution of climate change and human activities to vegetation degradation and restoration in North Xinjiang, China. Rangel. J. 2017, 39, 289–302. [Google Scholar] [CrossRef]
- Liu, X.; Wang, X.; Chen, K.; Li, D. Simulation and prediction of multi-scenario evolution of ecological space based on FLUS model: A case study of the Yangtze River Economic Belt, China. J. Geogr. Sci. 2023, 33, 373–391. [Google Scholar] [CrossRef]
- Li, J.; Ke, X.; Wang, X.; Wang, L.; Luo, J.; Feng, S. Analysis of soil organic carbon composition characteristics and causes in Wuming region Karst landforms, Nanning, Guangxi Province, China. Environ. Earth Sci. 2024, 83, 349. [Google Scholar] [CrossRef]
- Hu, W.; Drewry, J.; Beare, M.; Eger, A.; Müller, K. Compaction induced soil structural degradation affects productivity and environmental outcomes: A review and New Zealand case study. Geoderma 2021, 395, 115035. [Google Scholar] [CrossRef]
- Li, C.; Li, Y.; Xu, Z.; Zhong, S.; Cheng, H.; Liu, J.; Yu, Y.; Wang, C.; Du, D. The effects of co-invasion by three Asteraceae invasive alien species on plant taxonomic and functional diversity in herbaceous ruderal communities in southern Jiangsu, China. Biol. Futur. 2024, 75, 205–217. [Google Scholar] [CrossRef] [PubMed]
- Park, J.S.; Yun, J.-H.; Choi, J.-Y.; Kim, J.-C.; Lee, J.; Song, H.-R. Multivariate Associations between Environmental Variables and the Invasion of Alien Plants in Floodplain Waterfront Parklands along the Nakdong River. J. Plant Biol. 2019, 62, 400–409. [Google Scholar] [CrossRef]
- Hu, X.; Ma, C.; Huang, P.; Guo, X. Ecological vulnerability assessment based on AHP-PSR method and analysis of its single parameter sensitivity and spatial autocorrelation for ecological protection A case of Weifang City, China. Ecol. Indic. 2021, 125, 107464. [Google Scholar] [CrossRef]
- Zhang, F.-R.; Suo, H. Ecological Tourism Bearing Capacity Assessment based on Analytic Hierarchy Process. In Proceedings of the 8th International Conference on Measuring Technology and Mechatronics Automation (ICMTMA), Macau, China, 11–12 March 2016. [Google Scholar]





| Target Layer | Criterion Layer | Indicator Layers | Describe | Indicator Items |
|---|---|---|---|---|
| An Ecological vulnerability assessment | B1 Biological factors | C1 Vegetation structure | The degree of changes in vegetation structure caused by natural vegetation | Invariant |
| Degradation of herbaceous layer | ||||
| Degradation of Shrubs layer | ||||
| Grass and shrub layer degradation | ||||
| C2 Potential natural vegetation integrity | The degree of change in potential natural vegetation integrity | 0% | ||
| <25% | ||||
| <50% | ||||
| ≥50% | ||||
| C3 Regional area reduction | The degree to which the ecological environment has decreased due to human activities | 0% | ||
| <25% | ||||
| <50% | ||||
| ≥50% | ||||
| B2 Non biological factors | C4 Topographic features | The degree of terrain change | 0% | |
| <25% | ||||
| <50% | ||||
| ≥50% | ||||
| C5 Changes in ecological environment | Changes in factors such as soil fertility, dryness and humidity, and temperature | 0% | ||
| <25% | ||||
| <50% | ||||
| ≥50% | ||||
| C6 Trampling effects | Ground hardening caused by human activities | Weak | ||
| Medium | ||||
| Strong |
| Criterion Layer | Indicator Layers | Indicator Items | Scale |
|---|---|---|---|
| B1 | C1 | Invariant | |
| Degradation of herbaceous layer | |||
| Degradation of shrubs layer | |||
| Grass and shrub layer degradation | |||
| C2 | 0% | ||
| <25% | |||
| <50% | |||
| ≥50% | |||
| C3 | 0% | ||
| <25% | |||
| <50% | |||
| ≥50% | |||
| B2 | C4 | 0% | |
| <25% | |||
| <50% | |||
| ≥50% | |||
| C5 | 0% | ||
| <25% | |||
| <50% | |||
| ≥50% | |||
| C6 | Weak | ||
| Medium | |||
| Strong |
| Scale | Meaning |
|---|---|
| 1 | Both factors are equally important |
| 3 | One factor is slightly more important than another factor |
| 5 | One factor is more important than another factor |
| 7 | One factor is significantly more important than another factor |
| 9 | One factor is extremely important compared to another factor |
| 2, 4, 6, 8 | The median value between adjacent scales mentioned above |
| Reciprocal | The judgment uij for comparing factor i with j, then the judgment uji for comparing factor j with i is 1/uij |
| n | 1 | 2 | 3 | 4 | 5 | 6 | 7 | 8 | 9 |
|---|---|---|---|---|---|---|---|---|---|
| RI | 0 | 0 | 0.6 | 0.9 | 1.1 | 1.2 | 1.3 | 1.4 | 1.5 |
| Vulnerability Score | Vulnerability Level | Hazard Level |
|---|---|---|
| 0–20 | [Ⅰ] | High |
| 21–40 | [Ⅱ] | ↑ |
| 41–60 | [Ⅲ] | |
| 61–80 | [Ⅳ] | ↓ |
| 81–100 | [Ⅴ] | Low |
| Expert | C1 | C2 | C3 | C4 | C5 | C6 | CR |
|---|---|---|---|---|---|---|---|
| 1 | 0.260 | 0.231 | 0.124 | 0.128 | 0.145 | 0.128 | 0.012 |
| 2 | 0.140 | 0.059 | 0.132 | 0.121 | 0.242 | 0.361 | 0.054 |
| 3 | 0.065 | 0.062 | 0.365 | 0.236 | 0.159 | 0.129 | 0.089 |
| 4 | 0.114 | 0.099 | 0.329 | 0.232 | 0.121 | 0.168 | 0.035 |
| 5 | 0.132 | 0.107 | 0.298 | 0.198 | 0.198 | 0.113 | 0.025 |
| 6 | 0.131 | 0.107 | 0.280 | 0.232 | 0.159 | 0.112 | 0.034 |
| 7 | 0.225 | 0.231 | 0.168 | 0.129 | 0.152 | 0.134 | 0.085 |
| 8 | 0.128 | 0.125 | 0.279 | 0.145 | 0.185 | 0.145 | 0.019 |
| 9 | 0.113 | 0.311 | 0.185 | 0.195 | 0.126 | 0.125 | 0.121 |
| Total | 0.138 | 0.123 | 0.234 | 0.198 | 0.185 | 0.154 | 0.008 |
| Indicator Layer | Weight | Score | Indicator Items | Weight | CR | Score | Number of Research Areas | Percentage (%) |
|---|---|---|---|---|---|---|---|---|
| C1 | 0.145 | 15 | Grass and shrub layer degradation | 0.523 | 0.005 | 15 | 8 | 40 |
| Degradation of shrubs layer | 0.273 | 9 | 8 | 40 | ||||
| Degradation of herbaceous layer | 0.172 | 6 | 2 | 10 | ||||
| Invariant | 0.032 | 0 | 2 | 10 | ||||
| C2 | 0.138 | 13 | ≥50% | 0.340 | 0.002 | 14 | 6 | 30 |
| <50% | 0.259 | 8 | 2 | 10 | ||||
| <25% | 0.189 | 5 | 4 | 20 | ||||
| 0% | 0.212 | 0 | 8 | 40 | ||||
| C3 | 0.247 | 26 | ≥50% | 0.413 | 0.013 | 25 | 2 | 10 |
| <50% | 0.256 | 13 | 5 | 25 | ||||
| <25% | 0.167 | 7 | 6 | 30 | ||||
| 0% | 0.164 | 0 | 7 | 35 | ||||
| C4 | 0.172 | 17 | ≥50% | 0.432 | 0.021 | 19 | 1 | 5 |
| <50% | 0.213 | 10 | 0 | 0 | ||||
| <25% | 0.175 | 3 | 10 | 50 | ||||
| 0% | 0.180 | 0 | 9 | 45 | ||||
| C5 | 0.169 | 15 | ≥50% | 0.428 | 0.015 | 17 | 4 | 20 |
| <50% | 0.268 | 8 | 3 | 15 | ||||
| <25% | 0.153 | 7 | 3 | 15 | ||||
| 0% | 0.151 | 0 | 10 | 50 | ||||
| C6 | 0.129 | 14 | Weak | 0.356 | 0.002 | 16 | 15 | 75 |
| Medium | 0.331 | 10 | 3 | 15 | ||||
| Strong | 0.313 | 3 | 2 | 10 |
Disclaimer/Publisher’s Note: The statements, opinions and data contained in all publications are solely those of the individual author(s) and contributor(s) and not of MDPI and/or the editor(s). MDPI and/or the editor(s) disclaim responsibility for any injury to people or property resulting from any ideas, methods, instructions or products referred to in the content. |
© 2024 by the authors. Licensee MDPI, Basel, Switzerland. This article is an open access article distributed under the terms and conditions of the Creative Commons Attribution (CC BY) license (https://creativecommons.org/licenses/by/4.0/).
Share and Cite
Liu, J.; Yi, Z.; Fang, Y.; Wu, C. Ecological Vulnerability Assessment of the Three Rivers Source Area Based on the Analytic Hierarchy Process. Water 2024, 16, 2023. https://doi.org/10.3390/w16142023
Liu J, Yi Z, Fang Y, Wu C. Ecological Vulnerability Assessment of the Three Rivers Source Area Based on the Analytic Hierarchy Process. Water. 2024; 16(14):2023. https://doi.org/10.3390/w16142023
Chicago/Turabian StyleLiu, Jiao, Zhenyan Yi, Yahui Fang, and Caiyan Wu. 2024. "Ecological Vulnerability Assessment of the Three Rivers Source Area Based on the Analytic Hierarchy Process" Water 16, no. 14: 2023. https://doi.org/10.3390/w16142023
APA StyleLiu, J., Yi, Z., Fang, Y., & Wu, C. (2024). Ecological Vulnerability Assessment of the Three Rivers Source Area Based on the Analytic Hierarchy Process. Water, 16(14), 2023. https://doi.org/10.3390/w16142023
