Modelling of Granular Sediment Transport in Steady Flow over a Mobile Sloped Bed
Abstract
1. Introduction
2. Materials and Methods
2.1. Theoretical Model Assumptions
2.2. Three-Layer Transport Structure
2.3. Equations in the Dense Layer
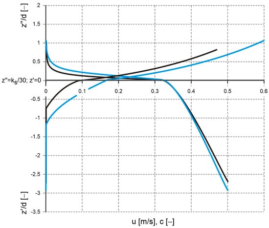
3. Discussion of Numerical Calculation Results
4. Discussion of Calculation Results in Comparison with Measurements
4.1. Vertical Profiles of Velocity, Concentration and Grain Size Distribution
4.2. Sediment Transport
- sand with density and diameters and ;
- gravel with density and diameter ;
- particles of shelled walnut with density and diameter ;
- magnetite grains with density and diameter .
5. Conclusions
Author Contributions
Funding
Data Availability Statement
Conflicts of Interest
References
- Lai, Y.G.; Huang, J.; Greimann, B.P. Hydraulic Flushing of Sediment in Reservoirs: Best Practices of Numerical Modeling. Fluids 2024, 9, 38. [Google Scholar] [CrossRef]
- Shmakova, M. Sediment Transport in River Flows: New Approaches and Formulas. In Modeling of Sediment Transport; IntechOpen: London, UK, 2022. [Google Scholar] [CrossRef]
- Andualem, T.G.; Hewa, G.A.; Myers, B.R.; Peters, S.; Boland, J. Erosion and Sediment Transport Modeling: A Systematic Review. Land 2023, 12, 1396. [Google Scholar] [CrossRef]
- Berzi, D.; Fraccarollo, L. Intense sediment transport: Collisional to turbulent suspension. Phys. Fluids 2016, 28, 0233302. [Google Scholar] [CrossRef]
- Meyer-Peter, E.; Müller, R. Formulas for bed-load transport. In Proceedings of the 2nd Meeting of the Int. Association for Hydraulic Structures Research, Delft, The Netherlands, 7 June 1948; International Association for Hydro-Environment Engineering and Research: Delft, The Netherlands, 1948. [Google Scholar]
- Shields, A. Anwendung der Aehnlichkeitsmechanik und der Turbulenzforschung auf die Geschiebebewegung; Erschienen im Eigenverlag der Preussischen Versuchsanstalt für Wasserbau und Schiffbau: Berlin, Germany, 1936. [Google Scholar]
- Smart, G.M. Sediment transport formula for steep channels. J. Hydraul. Eng. 1984, 110, 267–276. [Google Scholar] [CrossRef]
- Wong, M.; Parker, G. Reanalysis and correction of bed-load relation of meyer-peter and müller using their own database. J. Hydraul. Eng. 2006, 132, 1159–1168. [Google Scholar] [CrossRef]
- Cheng, N.-S.; Chen, X. Slope Correction for Calculation of Bedload Sediment Transport Rates in Steep Channels. J. Hydraul. Eng. 2014, 140. [Google Scholar] [CrossRef]
- Graf, W.H.; Suszka, L. Sediment Transport in Steep Channels. J. Hydrosci. Hydraul. Eng. 1984, 110, 11–26. [Google Scholar] [CrossRef]
- Recking, A.; Frey, P.; Paquier, A.; Belleudy, P.; Champagne, J.Y. Bed-load transport flume experiments on steep slopes. J. Hydraul. Eng. 2008, 134, 1302–1310. [Google Scholar] [CrossRef]
- Parker, C.; Clifford, N.J.; Thorne, C.R. Understanding the influence of slope on the threshold of coarse grain motion: Revisiting critical stream power. Geomorphology 2011, 126, 51–65. [Google Scholar] [CrossRef]
- Maurin, R.; Chauchat, J.; Frey, P. Revisiting slope influence in turbulent bedload transport: Consequences for vertical flow structure and transport rate scaling. J. Fluid Mech. 2018, 839, 135–156. [Google Scholar] [CrossRef]
- Lamb, M.P.; Dietrich, W.E.; Venditti, J.G. Is the critical Shields stress for incipient sediment motion dependent on channel-bed slope? J. Geophys. Res. 2008, 113. [Google Scholar] [CrossRef]
- Dang, T.A.; Park, S.D. Experimental Analysis and Numerical Simulation of Bed Elevation Change in Mountain rivers. SpringerPlus 2016, 5, 1075. [Google Scholar] [CrossRef] [PubMed][Green Version]
- António, S.D.; van der Werf, J.; Horstman, E.; Cáceres, I.; Alsina, J.; van der Zanden, J.; Hulscher, S. Influence of Beach Slope on Morphological Changes and Sediment Transport under Irregular Waves. J. Mar. Sci. Eng. 2023, 11, 2244. [Google Scholar] [CrossRef]
- Qu, L.; Lei, T.; Zhou, C.; Yang, X. Measuring Sediment Transport Capacity of Concentrated Flow with Erosion Feeding Method. Land 2023, 12, 411. [Google Scholar] [CrossRef]
- Yuan, J.; Tan, W. Modeling net sheet-flow sediment transport rate under skewed and asymmetric oscillatory flows over a sloping bed. Coast. Eng. 2018, 136, 65–80. [Google Scholar] [CrossRef]
- Tan, W.; Yuan, J. Experimental study of sheet-flow sediment transport under nonlinear oscillatory flow over a sloping bed. Coast. Eng. 2019, 147, 1–11. [Google Scholar] [CrossRef]
- Tan, W.; Yuan, J. Net sheet-flow sediment transport rate: Additivity of wave propagation and nonlinear waveshape effects. Cont. Shelf Res. 2020, 240, 104724. [Google Scholar] [CrossRef]
- Radosz, I.; Zawisza, J.; Biegowski, J.; Paprota, M.; Majewski, D.; Kaczmarek, L.M. An Experimental Study on Progressive and Reverse Fluxes of Sediments with Fine Fractions in the Wave Motion over Sloped Bed. Water 2023, 15, 125. [Google Scholar] [CrossRef]
- Radosz, I.; Zawisza, J.; Biegowski, J.; Paprota, M.; Majewski, D.; Kaczmarek, L.M. An Experimental Study on Progressive and Reverse Fluxes of Sediments with Fine Fractions in Wave Motion. Water 2022, 14, 2397. [Google Scholar] [CrossRef]
- Kaczmarek, L.M.; Sawczyński, S.; Biegowski, J. An Equilibrium transport formula for modeling sedimentation of dredged channels. Coast. Eng. J. 2017, 59, 1750015-1–1750015-35. [Google Scholar] [CrossRef]
- Kaczmarek, L.M.; Biegowski, J.; Sobczak, Ł. Modeling of Sediment Transport with a Mobile Mixed-Sand Bed in Wave Motion. J. Hydraul. Eng. 2022, 148, 04021054. [Google Scholar] [CrossRef]
- Kaczmarek, L.M.; Ostrowski, R. Modelling of a three-layer sediment transport system in oscillatory flow. In Proceedings of the 26th International Conference on Coastal Engineering, Copenhagen, Denmark, 22–26 June 1998; pp. 2559–2572. [Google Scholar]
- Kaczmarek, L.M.; Biegowski, J.; Sobczak, Ł. Modeling of Sediment Transport in Steady Flow over Mobile Granular Bed. J. Hydraul. Eng. 2019, 145, 04019009. [Google Scholar] [CrossRef]
- Zawisza, J.; Radosz, I.; Biegowski, J.; Kaczmarek, L.M. Transport of Sediment Mixtures in Steady Flow with an Extra Contribution of Their Finest Fractions: Laboratory Tests and Modeling. Water 2023, 15, 832. [Google Scholar] [CrossRef]
- Zawisza, J.; Radosz, I.; Biegowski, J.; Kaczmarek, L.M. Sand Transport with Cohesive Admixtures…—Laboratory Tests and Modeling. Water 2023, 15, 804. [Google Scholar] [CrossRef]
- Cowen, E.A.; Dudley, R.D.; Liao, Q.; Variano, E.A.; Liu, P.L.-F. An insitu borescopic quantitative imaging profiler for the measurement of high concentration sediment velocity. Exp. Fluids 2010, 49, 77–88. [Google Scholar] [CrossRef]
- Kaczmarek, L.M.; Zawisza, J.; Radosz, I.; Pietrzak, M.; Biegowski, J. The Application of Sand Transport with Cohesive Admixtures Model for Predicting Flushing Flows in Channels. Water 2024, 16, 1214. [Google Scholar] [CrossRef]
- Sobczak, Ł. Dynamics of Grain-Inhomogeneous Sediment under Flow Conditions with a Moving Layer of an Inclined Bottom. Ph.D. Thesis, IBW PAN, Gdańsk, Poland, 2022. Available online: http://www.ibwpan.gda.pl/storage/app/media/doktoraty/doktorat_sobczak_rozprawa.pdf (accessed on 21 May 2023).
- Sayed, M.; Savage, S.B. Rapid gravity flow of cohesionless granular materials down inclined chutes. J. Appl. Math. Phys. 1983, 34, 84–100. [Google Scholar] [CrossRef]
- Frey, P. Particle velocity and concentration profiles in bedload experiments on a steep slope. Earth Surf. Process. Landforms 2014, 39, 646–655. [Google Scholar] [CrossRef]
- Damgaard, J.; Soulsby, R.; Peet, A.; Wright, S. Sand transport on steeply sloping plane and rippled beds. J. Hydraul. Eng. 2003, 129, 706–719. [Google Scholar] [CrossRef]
- Luque, R.F.; Van Beek, R. Erosion and transport of bed-load sediment. J. Hydraul. Res. 1976, 14, 127–144. [Google Scholar] [CrossRef]
- Smart, G.M.; Jaeggi, M.N.R. Sediment transport on steep slopes. In Mitteil. 64, Versuchsanstalt für Wasserbau, Hydrologie und Glaziologie; ETH-Zürich: Zürich, Switzerland, 1983; p. 191. [Google Scholar]
- Larionov, G.A.; Krasnov, S.F.; Dobrovol’skaya, N.G.; Kiryukhina, Z.P.; Litvin, L.F.; Bushueva, O.G. Equation of Sediment Transport for Slope Flows. Eurasian Soil Sci. 2006, 39, 868–878. [Google Scholar] [CrossRef]
- Aziz, N.M.; Scott, D.E. Experiments on sediment transport in shallow flows in high gradient channels. Hydrol. Sci. 1989, 34, 465–478. [Google Scholar] [CrossRef]






















| Test 1 | Test 2 | Test 3 | |
| Test 4 | Test 5 | Test 6 | |
| Test 7 | Test 8 | Test 9 | |
| Test 10 | Test 11 | Test 12 | |
| Test 13 | Test 14 | Test 15 | |
Disclaimer/Publisher’s Note: The statements, opinions and data contained in all publications are solely those of the individual author(s) and contributor(s) and not of MDPI and/or the editor(s). MDPI and/or the editor(s) disclaim responsibility for any injury to people or property resulting from any ideas, methods, instructions or products referred to in the content. |
© 2024 by the authors. Licensee MDPI, Basel, Switzerland. This article is an open access article distributed under the terms and conditions of the Creative Commons Attribution (CC BY) license (https://creativecommons.org/licenses/by/4.0/).
Share and Cite
Biegowski, J.; Pietrzak, M.; Radosz, I.; Kaczmarek, L.M. Modelling of Granular Sediment Transport in Steady Flow over a Mobile Sloped Bed. Water 2024, 16, 2022. https://doi.org/10.3390/w16142022
Biegowski J, Pietrzak M, Radosz I, Kaczmarek LM. Modelling of Granular Sediment Transport in Steady Flow over a Mobile Sloped Bed. Water. 2024; 16(14):2022. https://doi.org/10.3390/w16142022
Chicago/Turabian StyleBiegowski, Jarosław, Magdalena Pietrzak, Iwona Radosz, and Leszek M. Kaczmarek. 2024. "Modelling of Granular Sediment Transport in Steady Flow over a Mobile Sloped Bed" Water 16, no. 14: 2022. https://doi.org/10.3390/w16142022
APA StyleBiegowski, J., Pietrzak, M., Radosz, I., & Kaczmarek, L. M. (2024). Modelling of Granular Sediment Transport in Steady Flow over a Mobile Sloped Bed. Water, 16(14), 2022. https://doi.org/10.3390/w16142022

