Incompressible Smoothed Particle Hydrodynamics Simulation of Sediment Erosion around Submarine Pipelines
Abstract
1. Introduction
2. Method
2.1. The Spatially Averaged N-S Equation
2.2. Numerical Algorithms
2.3. CWP-TWP-CSS Erosion Model
3. The Validation of the Model
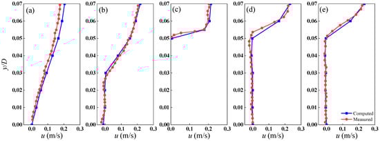
3.1. Validation of the Flow Field
3.2. Validation of the Sediment Erosion Models
4. ISPH Simulation of Local Scour around Submarine Pipelines
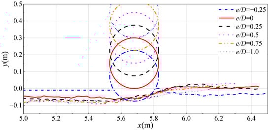
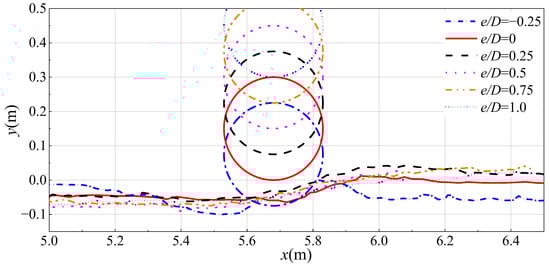
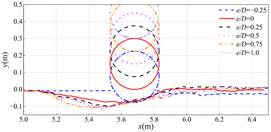
4.1. Effect of Gap Ratios
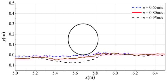
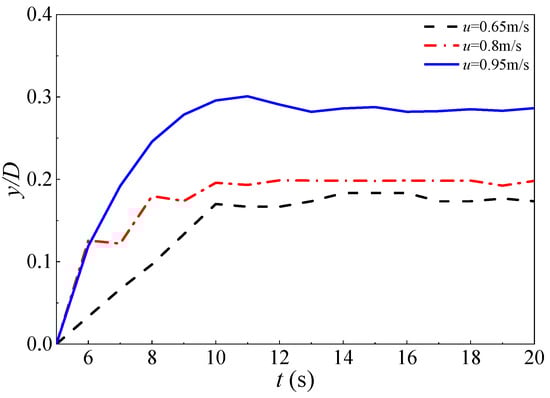
4.2. Effect of Different Inlet Flow Velocities
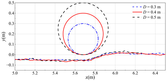
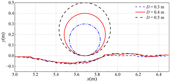
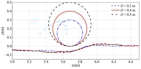
4.3. Effect of Different Pipeline Diameters
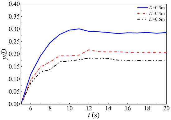
4.4. The Equilibrium Time for Different Conditions
5. Discussion
6. Conclusions
- (1)
- The simulation results of the flow field and erosion model, obtained by establishing the simulation model for sediment erosion around the submarine pipeline and comparing these with experimental results, demonstrate that the ISPH method is applicable for studying sediment erosion around submarine pipelines.
- (2)
- When the pipeline diameter is D = 0.3 m and the inflow velocity is u = 0.95 m/s, the maximum scour depth initially increases and then decreases with the increase in the gap ratio e/D. The maximum scour depth is achieved when e/D = 0.5. When the pipeline diameter is D = 0.3 m and the gap ratio is 0, the maximum scour depth increases with the increase in the inflow velocity. The maximum scour depth is achieved when u = 0.95 m/s. When the inflow velocity is u = 0.95 m/s and the gap ratio is 0, the maximum scour depth gradually decreases with the increase in the pipeline diameter. The minimum maximum scour depth is achieved when D = 0.5 m.
Author Contributions
Funding
Data Availability Statement
Conflicts of Interest
References
- Chiew, Y. Mechanics of Local Scour around Submarine Pipelines. J. Hydraul. Eng. 1990, 116, 515–529. [Google Scholar] [CrossRef]
- Chiew, Y. Prediction of Maximum Scour Depth at Submarine Pipelines. J. Hydraul. Eng. 1991, 117, 452–466. [Google Scholar] [CrossRef]
- Lee, C.H.; Low, Y.M.; Chiew, Y.M. Multi-dimensional rheology-based two-phase model for sediment transport and applications to sheet flow and pipeline scour. Phys. Fluids 2016, 28, 053305. [Google Scholar]
- Fredsøe, J. Pipeline–seabed interaction. J. Waterw. Port Coast. 2016, 142, 03116002. [Google Scholar] [CrossRef]
- Ahmad, N.; Bihs, H.; Myrhaug, D.; Kamath, A.; Arntsen, Ø.A. Numerical modelling of pipeline scour under the combined action of waves and current with free-surface capturing. Coast. Eng. 2019, 148, 19–35. [Google Scholar] [CrossRef]
- Zhao, M. A review on recent development of numerical modelling of local scour around hydraulic and marine structures. J. Mar. Sci. Eng. 2022, 10, 1139. [Google Scholar] [CrossRef]
- Dey, S.; Singh, N.P. Clear-Water Scour below Underwater Pipelines under Steady Flow. J. Hydraul. Eng. 2008, 134, 588–600. [Google Scholar] [CrossRef]
- Cheng, L.; Yeow, K.; Zhang, Z. Three-dimensional scour below offshore pipelines in steady currents. Coast. Eng. 2009, 56, 577–590. [Google Scholar] [CrossRef]
- Sumer, B.M.; Truelsen, C.; Sichmann, T.; Fredsøe, J. Onset of scour below pipelines and self-burial. Coast. Eng. 2001, 42, 313–335. [Google Scholar] [CrossRef]
- Sumer, B.M.; Jensen, H.R.; Mao, Y. Effect of Lee-Wake on Scour Below Pipelines in Current. J. Waterw. Port Coast. 1988, 114, 599–614. [Google Scholar] [CrossRef]
- Li, F.; Cheng, L. Numerical model for local scour under offshore pipelines. J. Hydraul. Eng. 1999, 125, 400–406. [Google Scholar] [CrossRef]
- Liang, D.; Cheng, L.; Li, F. Numerical modeling of flow and scour below a pipeline in currents. Part II. Scour simulation. Coast. Eng. 2005, 52, 43–62. [Google Scholar] [CrossRef]
- Liang, D.; Cheng, L.; Yeow, K. Numerical study of the Reynolds-number dependence of two-dimensional scour beneath offshore pipelines in steady currents. Ocean Eng. 2005, 32, 1590–1607. [Google Scholar] [CrossRef]
- Zhao, M.; Cheng, L. Numerical modeling of local scour below a piggyback pipeline in currents. In Proceedings of the International Conference on Offshore Mechanics and Arctic Engineering—OMAE, Hamburg, Germany, 4–9 June 2006; pp. 1452–1463. [Google Scholar]
- Yeganeh-Bakhtiary, A.; Kazeminezhad, M.H.; Etemad-Stemad-Shahidi, A. Euler-Euler two-phase flow simulation of tunnel erosion beneath marine pipelines. Appl. Ocean Res. 2011, 33, 137–146. [Google Scholar] [CrossRef]
- Khayyer, A.; Gotoh, H.; Shao, S.D. Corrected Incompressible SPH method for accurate water-surface tracking in breaking waves. Coast. Eng. 2008, 55, 236–250. [Google Scholar] [CrossRef]
- Wang, D.; Li, S.; Arikawa, T.; Gen, H. ISPH simulation of scour behind seawall due to continuous tsunami overflow. Coast. Eng. J. 2016, 58, 1650014. [Google Scholar] [CrossRef]
- Fonty, T.; Ferrand, M.; Leroy, A.; Joly, A.; Violeau, D. Mixture model for two-phase flows with high density ratios: A conservative and realizable SPH formulation. Int. J. Multiph. Flow. 2019, 111, 158–174. [Google Scholar] [CrossRef]
- Bertevas, E.; Tran-Duc, T.; Le-Cao, K.; Khoo, B.C.; Phan-Thien, N. A smoothed particle hydrodynamics (SPH) formulation of a two-phase mixture model and its application to turbulent sediment transport. Phys. Fluids 2019, 31, 103–303. [Google Scholar] [CrossRef]
- Akbari, H.; Pooyarad, A. Wave force on protected submarine pipelines over porous and impermeable beds using SPH numerical model. Appl. Ocean Res. 2020, 98, 102118. [Google Scholar] [CrossRef]
- Mirmohammadi, A.; Ketabdari, M.J. Numerical simulation of wave scouring beneath marine pipeline using smoothed particle hydrodynamics. Int. J. Sediment Res. 2011, 26, 331–342. [Google Scholar] [CrossRef]
- Zanganeh, M.; Yeganeh-Bakhtiary, A.; Abd Wahab, A.K. Lagrangian coupling two-phase flow model to simulate current-induced scour beneath marine pipelines. Appl. Ocean Res. 2012, 38, 64–73. [Google Scholar] [CrossRef]
- Wang, D.; Shao, S.; Li, S. 3D ISPH erosion model for flow passing a vertical cylinder. J. Fluids Struct. 2018, 78, 374–399. [Google Scholar] [CrossRef]
- Gotoh, H.; Shibahara, T.; Sakai, T. Sub-Particle-Scale Turbulence Model for the MPS Method Lagrangian Flow Model for Hydraulic Engineering. Comput. Fluid Dyn. J. 2001, 9, 339–347. [Google Scholar]
- Smagorinsky, J. General circulation experiments with the primitive equations: I. The basic experiment. Mon. Weath. Rev. 1963, 91, 99–164. [Google Scholar] [CrossRef]
- Chorin, A.J.; Marsden, J.E. A Mathematical Introduction to Fluid Mechanics; Texts in Applied Mathematics; Springer: New York, NY, USA, 1990. [Google Scholar]
- Monaghan, J.J. Smoothed particle hydrodynamics. Annu. Rev. Astron. Astrophys. 1992, 30, 543–574. [Google Scholar] [CrossRef]
- Khayyer, A.; Gotoh, H. A higher order Laplacian model for enhancement and stabilization of pressure calculation by the MPS method. Appl. Ocean Res. 2010, 32, 124–131. [Google Scholar] [CrossRef]
- Schlichting, H. Boundary Layer Theory, 7th ed.; McGraw-Hill Book Co.: New York, NY, USA, 1987. [Google Scholar]
- Manenti, S.; Sibilla, S.; Gallati, M.; Agate, G.; Guandalini, R. SPH simulation of sediment flushing induced by a rapid water flow. J. Hydraul. Eng. 2012, 138, 272–284. [Google Scholar] [CrossRef]
- Zhang, R.J.; Xie, J.H.; Chen, W.B. River Dynamics; Wuhan University Press: Wuhan, China, 2007. [Google Scholar]
- Oner, A.A.; Kirkgoz, M.S.; Akoz, M.S. Interaction of a current with a circular cylinder near a rigid bed. Ocean Eng. 2008, 35, 1492–1504. [Google Scholar] [CrossRef]
- Akter-Uz-Zaman, M. Two-Dimensional Local Scour Numerical Simulation of Submarine Pipeline Based on Two-Phase Flow Model. Ph.D. Thesis, Tianjin University, Tianjin, China, 2020. [Google Scholar]
- Gao, J.; Hou, L.; Liu, Y.; Shi, H. Influences of bragg reflection on harbor resonance triggered by irregular wave groups. Ocean Eng. 2024, 305, 117941. [Google Scholar] [CrossRef]
- Gao, J.; Shi, H.; Zang, J.; Liu, Y. Mechanism analysis on the mitigation of harbor resonance by periodic undulating topography. Ocean Eng. 2023, 281, 114923. [Google Scholar] [CrossRef]
























| x | −D | −0.5D | 0 | 0.5D | D |
|---|---|---|---|---|---|
| (m/s) | 0.0175 | 0.0083 | 0.0274 | 0.0177 | 0.0090 |
| Test | U (m/s) | D (m) | H (m) | e/D |
|---|---|---|---|---|
| 1 | 0.65 | 0.05 | 0.23 | −0.25 |
| 2 | 0.65 | 0.05 | 0.23 | 0.25 |
| 3 | 0.65 | 0.05 | 0.23 | 0.5 |
| 4 | 0.65 | 0.05 | 0.23 | 1.0 |
| e/D | −0.25 | 0.25 | 0.5 | 1.0 |
| y/D | 0.1414 | 0.0871 | 0.0565 | 0.1319 |
| Test | e/D | u0 (m/s) | D (m) | Re |
|---|---|---|---|---|
| S1 | 0 | 0.65 | 0.3 | 1.95 × 105 |
| S2 | 0 | 0.8 | 0.3 | 2.40 × 105 |
| S3 | 0 | 0.95 | 0.3 | 2.85 × 105 |
| S4 | −0.25 | 0.95 | 0.3 | 2.85 × 105 |
| S5 | 0.25 | 0.95 | 0.3 | 2.85 × 105 |
| S6 | 0.5 | 0.95 | 0.3 | 2.85 × 105 |
| S7 | 0.75 | 0.95 | 0.3 | 2.85 × 105 |
| S8 | 1 | 0.95 | 0.3 | 2.85 × 105 |
| S9 | 0 | 0.95 | 0.4 | 3.80 × 105 |
| S10 | 0 | 0.95 | 0.5 | 4.75 × 105 |
Disclaimer/Publisher’s Note: The statements, opinions and data contained in all publications are solely those of the individual author(s) and contributor(s) and not of MDPI and/or the editor(s). MDPI and/or the editor(s) disclaim responsibility for any injury to people or property resulting from any ideas, methods, instructions or products referred to in the content. |
© 2024 by the authors. Licensee MDPI, Basel, Switzerland. This article is an open access article distributed under the terms and conditions of the Creative Commons Attribution (CC BY) license (https://creativecommons.org/licenses/by/4.0/).
Share and Cite
Yan, S.; Wang, D.; Li, Y.; Gao, Y.; Lin, J.; Shi, Y. Incompressible Smoothed Particle Hydrodynamics Simulation of Sediment Erosion around Submarine Pipelines. Water 2024, 16, 1445. https://doi.org/10.3390/w16101445
Yan S, Wang D, Li Y, Gao Y, Lin J, Shi Y. Incompressible Smoothed Particle Hydrodynamics Simulation of Sediment Erosion around Submarine Pipelines. Water. 2024; 16(10):1445. https://doi.org/10.3390/w16101445
Chicago/Turabian StyleYan, Sheng, Dong Wang, Yan Li, Yu Gao, Jianguo Lin, and Yawei Shi. 2024. "Incompressible Smoothed Particle Hydrodynamics Simulation of Sediment Erosion around Submarine Pipelines" Water 16, no. 10: 1445. https://doi.org/10.3390/w16101445
APA StyleYan, S., Wang, D., Li, Y., Gao, Y., Lin, J., & Shi, Y. (2024). Incompressible Smoothed Particle Hydrodynamics Simulation of Sediment Erosion around Submarine Pipelines. Water, 16(10), 1445. https://doi.org/10.3390/w16101445

