Abstract
Residual drug pollutants in water environments represent a severe risk to human health, so developing a cheap, environmentally friendly, and effective photocatalyst to deal with them has become a hot topic. Herein, a magnetically separable Fe3O4@TiO2/g-C3N4 photocatalyst with a special heterojunction structure was fabricated, and its photocatalytic performance was assessed by degrading tetracycline (TC). Compared to Fe3O4@TiO2, the synthesized Fe3O4@TiO2/g-C3N4 exhibited superior TC degradation performance, which was primarily ascribed to the heterojunction formed between TiO2 and g-C3N4 and its ability to enhance the visible light absorption capacity and reduce the photoinduced electron/hole recombination rate. Moreover, a free radical capture experiment further confirmed that ·O2− and h+ are the predominant components in the TC degradation reaction. Under UV–Vis irradiation, the TC degradation rate escalated to as high as 98% within 120 min. Moreover, Fe3O4@TiO2/g-C3N4 was demonstrated to be easily recovered by magnetic separation without any notable loss even after five cycles, showing exceptional stability and reusability. These findings indicate that Fe3O4@TiO2/g-C3N4 is a promising photocatalyst for environmental remediation that may provide a sustainable approach to degrading antibiotic pollutants in wastewater.
1. Introduction
Tetracycline (TC), as a basic widely used bactericidal agent, has been extensively utilized in animal husbandry and aquaculture. Due to uncontrolled use, TC residues accumulate in the environment through soil erosion and wastewater discharge, which poses a serious threat to human health through food chains []. Although TC residues currently exist in trace concentrations (ng/L to μg/L) in different soil and aquatic ecosystems, its long-term presence in ecological environments will promote the formation of drug-resistant bacteria and genes due to its chemical stability [,]. To deal with this situation, many researchers have proposed various methods to remove TC from wastewater, such as adsorption, advanced oxidation, and membrane filtration [,,,,,,]. However, traditional adsorption and membrane filtration methods have disadvantages such as limited adsorption capacity and release risk. In recent years, advanced oxidation processes (AOPs) have been considered as the best choice for antibiotic wastewater treatment []. Among them, the photocatalysis technique stands out as the most promising method, owing to its simple operation and ability to avoid secondary pollution.
Titanium dioxide (TiO2), as a conventional photocatalytic material, has been widely used in wastewater treatment, which is attributed to its good chemical stability, non-toxicity, and straightforward synthesis [,]. Unfortunately, as an n-type semiconductor, TiO2 can only absorb the ultraviolet region in the solar spectrum, and its photoinduced electron/hole pair recombination rate is high, which significantly restricts its practical application []. To enhance TiO2’s catalytic activity for environmental pollution, various strategies have been proposed to extend its light absorption region and reduce the electron/hole pair recombination, including metal (such as Al) or non-metal ion (such as Cl and F) doping, surface modification, coupling with other semiconductor materials, and regulating preparation conditions [,,,,,,,,,]. These strategies can not only enhance the photocatalytic performance of TiO2 materials but also expand their applications in biomedicine, plastics, rubber, and other fields.
In recent studies, graphitic carbon nitride (g-C3N4) has become a popular semiconductor photocatalyst, which is probably attributed to its unique nanosheet structure and visible-light-driven band gap at around 2.70 eV []. To enhance g-C3N4 catalytic performance, researchers have proposed various methods, such as hybridizing with wide-band-gap semiconductor photocatalysts (such as SnO2, TiO2, Bi2WO6, etc.) and developing a mesoporous structure, g-C3N4 (mpg-C3N4), which helps to enhance the visible light response and accelerate photoinduced electron/hole pair separation, thereby enhancing photocatalytic efficiency [,,]. As an illustration, Wang et al. [] found that Bi2WO6/g-C3N4 photocatalyst has a superior degradation activity for RhB dye to pure Bi2WO6 or g-C3N4 photocatalyst under UV–Vis light irradiation due to its heterojunction structure. Therefore, forming a heterojunction by hybridizing TiO2 with g-C3N4 could be an effective approach to enhance photocatalytic performance. Nevertheless, few studies have been conducted on TC degradation using TiO2/g-C3N4 composites, and the degradation mechanism is still obscure.
In addition, based on the green chemistry theory, an effective separation of photocatalysts from wastewater has become a focus of current research. Conventional centrifugation and filtration methods are complicated and easily lead to photocatalyst loss due to high dispersion [,]. Fe3O4-based materials have attracted much attention in the biological, energy, and environmental science fields due to their excellent magnetic responsiveness [,,,]. Therefore, the introduction of Fe3O4 can make photocatalysts separate easily under an external magnetic field to improve their reuse rate, which is crucial for wastewater treatment.
Thus, in this work, a series of recyclable photocatalysts were synthesized by the solvothermal method, and their photocatalytic activity was evaluated by degrading TC under UV–Vis irradiation. The whole preparation process is easy to operate without toxic reagents. The chemical composition and surface morphology of the prepared samples were analyzed by XRD, SEM, FT-IR, and XPS. To investigate the reason for the enhanced degradation rate, DRS, PL, and TRPL tests were carried out. Also, an electrochemical workstation was conducted to investigate the possible TC degradation enhancement mechanism by FTC photocatalysts. Briefly, this work will provide experimental validation for the development of novel magnetically separable photocatalysts and exhibit potential application prospects in TC wastewater treatment.
2. Materials and Methods
2.1. Materials
Tetrabutyl titanate (C16H36O4Ti, 98%), Polyethylene glycol (PEG 10000, 99%), Tetracycline hydrochloride (TC, 99%), Ferric chloride hexahydrate (FeCl3·6H2O, 99%), and Sodium acetate anhydrous (CH3COONa, 99%) were purchased from Aladdin (Shanghai, China). Anhydrous ethanol (C2H5OH, purity ≥ 99.7%), Ethylene glycol (C2H6O2, purity ≥ 99.5%), and Urea (CH4N2O, purity ≥ 99.0%) were sourced from Sinopharm Chemical Reagent Co., Ltd. (Shanghai, China). These materials were all of analytical grade.
2.2. Synthesis of Fe3O4@TiO2/g-C3N4
The Fe3O4@TiO2/g-C3N4 was synthesized by the solvothermal method. (i) Preparation of Fe3O4: 7.2 g CH3COONa, 2.7 g FeCl3·6H2O, and 1.0 g PEG 10000 were solubilized in an 80 mL ethylene glycol solution. After magnetic stirring and homogenizing, the as-prepared suspension was transferred into a 100 mL polytetrafluoroethylene-lined autoclave and heated in an oven at 200 °C for 16 h. Then, the products were subjected to magnetic separation, then washed 3 times using ethanol and deionized water, and dried at 60 °C for 12 h. (ii) Preparation of g-C3N4: a specific quantity of urea was added to a covered crucible (50 mL) and calcined at 550 °C for 2 h (5 °C·min−1) to obtain layered g-C3N4. (iii) Preparation of Fe3O4@TiO2/g-C3N4: 0.15 g Fe3O4 was evenly dispersed in 37.5 mL anhydrous ethanol and 0.75 mL H2O. Subsequently, 1.25 mL tetrabutyl titanate was introduced into the above solution under ultrasonic conditions. After 5 min, different g-C3N4 contents were introduced into the aforementioned solution and stirred evenly, then placed in an autoclave and reacted at 140 °C for 3 h. Lastly, the product was magnetically separated, then washed 3 times using ethanol and deionized water, and ultimately dried at 60 °C for 12 h. The Fe3O4@TiO2/g-C3N4 samples with g-C3N4 contents of 5%, 10%, 15%, and 20% were labeled as FTC-5, FTC-10, FTC-15, and FTC-20, respectively. Meanwhile, the ratio of n(TiO2):n(Fe3O4) in the Fe3O4@TiO2 sample was set to 4:1, which was named FT.
2.3. Characterization
The crystalline structure was detected by X-ray diffraction (XRD, Empyrean) utilizing Cu-Kα radiation (λ = 1.54056 Å). Microscopic morphology was observed on a scanning electron microscope (FESEM, JSM-7610F plus, JEOL, Japan). Chemical compositions were characterized using energy-dispersive spectroscopy (EDS, XFlash, Bruker, Germany), and to avoid the influence of carbon tape, a silicon background was chosen for the EDS tests. Functional group structures were identified by Fourier-transform infrared measurements (FT-IR, Nicolet iS50, Thermofisher, USA). Surface area and pore structure were analyzed at 77K according to Brunauer–Emmett–Teller (BET, ASAP2020HD88, Micromeritics, USA). Elemental composition and chemical states were measured by X-ray photoelectron spectroscopy (XPS, Escalab 250xi, Thermofisher, USA). Magnetic hysteresis curves were detected by a magnetometer (VSM, VersaLab, Quantum Design, USA) at 300 K. The mineralization degree was tested using a total organic carbon (TOC) analyzer (TOC-4200, Shimadzu, Japan) for solutions with different degradation times. The Zeta potential value of FTC-15 was measured by a Zeta potential analyzer (Nano-ZS90, Malvern, UK). The absorption spectra and diffuse reflectance spectroscopy (DRS) were recorded by a UV–Vis spectrophotometer (UV-2550, Shimadzu, Japan). Photoluminescence spectra (PL) and time-resolved photoluminescence (TRPL) spectra were obtained by a spectrophotometer (FluoroMax-4, Jobin Yvon, France). The intermediates formed in the TC degradation process were explored by the LC–MS technique (1290 II-6460, Agilent, USA). Electrochemical impedance spectroscopy (EIS), transient photocurrent (TPC) responses, and Mott–Schottky plots were measured by an electrochemical workstation (PGSTAT302N, Metrohm Autolab, Utrecht, The Netherlands).
2.4. Photocatalytic Experiments
Photocatalytic degradation experiments on Fe3O4@TiO2/g-C3N4 were conducted under simulated solar light (250W Xenon lamp, CEAULIGHT, China) irradiation using the TC solution as a model contaminant. Typically, 50 mg FTC was introduced into 50 mL TC solution (C0 = 50 mg·L−1). After stirring under dark conditions for 30 min, adsorption equilibrium between the pollutant molecule and photocatalyst was accomplished. Afterward, the reaction suspension was totally exposed under a Xenon lamp (at a distance of 15 cm). In each test, the TC solution was continuously magnetically stirred at 150 rpm to ensure homogeneity. To evaluate the photocatalytic performance, absorbance at 275 and 357 nm of the solution was measured at different reaction times by a UV–Vis spectrophotometer. Finally, the photocatalytic degradation efficiency (P%) was calculated as follows.
where P is the removal rate, and C0 and Ce are the TC concentrations before and after photocatalytic degradation.
To further explore the FTC photocatalysts degradation mechanism, a free radical capture experiment was performed by adding scavengers (1 mM) such as isopropyl alcohol (IPA), benzoquinone (BQ), and ethylenediaminetetraacetic acid (EDTA) to the suspension under UV–Vis light irradiation. In addition, to examine the structural stability and reusability of the photocatalyst, the previously utilized FTC-15 photocatalyst was magnetically separated and washed, then used for the next cycle.
3. Results and Discussion
3.1. Structure and Morphology Analysis
Figure 1 shows the XRD patterns of Fe3O4, FT (Fe3O4@TiO2), and FTC (Fe3O4@TiO2/g-C3N4). According to Figure 1a, the diffraction peaks at 12.8° and 26.6° correspond to the (100) and (002) planes of g-C3N4 (JCPDS 87-1526) [], while the peaks at 30.0°, 35.5°, 43.1°, 56.9°, and 62.6° in Figure 1b are attributed to the (220), (311), (400), (511), and (440) planes of Fe3O4 (JCPDS 19-0629). After coating the TiO2 (Figure 1c), some new characteristic peaks appeared at 25.3°, 47.9°, and 54.9°, corresponding to the (101), (200), and (105) planes of anatase phase TiO2 (JCPDS 21-1272), which means that Fe3O4@TiO2 microspheres were synthesized successfully. As illustrated in Figure 1d–g, the peak positions of the FTC samples are similar to the FT, except that the peak intensity of TiO2 and Fe3O4 slightly decreases from FTC-5 to FTC-20. Additionally, due to the low crystallization and content of g-C3N4, its diffraction peak is not obvious in the FTC-5 and FTC-10 samples, but weaker peaks can be found in the FTC-15 and FTC-20 samples, proving that g-C3N4 exists. These results suggest that the Fe3O4@TiO2/g-C3N4 photocatalyst has been successfully synthesized.

Figure 1.
XRD patterns of (a) g-C3N4, (b) Fe3O4, (c) FT, (d) FTC-5, (e) FTC-10, (f) FTC-15, (g) FTC-20.
Figure 2 presents the morphology and composition of Fe3O4, FT (Fe3O4@TiO2), and FTC-15 (Fe3O4@TiO2/g-C3N4). As shown in Figure 2a, the Fe3O4 sample exhibits a well-dispersed microsphere morphology with a rough surface and an average diameter of about 200 nm. After coating with TiO2, the FT sample still maintains a spherical morphology, but its surface becomes smooth (Figure 2b) [,,]. After the further introduction of g-C3N4 (Figure 2c), extensive layered sheets appeared around the FT microspheres, indicating that FTC-15 has been successfully obtained, which is further demonstrated by the EDS spectrum in Figure 2d. Apart from the Fe, O, and Ti elements, C and N elements can be clearly observed in the FTC-15 composite. Here, a strong Si element peak signal originates from the silicon substrate. In order to further explore the elemental distributions, EDS mapping images of Fe, O, Ti, C, and N elements in FTC-15 are shown in Figure 3. It can be seen that each element is uniformly dispersed in the FTC-15, which aligns with the SEM and XRD results.

Figure 2.
SEM images of (a) Fe3O4, (b) FT, (c) FTC-15; (d) EDS spectrum of FTC-15 sample.

Figure 3.
EDS mapping images of (a) Fe, (b) O, (c) Ti, (d) C, and (e) N elements in FTC-15 sample.
Figure 4 exhibits the FT-IR spectra of the different samples. For the Fe3O4 sample (Figure 4a), a Fe-O bond stretching vibration appeared at 609 cm−1 []. For the FT sample, some absorption peaks appearing at 3419 and 1635 cm−1 in Figure 4b correspond to O-H bond vibrations, and the absorption peak at 609 cm−1 becomes stronger and wider, which may be caused by the overlapping stretching vibrations of the Ti-O and Fe-O bonds since their absorption peak positions are close to each other []. For the FTC-15 sample, some new absorption peaks appear between 1243 and 1635 cm−1, which may be attributed to g-C3N4 heterocycle stretching vibrations (Figure 4c) []. Moreover, compared with the FT sample, the absorption peak at 609 cm−1 in the FTC sample shifts to 580 cm−1, suggesting an interaction between TiO2 and g-C3N4, which is related to the enhanced photocatalytic activity.

Figure 4.
FT-IR spectra of (a) Fe3O4, (b) FT, and (c) FTC-15.
Figure 5 illustrates the N2 adsorption–desorption isotherms and pore structures of different samples. As shown in Figure 5a, all the FTC samples exhibit typical IV isotherms with H3-type hysteresis loops (according to the IUPAC classification) in the range of P/P0 = 0.4–1.0, indicating mesoporous structures generated by layered aggregates []. However, the FT sample exhibits an H4 hysteresis loop, indicating that both microporous and mesoporous structures exist. Furthermore, specific surface area, pore volume, and average pore size were calculated by the BET method, and the results are shown in Table 1. The BET surface area, pore volume, and average pore size gradually increase as the g-C3N4 content increases from 5% to 15%, but slightly decrease when it reaches 20%. This might be ascribed to the fact that the extensive layered g-C3N4 in the sample is beneficial for increasing the number of pores, but when g-C3N4 is excessive, the overlapping layers will block some pores. The pore size distribution (Figure 5b) also shows that, compared with the FT sample, the distribution of 5–50 nm pores increased in the FTC samples, especially in the FTC-15 sample, which helps to accommodate more TC molecules and promote the interaction between the FTC-15 and TC molecules, thus improving degradation efficiency.

Figure 5.
(a) N2 adsorption–desorption isotherms and (b) pore size distribution of FT and FTC samples.

Table 1.
BET surface, pore volume, and average pore size of FT and FTC samples.
The elemental composition and chemical states of the FTC-15 sample were analyzed using XPS. As depicted in Figure 6a, the FTC-15 displays signals attributed to Fe, O, Ti, N, and C elements in the survey spectra, confirming the successful synthesis of the composite. For the Fe 2p spectrum in Figure 6b, the spin–orbit energy between these peaks is approximately 13.7 eV, confirming that both Fe2+ and Fe3+ exist in the FTC-15 sample []. Additionally, the Fe 2p satellite peaks are at about 733 eV and 717.9 eV. Specifically, the binding energies at 723.9 eV (Fe 2p1/2) and 710.3 eV (Fe 2p3/2) are ascribed to Fe2+, while those at 726.8 eV (Fe 2p1/2) and 712.6 eV (Fe 2p3/2) are ascribed to Fe3+, representing that a Fe-O bond exists in the FTC-15 [,]. For the O 1s spectrum in Figure 6c, the characteristic peak observed at 531.3 eV corresponds to the surface -OH groups, while the peak observed at 529.7 eV is associated with the lattice Ti/Fe-O bonds [,]. In the Ti 2p spectrum (Figure 6d), two characteristic peaks at around 464.2 eV and 458.5 eV correspond to Ti 2p1/2 and Ti 2p3/2, respectively. The spin–orbit energy between these two peaks is approximately 5.7 eV, indicating that Ti4+ exists on its surface []. Figure 6e illustrates two peaks in the N 1s spectrum at 400.2 eV and 398.6 eV, originating from the binding energies of ternary N-(C)3 and C=N-C bonds, respectively [,]. In Figure 6f, three C 1s peaks located at 288 eV, 285.7 eV, and 284.4 eV are attributed to N=C-N, ternary C-(N)3, and sp2 C-C bonds, respectively, which are associated with the layered g-C3N4 deposited on its surface [,,,]. These findings align with the results obtained from the XRD and FT-IR results.

Figure 6.
XPS spectra of FTC-15: (a) survey spectra, (b) Fe 2p, (c) O 1s, (d) Ti 2p, (e) N 1s, and (f) C 1s.
The magnetic hysteresis curves of the Fe3O4 and FTC-15 samples were measured by VSM. As shown in Figure 7, all the samples exhibit super-paramagnetic features with negligible residual magnetization (Mr) and coercivity (Hc). The magnetization saturation (Ms) value of pure Fe3O4 is 72.14 emu·g−1. After further coating, the Ms value of the FTC-15 sample is reduced to 35.73 emu·g−1, which is mainly due to the low mass fraction of Fe3O4 in the FTC-15. This phenomenon has also been found in a previous report []. In addition, as shown in the right corner of Figure 7, FTC-15 can be rapidly separated under an external magnetic field within 30 s. This excellent magnetic feature provides a straightforward method for separating and recycling FTC-15 photocatalysts from reaction solutions.

Figure 7.
Magnetic hysteresis curves of Fe3O4 and FTC-15 (300 K).
3.2. Photocatalytic Performance
Figure 8 shows the surface charge properties and TC degradation rate of FTC-15 under different pH conditions. As shown in Figure 8a, the Zeta potential value of FTC-15 gradually decreases with increasing pH and reaches the zero point charge (ZPC) at pH = 5.6. The FTC-15 surface is positively charged when the pH value is less than 5.6, and negatively charged when the pH value is more than 5.6. As shown in Figure 8b, the TC degradation rate presents a trend of first increasing and then decreasing as the pH value increases, and it reaches the maximum value when pH = 5. When the pH value is between 3 and 4, the TC exists as TC-HCl0 and TC-HCl+, which are repulsive to the positively charged FTC-15, thus affecting the photocatalytic degradation process []. When the pH value reaches 5, the TC exists as TC-HCl0 and TC-HCl−, so a weak electrostatic adsorption force is generated between the TC-HCl− and FTC-15, thus accelerating the TC degradation process []. When the pH value is between 6 and 8, the TC mainly exists as TC-HCl−, so electrostatic repulsion occurs again between TC-HCl− and negatively charged FTC-15, weakening the TC degradation process. Considering that the initial pH value of the TC solution is about 5.1, the pH adjustment is eliminated during the subsequent degradation process.

Figure 8.
(a) Zeta potential and (b) TC degradation rate of FTC-15 under different pH levels.
In order to investigate photocatalytic performance, photodegradation experiments were conducted. As shown in Figure 9a,b, photocatalytic degradation efficiency gradually decreases when increasing TC concentration. When the initial concentration is 25 mg/L, TC is completely degraded within 30 min, which is unsuitable for the subsequent kinetics due to the short time. When TC concentration increases from 50 mg/L to 125 mg/L, the reaction rate decreases from 0.024 min−1 to 0.0077 min−1, and this long reaction time is also not conducive to further performance study. Therefore, 50 mg/L is chosen for the subsequent experiments. As presented in Figure 9c, the TC degradation rate is extremely slow without a photocatalyst present, indicating the high chemical stability of TC. After adding FT and FTC photocatalysts, the TC content slightly decreased after stirring in a dark condition for 30 min, due to the adsorption effect caused by abundant pore structure in the photocatalysts. Furthermore, it can be observed that the TC content shows a rapid downward trend under UV–Vis irradiation. As the g-C3N4 content in the FTC photocatalyst increases from 5% to 15%, the TC degradation rate gradually increases and is better than with FT, which may be related to the heterojunction structure between TiO2 and g-C3N4. However, when the g-C3N4 content reaches 20%, the TC degradation rate decreases slightly, which may be attributed to the excessively layered g-C3N4 deposited on the TiO2 surface, forming a thick and relatively tight coating, which blocks some pores and prevents the active catalytic site on the TiO2 surface from fully contacting the TC molecules, thereby adversely affecting the photocatalytic degradation reaction [,]. Also, the half-life period of TC during photocatalytic degradation by FT is estimated to be 38.72 min, while it is reduced to 25.13 min by FTC-15, which suggests that g-C3N4 can largely promote the degradation process.

Figure 9.
(a) Effect of initial TC concentration on FTC-15 photocatalytic performance and (b) first-order kinetic curves. (c) Effect of g-C3N4 content on TC degradation (50 mg/L) and (d) first-order kinetic curves. (e) TC degradation rate on different photocatalysts. (f) Absorption spectra of TC with FTC-15.
The first-order kinetics fitting curves for the TC degradation rate on different photocatalysts are described according to the following equation []:
where C0 and C represent the TC concentration at initial and t time, and k is the degradation rate constant (min−1). As shown in Figure 9d, the k value of FTC-15 is two times higher than FT. Also, Figure 9e showed that the degradation rates are as follows: FTC-15 (98%) > FT (87%) > FTC-20 (83%) > FTC-10 (81%) > FTC-5 (71%). Meanwhile, in order to evaluate the mineralization degree during the photocatalytic reaction, the TOC test results are shown in Figure S1. When the photocatalytic reaction is carried out for 120 min, the TOC value of FT is 30.8%, while that of FTC-15 reaches 42.7%, indicating that FTC-15 has a stronger mineralization performance. In addition, the adsorption spectra of TC with FTC-15 (Figure 9f) show that when expanding irradiation time, the absorption peaks at 275 and 357 nm gradually decrease, and TC contaminant is close to complete degradation at 120 min [], which confirms that 120 min is an appropriate time to degrade TC by FTC-15.
Diffuse reflectance spectra (DRS) were conducted to further investigate the optical absorption properties of FT and FTC-15. As demonstrated in Figure 10a, the absorption band edge of FTC-15 redshifts to the visible region closer than the TiO2 and FT samples, indicating that g-C3N4 can expand the optical absorption range and promote electron/hole pair generation, which helps to improve its photocatalytic activity under UV–Vis light irradiation. The band gap energy (Eg) was determined using the Kubelka–Munk formula, as given below []:
where A is the optical constant associated with the substrate material, hv is the incident photon energy, and α is the absorption coefficient. As shown in Figure 10b, the Eg values of FT, FTC-15, TiO2, and g-C3N4 can be obtained by linear fitting of (αhν)2 versus hν, which are estimated to be 3.29, 2.84, 3.47, and 2.90 eV, respectively. It means that the visible light-harvesting capacity of FTC-15 is much higher than FT, confirming that g-C3N4 is beneficial for improving the optical absorption performance during the photocatalytic process. Meanwhile, in order to reveal the interfacial charge recombination behavior, the PL spectra of pure g-C3N4 and FTC-15 were measured under 343 nm excitation at room temperature. As shown in Figure 10c, a strong peak centered at around 460 nm is primarily ascribed to the n-π* electronic transitions in g-C3N4 []. For FTC-15, its spectral shape closely resembles pure g-C3N4, whereas the peak intensity is reduced notably, indicating a lower photoinduced electron/hole recombination rate in FTC-15 [], as further demonstrated by the TRPL decay spectra shown in Figure 10d. The average lifetime can be calculated as follows:
where τ1 and τ2 are lifetimes, and A1 and A2 are amplitude constants []. It can be observed that the photoinduced electron/hole lifetimes of FTC-15 (5.41 ns) are much higher than g-C3N4 (4.02 ns), confirming a better photoinduced electron/hole transport ability. As a result, this easily clarifies that FTC-15 shows an enhanced photocatalytic efficiency during TC degradation.

Figure 10.
(a) UV–Vis diffuse reflection spectra and (b) plots of (αhv)2 vs. photon energy (hv) of FT, FTC-15, TiO2, and g-C3N4 samples; (c) PL spectra and (d) TRPL decay spectra of g-C3N4 and FTC-15 samples under 343 nm excitation.
In order to further reveal the degradation mechanism, a free radical capture experiment was performed by adding equal molar amounts of IPA, BQ, and EDTA scavenger reagents for ·OH, ·O2−, and h+, respectively []. Figure 11 illustrates the TC photodegradation rates with different radical scavengers. Compared with the blank experiment, the TC degradation rate changed weakly after adding IPA but significantly reduced after adding EDTA and BQ. Especially in the presence of BQ, photocatalytic activity decreased from 98% to 38%. This indicates that ·O2− and h+ are the predominant influential active species in the TC degradation reaction, while OH has relatively little effect.

Figure 11.
TC photodegradation rate with different radical scavengers.
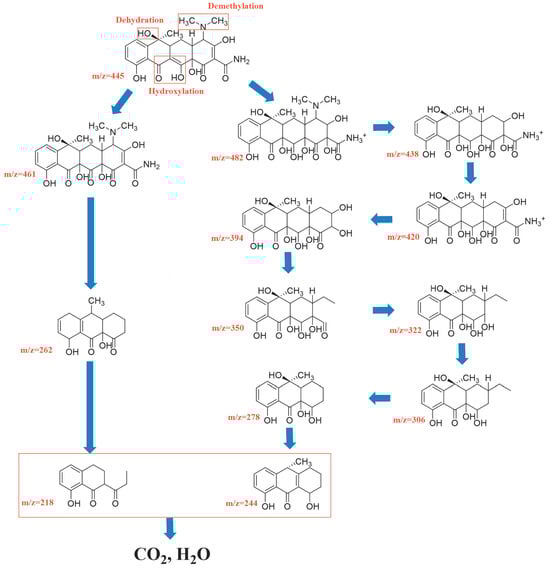
The intermediates formed during the TC degradation process were explored by the LC–MS technique. In Figure 12a, a strong peak at m/z = 445 is ascribed to the protonated tetracycline molecule (TC-H+) by stripping Cl− ions []. After degradation for 60 min (Figure 12b), the peak intensity at m/z = 445 decreased significantly, while new peaks appeared at m/z = 482, 461, 438, 420, 394, 350, 322, 306, 278, and 262, indicating that the TC began to be degraded and formed small molecule intermediates through dehydration, demethylation, and hydroxylation []. After degradation for 120 min (Figure 12c), the peaks at m/z = 482, 461, and 445 almost disappeared, while the peak intensity at m/z = 322, 306, 278, and 262 increased, and some new peaks appeared at m/z = 244 and 218. These results suggest that intermediates can be further degraded until they are finally mineralized into CO2 and H2O, which is consistent with TOC test results []. The possible reaction pathway during TC degradation is shown in Figure 13.

Figure 12.
Mass spectra of TC degradation with FTC-15 under (a) 0 min, (b) 60 min, (c) 120 min.

Figure 13.
The possible reaction pathway during TC degradation.
EIS profiles, TPC responses, and Mott–Schottky plots of the as-prepared samples were measured by the electrochemical workstation. As presented in Figure 14a, the arc radius of the Nyquist curve for FTC-15 is much lower than FT, confirming its smaller impedance ability and higher photoinduced charge carrier separation rate []. Meanwhile, the TPC responses in Figure 14b indicate that the photocurrent density of FTC-15 is much higher than FT, indicating its better-photoinduced charge carrier transport ability []. These results further validate that the heterojunction between TiO2 and g-C3N4 can largely enhance photocatalytic performance. According to Figure 14c, the conduction band (ECB) edge potential of g-C3N4 and TiO2 are estimated to be −0.40 and −0.31 V (vs. NHE), thus the valence band (EVB) edge potential of g-C3N4 and TiO2 can be calculated to be +2.5 and +3.16 V (vs. NHE), respectively, by using the formula EVB = ECB + Eg. From the aforementioned results, a possible photocatalytic degradation mechanism is shown in Figure 14d. Due to extensive well-dispersed mesoporous structures and active sites such as hydroxyl groups on the FT and FTC-15 samples, TC molecules can be adsorbed onto their surfaces in a darkroom adsorption process. Subsequently, under Xenon lamp irradiation, TC molecules undergo photocatalytic degradation. For the FT sample, TiO2 can absorb ultraviolet light and produce photoinduced electron (e−)/hole (h+) pairs, while Fe3O4 acts as an electron acceptor, reduces the e−/h+ pairs recombination rate on TiO2, and also provides magnetic recycling conditions for photocatalysts, thus prolonging the catalyst lifetime [,,]. For the FTC-15 sample, g-C3N4 in the sample can absorb visible light and produce photoinduced e−/h+ pairs. Considering the ECB of TiO2 is more positive than g-C3N4, e− on g-C3N4 CB can readily transfer to TiO2 through the heterojunction structure. Meanwhile, h+ on the TiO2 valence band (VB) can also transfer to g-C3N4 through the heterojunction structure due to the EVB of g-C3N4 being more negative than TiO2, thereby extending the photoinduced charge carrier’s lifetime [,]. In addition, the photoinduced electrons accumulated on the conduction band (CB) of TiO2 and g-C3N4 can reduce dissolved O2 into ·O2−. Subsequently, predominant influential active species (O2− and h+) further oxidize and decompose TC pollutants. Here, h+ does not react with H2O to generate OH since the g-C3N4 VB level is more negative than ·OH/H2O (2.68 V vs. NHE) [], which is in agreement with the free radical capture experiment results.

Figure 14.
(a) EIS profiles, (b) TPC responses, and (c) Mott–Schottky plots of different samples, and (d) schematic diagrams for the photocatalytic degradation mechanism.
To evaluate the stability and reusability of FTC-15, the previously utilized FTC-15 photocatalyst was magnetically separated and washed, then used for the next cycle. Figure 15 reveals that FTC-15 continues to exhibit a high degradation efficiency of 86.9%, thereby showing a notable reusability after five cycles. Here, this slight decrease can be ascribed to a small quantity loss of photocatalyst throughout the regeneration process. Furthermore, as depicted in Figure 16, the FTC-15 photocatalyst exhibits similar X-ray diffraction peaks before and after five cycles, suggesting that it has a stable crystal structure and composition. The above results show that the FTC-15 photocatalyst is an effective photocatalyst for TC degradation with high stability, excellent reusability, and easy recovery via an external magnetic field, which has potential application in antibiotic pollutants wastewater degradation.

Figure 15.
Photocatalytic activity of FTC-15 on repeated cycles.

Figure 16.
XRD patterns of FTC-15 photocatalyst (a) before usage and (b) after five cycles of usage.
4. Conclusions
Fe3O4@TiO2/g-C3N4 (FTC) photocatalysts were successfully synthesized and their photocatalytic performance was investigated by tetracycline (TC) degradation experiments. When the g-C3N4 content was 15% (FTC-15), the TC degradation rate reached 98%, obviously superior to the other samples. DRS, PL, and TRPL decay spectra results showed that this enhanced photocatalytic performance was primarily ascribed to the unique heterojunction structure formed between TiO2 and g-C3N4 in FTC-15, which helps to widen the visible light absorption range, as well as facilitate the charge transfer at the interface and improve the photoinduced electron/hole separation. Free radical trapping experiments demonstrate that ·O2− and h+ are the predominant active species in the TC degradation process. Moreover, FTC can be separated and reclaimed using a magnetic field applied externally, maintaining high degradation activity even after five consecutive cycles.
Supplementary Materials
The following supporting information can be downloaded at: https://www.mdpi.com/article/10.3390/w16101372/s1, Figure S1: Removal rate of TOC by FT and FTC-15 samples.
Author Contributions
Validation, Z.G.; formal analysis, R.L. and H.J.; investigation, M.L. and Y.Y.; data curation, W.Z. and M.L.; writing—original draft preparation, R.L.; writing—review and editing, J.C.; supervision, J.C. and Z.L.; project administration, J.C.; funding acquisition, J.C. All authors have read and agreed to the published version of the manuscript.
Funding
This work was supported by the Technology Development Plan of Jilin Province (NO. YDZJ202101ZYTS029).
Data Availability Statement
The data are contained within the article and Supplementary Materials.
Conflicts of Interest
The authors declare no conflicts of interest.
References
- Gaffar, S.; Kumar, A.; Alam, J.; Riaz, U. Efficient visible light-induced photocatalytic degradation of tetracycline hydrochloride using CuFe2O4 and PANI/CuFe2O4 nanohybrids. Environ. Sci. Pollut. Res. 2023, 30, 108878–108888. [Google Scholar] [CrossRef] [PubMed]
- Li, Y.; Chen, L.; Zhang, J.; Zhu, C.; Liu, L. Synergistic photocatalytic degradation of TC-HCl by Mn3+/Co2+/Bi2O3 and PMS. Inorg. Chem. Commun. 2023, 150, 110468. [Google Scholar] [CrossRef]
- Liu, Y.; Liu, N.; Lin, M.; Huang, C.; Lei, Z.; Cao, H.; Qi, F.; Ouyang, X.; Zhou, Y. Efficient visible-light-driven S-scheme AgVO3/Ag2S heterojunction photocatalyst for boosting degradation of organic pollutants. Environ. Pollut. 2023, 325, 121436. [Google Scholar] [CrossRef] [PubMed]
- Zhang, S.; Wang, J. Biodegradation of chlortetracycline by Bacillus cereus LZ01: Performance, degradative pathway and possible genes involved. J. Hazard. Mater. 2022, 434, 128941. [Google Scholar] [CrossRef] [PubMed]
- Sun, H.; Yang, J.; Wang, Y.; Liu, Y.; Cai, C.; Davarpanah, A. Study on the removal efficiency and mechanism of tetracycline in water using biochar and magnetic biochar. Coatings 2021, 11, 1354. [Google Scholar] [CrossRef]
- Miao, S.; Zhang, Y.; Xia, H.; Gao, H.; Tao, W.; Zhang, Z.; Huang, C.; Huang, L. Preparation of highly N-doped CoFeN by pyrolysis g-C3N4 for markedly enhanced Fenton degradation of MO and TC-HCl under visible illumination. Colloids Surf. A Physicochem. Eng. Asp. 2023, 664, 131192. [Google Scholar] [CrossRef]
- Lee, B.; Jo, E.S.; Park, D.W.; Choi, J. Submerged arc plasma system combined with ozone oxidation for the treatment of wastewater containing non-degradable organic compounds. Front. Environ. Sci. Eng. 2021, 15, 90. [Google Scholar] [CrossRef]
- Zhang, Y.; Li, Y.; Xu, W.; Cui, M.; Wang, M.; Chen, B.; Sun, Y.; Chen, K.; Li, L.; Du, Q. Filtration and adsorption of tetracycline in aqueous solution by copper alginate-carbon nanotubes membrane which has the muscle-skeleton structure. Chem. Eng. Res. Des. 2022, 183, 424–438. [Google Scholar] [CrossRef]
- Palanivel, B.; Hossain, M.S.; Raghu, M.; Kumar, K.Y.; Macadangdang, R.R., Jr.; Ubaidullah, M.; Prakash, C.; Bommireddy, P.R.; Park, S.H. Green synthesis of Fe2O3 deposited g-C3N4: Addition of rGO promoted Z-scheme ternary heterojunction for efficient photocatalytic degradation and H2 evolution reaction. Mater. Res. Bull. 2023, 162, 112177. [Google Scholar] [CrossRef]
- Ding, C.; Zhu, Q.; Yang, B.; Petropoulos, E.; Xue, L.; Feng, Y.; He, S.; Yang, L. Efficient photocatalysis of tetracycline hydrochloride (TC-HCl) from pharmaceutical wastewater using AgCl/ZnO/g-C3N4 composite under visible light: Process and mechanisms. J. Environ. Sci. 2023, 126, 249–262. [Google Scholar] [CrossRef]
- Eghbali, P.; Hassani, A.; Wacławek, S.; Lin, K.-Y.A.; Sayyar, Z.; Ghanbari, F. Recent advances in design and engineering of MXene-based catalysts for photocatalysis and persulfate-based advanced oxidation processes: A state-of-the-art review. Chem. Eng. J. 2023, 480, 147920. [Google Scholar] [CrossRef]
- Sagadevan, S.; Fatimah, I.; Egbosiuba, T.C.; Alshahateet, S.F.; Lett, J.A.; Weldegebrieal, G.K.; Le, M.V.; Johan, M.R. Photocatalytic efficiency of titanium dioxide for dyes and heavy metals removal from wastewater. Bull. Chem. React. Eng. Catal. 2022, 17, 430–450. [Google Scholar] [CrossRef]
- Paumo, H.K.; Dalhatou, S.; Katata Seru, L.M.; Kamdem, B.P.; Tijani, J.O.; Vishwanathan, V.; Kane, A.; Bahadur, I. TiO2 assisted photocatalysts for degradation of emerging organic pollutants in water and wastewater. J. Mol. Liq. 2021, 331, 115458. [Google Scholar] [CrossRef]
- Ly, N.H.; Vasseghian, Y.; Joo, S.W. Plasmonic photocatalysts for enhanced solar hydrogen production: A comprehensive review. Fuel 2023, 344, 128087. [Google Scholar] [CrossRef]
- Ren, Y.; Xing, S.; Wang, J.; Liang, Y.; Zhao, D.; Wang, H.; Wang, N.; Jiang, W.; Wu, S.; Liu, S. Weak-light-driven Ag-TiO2 photocatalyst and bactericide prepared by coprecipitation with effective Ag doping and deposition. Opt. Mater. 2022, 124, 111993. [Google Scholar] [CrossRef]
- Wahyuni, E.T. Remarkable enhancement of the TiO2 photocatalyst activity under visible light by doping sulfur for dye photodecolorization. Indian J. Chem. Technol. 2022, 29, 519–525. [Google Scholar]
- Trung, T.N.; Kieu, N.T.T.; Ho, D.Q.; Seo, D.B.; Kim, E.T. Understanding the doping mechanism of Sn in TiO2 nanorods toward efficient photoelectrochemical performance. J. Mater. Sci. 2023, 58, 2156–2169. [Google Scholar] [CrossRef]
- Heris, S.Z.; Etemadi, M.; Mousavi, S.B.; Mohammadpourfard, M.; Ramavandi, B. Preparation and characterizations of TiO2/ZnO nanohybrid and its application in photocatalytic degradation of tetracycline in wastewater. J. Photochem. Photobiol. A Chem. 2023, 443, 114893. [Google Scholar]
- Aich, S.; Mishra, M.; Sekhar, C.; Satapathy, D.; Roy, B. Synthesis of Al-doped Nano Ti-O scaffolds using a hydrothermal route on Titanium foil for biomedical applications. Mater. Lett. 2016, 178, 135–139. [Google Scholar] [CrossRef]
- Singh, V.; Rao, A.; Tiwari, A.; Yashwanth, P.; Lal, M.; Dubey, U.; Aich, S.; Roy, B. Study on the effects of Cl and F doping in TiO2 powder synthesized by a sol-gel route for biomedical applications. J. Phys. Chem. Solids 2019, 134, 262–272. [Google Scholar] [CrossRef]
- Hasham Firooz, M.; Naderi, A.; Moradi, M.; Kalantary, R.R. Enhanced tetracycline degradation with TiO2/natural pyrite S-scheme photocatalyst. Sci. Rep. 2024, 14, 4954. [Google Scholar] [CrossRef] [PubMed]
- Mahamud, M.; Taddesse, A.M.; Bogale, Y.; Bezu, Z. Zeolite supported CdS/TiO2/CeO2 composite: Synthesis, characterization and photocatalytic activity for methylene blue dye degradation. Mater. Res. Bull. 2023, 161, 112176. [Google Scholar] [CrossRef]
- Tang, Y.; Li, T.; Xiao, W.; Huang, Z.; Wen, H.; Situ, W.; Song, X. Degradation mechanism and pathway of tetracycline in milk by heterojunction N-TiO2-Bi2WO6 film under visible light. Food Chem. 2023, 401, 134082. [Google Scholar] [CrossRef] [PubMed]
- Huang, Q.; Guo, X.; Fu, Y.; Yang, L.; Meng, J. Study on the performance of g-C3N4 composite TiO2 photocatalyst. Mater. Lett. 2024, 136119. [Google Scholar] [CrossRef]
- Reddy, N.S.; Vijitha, R.; Naidu, B.R.; Rao, K.K.; Chang Sik, H.; Venkateswarlu, K. Benchmarking recent advances in hydrogen production using g-C3N4-based photocatalysts. Nano Energy 2023, 111, 108402. [Google Scholar]
- Hao, R.; Wang, G.; Tang, H.; Sun, L.; Xu, C.; Han, D. Template-free preparation of macro/mesoporous g-C3N4/TiO2 heterojunction photocatalysts with enhanced visible light photocatalytic activity. Appl. Catal. B Environ. 2016, 187, 47–58. [Google Scholar] [CrossRef]
- Lu, Z.; Zeng, L.; Song, W.; Qin, Z.; Zeng, D.; Xie, C. In situ synthesis of C-TiO2/g-C3N4 heterojunction nanocomposite as highly visible light active photocatalyst originated from effective interfacial charge transfer. Appl. Catal. B Environ. 2017, 202, 489–499. [Google Scholar] [CrossRef]
- Hassani, A.; Faraji, M.; Eghbali, P. Facile fabrication of mpg-C3N4/Ag/ZnO nanowires/Zn photocatalyst plates for photodegradation of dye pollutant. J. Photochem. Photobiol. A Chem. 2020, 400, 112665. [Google Scholar] [CrossRef]
- Wang, W.; Zhang, M.; Zhao, B.; Liu, L.; Han, R.; Wang, N. Synthesis of Bi2WO6/g-C3N4 photocatalyst and high degradation of Rhodamine B under visible light irradiation. Pigment Resin Technol. 2022, 51, 91–100. [Google Scholar] [CrossRef]
- Rani, M.; Shanker, U. Sun-light driven rapid photocatalytic degradation of methylene blue by poly (methyl methacrylate)/metal oxide nanocomposites. Colloids Surf. A Physicochem. Eng. Asp. 2018, 559, 136–147. [Google Scholar] [CrossRef]
- Shanker, U.; Rani, M.; Jassal, V. Degradation of hazardous organic dyes in water by nanomaterials. Environ. Chem. Lett. 2017, 15, 623–642. [Google Scholar] [CrossRef]
- Xu, Q.; Liu, L.; Wei, J.; Xu, G.; Dai, J.; Fang, D.; Liu, J. The magnetically separable Pd/C3N4/Fe3O4 nanocomposite as a bifunctional photocatalyst for tetracycline degradation and hydrogen evolution. Colloids Surf. A Physicochem. Eng. Asp. 2022, 641, 128404. [Google Scholar] [CrossRef]
- Karim, M.R.; Mohammad, A.; Cho, M.H.; Yoon, T. Synergistic performance of Fe3O4/SnO2/rGO nanocomposite for supercapacitor and visible light-responsive photocatalysis. Int. J. Energy Res. 2022, 46, 6517–6528. [Google Scholar] [CrossRef]
- Ameen, F.; Aygun, A.; Seyrankaya, A.; Tiri, R.N.E.; Gulbagca, F.; Kaynak, İ.; Majrashi, N.; Orfali, R.; Dragoi, E.N.; Sen, F. Photocatalytic investigation of textile dyes and E. coli bacteria from wastewater using Fe3O4@MnO2 heterojunction and investigation for hydrogen generation on NaBH4 hydrolysis. Environ. Res. 2023, 220, 115231. [Google Scholar] [CrossRef] [PubMed]
- Yang, L.; Ying, J.; Liu, Z.; Xu, X.; Sun, Y.; Yu, J.; Chen, G.; Qu, X. Synthesis of 1D magnetic Fe3O4@ SiO2/TiO2 nanostir bar photocatalyst for the degradation of MB under UV light. Mater. Lett. 2024, 364, 136344. [Google Scholar] [CrossRef]
- Asiri, A.M.; Raza, A.; Shahzad, M.K.; Adeosun, W.A.; Khan, S.B.; Alamry, K.A.; Marwani, H.M.; Alotaibi, M.M.; Zakeeruddin, S.M.; Grätzel, M. Construction of Fe3O4 bridged Pt/g-C3N4 heterostructure with enhanced solar to fuel conversion. Appl. Surf. Sci. 2022, 592, 153159. [Google Scholar] [CrossRef]
- Jing, J.; Li, J.; Feng, J.; Li, W.; William, W.Y. Photodegradation of quinoline in water over magnetically separable Fe3O4/TiO2 composite photocatalysts. Chem. Eng. J. 2013, 219, 355–360. [Google Scholar] [CrossRef]
- Rafieezadeh, M.; Kianfar, A.H. Fabrication of heterojunction ternary Fe3O4/TiO2/CoMoO4 as a magnetic photocatalyst for organic dyes degradation under sunlight irradiation. J. Photochem. Photobiol. A Chem. 2022, 423, 113596. [Google Scholar] [CrossRef]
- Zhang, Q.; Yu, L.; Xu, C.; Zhang, W.; Chen, M.; Xu, Q.; Diao, G. A novel method for facile preparation of recoverable Fe3O4@TiO2 core-shell nanospheres and their advanced photocatalytic application. Chem. Phys. Lett. 2020, 761, 138073. [Google Scholar] [CrossRef]
- Farahbakhsh, S.; Parvari, R.; Zare, A.; Mahdizadeh, H.; Faizi, V.; Saljooqi, A. Preparation of biochar based on grapefruit peel and magnetite decorated with cadmium sulfide nanoparticles for photocatalytic degradation of chlorpyrifos. Diam. Relat. Mater. 2022, 126, 109130. [Google Scholar] [CrossRef]
- Han, K.H.; Kim, Y.H.; Pak, I.H.; Yu, J.H.; Ho, I.C.; Han, R.H. Fe3O4@SiO2@TiO2@PDA nanocomposite for the degradation of organic materials. Chem. Eng. Technol. 2022, 45, 178–188. [Google Scholar] [CrossRef]
- Bao, L.; Han, J.; Wang, H.; Liu, R.; Qiu, M.; Hu, B. High efficient photoreduction of U(VI) by a new synergistic photocatalyst of Fe3O4 nanoparticle on GO/g-C3N4 composites. J. Mater. Res. Technol. 2022, 18, 4248–4255. [Google Scholar] [CrossRef]
- Sing, K.S. Reporting physisorption data for gas/solid systems with special reference to the determination of surface area and porosity. Pure Appl. Chem. 1985, 57, 603–619. [Google Scholar] [CrossRef]
- Wang, S.; Long, J.; Jiang, T.; Shao, L.; Li, D.; Xie, X.; Xu, F. Magnetic Fe3O4/CeO2/g-C3N4 composites with a visible-light response as a high efficiency Fenton photocatalyst to synergistically degrade tetracycline. Sep. Purif. Technol. 2021, 278, 119609. [Google Scholar] [CrossRef]
- Lee, D.E.; Devthade, V.; Moru, S.; Jo, W.K.; Tonda, S. Magnetically sensitive TiO2 hollow sphere/Fe3O4 core-shell hybrid catalyst for high-performance sunlight-assisted photocatalytic degradation of aqueous antibiotic pollutants. J. Alloys Compd. 2022, 902, 163612. [Google Scholar] [CrossRef]
- Tang, R.; Gong, D.; Zhou, Y.; Deng, Y.; Feng, C.; Xiong, S.; Huang, Y.; Peng, G.; Li, L. Unique g-C3N4/PDI-g-C3N4 homojunction with synergistic piezo-photocatalytic effect for aquatic contaminant control and H2O2 generation under visible light. Appl. Catal. B Environ. 2022, 303, 120929. [Google Scholar] [CrossRef]
- Zhang, X.; Ren, B.; Li, X.; Liu, B.; Wang, S.; Yu, P.; Xu, Y.; Jiang, G. High-efficiency removal of tetracycline by carbon-bridge-doped g-C3N4/Fe3O4 magnetic heterogeneous catalyst through photo-Fenton process. J. Hazard. Mater. 2021, 418, 126333. [Google Scholar] [CrossRef] [PubMed]
- Chen, Z.; Chen, H.; Wang, K.; Chen, J.; Li, M.; Wang, Y.; Tsiakaras, P.; Song, S. Enhanced TiO2 Photocatalytic 2 e– Oxygen Reduction Reaction via Interfacial Microenvironment Regulation and Mechanism Analysis. ACS Catal. 2023, 13, 6497–6508. [Google Scholar] [CrossRef]
- Paul, D.R.; Gautam, S.; Panchal, P.; Nehra, S.P.; Choudhary, P.; Sharma, A. ZnO-Modified g-C3N4: A Potential Photocatalyst for Environmental Application. ACS Omega 2020, 5, 3828–3838. [Google Scholar] [CrossRef]
- Van, K.N.; Huu, H.T.; Thi, V.N.N.; Le Thi, T.L.; Truong, D.H.; Truong, T.T.; Dao, N.N.; Vo, V.; Vasseghian, Y. Facile construction of S-scheme SnO2/g-C3N4 photocatalyst for improved photoactivity. Chemosphere 2022, 289, 133120. [Google Scholar] [CrossRef]
- Zhang, M.; Han, N.; Fei, Y.; Liu, J.; Xing, L.; Núñez-Delgado, A.; Jiang, M.; Liu, S. TiO2/g-C3N4 photocatalyst for the purification of potassium butyl xanthate in mineral processing wastewater. J. Environ. Manag. 2021, 297, 113311. [Google Scholar] [CrossRef] [PubMed]
- Fan, G.; Ning, R.; Yan, Z.; Luo, J.; Du, B.; Zhan, J.; Liu, L.; Zhang, J. Double photoelectron-transfer mechanism in Ag-AgCl/WO3/g-C3N4 photocatalyst with enhanced visible-light photocatalytic activity for trimethoprim degradation. J. Hazard. Mater. 2021, 403, 123964. [Google Scholar] [CrossRef]
- Pan, Y.; Hu, X.; Bao, M.; Li, F.; Li, Y.; Lu, J. Fabrication of MIL-Fe(53)/modified g-C3N4 photocatalyst synergy H2O2 for degradation of tetracycline. Sep. Purif. Technol. 2021, 279, 119661. [Google Scholar] [CrossRef]
- Li, X.; Liu, P.; Li, J. Magnetically separable Fe3O4/mZrO2/Ag nanocomposites: Fabrication and photocatalytic activity. Colloids Surf. A Physicochem. Eng. Asp. 2022, 644, 128863. [Google Scholar] [CrossRef]
- Sun, S.; Yang, Z.; Cao, J.; Wang, Y.; Xiong, W. Copper-doped ZIF-8 with high adsorption performance for removal of tetracycline from aqueous solution. J. Solid State Chem. 2020, 285, 121219. [Google Scholar] [CrossRef]
- Zhou, Y.; Jiang, D.; Wang, Z.; Yi, L.; Sun, J.; Liu, D.; Yu, X.; Chen, Y. Bandgap engineering of carbon nitride by formic acid assisted thermal treatment for photocatalytic degradation of tetracycline hydrochloride. Chem. Eng. J. 2024, 485, 149830. [Google Scholar] [CrossRef]
- Li, Y.; Liu, M.; Zhang, M.; Liu, Y.; Zhao, Q.; Li, X.; Zhou, Q.; Chen, Y.; Wang, S. Preparation of g-C3N4/TiO2 Heterojunction Composite Photocatalyst by NaCl Template Method and Its Photocatalytic Performance Enhancement. Nano 2023, 18, 2350009. [Google Scholar] [CrossRef]
- Wang, Y.; Zhang, H.; Chen, L. Ultrasound enhanced catalytic ozonation of tetracycline in a rectangular air-lift reactor. Catal. Today 2011, 175, 283–292. [Google Scholar] [CrossRef]
- Xin, X.; Lang, J.; Wang, T.; Su, Y.; Zhao, Y.; Wang, X. Construction of novel ternary component photocatalyst Sr0.25H1.5Ta2O6·H2O coupled with g-C3N4 and Ag toward efficient visible light photocatalytic activity for environmental remediation. Appl. Catal. B Environ. 2016, 181, 197–209. [Google Scholar] [CrossRef]
- Habibi-Yangjeh, A.; Mousavi, M.; Nakata, K. Boosting visible-light photocatalytic performance of g-C3N4/Fe3O4 anchored with CoMoO4 nanoparticles: Novel magnetically recoverable photocatalysts. J. Photochem. Photobiol. A Chem. 2019, 368, 120–136. [Google Scholar] [CrossRef]
- Wang, W.; Fang, J.; Shao, S.; Lai, M.; Lu, C. Compact and uniform TiO2@g-C3N4 core-shell quantum heterojunction for photocatalytic degradation of tetracycline antibiotics. Appl. Catal. B Environ. 2017, 217, 57–64. [Google Scholar] [CrossRef]
- Dong, H.; Zuo, Y.; Song, N.; Hong, S.; Xiao, M.; Zhu, D.; Sun, J.; Chen, G.; Li, C. Bimetallic synergetic regulating effect on electronic structure in cobalt/vanadium co-doped carbon nitride for boosting photocatalytic performance. Appl. Catal. B Environ. 2021, 287, 119954. [Google Scholar] [CrossRef]
- Ni, S.; Fu, Z.; Li, L.; Ma, M.; Liu, Y. Step-scheme heterojunction g-C3N4/TiO2 for efficient photocatalytic degradation of tetracycline hydrochloride under UV light. Colloids Surf. A Physicochem. Eng. Asp. 2022, 649, 129475. [Google Scholar] [CrossRef]
- Gu, W.; Li, Q.; Zhu, H.; Zou, L. Facile interface engineering of hierarchical flower spherical-like Bi-metal-organic framework microsphere/Bi2MoO6 heterostructure for high-performance visible-light photocatalytic tetracycline hydrochloride degradation. J. Colloid Interface Sci. 2022, 606, 1998–2010. [Google Scholar] [CrossRef] [PubMed]
- Shen, H.; Fu, F.; Xue, W.; Yang, X.; Ajmal, S.; Zhen, Y.; Guo, L.; Wang, D.; Chi, R. In situ fabrication of Bi2MoO6/Bi2MoO6-x homojunction photocatalyst for simultaneous photocatalytic phenol degradation and Cr (VI) reduction. J. Colloid Interface Sci. 2021, 599, 741–751. [Google Scholar] [CrossRef] [PubMed]
- Munawar, T.; Yasmeen, S.; Hasan, M.; Mahmood, K.; Hussain, A.; Ali, A.; Arshad, M.; Iqbal, F. Novel tri-phase heterostructured ZnO-Yb2O3-Pr2O3 nanocomposite; structural, optical, photocatalytic and antibacterial studies. Ceram. Int. 2020, 46, 11101–11114. [Google Scholar] [CrossRef]
- Kumar, S.; Shakya, J.; Mohanty, T. Probing interfacial charge transfer dynamics in MoS2/TiO2 nanocomposites using scanning Kelvin probe for improved photocatalytic response. Surf. Sci. 2020, 693, 121530. [Google Scholar] [CrossRef]
- Wang, Y.; Yang, W.; Chen, X.; Wang, J.; Zhu, Y. Photocatalytic activity enhancement of core-shell structure g-C3N4@TiO2 via controlled ultrathin g-C3N4 layer. Appl. Catal. B Environ. 2018, 220, 337–347. [Google Scholar] [CrossRef]
- Li, J.; Liu, Y.; Li, H.; Chen, C. Fabrication of g-C3N4/TiO2 composite photocatalyst with extended absorption wavelength range and enhanced photocatalytic performance. J. Photochem. Photobiol. A Chem. 2016, 317, 151–160. [Google Scholar] [CrossRef]
Disclaimer/Publisher’s Note: The statements, opinions and data contained in all publications are solely those of the individual author(s) and contributor(s) and not of MDPI and/or the editor(s). MDPI and/or the editor(s) disclaim responsibility for any injury to people or property resulting from any ideas, methods, instructions or products referred to in the content. |
© 2024 by the authors. Licensee MDPI, Basel, Switzerland. This article is an open access article distributed under the terms and conditions of the Creative Commons Attribution (CC BY) license (https://creativecommons.org/licenses/by/4.0/).