Water Quality Indicator for Adaptability to Global Climate Change in Andean Highland Ecosystems
Abstract
1. Introduction
2. Materials and Methods
2.1. The Study Area
2.2. Experimental Design
2.3. Determination of Water Quality
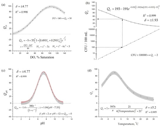
2.3.1. Water Quality Index—National Sanitation Foundation
2.3.2. Andean Biotic Index (ABI)
2.3.3. The New Andean Biotic Index, ABI*
- Identifying the best region for ABI* calibration.
- a.
- The raw data from each replicate were transformed into a single WQINSF numerical value (Equation (1)).
- b.
- The WQINSF values were grouped according to each study region.
- c.
- An Anderson–Darling normality test was conducted to determine if the WQINSF values in each study region followed a normal distribution.
- d.
- The probability of water quality being C5, C4, C3, C2, and C1 in each study region was calculated following Equation (12).
- e.
- The water quality category with the highest probability was assigned to each study region.
- f.
- The study region’s sigma level value associated with the highest probability class was calculated following Equation (13).
- g.
- The region in which the water quality was measured with the highest degree of precision, indicated by the highest sigma level value, was designated as the reference region for ABI* calibration.
- ABI* calibration
- a.
- Raw data were transformed into a numerical value in correspondence with WQINSF, ABI, and ABI* non-calibrated (ABI*NC) (initially using the score values provided by ABI) (Figure 2).
- b.
- c.
- The total number of classes obtained for each sampling point was achieved by summing the classes in each replicate. The results for each replicate were organized as shown in Figure 3.
- d.
- The total classes obtained for each study region were achieved by summing the classes at each sampling point. The results for each replicate were organized as shown in Figure 3.
- e.
- The total classes obtained for the entire study region were achieved by summing the classes in each study region. The total results were organized as shown in Figure 3.
- f.
- Spearman’s correlation coefficient between pairs of indicators in each study region and the entire data set was determined.
- g.
- The ABI* scores were adjusted so that when applied following the ABI* calibration process, the correlation between the results of applying the ABI* and the WQINSF in the reference region is one.
- h.
- The calibrated ABI* was applied to the remaining study regions, and the correlation between the three indicators was confirmed.
2.4. Data Processing
3. Results
3.1. The WQINSF Uncertainty
3.2. The WQINSF Accuracy
3.3. Parameters Measured and Water Quality
4. Discussion and Conclusions
4.1. The WQINSF Uncertainty and Accuracy
4.2. The Proposed Water Quality Index ABI*
Author Contributions
Funding
Institutional Review Board Statement
Informed Consent Statement
Data Availability Statement
Acknowledgments
Conflicts of Interest
References
- Wu, Z.; Lai, X.; Li, K. Water Quality Assessment of Rivers in Lake Chaohu Basin (China) Using Water Quality Index. Ecol. Indic. 2021, 121, 107021. [Google Scholar] [CrossRef]
- Zhang, F.; Zeng, C.; Zhang, Q.; Yao, T. Securing Water Quality of the Asian Water Tower. Nat. Rev. Earth Environ. 2022, 3, 611–612. [Google Scholar] [CrossRef]
- Ustaoğlu, F.; Tepe, Y.; Taş, B. Assessment of Stream Quality and Health Risk in a Subtropical Turkey River System: A Combined Approach Using Statistical Analysis and Water Quality Index. Ecol. Indic. 2020, 113, 105815. [Google Scholar] [CrossRef]
- Parween, S.; Siddique, N.A.; Mahammad Diganta, M.T.; Olbert, A.I.; Uddin, M.G. Assessment of Urban River Water Quality Using Modified NSF Water Quality Index Model at Siliguri City, West Bengal, India. Environ. Sustain. Indic. 2022, 16, 100202. [Google Scholar] [CrossRef]
- Garrick, D.E.; Hall, J.W.; Dobson, A.; Damania, R.; Grafton, R.Q.; Hope, R.; Hepburn, C.; Bark, R.; Boltz, F.; De Stefano, L.; et al. Valuing Water for Sustainable Development. Science 2017, 358, 1003–1005. [Google Scholar] [CrossRef]
- Su, K.; Wang, Q.; Li, L.; Cao, R.; Xi, Y. Water Quality Assessment of Lugu Lake Based on Nemerow Pollution Index Method. Sci. Rep. 2022, 12, 13613. [Google Scholar] [CrossRef]
- Seddon, N. Harnessing the Potential of Nature-Based Solutions for Mitigating and Adapting to Climate Change. Science 2022, 376, 1410–1416. [Google Scholar] [CrossRef]
- Uddin, M.G.; Nash, S.; Rahman, A.; Olbert, A.I. A Comprehensive Method for Improvement of Water Quality Index (WQI) Models for Coastal Water Quality Assessment. Water Res. 2022, 219, 118532. [Google Scholar] [CrossRef]
- Noori, R.; Berndtsson, R.; Hosseinzadeh, M.; Adamowski, J.F.; Abyaneh, M.R. A Critical Review on the Application of the National Sanitation Foundation Water Quality Index. Environ. Pollut. 2019, 244, 575–587. [Google Scholar] [CrossRef]
- Uddin, M.G.; Nash, S.; Olbert, A.I. A Review of Water Quality Index Models and Their Use for Assessing Surface Water Quality. Ecol. Indic. 2021, 122, 107218. [Google Scholar] [CrossRef]
- Nong, X.; Shao, D.; Zhong, H.; Liang, J. Evaluation of Water Quality in the South-to-North Water Diversion Project of China Using the Water Quality Index (WQI) Method. Water Res. 2020, 178, 115781. [Google Scholar] [CrossRef]
- Sun, W.; Xia, C.; Xu, M.; Guo, J.; Sun, G. Application of Modified Water Quality Indices as Indicators to Assess the Spatial and Temporal Trends of Water Quality in the Dongjiang River. Ecol. Indic. 2016, 66, 306–312. [Google Scholar] [CrossRef]
- Noori, R.; Karbassi, A.; Khakpour, A.; Shahbazbegian, M.; Badam, H.M.K.; Vesali-Naseh, M. Chemometric Analysis of Surface Water Quality Data: Case Study of the Gorganrud River Basin, Iran. Environ. Model. Assess. 2012, 17, 411–420. [Google Scholar] [CrossRef]
- Noori, R.; Sabahi, M.S.; Karbassi, A.R.; Baghvand, A.; Zadeh, H.T. Multivariate Statistical Analysis of Surface Water Quality Based on Correlations and Variations in the Data Set. Desalination 2010, 260, 129–136. [Google Scholar] [CrossRef]
- Zhang, Y.; Wu, L.; Ren, H.; Deng, L.; Zhang, P. Retrieval of Water Quality Parameters from Hyperspectral Images Using Hybrid Bayesian Probabilistic Neural Network. Remote Sens. 2020, 12, 1567. [Google Scholar] [CrossRef]
- Kulk, G.; George, G.; Abdulaziz, A.; Menon, N.; Theenathayalan, V.; Jayaram, C.; Brewin, R.J.W.; Sathyendranath, S. Effect of Reduced Anthropogenic Activities on Water Quality in Lake Vembanad, India. Remote Sens. 2021, 13, 1631. [Google Scholar] [CrossRef]
- Jin, W.; Li, Y.; Lu, L.; Zhang, D.; He, S.; Shentu, J.; Chai, Q.; Huang, L. Water Quality Assessment of East Tiaoxi River, China, Based on a Comprehensive Water Quality Index Model and Monte-Carlo Simulation. Sci. Rep. 2022, 12, 10042. [Google Scholar] [CrossRef]
- Abbasi, T.; Abbasi, S.A. Water Quality Indices; Elsevier, B.V.: Oxford, UK, 2012; p. 0536. ISBN 9781119130536. [Google Scholar]
- Bhadrecha, M.H.; Khatri, N.; Tyagi, S. Rapid Integrated Water Quality Evaluation of Mahisagar River Using Benthic Macroinvertebrates. Environ. Monit. Assess. 2016, 188, 254. [Google Scholar] [CrossRef]
- Ríos-Touma, B.; Acosta, R.; Prat, N. The Andean Biotic Index (ABI): Revised Tolerance to Pollution Values for Macroinvertebrate Families and Index Performance Evaluation. Rev. Biol. Trop. 2014, 62, 249–273. [Google Scholar] [CrossRef]
- Wu, Z.; Kong, M.; Cai, Y.; Wang, X.; Li, K. Index of Biotic Integrity Based on Phytoplankton and Water Quality Index: Do They Have a Similar Pattern on Water Quality Assessment? A Study of Rivers in Lake Taihu Basin, China. Sci. Total Environ. 2019, 658, 395–404. [Google Scholar] [CrossRef]
- Atazadeh, I.; Sharifi, M.; Kelly, M.G. Evaluation of the Trophic Diatom Index for Assessing Water Quality in River Gharasou, Western Iran. Hydrobiologia 2007, 589, 165–173. [Google Scholar] [CrossRef]
- Coletti, C.; Testezlaf, R.; Ribeiro, T.A.; de Souza, R.T.G.; Pereira, D.D.A. a Water Quality Index Using Multivariate Factorial Analysis. Rev. Bras. Eng. Agric. Ambient. 2010, 14, 517–522. [Google Scholar] [CrossRef]
- APHA. Standard Methods for the Examination of Water and Wastewater, 21st ed; American Public Health Association: Washington, DC, USA, 2005. [Google Scholar]
- Oram, B. Calculating NSF Water Quality Index. Water Research Center: Monitoring the Quality of Surface Waters. Available online: https://water-research.net/index.php/water-treatment/water-monitoring/monitoring-the-quality-of-surfacewaters (accessed on 10 January 2023).
- Bhuyan, N.K.; Sahu, B.; Rout, S.P. Assessment of Water Quality Index in Subarnarekha River Basin in and around Jharkhand Area. IOSR J. Environ. Sci. Toxicol. Food Technol. 2014, 8, 39–45. [Google Scholar] [CrossRef]
- Effendi, H.; Romanto, Y.W. Water Quality Status of Ciambulawung River, Banten Province, Based on Pollution Index and NSF-WQI. Procedia Environ. Sci. 2015, 24, 228–237. [Google Scholar] [CrossRef]
- Otto, W.R. Environmental Indices: Theory and Practice; Ann Arbor Science Publischer Inc.: Ann Arbor, MI, USA, 1978. [Google Scholar]
- Sharifi, M. Assessment of Surface Water Quality by an Index System in Anzali Basin. In Proceedings of the Hydrological Basis for Water Resources Management, Beijing, China, 23–26 October 1990; IAHS; IAHS Publication: Wallingford, UK, 1990; Volume 197, pp. 163–171. [Google Scholar]
- Weisstein, E.W. CRC Concise Encyclopedia of Mathematics; Chapman and Hall/CRC: Boca Raton, FL, USA, 2002. [Google Scholar]
- WHO. Guidelines for Drinking-Water Quality, 4th ed.World Health Organization: Geneva, Switzerland, 2017. [Google Scholar]
- Lowe, L.; Szemis, J.; Webb, J.A. Uncertainty and Environmental Water; Elsevier Inc.: Amsterdam, The Netherlands, 2017; ISBN 9780128039458. [Google Scholar]
- Beven, K. Facets of Uncertainty: Epistemic Uncertainty, Non-Stationarity, Likelihood, Hypothesis Testing, and Communication. Hydrol. Sci. J. 2016, 61, 1652–1665. [Google Scholar] [CrossRef]
- Ollis, D.J.; Dalls, H.F.; Esler, K.; Boucher, C. Bioassessment of the ecological integrity of river ecosystems using aquatic macroinvertebrates: An overview with a focus on South Africa. Afr. J. Aquat. Sci. 2006, 31, 205–227. [Google Scholar] [CrossRef]
- Sandin, L.; Hering, D.; BuffagnI, A.; Lorenz, A.; Moog, O.; Rolauffs, P.; Stubauer, I. The Development and Testing of an Integrated Assessment System for the Ecological Quality of Streams and Rivers throughout Europe, Using Benthic Macroinvertebrates; AQEM: Montréal, QC, Canada, 2001. [Google Scholar]
- Metzeling, L.; Chessman, B.; Hardwick, R.; Wong, V. Rapid Assessment of Rivers Using Macroinvertebrates: The Role of Experience, and Comparisons with Quantitative Methods. Hydrobiologia 2003, 510, 39–52. [Google Scholar] [CrossRef]







| Ozogoche | Juval | Zula | |
|---|---|---|---|
| UTM coordinates South Zone 17, Datum WGS84 | X: 766830 Y: 9751550 | X: 765232 Y: 9732190 | X: 754418 Y: 9747920 |
| Area, ha | 12088 | 59271 | 25330 |
| Altitude, m.a.s.l. | 3760–4600 | 2000–3765 | 2690–4420 |
| Precipitation, mm/year | 1000–1200 | 1500–2500 | 600–1200 |
| Population, people | 6190 | 854 | 752 |
| Ecosystem | Herbaceos páramo | Ceja Andina Andean Evergreen Forest. Montane Andean Evergreen Forest. Herbaceous páramo | Herbaceous páramo |
| Productive activity | Agriculture, livestock, and fish farming | Agriculture and grazing | Agriculture, grazing, and forest plantations |
| Parameters | Unit | Weights, wi |
|---|---|---|
| Dissolved oxygen (DO) | % Saturation (DO%) | 0.17 |
| Fecal coliform density (FC) | CFU/100 mL | 0.15 |
| pH | u.a. | 0.12 |
| Biochemical oxygen demand at 5 days (BOD5) | mg L−1 | 0.10 |
| Nitrate—nitrogen | mg L−1 (N) | 0.10 |
| Total Phosphate | mg L−1 (P) | 0.10 |
| Temperature (T) | °C | 0.10 |
| Turbidity | NTU | 0.08 |
| Total solids (TS) | mg L−1 | 0.08 |
| Classes | Water quality | Range | Comment |
|---|---|---|---|
| C5 | Excellent | 90 < WQINSF ≤ 100 | Clear water is ideal for fish and wildlife without contact with domestic waste. |
| C4 | Good | 70 < WQINSF ≤ 90 | Significant water quality changes begin due to environmental degradation and contact with domestic and agricultural wastes. |
| C3 | Medium | 50 < WQINSF ≤ 70 | Drastic changes in water quality begin to occur. Some natural functions may be affected. Some of the biotic communities may begin to shift. Structural changes in the benthic macroinvertebrate community are likely to occur. |
| C2 | Bad | 25 < WQINSF ≤ 50 | Dangerous changes can occur in the ecosystem. Groups resistant to contamination colonize the ecosystem. May cause the death of vertebrates and other consumers. |
| C1 | Very Bad | 0 ≤ WQINSF ≤ 25 | Unacceptable levels of contamination. Represents a threat in whatever form it is consumed. It creates a heterotrophic community in water. |
| Order | Family | ABI Score (ABI* Score) | Order | Family | ABI Score (ABI* Score) |
|---|---|---|---|---|---|
| Turbellaria | 5 | Trichoptera | Helicopsychidae | 10 | |
| Hirudinea | 3 | Calamoceratidae | 10 (8) | ||
| Oligochaeta | 1 | Odontoceridae | 10 (8) | ||
| Gastropoda | Ancylidae | 6 | Leptoceridae | 8 | |
| Physidae | 3 | Polycentropodidae | 8 | ||
| Hyrobiidae | 3 | Hydroptilidae | 8 | ||
| Limnaedae | 3 | Xiphocentronidae | 7 | ||
| Planorbidae | 3 | Hydrobiosidae | 5 | ||
| Ostracoda | 3 | Glossosomatidae | 7 | ||
| Ephemeroptera | Beatidae | 4 | Hydropsychidae | 5 | |
| Leptophlebiidae | 10 (8) | Anomalopsychidae | 10 | ||
| Leptohyphidae | 7 | Anomalopsychidae | 8 | ||
| Oligoneuridae | 10 | Limnephilidae | 7 | ||
| Odonata | Aeshnidae | 6 | Lepidoptera | Pyralidae | 4 |
| Gomphidae | 8 | Hydrophilidae | 3 | ||
| Libellulidae | 6 | Hydraenidae | 5 | ||
| Coenagrionidae | 6 | Diptera | Blepharoceridae | 10 (8) | |
| Caloterygidae | 8 | Simuliidae | 5 | ||
| Polythoridae | 10 | Tabanidae | 4 | ||
| Plecoptera | Perlidae | 10 (8) | Tipulidae | 5 | |
| Gripopterygidae | 10 | Limoniidae | 4 | ||
| Coleoptera | Ptilodactylidae | 5 | Ceratopogonidae | 4 | |
| Lampyridae | 5 | Dixidae | 4 | ||
| Psephenidae | 5 | Psychodidae | 3 | ||
| Scirtidae | 5 | Dolichopodidae | 4 | ||
| Staphylinidae | 3 | Stratiomyidae | 4 | ||
| Elmidae | 5 (7) | Empididae | 4 | ||
| Dryopidae | 5 | Chironomidae | 2 | ||
| Gyrinidae | 3 | Culicidae | 2 | ||
| Dytiscidae | 3 | Muscidae | 2 | ||
| Heteroptera | Veliidae | 5 | Ephydridae | 2 | |
| Gerridae | 5 | Athericidae | 10 | ||
| Corixidae | 5 | Syrphidae | 1 | ||
| Notonectidae | 5 | Bivalvia | Sphaeriidae | 3 | |
| Belostomatidae | 4 | Amphipoda | Hyalellidae | 6 (7) | |
| Naucoridae | 5 | Hydracarina | 4 |
| Class | Classification | Range |
|---|---|---|
| C5 | Excellent | 96 < ABI |
| C4 | Good | 61 < ABI ≤ 96 |
| C3 | Medium | 36 < ABI ≤ 61 |
| C2 | Bad | 15 < ABI ≤ 36 |
| C1 | Very Bad | ABI ≤ 15 |
| zSL Sigma. | “Water Quality Class” Probability, Pr | “No Water Class ”Probability, 1 − Pr | X water Class Outcome Wrong out of Y Outcome, X/Y |
|---|---|---|---|
| 1 | 0.6827 | 0.3173 | 1/3 |
| 2 | 0.9545 | 0.0455 | 1/22 |
| 3 | 0.9973 | 0.0027 | 1/370 |
| 4 | 0.9999 | 0.0001 | 1/15787 |
| Parameter | Ozogoche | Juval-Hight | Juval | Zula |
|---|---|---|---|---|
| Samples, N | 129 | 71 | 30 | 60 |
| Physical | ||||
| Temperature, °C | 10.87 (2.24) | 10.70 (1.90) | 11.74 (1.15) | 11.95 (2.25) |
| Turbidity, NTU | 1.82 (2.13) | 12.01 (36.93) | 1.57 (1.40) | 17.48 (57.69) |
| Total Solids, mg L−1 | 141.57 (139.02) | 216.04 (247.57) | 119.77 (45.51) | 214.77 (161.65) |
| Chemical | ||||
| pH | 7.77 (0.46) | 7.81 (0.59) | 7.93 (0.39) | 8.09 (0.32) |
| Electrical Conductivity μS cm−1 | 57.44 (14.88) | 101.41 (35.16) | 79.52 (41.49) | 105.93 (62.48) |
| Dissolved Oxigen,% saturation | 60.34 (11.21) | 62.95 (10.03) | 69.85 (5.36) | 63.81 (7.60) |
| Total Phosphates, mg L−1 | 1.12 (1.17) | 2.52 (12.12) | 1.29 (0.72) | 1.34 (1.41) |
| Nitrates , mg L−1 | 0.18 (0.34) | 0.20 (0.39) | 0.03 (0.02) | 0.10 (0.17) |
| Microbiological | ||||
| 5-day Biochemical Oxygen Demand (BOD5), mg L−1 | 1.99 (1.47) | 2.13 (1.56) | 2.49 (1.04) | 1.81 (0.81) |
| Fecal Coliform density, CFU/100 mL | 4.57 (6.05) | 4.85 (4.81) | 2.47 (2.00) | 6.08 (5.44) |
| Mean WQINSF (standard deviation, σ) | 75.21 (3.88) | 74.59 (4.80) | 76.69 (3.50) | 73.33 (4.80) |
| ± 3.46 | ± 3.46 | ± 3.46 | ± 3.46 | |
| Mean water class | C4 (Good) | C4 (Good) | C4 (Good) | C4 (Good) |
| WQINSF values are normally distributed | yes | yes | yes | yes |
| C5, “excellent” class probability Pr (1 − Pr) | 0.000 (1.000) | 0.001 (0.999) | 0.000 (1.000) | 0.000 (1.000) |
| C4, “good” class probability Pr (1 − Pr) | 0.910 (0.090) | 0.830 (0.170) | 0.972 (0.028) | 0.755 (0.244) |
| C3, ”medium” class probability Pr (1 − Pr) | 0.000 (1.000) | 0.170 (0.830) | 0.028 (0.972) | 0.028 (0.972) |
| C2, ”bad” class probability Pr (1 − Pr) | 0.000 (1.000) | 0.000 (1.000) | 0.000 (1.000) | 0.000 (1.000) |
| C1, “very bad” probability Pr (1 −Pr) | 0.000 (1.000) | 0.000 (1.000) | 0.000 (1.000) | 0.000 (1.000) |
| X1 “No good” outcome up to X2 “good” outcome water quality class, X1/X2 | 1/11 | 1/6 | 1/36 | 1/5 |
| Sigma-level zSL for C4 “good” water quality | 1.75 | 1.35 | 2.10 | 1.10 |
| WQINSF | ABI | ABI* Before Calibration, ABI*NC | ABI* After Calibration, ABI* | |||||||||||||||||||||||
|---|---|---|---|---|---|---|---|---|---|---|---|---|---|---|---|---|---|---|---|---|---|---|---|---|---|---|
| Label | River Current Feature | Height (m.a.s.l.) | C5 | C4 | C3 | C2 | C1 | C5 | C4 | C3 | C2 | C1 | C5 | C4 | C3 | C2 | C1 | C5 | C4 | C3 | C2 | C1 | ||||
| Ozogoche | ||||||||||||||||||||||||||
| COP01 | flat | 3759 | 0 | 8 | 2 | 0 | 0 | 0 | 0 | 1 | 4 | 5 | 0 | 1 | 8 | 1 | 0 | 0 | 9 | 0 | 1 | 0 | ||||
| COP02 | flat | 3737 | 0 | 11 | 0 | 0 | 0 | 0 | 0 | 1 | 5 | 5 | 0 | 5 | 5 | 1 | 0 | 0 | 10 | 0 | 1 | 0 | ||||
| COP03 | flat | 3709 | 0 | 10 | 1 | 0 | 0 | 0 | 0 | 0 | 8 | 3 | 0 | 4 | 6 | 0 | 1 | 0 | 10 | 0 | 0 | 1 | ||||
| COP04 | flat | 3520 | 0 | 9 | 2 | 0 | 0 | 0 | 0 | 3 | 4 | 4 | 0 | 6 | 5 | 0 | 0 | 0 | 10 | 1 | 0 | 0 | ||||
| COP05 | flat | 3538 | 0 | 7 | 4 | 0 | 0 | 0 | 0 | 2 | 5 | 4 | 1 | 8 | 2 | 0 | 0 | 0 | 11 | 0 | 0 | 0 | ||||
| COP06 | flat | 3484 | 0 | 7 | 4 | 0 | 0 | 0 | 0 | 1 | 7 | 3 | 0 | 2 | 9 | 0 | 0 | 0 | 8 | 3 | 0 | 0 | ||||
| CPIP1 | flat | 3948 | 0 | 8 | 0 | 0 | 0 | 0 | 0 | 0 | 6 | 2 | 0 | 4 | 4 | 0 | 0 | 0 | 8 | 0 | 0 | 0 | ||||
| CPIP2 | rapid | 3867 | 0 | 8 | 0 | 0 | 0 | 0 | 0 | 0 | 5 | 3 | 0 | 3 | 5 | 0 | 0 | 0 | 8 | 0 | 0 | 0 | ||||
| CPIP3 | rapid | 3861 | 0 | 8 | 0 | 0 | 0 | 0 | 0 | 1 | 6 | 1 | 1 | 5 | 2 | 0 | 0 | 0 | 8 | 0 | 0 | 0 | ||||
| CPIP4 | rapid | 3853 | 0 | 8 | 0 | 0 | 0 | 0 | 0 | 0 | 8 | 0 | 0 | 8 | 0 | 0 | 0 | 0 | 8 | 0 | 0 | 0 | ||||
| CPIP5 | flat | 3812 | 0 | 8 | 0 | 0 | 0 | 0 | 0 | 2 | 5 | 1 | 2 | 5 | 1 | 0 | 0 | 0 | 8 | 0 | 0 | 0 | ||||
| CPIP6 | flat | 3794 | 0 | 8 | 0 | 0 | 0 | 0 | 0 | 1 | 6 | 1 | 2 | 5 | 1 | 0 | 0 | 0 | 8 | 0 | 0 | 0 | ||||
| CPIP7 | flat | 3692 | 0 | 8 | 0 | 0 | 0 | 0 | 0 | 1 | 4 | 3 | 1 | 5 | 2 | 0 | 0 | 0 | 8 | 0 | 0 | 0 | ||||
| CPIP8 | rapid | 3601 | 0 | 7 | 1 | 0 | 0 | 0 | 0 | 1 | 4 | 3 | 0 | 4 | 4 | 0 | 0 | 0 | 7 | 1 | 0 | 0 | ||||
| Average Height → | 3727 | 0 | 115 | 14 | 0 | 0 | 0 | 0 | 14 | 77 | 38 | 7 | 65 | 54 | 2 | 1 | 0 | 121 | 5 | 2 | 1 | |||||
| Juval-Hight | ||||||||||||||||||||||||||
| CJP00 | flat | 3130 | 0 | 1 | 0 | 0 | 0 | 0 | 0 | 1 | 0 | 0 | 0 | 1 | 0 | 0 | 0 | 0 | 1 | 0 | 0 | 0 | ||||
| CJP01 | flat | 3130 | 0 | 5 | 0 | 0 | 0 | 0 | 0 | 0 | 5 | 0 | 2 | 2 | 1 | 0 | 0 | 0 | 4 | 1 | 0 | 0 | ||||
| CJP02 | flat | 3123 | 0 | 3 | 0 | 0 | 0 | 0 | 0 | 0 | 2 | 1 | 1 | 0 | 2 | 0 | 0 | 0 | 2 | 1 | 0 | 0 | ||||
| CJP03 | flat | 3160 | 0 | 3 | 1 | 0 | 0 | 0 | 0 | 1 | 3 | 0 | 1 | 3 | 0 | 0 | 0 | 0 | 4 | 0 | 0 | 0 | ||||
| CJP04 | flat | 3117 | 0 | 3 | 1 | 0 | 0 | 0 | 0 | 1 | 2 | 1 | 1 | 0 | 3 | 0 | 0 | 0 | 4 | 0 | 0 | 0 | ||||
| CPP01 | flat | 3697 | 0 | 9 | 0 | 0 | 0 | 0 | 1 | 1 | 5 | 2 | 1 | 4 | 4 | 0 | 0 | 0 | 7 | 2 | 0 | 0 | ||||
| CPP02 | flat | 3233 | 0 | 7 | 1 | 0 | 0 | 0 | 0 | 2 | 4 | 2 | 0 | 7 | 1 | 0 | 0 | 0 | 7 | 1 | 0 | 0 | ||||
| CPP03 | flat | 3180 | 0 | 8 | 1 | 0 | 0 | 0 | 0 | 2 | 3 | 4 | 0 | 9 | 0 | 0 | 0 | 0 | 9 | 0 | 0 | 0 | ||||
| CPP04 | flat | 3114 | 0 | 8 | 1 | 0 | 0 | 0 | 0 | 0 | 6 | 3 | 1 | 6 | 1 | 1 | 0 | 0 | 7 | 1 | 1 | 0 | ||||
| CSP01 | rapid | 3181 | 0 | 4 | 3 | 0 | 0 | 0 | 0 | 2 | 1 | 4 | 1 | 4 | 1 | 1 | 0 | 0 | 5 | 1 | 1 | 0 | ||||
| CSP02 | rapid | 3131 | 0 | 4 | 1 | 0 | 0 | 0 | 0 | 1 | 3 | 1 | 1 | 3 | 1 | 0 | 0 | 0 | 4 | 1 | 0 | 0 | ||||
| CTP01 | rapid | 3186 | 0 | 6 | 1 | 0 | 0 | 0 | 0 | 2 | 2 | 3 | 2 | 4 | 0 | 0 | 1 | 0 | 6 | 0 | 0 | 1 | ||||
| Average Height → | 3199 | 0 | 61 | 10 | 0 | 0 | 0 | 1 | 13 | 36 | 21 | 11 | 43 | 14 | 2 | 1 | 0 | 60 | 8 | 2 | 1 | |||||
| Juval | ||||||||||||||||||||||||||
| QHUP1 | rapid | 2513 | 0 | 4 | 0 | 0 | 0 | 0 | 1 | 1 | 2 | 0 | 3 | 1 | 0 | 0 | 0 | 0 | 4 | 0 | 0 | 0 | ||||
| CJP05 | rapid | 2603 | 0 | 4 | 0 | 0 | 0 | 0 | 0 | 2 | 2 | 0 | 2 | 2 | 0 | 0 | 0 | 0 | 4 | 0 | 0 | 0 | ||||
| CJP06 | rapid | 2513 | 0 | 4 | 0 | 0 | 0 | 0 | 0 | 2 | 2 | 0 | 2 | 2 | 0 | 0 | 0 | 0 | 4 | 0 | 0 | 0 | ||||
| CJU01 | flat | 3350 | 0 | 4 | 0 | 0 | 0 | 0 | 0 | 1 | 3 | 0 | 0 | 4 | 0 | 0 | 0 | 0 | 4 | 0 | 0 | 0 | ||||
| QSCP1 | rapid | 2756 | 0 | 4 | 0 | 0 | 0 | 0 | 0 | 3 | 0 | 1 | 3 | 0 | 1 | 0 | 0 | 0 | 4 | 0 | 0 | 0 | ||||
| CTIP1 | flat | 2656 | 0 | 4 | 0 | 0 | 0 | 0 | 1 | 2 | 0 | 1 | 3 | 1 | 0 | 0 | 0 | 0 | 4 | 0 | 0 | 0 | ||||
| CYUP1 | flat | 3339 | 0 | 2 | 0 | 0 | 0 | 0 | 0 | 1 | 0 | 1 | 1 | 1 | 0 | 0 | 0 | 0 | 2 | 0 | 0 | 0 | ||||
| CYP01 | rapid | 3329 | 0 | 4 | 0 | 0 | 0 | 0 | 0 | 2 | 1 | 1 | 0 | 4 | 0 | 0 | 0 | 0 | 4 | 0 | 0 | 0 | ||||
| Average Height → | 2882 | 0 | 30 | 0 | 0 | 0 | 0 | 2 | 14 | 10 | 4 | 14 | 15 | 1 | 0 | 0 | 0 | 30 | 0 | 0 | 0 | |||||
| Zula | ||||||||||||||||||||||||||
| QAP01 | rapid | 3691 | 0 | 6 | 3 | 0 | 0 | 0 | 1 | 2 | 5 | 1 | 2 | 6 | 1 | 0 | 0 | 0 | 9 | 0 | 0 | 0 | ||||
| CAP01 | rapid | 3492 | 0 | 9 | 0 | 0 | 0 | 0 | 2 | 1 | 2 | 4 | 2 | 3 | 4 | 0 | 0 | 0 | 7 | 2 | 0 | 0 | ||||
| QHP01 | flat | 3451 | 0 | 7 | 2 | 0 | 0 | 0 | 1 | 2 | 5 | 1 | 1 | 3 | 5 | 0 | 0 | 0 | 7 | 2 | 0 | 0 | ||||
| CMP01 | rapid | 2691 | 0 | 6 | 2 | 0 | 0 | 0 | 0 | 3 | 2 | 3 | 3 | 1 | 4 | 0 | 0 | 0 | 6 | 2 | 0 | 0 | ||||
| CMP02 | rapid | 2655 | 0 | 6 | 2 | 0 | 0 | 0 | 0 | 2 | 0 | 6 | 2 | 0 | 4 | 1 | 1 | 0 | 4 | 2 | 1 | 1 | ||||
| QZP01 | flat | 3657 | 0 | 5 | 4 | 0 | 0 | 0 | 0 | 2 | 6 | 1 | 0 | 6 | 3 | 0 | 0 | 0 | 9 | 0 | 0 | 0 | ||||
| CZP01 | flat | 3630 | 0 | 7 | 1 | 0 | 0 | 0 | 0 | 1 | 5 | 2 | 0 | 5 | 2 | 1 | 0 | 0 | 6 | 1 | 1 | 0 | ||||
| Average Height → | 3324 | 0 | 46 | 14 | 0 | 0 | 0 | 4 | 13 | 25 | 18 | 10 | 24 | 23 | 2 | 1 | 0 | 48 | 9 | 2 | 1 | |||||
| Total → | 0 | 252 | 38 | 0 | 0 | 0 | 7 | 54 | 148 | 81 | 42 | 147 | 92 | 6 | 3 | 0 | 259 | 22 | 6 | 3 | ||||||
| Ozogoche | Juval-Hight | Juval | Zula | Total | ||
|---|---|---|---|---|---|---|
| ABI-WQINSF | Spearman correlation coefficient | −0.516 | −0.335 | −0.354 | −0.335 | −0.335 |
| p-Value | 0.373 | 0.581 | 0.559 | 0.581 | 0.581 | |
| ABI*NC-WQINSF | Spearman correlation coefficient | 0.894 | 0.894 | 0.725 | 0.894 | 0.894 |
| p-Value | 0.041 | 0.041 | 0.165 | 0.041 | 0.041 | |
| ABI*-WQINSF | Spearman correlation coefficient | 0.894 | 0.894 | 1 | 0.894 | 0.894 |
| p-Value | 0.041 | 0.041 | 0.001 | 0.041 | 0.041 | |
| ABI*NC-ABI | Spearman correlation coefficient | −0.718 | −0.600 | −0.564 | −0.600 | −0.600 |
| p-Value | 0.172 | 0.285 | 0.322 | 0.285 | 0.285 | |
| ABI*-ABI | Spearman correlation coefficient | −0.103 | 0.100 | −0.354 | 0.100 | 0.100 |
| p-Value | 0.870 | 0.873 | 0.559 | 0.873 | 0.873 |
Disclaimer/Publisher’s Note: The statements, opinions and data contained in all publications are solely those of the individual author(s) and contributor(s) and not of MDPI and/or the editor(s). MDPI and/or the editor(s) disclaim responsibility for any injury to people or property resulting from any ideas, methods, instructions or products referred to in the content. |
© 2023 by the authors. Licensee MDPI, Basel, Switzerland. This article is an open access article distributed under the terms and conditions of the Creative Commons Attribution (CC BY) license (https://creativecommons.org/licenses/by/4.0/).
Share and Cite
Márquez, C.O.; García, V.J.; Ríos, A.C. Water Quality Indicator for Adaptability to Global Climate Change in Andean Highland Ecosystems. Water 2023, 15, 857. https://doi.org/10.3390/w15050857
Márquez CO, García VJ, Ríos AC. Water Quality Indicator for Adaptability to Global Climate Change in Andean Highland Ecosystems. Water. 2023; 15(5):857. https://doi.org/10.3390/w15050857
Chicago/Turabian StyleMárquez, Carmen O., Victor J. García, and Anita C. Ríos. 2023. "Water Quality Indicator for Adaptability to Global Climate Change in Andean Highland Ecosystems" Water 15, no. 5: 857. https://doi.org/10.3390/w15050857
APA StyleMárquez, C. O., García, V. J., & Ríos, A. C. (2023). Water Quality Indicator for Adaptability to Global Climate Change in Andean Highland Ecosystems. Water, 15(5), 857. https://doi.org/10.3390/w15050857

