Abstract
The growth status, root exudates, radial oxygen loss, and sewage purification effect of plants acclimated with sewage and cultured with a nutrient solution were studied by selecting Acorus gramineus Aiton, Pistia stratiotes L., and Eichhornia crassipes (Mart.) Solms with the same individual size. The results showed that the root oxygen secretion rate of the Acorus gramineus Aiton was higher in light and dark conditions. For a single plant species, the oxygen secretion rate under light conditions was much higher than that under dark conditions. The root oxygen secretion rate of Acorus gramineus Aiton was the highest (2.03 µmol O2/h/plant), followed by Pistia stratiotes L. (1.68 µmol O2/h/plant), and the root oxygen secretion rate of Eichhornia crassipes (Mart.) Solms was the lowest (1.15 µmol O2/h/plant). After a period of adaptation, plants showed strong removal effects on COD, NH3-N, TN, and TP. The removal intensity was in the order of Acorus gramineus Aiton > Pistia stratiotes L. > Eichhornia crassipes (Mart.) Solms; the higher the temperature, the bigger the removal rate. These results were consistent with Acorus gramineus Aiton‘s organic matter secretion and radial oxygen loss, which were better than those of Pistia stratiotes L. and Eichhornia crassipes (Mart.) Solms. Three kinds of plants had better COD removal effects in an acidic environment and better TP removal effects in an alkaline environment. The results show that using the Acorus gramineus Aiton can achieve better remediation of polluted water bodies.
1. Introduction
A constructed wetland is an integrated ecosystem. It applies the principle of species coexistence and material recycling by promoting wastewater pollutants under the premise of a virtuous cycle. It gives full play to resource production potential, prevents environmental pollution, and obtains the best benefit of sewage treatment and reuse. It is widely used in urban and rural sewage treatment. Plants are the main component of constructed wetlands, and radial oxygen loss is one of the essential functions of plants in a constructed wetland. Wetland plants transport the oxygen produced by photosynthesis and the atmosphere’s gases to the plant root system through aerenchyma via pressure gradient and diffusion. Then, they adapt to the water environment and satisfy root respiration. Further, 30–40% of the oxygen is released to the rhizosphere microenvironment through the root tip part and lateral roots to provide oxygen for various REDOX reactions in the root microenvironment to reduce the damage from harmful substances to plant roots. This process is called radial oxygen loss (ROL), which [1] plays an essential role in wastewater purification in constructed wetlands. On the one hand, aerobic, facultative anaerobic, and anaerobic regions are formed in the root microenvironment. These provide suitable niches for various physical and chemical reactions and biological processes. On the other hand, oxidizing reductive substances in the root zone can promote the formation of iron and manganese oxide films on the root surface, thus, affecting the existing form and bioavailability of toxic substances and heavy metals in the medium [2].
As the central part of the wetland, studying the ROL of wetland plants is of great significance in improving the removal ability of pollutants [3,4,5]. The main sources of oxygen in root secretion are photosynthesis and oxygen exchange. Under light conditions, oxygen produced by photosynthesis is transported to plant roots by diffusion and barometric gradients within plant aerenchyma. Under dark conditions, oxygen from the atmosphere enters the plant through stomata and is transported to plant roots. In this paper, we select Acorus gramineus Aiton, Pistia stratiotes L., and Eichhornia crassipes (Mart.) Solms as experimental plants because they are the most widely used and have good anti-fouling effects. To explore the rule and mechanism of oxygen secretion, we use the titanium citrate colorimetric method to monitor the three plants’ ROL under both light and dark conditions. The effect of nitrogen, phosphorus, and organic matter in sewage purification was investigated at different temperatures by analyzing the vegetation in hydroponic conditions. To a certain extent, screening out the advantage of sewage treatment by vegetation can improve the conception of constructed wetlands and provide further information about these ecosystems.
2. Material and Methods
2.1. Plants and Hydroponic Methods
Seedlings of Acorus gramineus Aiton, Pistia stratiotes L., and Eichhornia crassipes (Mart.) Solms with the same biomass and individual size were selected. The plants were placed under running water to clean the soil from them and rinsed three times with distilled water. A 1L glass bottle filled with 800 mL of domestic sewage and nutrient solution was used as a hydroponic device. Each small bottle was filled with one healthy seedling, with three replicates of each plant, and cultivated under natural conditions. The main pollutant concentrations of sewage were 312.3 ± 8.15 mg/L(COD), 29.1 ± 1.85 mg/L(NH3-N), 31.29 ± 2.13 mg/L(TN), and 1.2 ± 0.3 mg/L(TP). The bottle and bottom were wrapped in tin foil for shading treatment. The pH was set to 6, 6.5, 7, 7.5, and 8, respectively, and the temperature was set to 10 °C, 15 °C, and 25 °C. Each beaker was established as a test system. Three parallel systems were set, and the system without vegetation was set as blank control. Samples were collected and analyzed every two days. The hydroponic experiment was continued for two weeks.
2.2. Evaluation Method of Radial Oxygen Loss
Many methods measure the ROL rate [6]. Because the test period is short, the titanium citrate colorimetric method is used to measure the oxygen release rate of roots [7,8,9]. The operation is as follows: 500 mL nutrient solution is poured into a 1L opaque wide-mouth bottle and then blown off for about 30 min with nitrogen to remove as much dissolved oxygen in the nutrient solution as possible. After 14 days of culture, the plants are removed from the hydroponic system and the roots are washed with deionized water to remove other foreign substances. Liquid paraffin is applied to the plant’s root base and inserted into the deoxygenated nutrient solution. Ten mL of the prepared titanium citrate solution (without oxygen) is injected into the nutrient solution with a plastic syringe. Immediately after, 2 cm of liquid paraffin wax is poured over the nutrient solution to seal it to prevent oxygen from the air. To exclude the influence of other oxidizing substances in the culture substrate, a blank control experiment (excluding plants) was set up. The system for measuring ROL under light conditions is placed in a thermostatic water bath (25 °C), isolated from the outside by shading cloth, and illuminated by fluorescent lamps, such as in Figure 1 and Figure 2a. The system for measuring ROL under dark condition is placed in a dark environment, as shown in Figure 2b.
Figure 1.
System for measuring radial oxygen loss measurement.
Figure 2.
Diagram of Acorus gramineus Aiton root oxygenation.
Ti3+ in titanium citrate has strong reducibility, can react with O2 rapidly in solution, and has a visible absorption peak to light at 527 nm wavelength. After 6 hours of incubation, the conical flasks were slightly shaken, and the nutrient solutions were collected with a syringe and measured at 527 nm using a UV/VIS (TU-1810) immediately. Control treatments did not contain any plants. ROL was calculated using Equation (1) [10]:
where V is the initial volume of Ti3+ (L); Y is Ti3+ concentration in the control solution (without plants) (μmol/L); Z is Ti3+ concentration in solution after incubation for 6 h (μmol/L).
ROL amount = V (Y − Z)
2.3. Purification Effect of Plants on Sewage and Its Influencing Factors
In the process of hydroponic culture, the change in pollutant concentration in sewage before and after culture was measured simultaneously, and the determination indexes were ammonia nitrogen (spectrophotometry with Natronard reagent), total nitrogen (potassium persulfate—ultraviolet spectrophotometry), total phosphorus (potassium persulfate digestion—ammonium molybdate spectrophotometry), and COD (potassium dichromate method). All testing methods follow the Water and Wastewater Monitoring and Analysis Method compiled by the Ministry of Environmental Protection (State Environmental Protection Administration et al., 2002), which adheres to international standards.
2.4. Statistical Analysis Technique
SPSS 19 and Origin 2016 were used to process and analyze data. Analysis of significant differences was performed at 95% confidence intervals using analysis of variance (ANOVA) and Duncan’s multiple range test.
3. Results and Discussion
3.1. Radial Root Oxygenation Capacity
3.1.1. The ROL of Wetland Vegetation
After five days of culture, there were significant differences in the capacity of root oxygen secretion in different wetland plants under light conditions and under dark conditions (p < 0.05) (Figure 3). The root oxygen secretion of the three wetland vegetation types increased with time. The ROL under light conditions was higher than that under dark conditions. As shown in Figure 3a, under light conditions, the Acorus gramineus Aiton’s dissolved oxygen (DO) was 7.32 mg, followed by Pistia stratiotes L. (5.08 mg). Eichhornia crassipes (Mart.) Solms root excreted oxygen was the lowest, 4.34 mg. As shown in Figure 3b, under dark conditions, the ROL of Acorus gramineus Aiton reached 2.1 mg, that of Pistia stratiotes L. was 1.72 mg, and that of Eichhornia crassipes (Mart.) Solms was 1.47 mg. All of them were lower than the values obtained under light conditions. Plant internal structure [11] and external environment (such as light conditions, nutrient solution REDOX strength, organic acids [12,13], and temperature [14]) have a particular impact on ROL. Waters et al. [15] and Inouc et al. [16] found that the ROL of Oryza sativa L. and Typha orientalis Presl under light conditions was more than twice that under dark conditions. Christine Laskov et al. [17] showed that aquatic plant roots had higher oxygen excretion under light conditions and oxygen saturation in an aqueous solution. Under dark conditions, root oxygen secretion decreased. This is consistent with the conclusion of this paper. This is because plants will produce a large amount of oxygen during photosynthesis, part of which will be transferred to the root through the aerenchyma in the stem for release, thus, increasing the oxygen secretion in the root.
Figure 3.
The ROL of wetland vegetation under light conditions and dark conditions.
3.1.2. The Root Oxygen Rate of Wetland Vegetation
The root oxygen secretion rate of different wetland vegetation is shown in Figure 4. Under light conditions, the root oxygenation rate of the Acorus gramineus Aiton was the highest (2.03 µmol O2/h/plant), followed by that of Pistia stratiotes L. (1.68 µmol O2/h/plant), and that of Eichhornia crassipes (Mart.) Solms was the lowest (1.15 µmol O2/h/plant). According to the rate of oxygen secretion, the order was Acorus gramineus Aiton > Pistia stratiotes L. > Eichhornia crassipes (Mart.) Solms. Under dark conditions, there was a slight difference in the average oxygen release rate between Acorus gramineus Aiton and Pistia stratiotes L. The average radial oxygen loss rate of Acorus gramineus Aiton was 0.55 µmol O2/h/plant, and that of Pistia stratiotes L. was 0.57 µmol O2/h/plant. Under both light conditions and dark conditions, the root oxygen rate of the Acorus gramineus Aiton was higher than that of Eichhornia crassipes (Mart.) Solms and Pistia stratiotes L. For individual plant species, the rate of oxygen secretion under light conditions is much higher than that under dark conditions (p <0.05). Wu Zhenbin et al. [18] determined the ROL of Acorus gramineus Aiton, Alternanthera philoxeroides, and Cyperus flabelliformis over a long period of time and found that their root oxygen rate was significantly different. The rate of oxygen secretion under light conditions is higher than that under dark conditions [19,20]. Because of the different biomass and size of wetland vegetation’s roots, stems, and leaves, there are differences in the rate of root oxygen secretion. Moreover, the arrangement of aerenchyma and cortical cells in different wetland vegetation is significantly different. Therefore, the rate of oxygen release from the roots of different wetland vegetation is different. The results showed that in the three kinds of wetland vegetation, the root oxygen secretion and the rate of oxygen secretion of the Acorus gramineus Aiton were better under light conditions.
Figure 4.
Root oxygen secretion rate of different wetland vegetation.
3.2. Decontamination and Purification Effect of Plants
The removal effects of COD, TN, ammonia nitrogen, and TP were all higher than those in the blank experiment (Figure 5). After the beginning of hydroponics, plants must undergo an adaptation process, and the removal rate of all kinds of substances is not high in the first two days. With the extension of time, the removal effect of the three plants on pollutants began to enhance, as shown in Figure 5.
Figure 5.
Removal effects of different vegetation on pollutants in water.
3.2.1. The Removal of COD
As shown in Figure 5a, with an increase in time, COD concentration in the three types of wetland vegetation and the blank group gradually decreased, and the removal rate steadily increased. The initial COD concentration was 312.3 mg/L. It can be seen from the figure that, on the fourth day of hydroponics of wetland vegetation, the COD removal effect of the three types of wetland vegetation increased rapidly, which was significantly better than that of the blank group without vegetation. The COD concentration in S. Officinalis decreased to 200.28 mg/L and the removal rate reached 35.87%. The COD removal rates of Eichhornia crassipes (Mart.) Solms and Pistia stratiotes L. were 30.83% and 31.97%, respectively. With time, the COD concentration in three wetland plants and the blank control group’s water still decreased rapidly. At the end of the experiment, the COD removal rates of the blank control group, Acorus gramineus Aiton, Eichhornia crassipes (Mart.) Solms, and Pistia stratiotes L. were 60.38%, 100%, 97.35%, and 100%, respectively.
3.2.2. The Removal of TN
The TN removal rate of the three wetland vegetation types and the blank group without vegetation is shown in Figure 5b. All TN concentrations decreased with time. The removal rates of TN in the water bodies of the three wetland plants increased rapidly after two days of hydroponics. The removal rates of TN in the blank control group, Acorus gramineus Aiton, Eichhornia crassipes (Mart.) Solms, and Pistia stratiotes L. reached 10.16%, 26.73%, 21.52%, and 22.81%, respectively. The main reason may be that the initial biological residue sedimentation, deposition, and migration to the bottom resulted in a rapid decrease in TN concentration in water. The TN removal rate gradually increased with time, but the decrease rate of TN concentration was slower than that in the previous two days. There were apparent differences in TN removal among the three wetland vegetation types. Under the conditions of this experiment, the TN removal effect of the Acorus gramineus Aiton was the best. After 14 days of hydroponics, the TN concentration in the Acorus gramineus Aiton’s water was 6.80 mg/L and the removal rate reached 78.27%. The residual TN concentration in Eichhornia crassipes (Mart.) Solms’ water was 11.50 mg/L and the TN removal rate was 63.34%. The residual TN concentration in Pistia stratiotes L.’s water was 12.13 mg/L and the TN removal rate was 61.23%.
In the sewage purification of constructed wetlands, the role of vegetation is vital. Only by providing a favorable alternating aerobic and anaerobic environment around the roots of vegetation can microorganisms carry out nitrification and denitrification reactions to remove nitrogen effectively [21,22,23]. The root characteristics and development of different vegetation are different, and the developed roots provide a strong guarantee for the absorption of pollutants in water [24].
3.2.3. The Removal of NH3-N
The NH3-N removal rate of the three wetland vegetation types is shown in Figure 5c. Compared with the blank group without vegetation, the three wetland vegetation types all have specific purifying effects on NH3-N. Consistent with TN, the removal rate of NH3-N was in the order of Acorus gramineus Aiton, Eichhornia crassipes (Mart.) Solms, and Pistia stratiotes L. In the first four days of the experiment, the concentration of NH3-N (29.1 mg/L) in the three types of wetland plant’s water decreased rapidly. On the fourth day, the removal rates of NH3-N in the blank control group, Acorus gramineus Aiton, Eichhornia crassipes (Mart.) Solms, and Pistia stratiotes L. reached 18.58%, 65.11%, 46.57%, and 42.12%. The decrease rate of NH3-N concentration gradually slowed down with time. However, compared with the blank control group, the concentration of NH3-N in the three-wetland-plant water decreased faster.
After 14 days of the experiment, the concentration of NH3-N in the three-wetland-plant water significantly decreased. The NH3-N removal rates of Acorus gramineus Aiton, Eichhornia crassipes (Mart.) Solms, and Pistia stratiotes L. reached 81.24%, 66.78%, and 64.92%, respectively. Compared with the blank control group without plants (38.8%), the NH3-N removal rates by the three wetland plants were increased by 42.44%, 27.98%, and 26.12%, respectively. There was no significant difference in NH3-N removal ability between Eichhornia crassipes (Mart.) Solms and Pistia stratiotes L.
3.2.4. The Removal of TP
Vegetation adsorption is a promising way to remove phosphorus, followed by sediment as substrate adsorption. The difference in root characteristics of vegetation will directly affect the removal of phosphorus [25,26]. It can be seen from Figure 5d that compared with the blank group, the three plants had apparent removal effects on TP in water, and the average removal rate was significantly higher than that of the blank control group (p < 0.05). Consistent with other pollutants, the rapid decrease in TP concentration in the water after two days was mainly caused by sedimentation. After four days of hydroponics, the change in TP concentration in the water of the blank group gradually decreased. On the contrary, the removal rate of TP by three kinds of wetland vegetation gradually increased with time. The TP removal rate of Acorus gramineus Aiton, Eichhornia crassipes (Mart.) Solms, and Pistia stratiotes L. was in descending order. Acorus gramineus Aiton had a strong phosphorus absorption capacity and the final removal rate reached 77.56%. The phosphorus removal rates of Eichhornia crassipes (Mart.) Solms and Pistia stratiotes L. were 68.8% and 58.1%, respectively, indicating that plants also played a significant role in the removal of phosphorus in the wetland.
The results showed that the pollutant removal rate was in the order of Acorus gramineus Aiton, Eichhornia crassipes (Mart.) Solms, and Pistia stratiotes L., from large to small, which was consistent with the oxygen secretion ability of the root system. Allen et al. [27] studied the removal effects of different plants on COD and SO42− and found that the difference in pollutant removal rate of wetlands was related to oxygen secretion of plant roots, which is consistent with the results of this paper. However, there was little difference in the removal rate of COD. Oxygen secretion of Acorus gramineus Aiton was significantly higher than that of Eichhornia crassipes (Mart.) Solms and Pistia stratiotes L., which could not be explained from the perspective of plant oxygen secretion ability alone. Gong et al [28]. believe that the removal effect of a wetland system is affected by the comprehensive effects of external environmental factors, plants, and microorganisms. Microorganisms are also the main factors affecting the removal of pollutants.
3.3. Correlation Analysis of ROL and Water Quality Indexes
The correlation analysis of ROL, temperature, and removal rate of TN, TP, COD, and NH3-N was carried out by SPSS software, and the results are shown in Table 1. ROL is positively correlated with temperature (p < 0.01). However, some studies have shown a negative correlation of ROL with temperature. The decrease in temperature weakens the respiration of plant roots, and the ROL increases. This experiment showed that under light conditions, the temperature was high (25 °C) and the root oxygen rate (2.03 µmol O2/h/plant) was higher. Under dark conditions, the temperature was low (10 °C) and the root oxygen rate (0.55 µmol O2/h/plant) was low. The main reasons were as follows: In this experiment, under dark conditions, the temperature was low (10 °C), and the plant roots only secreted oxygen through oxygen exchange. At this time, the transmission capacity of the plant’s aerenchyma was weakened, so the oxygen exchange capacity of the plant was reduced. Finally, the root oxygen rate was low. Under light conditions, oxygen production of photosynthetic increased. The plants and microorganisms maintained good activity at an appropriate temperature (25 °C). Both oxygen demand and oxygen gradient increased, the transport capacity of aerenchyma was enhanced, and radial oxygen loss was higher.
Table 1.
Correlation analysis of ROL and water quality indexes.
Table 1 shows significant correlation of ROL with the removal rate of pollutants (p < 0.01). Pollutants are mainly removed through the aerobic action of microorganisms, indicating that the ROL plays an important role in the removal of aerobic pollutants. This is consistent with the research results of Gilbert B et al. [29], in that plant root oxygen can change the oxygen status in the root microenvironment and form a micro-oxygen environment, which can provide a suitable habitat for aerobic microorganisms. At the same time, Gagnon’s experimental [30] results also showed that plant root oxygen secretion could significantly increase the population density of aerobic bacteria and facultative aerobic bacteria in the root microenvironment, especially that attached to the root surface. Cheng Shuiping et al. [31] also further verified this role of root oxygen secretion. Under the conditions of flooding and sufficient ammonia nitrogen, plant root oxygen secretion can maintain the process of root microbial nitrification. It can be seen that plant root oxygen secretion provides favorable conditions for the biological process of aerobic microorganisms.
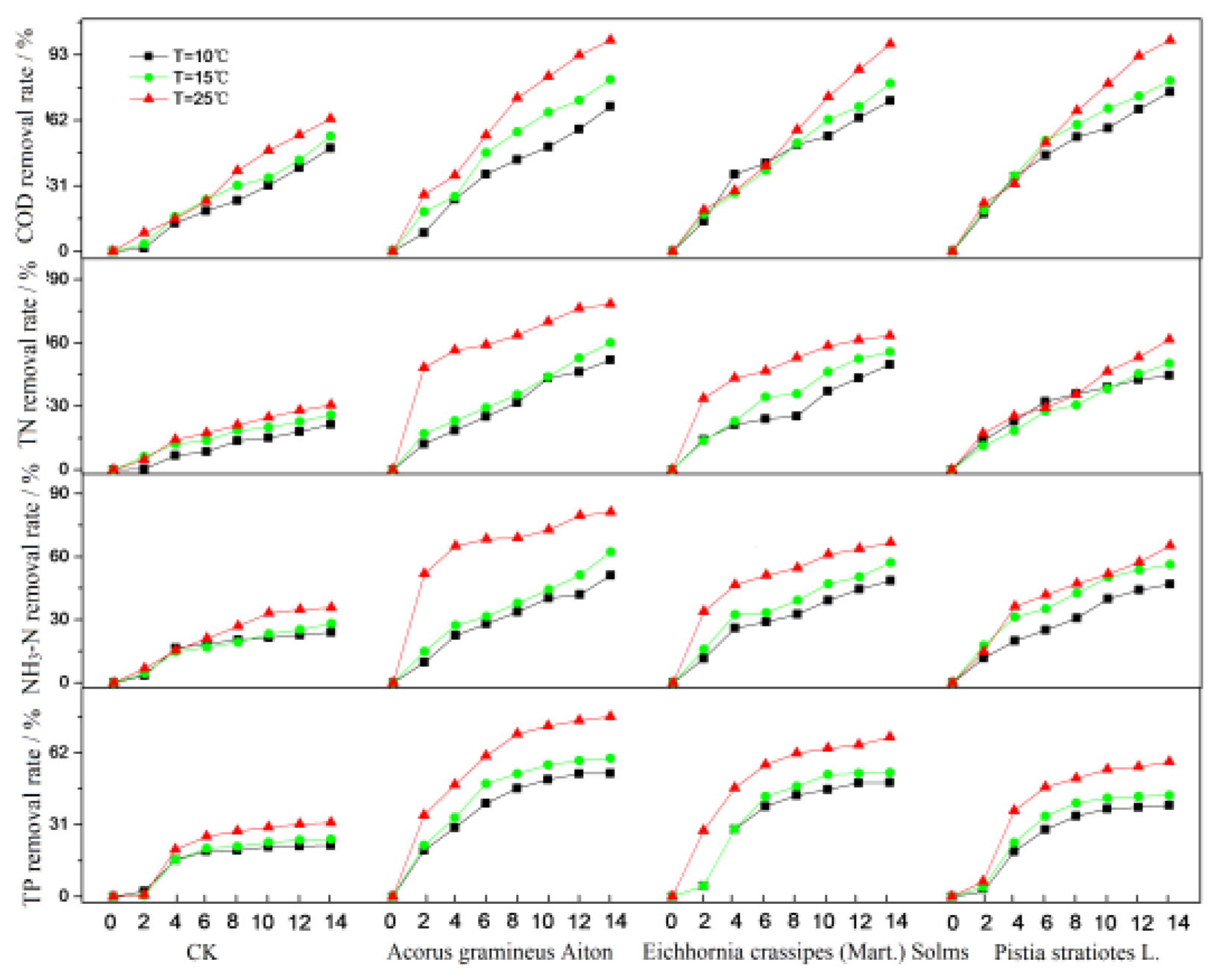
Table 1 shows that the removal rate of pollutants was positively correlated with temperature, and both increased with an increase in temperature, as shown in Figure 6. The removal effect of nitrogen, phosphorus, and COD by the three plants is gradually enhanced, and the removal rate is also gradually increased with the increase in temperature. When the temperature was 25 °C, the removal rates of TN, NH3-N, TP, and COD by Acorus gramineus Aiton reached 78.27%, 81.24%, 77.56%, and 100% respectively; the removal rates of the above pollutants by Eichhornia crassipes (Mart.) Solms were 63.34%, 66.79%, 68.80%, and 98.12%, respectively, and the removal rates of the above pollutants by Pistia stratiotes L. were 61.65%, 65.29%, 58.09%, and 100%, respectively. Compared with T = 10 °C and 15 °C, the removal rate of nitrogen and phosphorus is greatly improved. Inoue et al. [32] found that the high temperature in summer resulted in a high pollutant removal rate, while the low temperature in winter resulted in a low pollutant removal rate, indicating that the removal rate of wetland pollutants is affected by temperature and season. This is because, under the appropriate temperature, the ROL of plant roots is improved. At the same time, with an increase in temperature, the activity of microorganisms is continuously enhanced, thus, enhancing the decontamination ability [33,34,35].
Figure 6.
Purification effect of three kinds of wetland vegetation under different temperatures.
4. Conclusions
Since root oxygen comes from the photosynthesis of plants, the radial oxygen loss under light conditions is more than one-time higher than that under dark conditions. The ROLs of three plants under the same conditions are different, which decreased as Acorus gramineus Aiton, Pistia stratiotes L., and Eichhornia crassipes (Mart.) Solms.
With the adaptation to sewage, the COD removal rate of the three plants can reach more than 97%, among which the COD removal rate of Acorus gramineus Aiton and Pistia stratiotes L. is 100%. The removal rates of nitrogen and phosphorus were also good, and the order from high to low was as follows: Acorus gramineus Aiton, Eichhornia crassipes (Mart.) Solms, and Pistia stratiotes L. The removal of COD, nitrogen, and phosphorus by aquatic plants mainly depends on the attachment of microorganisms growing on and near the surface of the root zone. The above three kinds of plants have developed roots and a strong ability to withstand sewage, so their decontamination ability is better.
Temperature is an important factor affecting the effect of sewage treatment. The optimum temperature for microorganisms in sewage treatment is 20 °C to 30 °C. The removal efficiencies of pollutants at 25 °C were higher than those at 10 °C and 15 °C.
Author Contributions
Y.W., C.L. and W.W. conceived the experiments and analyzed the results; Y.W., C.L. and Y.T. conducted the experiments; K.F.H.Y., H.X. and L.H. analyzed the data. All authors have read and agreed to the published version of the manuscript.
Funding
This research was funded by the Key R&D Project of Shaanxi Province (No. 2022FP-34) and the Land Engineering and Human Settlements Technology Joint Innovation Center of Shaanxi Land Engineering Construction Group Co., Ltd. and Xi’an Jiaotong University (No. 201912131).
Data Availability Statement
The authors declare that the datasets generated and analyzed during the current study are not publicly available due to the fact that the data are confidential and are the basis for further research but are available from the corresponding author upon reasonable request.
Conflicts of Interest
The authors declare no conflict of interest.
References
- Lu, S.L.; Zhang, C.; Xu, J.W. Root exudates of wetland plants and the influence on the microbial community in constructed wetlands. Ecol. Environ. Sci. 2011, 20, 676–680. [Google Scholar]
- Kuang, Y.W.; Wen, D.Z.; Zhong, C.W.; Zhou, G.Y. Root exudates and their roles in phytoremediation. Chin. J. Plant Ecol. 2003, 709–717. [Google Scholar]
- Liu, Z.K.L.; Ma, Q.L.; Niu, K.K. Prospect on Radial Oxygen Loss of Wetland Plants in the Wetland. J. Hainan Normal Univ. 2010, 23, 84–86+92. [Google Scholar]
- Armstrong, J.; Armstrong, W. Rice and Phragmites: Effects of organic acids on growth, root permeability, and radial oxygen loss to the rhizosphere. Am. J. Bot. 2001, 88, 1359–1370. [Google Scholar]
- Tanaka, N.; Yutani, K.; Aye, T.; Jinadasa, K.B.S.N. Effect of broken dead culms of Phragmites australis on radial oxygen loss in relation to radiation and temperature. Hydrobiologia 2007, 583, 165–172. [Google Scholar] [CrossRef]
- Colmer, T.D. Long-distance transport of gases in plants: A perspective on internal aeration and radial oxygen loss from roots. Plant Cell Environ. 2010, 26, 17–36. [Google Scholar] [CrossRef]
- Kludze, H.K.; Delaune, R.D.; Patrick, W.H. A Colorimetric Method for Assaying Dissolved Oxygen Loss from Container-Grown Rice Roots. Agron. J. 1994, 86, 483–487. [Google Scholar] [CrossRef]
- Sorrell, B.K. Effect of external oxygen demand on radial oxygen loss by Juncus roots in titanium citrate solutions. Plant Cell Environ. 1999, 22, 1587–1593. [Google Scholar] [CrossRef]
- Mei, X.Q.; Ye, Z.H.; Wong, M.H. The relationship of root porosity and radial oxygen loss on arsenic tolerance and uptake in rice grains and straw. Environ. Pollut. 2009, 157, 2550–2557. [Google Scholar] [CrossRef]
- Li, H.; Ye, Z.H.; Wei, Z.J. Root porosity and radial oxygen loss related to arsenic tolerance and uptake in wetland plants. Environ. Pollut. 2011, 159, 30–37. [Google Scholar] [CrossRef]
- Kivaisi, A.K. The Potential for Constructed Wetlands for Wastewater Treatment and Reuse in Developing Countries: A Review. Ecol. Eng. 2001, 16, 545–560. [Google Scholar] [CrossRef]
- Dullo, B.W.; Grootjans, A.P.; Roelofs, J.G.M.; Senbeta, A.F.; Fritz, C.; Lamers, L.P.M. Radial oxygen loss by the cushion plant Eriocaulon schimperi prevents methane emissions from an East—African mountain mire. Plant Biol. 2017, 19, 736–741. [Google Scholar] [CrossRef] [PubMed]
- Kotula, L.; Schreiber, L.; Colmer, T.D.; Nakazono, M. Anatomical and biochemical characterisation of a barrier to radial O2 loss in adventitious roots of two contrasting Hordeum marinum accessions. Funct. Plant Biol. 2017, 44, 845–857. [Google Scholar] [CrossRef] [PubMed]
- Huang, L.; Chen, Y.C.; Zhao, Y.Q.; Xiao, G.Q.; Yang, Z.M. Influence of biochar application on growth and antioxidative responses of macrophytes in subsurface flow constructed wetlands. Environ. Sci. 2018, 39, 2904–2910. [Google Scholar]
- Waters, I.; Armstrong, W.; Thompson, C.J.; Setter, T.L.; Adkins, S.; Gibbs, J.; Greenway, H. Diurnal changes in radial oxygen loss and ethanol metabolism in roots of submerged and non-submerged rice seedlings. New Phycol. 1989, 113, 439–451. [Google Scholar] [CrossRef]
- Chen, Y.P.; Ding, J.G.; Ke, J.Q.; Yang, B.; Shi, X.P.; Xie, H.F. Removal and enrichment of cadmium in wastewater by different plant combinations in constructed wetlands. J. Hydroecol. 2021, 42, 114–120. [Google Scholar]
- Christine, L.; Oliver, H.; Michael, H. Environmental factors regulating the radial oxygen loss from roots of Myrio-phyllum spicatum and Potamogeton crispus. Aquat. Bot. 2006, 84, 333–340. [Google Scholar]
- Wu, Z.B.; He, F.; Cheng, S.Y.; Cheng, S.P.; Marcus, J.D.; Bill, A.; Jean, A. Studys on oxygen transportation of roots in anaerobic media with polarography. Acta Phytophysiol. Sin. 2000, 26, 177–180. [Google Scholar]
- Zheng, Y.C.; Wang, X.C.; Ge, Y.; Dzakpasu, M.; Zhao, Y.Q.; Xiong, J.Q. Effects of annual harvesting on plants growth and nutrients removal in surface-flow constructed wetlands in northwestern China. Ecol. Eng. 2015, 83, 268–275. [Google Scholar] [CrossRef]
- Yi, C.; Yue, W.; Qi, Z.; Vymazal, J. Effects of plant biomass on nitrogen transformation in subsurface-batch constructed wetlands: A stable isotope and mass balance assessment. Water Res. 2014, 63, 158–167. [Google Scholar]
- Faulwetter, J.L.; Gagnon, V.; Sundberg, C.; Chazarenc, F.; Burr, M.D.; Brisson, J.; Camper, A.; Stein, O.R. Microbial processes influencing performance of treatment wetland. Ecol. Eng. 2009, 35, 987–1004. [Google Scholar] [CrossRef]
- He, M.X.; Hu, Q.C.; Luo, A.J.; Mao, C.Q.; Zhu, Q.L.; Pan, K.; Li, Q. Assessment of constructed wetland plant biomass for energy utilization. Chin. J. Appl. Environ. Biol. 2011, 17, 527–531. [Google Scholar]
- Jin, Y.Y.; Huo, Z.L.; Guo, X.H. Study on the ability of different plants in simulated constructed wetland to restore eutrophic water. Soil Water Conserv. China 2015, 11, 44–46. [Google Scholar]
- Li, G.H.; He, C.H.; Liu, J.G. Root oxygen release and heavy metal uptake of various wetland plants. Water Resour. Prot. 2010, 26, 17–20. [Google Scholar]
- Zhang, X.L. Research on Root Secretion Characteristics of Wetland Plants under Hydroponic Culture; Qingdao University: Qingdao, China, 2019. [Google Scholar]
- Müller, B.; Reinhardt, M.; Gächter, R. Nitrogen removal in a small constructed wetland: An isotope mass balance approach. Environ. Sci. Technol. 2006, 40, 3313–3319. [Google Scholar] [CrossRef]
- Allen, W.C.; Hook, P.B.; Biederman, J.A. Temperature and wetland plant species effects on wastewater treatment and root zone oxidation. J. Environ. Qual. 2002, 31, 1010–1016. [Google Scholar] [CrossRef]
- Gong, H.; Shi, Y.; Zhou, L. The composition of microbiome in larynx and the throat biodiversity between laryngeal squamous cell carcinoma patients and control population. PLoS ONE 2013, 8, e66476. [Google Scholar] [CrossRef]
- Gilbert, B.; Aßmus, B.; Hartmann, A.; Frenzel, P. In situ localization of two methanotrophic strains in the rhizosphere of rice plants. FEMS Microbiol. Ecol. 1998, 25, 117–128. [Google Scholar] [CrossRef]
- Gagnon, V.; Chazarenc, F.; Comeau, Y.; Brisson, J. Influence of macrophyte species on microbial density and activity in constructed wetlands. Water Sci. Technol. 2007, 56, 249–254. [Google Scholar] [CrossRef]
- Cheng, S.P.; Wu, Z.B.; Kuang, Q.J. Macrophytes in artificial wetland. J. Lake Sci. 2002, 14, 179–184. [Google Scholar]
- Inoue, T.M.; Tsuchiya, T. Interspecific differences in radial oxygen loss from the roots of three Typha species. Limnology 2008, 9, 207–211. [Google Scholar] [CrossRef]
- Oodally, A.; Gulamhussein, M.; Randall, D.G. Investigating the performance of constructed wetland microbial fuel cells using three indigenous South African wetland plants. Water Process Eng. 2019, 32, 100930. [Google Scholar] [CrossRef]
- Rathour, R.; Patel, D.; Shaikh, S.; Desai, C. Eco-electrogenic treatment of dyestuff wastewater using constructed wetland-microbial fuel cell system with an evaluation of electrode-enriched microbial community structures. Bioresour. Technol. 2019, 285, 121349. [Google Scholar] [CrossRef]
- Shen, X.T.; Zhang, J.; Liu, D.X.; Hua, Z.; Liu, H.Q. Enhance performance of microbial fuel cell coupled surface flow constructed wetland by using submerged plants and enclosed anodes. Chem. Eng. J. 2018, 351, 312–318. [Google Scholar] [CrossRef]
Disclaimer/Publisher’s Note: The statements, opinions and data contained in all publications are solely those of the individual author(s) and contributor(s) and not of MDPI and/or the editor(s). MDPI and/or the editor(s) disclaim responsibility for any injury to people or property resulting from any ideas, methods, instructions or products referred to in the content. |
© 2023 by the authors. Licensee MDPI, Basel, Switzerland. This article is an open access article distributed under the terms and conditions of the Creative Commons Attribution (CC BY) license (https://creativecommons.org/licenses/by/4.0/).





