Numerical Simulation of Hydrodynamic Characteristics of Layered Floating Reefs under Tidal Currents and Waves
Abstract
:1. Introduction
2. Materials and Methods
2.1. Material and Structural Parameters of Layered Floating Reefs
2.2. Simulation Conditions
2.2.1. Proportional Working Condition of Structure
2.2.2. Wave Parameters
3. Establishment of Layered Floating Reef Model
3.1. Tidal Current Conditions
3.1.1. Measurement Location and Method
3.1.2. Fitting Formula for Vertical Distribution of Tidal Current
3.2. Wave Theory
3.3. Model Construction Method
4. The Influence of the Upper and Lower Layer Height on the Force and Motion of the Floating Reef (Connecting Cable L2 = 2 m)
4.1. Tension of Cables, Mooring Ropes and Netting
4.2. Influence of Layered Floating Reef Structure on Reef Body Movement
5. Optimal Structure of Floating Reef under Tidal Current
6. Response Verification of Optimal Structure of Floating Reef under Wave-Current Action
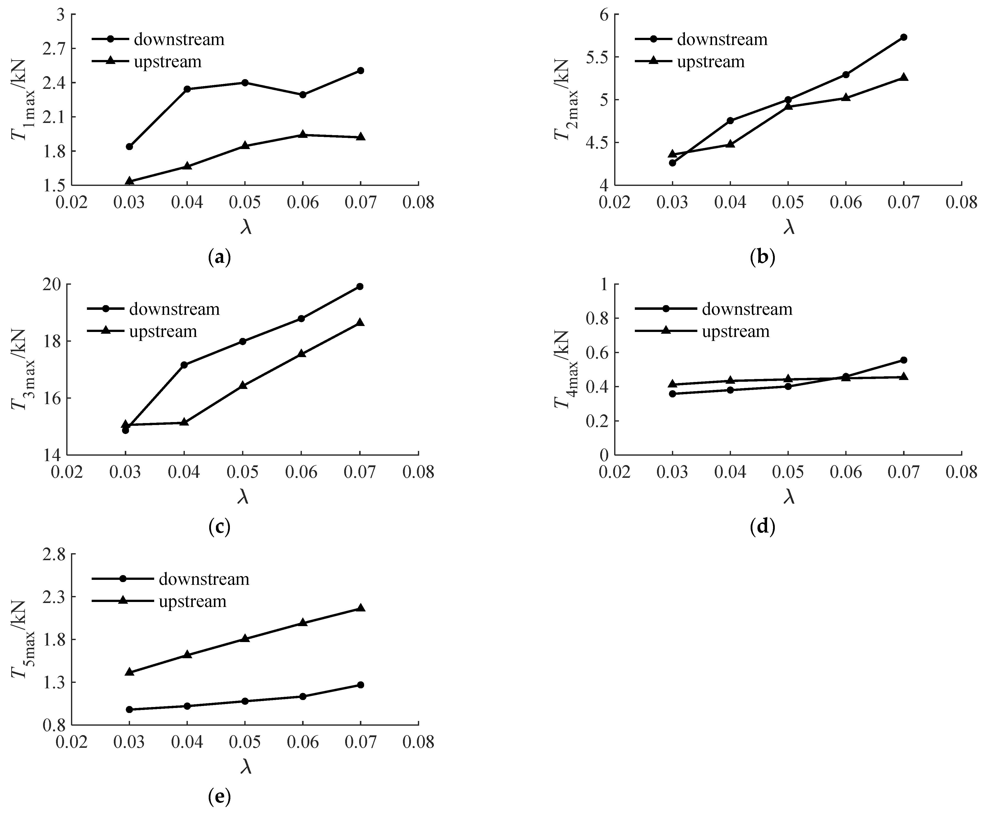
6.1. Influence of Wave Height on the Tension of Cable, Mooring Rope and Netting
6.2. Influence of Wave Height on Reef Movement
6.3. Influence of Wave Steepness on the Tension of Cable, Mooring Rope and Netting
6.4. Influence of Wave Steepness on Reef Movement
7. Conclusions
- Under the specific tidal current, the change of the proportion of the layered floating reef structure has little effect on the roll angle of the reef. The inclination angles of the upper and lower reefs are basically consistent, and the maximum roll angle of the reef does not exceed 15°, indicating that the designed layered floating reef has good stability and current resistance.
- Under the action of tidal current, when the stratified floating reef connecting cable is at a specific height of L2 (1 m, 2 m, 3 m, 4 m) and L4 (4 m), the tension of the connecting cable decreases with the decrease in L1/L3 ratio, showing a linear relationship. The maximum tension of the auxiliary mooring rope tends to be stable when L3 is greater than 5 m. The tension of the main mooring rope is not obviously affected by the proportion of layered floating reef structure. The upper net tension and the lower net tension are greatly affected by the length of L1 and L3, respectively, and the net tension is the smallest in the overall floating reef.
- The structural design of layered floating reefs suggests that the ratio of the sum of the height of the lower reef and the length of the connecting mooring line to the height of the upper reef is not greater than one. It can improve the utilization rate of water space and ensure the stability and safety of layered floating reefs under the influence of tidal current.
- The tension of layered floating reef structure is greatly affected by wave height and wave steepness. The maximum tension of connecting cable, auxiliary mooring, main mooring and upper and lower net fixing points increases with the increase in wave height and wave steepness when the wave current direction is consistent and opposite. The overall stability of the floating reef mainly depends on the force of the mooring rope. Therefore, the strength coefficient of the mooring rope should be increased when the floating reef is put into the actual sea area.
- On the one hand, the wave height has a great influence on the rolling of the upper and lower reefs. The maximum rolling angle of the upper and lower reefs increased linearly when the wave height increased. On the other hand, the wave steepness has a great influence on the rolling of the reef when the wave and current are in the same direction. On the contrary, the impact of wave steepness is smaller when the wave and current are in the opposite direction. Generally, the roll angle of the reef is larger under the combined action of wave and current. Thereby, the maximum rolling angle of the floating reef should be fully considered to avoid the mutual influence between the floating reefs.
Author Contributions
Funding
Data Availability Statement
Acknowledgments
Conflicts of Interest
References
- Shu, A.; Qin, J.; Rubinato, M.; Sun, T.; Wang, M.; Wang, S.; Zhu, F. An Experimental Investigation of Turbulence Features Induced by Typical Artificial M-Shaped Unit Reefs. Appl. Sci. 2021, 11, 1393. [Google Scholar] [CrossRef]
- Pan, Y.; Tong, H.; Wei, D.; Xiao, W.; Xue, D. Review of Structure Types and New Development Prospects of Artificial Reefs in China. Front. Mar. Sci. 2022, 9, 1190. [Google Scholar] [CrossRef]
- Gunn, D.; Rudman, M.; Cohen, R. Wave Interaction with a Tethered Buoy: SPH Simulation and Experimental Validation. Ocean Eng. 2018, 156, 306–317. [Google Scholar] [CrossRef]
- Altomare, C.; Tafuni, A.; Domínguez, J.M.; Crespo, J.C.; Giron, X.; Sospedr, J. SPH simulations of real sea wavesimpacting a large-scale structure. J. Mar. Sci. Eng. 2020, 8, 826. [Google Scholar] [CrossRef]
- Domínguez, J.M.; Crespo, A.J.C.; Hall, M.; Altomare, C.; Wu, M.; Stratigaki, V.; Troch, P.; Cappietti, L.; Gómez-Gesteira, M. SPH simulation of floating structures with moorings. Coast. Eng. 2019, 153, 103560. [Google Scholar] [CrossRef]
- Ma, C.; Zhao, Y.; Bi, C. Numerical Study on Hydrodynamic Responses of a Single-Point Moored Vessel-Shaped Floating Aquaculture Platform in Waves. Aquac. Eng. 2022, 96, 102216. [Google Scholar] [CrossRef]
- Touzon, I.; Nava, V.; Gao, Z.; Petuya, V. Frequency Domain Modelling of a Coupled System of Floating Structure and Mooring Lines: An Application to a Wave Energy Converter. Ocean Eng. 2021, 220, 108498. [Google Scholar] [CrossRef]
- Zhu, X.; Yoo, W.S. Dynamic Analysis of a Floating Spherical Buoy Fastened by Mooring Cables. Ocean Eng. 2016, 121, 462–471. [Google Scholar] [CrossRef]
- Park, S.; Lee, J.; Lee, C.-W. Accuracy improvement of numerical simulation with the determination of drag coefficients of floating collars. Aquac. Eng. 2020, 90, 102105. [Google Scholar] [CrossRef]
- Mohapatra, S.C.; Bernardo, T.A.; Soares, C.G. Dynamic wave induced loads on a moored flexible cylindrical net cage with analytical and numerical model simulations. Appl. Ocean Res. 2021, 110, 102591. [Google Scholar] [CrossRef]
- Selvan, S.A.; Gayathri, R.; Behera, H.; Meylan, M.H. Surface wave scattering by multiple flexible fishing cage system. Phys. Fluids 2021, 33, 037119. [Google Scholar] [CrossRef]
- Bai, X.; Yang, C.; Luo, H. Hydrodynamic performance of the floating fish cage under extreme waves. Ocean Eng. 2021, 231, 109082. [Google Scholar] [CrossRef]
- Shaik, A.S.; Thuvanismail, N.; Vijayakumar, M.; Kumar, P. Numerical Investigation on Different Configurations of Offshore Fish Cages in Submerged Conditions Subjected to Regular Waves. J. Mar. Sci. Appl. 2023, 22, 445–455. [Google Scholar] [CrossRef]
- Yu, Q.; Ma, J.; An, Y.; Ni, T. The reliminary study of design advantages and problems on artificial floating fish reef of floating rope cage. J. Anhui Agric. Sci. 2013, 41, 8194–8195, (In Chinese with English abstract). [Google Scholar]
- Zhang, L.; Wang, J.; Hu, Q.; Shen, T. Design and application of offshore middle-upper-layer flexible floating reefs. J. Shanghai Ocean Univ. 2016, 25, 613–619, (In Chinese with English abstract). [Google Scholar]
- Han, C.; Liu, K.; Kinoshita, T.; Guo, B.; Zhao, Y.; Ye, Y.; Liu, Y.; Yamashita, O.; Zheng, D.; Wang, W.; et al. Assessing the Attractive Effects of Floating Artificial Reefs and Combination Reefs on Six Local Marine Species. Fishes 2023, 8, 248. [Google Scholar] [CrossRef]
- Wan, R.; Zhou, T.; Zhou, C.; Zhao, F.; Wang, W. Experimental and numerical investigations of hydrodynamic response of biodegradable drifting Fish Aggregating Devices (FADs) in waves. Ocean Eng. 2022, 244, 110436. [Google Scholar] [CrossRef]
- Liu, C.; Dong, Z.; Pan, Y.; Tong, H.; Yang, J. An Improved Approach for Interaction of Wave with Floating Spheres and Its Applications. China Ocean Eng. 2023, 37, 115–130. [Google Scholar] [CrossRef]
- Pan, Y.; Yang, F.; Bi, C.; Li, L.; Zhou, Y. Study of optimal mooring mode of single mooring for middle and upper layer floating fish attractor. J. Dalian Univ. Technol. 2021, 61, 172–179, (In Chinese with English abstract). [Google Scholar]
- Pan, Y.; Tong, H.; Zhou, Y.; Liu, C.; Xue, D. Numerical Simulation Study on Environment-Friendly Floating Reef in Offshore Ecological Belt under Wave Action. Water 2021, 13, 2257. [Google Scholar] [CrossRef]
- Wang, S.; Feng, D.; Gun, F.; Xu, Z. Dynamic Behavior of the Net of a Pile-Net-Gapped Enclosure Aquaculture Facility. J. Mar. Sci. Eng. 2022, 10, 1166. [Google Scholar] [CrossRef]
- Gao, J.; He, Z.; Huang, X.; Liu, Q.; Zang, J.; Wang, G. Effects of free heave motion on wave resonance inside a narrow gap between two boxes under wave actions. Ocean Eng. 2021, 224, 108753. [Google Scholar] [CrossRef]
- Gao, J.; Jing, L.; Wang, J.; Zhang, J.; Liu, Q.; Zang, J.; Tao, Z. Study on transient gap resonance with consideration of the motion of floating body. China Ocean Eng. 2022, 36, 994–1006. [Google Scholar] [CrossRef]
- Gao, J.; Chen, H.; Zang, J.; Chen, L.; Wang, G.; Zhu, Y. Numerical investigations of gap resonance excited by focused transient wave groups. Ocean Eng. 2020, 212, 107628. [Google Scholar] [CrossRef]










| Structure | Materials | Size (m) | Diameter (m) | Density (kg/m3) | Coefficient of Drag Force CD | Coefficient of Elasticity C1 | Coefficient of Elasticity C2 |
|---|---|---|---|---|---|---|---|
| Upper floating frame | HDPE | 1.69 × 1.69 × L1 | 0.2 | 646.57 | 0.8 | / | / |
| Upper netting | PE | 6.76 × L1 | 0.003 | 953 | 0.6 | 345.3 × 106 | 1.0121 |
| Connecting cable | PE | L2 | 0.02 | 953 | 0.6 | 345.3 × 106 | 1.0121 |
| Lower floating frame | HDPE | 1.69 × 1.69 × L3/1.59 | 0.2 | 646.57 | 0.8 | / | / |
| Lower netting | PE | 6.76 × L3/1.59 | 0.003 | 953 | 0.6 | 345.3 × 106 | 1.0121 |
| Auxiliary mooring rope | PE | L3/1.59 × 0.59 | 0.02 | 953 | 0.6 | 345.3 × 106 | 1.0121 |
| Main mooring rope | PE | 4.0 (L4) | 0.04 | 953 | 0.6 | 345.3 × 106 | 1.0121 |
| Working Conditions | L2/m | L1/L3 | L4/m | |||||||||
|---|---|---|---|---|---|---|---|---|---|---|---|---|
| 1 | 2 | 3 | 4 | 5 | 6 | 7 | 8 | 9 | 10 | |||
| k1 | 1 | 11/2 | 10/3 | 9/4 | 8/5 | 7/6 | 6/7 | 5/8 | 4/9 | 3/10 | 2/11 | 4 |
| k2 | 2 | 10/2 | 9/3 | 8/4 | 7/5 | 6/6 | 5/7 | 4/8 | 3/9 | 2/10 | 4 | |
| k3 | 3 | 9/2 | 8/3 | 7/4 | 6/5 | 5/6 | 4/7 | 3/8 | 2/9 | 4 | ||
| k4 | 4 | 8/2 | 7/3 | 6/4 | 5/5 | 4/6 | 3/7 | 2/8 | 4 | |||
| Station | Tidal Current | Surface Layer | 0.2 d | 0.4 d | 0.6 d | 0.8 d | Bottom Layer | Vertical Average | |||||||
|---|---|---|---|---|---|---|---|---|---|---|---|---|---|---|---|
| Rate | Direction | ||||||||||||||
| 1# | Rising tidal current | 1.19 | 326 | 1.22 | 312 | 1.30 | 317 | 1.30 | 331 | 1.21 | 320 | 1.05 | 302 | 1.23 | 322 |
| Falling tidal current | 1.10 | 153 | 1.16 | 132 | 1.10 | 158 | 1.17 | 149 | 1.18 | 145 | 0.99 | 129 | 1.13 | 140 | |
| 2# | Rising tidal current | 1.23 | 316 | 1.24 | 333 | 1.24 | 309 | 1.20 | 323 | 1.16 | 320 | 1.07 | 309 | 1.20 | 320 |
| Falling tidal current | 1.15 | 129 | 1.14 | 128 | 1.16 | 139 | 1.15 | 130 | 1.13 | 129 | 1.04 | 148 | 1.14 | 133 | |
| 3# | Rising tidal current | 1.22 | 312 | 1.22 | 318 | 1.16 | 329 | 1.15 | 330 | 1.11 | 316 | 1.01 | 329 | 1.15 | 323 |
| Falling tidal current | 1.14 | 140 | 1.14 | 157 | 1.15 | 157 | 1.17 | 132 | 1.14 | 129 | 1.05 | 157 | 1.14 | 145 | |
| 4# | Rising tidal current | 1.21 | 323 | 1.29 | 328 | 1.28 | 331 | 1.26 | 321 | 1.23 | 309 | 1.13 | 328 | 1.25 | 323 |
| Falling tidal current | 1.14 | 156 | 1.20 | 133 | 1.20 | 135 | 1.22 | 133 | 1.20 | 129 | 1.11 | 132 | 1.19 | 135 | |
| 5# | Rising tidal current | 1.28 | 311 | 1.28 | 332 | 1.27 | 311 | 1.23 | 134 | 1.20 | 324 | 1.11 | 311 | 1.24 | 318 |
| Falling tidal current | 1.16 | 134 | 1.14 | 146 | 1.16 | 135 | 1.12 | 140 | 1.08 | 152 | 1.00 | 128 | 1.12 | 141 | |
| Conditions | The Possible Maximum Flow Velocity | ||||
|---|---|---|---|---|---|
| 1# | 2# | 3# | 4# | 5# | |
| a (10−7) | 42,369 | 32,749 | 40,006 | 28,090 | 32,732 |
| b (10−4) | 10,160 | 10,130 | 10,189 | 10,019 | 10,157 |
| R2 (10−4) | 72,484 | 83,426 | 75,442 | 73,542 | 78,808 |
| Layered Floating Reef Tension and Movement | L1/L3 | |||||||||
|---|---|---|---|---|---|---|---|---|---|---|
| 11/2 1 | 10/3 2 | 9/4 3 | 8/5 4 | 7/6 5 | 6/7 6 | 5/8 7 | 4/9 8 | 3/10 9 | 2/11 2 | |
| Maximum tension of connecting cable | 3.0 | 2.9 | 2.7 | 2.5 | 2.3 | 2.1 | 1.9 | 1.7 | 1.5 | 1.2 |
| Maximum tension of auxiliary mooring | 7.9 | 6.5 | 5.6 | 4.8 | 4.5 | 4.3 | 4.2 | 4.0 | 3.9 | 3.7 |
| Maximum tension of main mooring | 16.8 | 16.7 | 16.3 | 16.3 | 15.9 | 15.5 | 15.5 | 15.0 | 14.6 | 13.8 |
| Maximum tension of upper netting | 1.1 | 1.0 | 0.9 | 0.8 | 0.7 | 0.6 | 0.5 | 0.4 | 0.3 | 0.2 |
| Maximum tension of lower netting | 0.1 | 0.2 | 0.2 | 0.3 | 0.4 | 0.4 | 0.5 | 0.6 | 0.6 | 0.7 |
| Maximum rolling of upper reef | 14.4 | 13.9 | 13.7 | 13.5 | 13.3 | 13.1 | 12.9 | 12.7 | 12.5 | 12.2 |
| Maximum rolling of lower reef | 14.4 | 13.9 | 13.7 | 13.5 | 13.3 | 13.1 | 12.9 | 12.7 | 12.5 | 12.2 |
| Layered Floating Reef Tension and Movement | L1/L3 | ||||||||
|---|---|---|---|---|---|---|---|---|---|
| 10/2 1 | 9/3 2 | 8/4 3 | 7/5 4 | 6/6 5 | 5/7 6 | 4/8 7 | 3/9 8 | 2/10 9 | |
| Maximum tension of connecting cable | 2.8 | 2.7 | 2.5 | 2.3 | 2.1 | 1.9 | 1.8 | 1.6 | 1.2 |
| Maximum tension of auxiliary mooring | 7.5 | 6.2 | 5.3 | 4.6 | 4.3 | 4.1 | 4.0 | 3.8 | 3.5 |
| Maximum tension of main mooring | 15.8 | 15.9 | 15.5 | 15.5 | 15.1 | 14.7 | 14.7 | 14.3 | 12.8 |
| Maximum tension of upper netting | 1.0 | 0.9 | 0.8 | 0.7 | 0.6 | 0.5 | 0.4 | 0.3 | 0.2 |
| Maximum tension of lower netting | 0.1 | 0.2 | 0.2 | 0.3 | 0.4 | 0.4 | 0.5 | 0.6 | 0.6 |
| Maximum rolling of upper reef | 14.4 | 13.8 | 13.6 | 13.3 | 13.1 | 12.8 | 12.7 | 12.4 | 11.9 |
| Maximum rolling of lower reef | 14.3 | 13.7 | 13.5 | 13.3 | 13 | 12.8 | 12.7 | 12.5 | 12.1 |
| Layered Floating Reef Tension and Movement | L1/L3 | |||||||
|---|---|---|---|---|---|---|---|---|
| 9/2 1 | 8/3 2 | 7/4 3 | 6/5 4 | 5/6 5 | 4/7 6 | 3/8 7 | 2/9 8 | |
| Maximum tension of connecting cable | 2.5 | 2.5 | 2.3 | 2.1 | 1.9 | 1.7 | 1.5 | 1.2 |
| Maximum tension of auxiliary mooring | 7.1 | 5.9 | 5.0 | 4.4 | 4.1 | 3.9 | 3.7 | 3.4 |
| Maximum tension of main mooring | 14.7 | 15.0 | 14.7 | 14.7 | 14.2 | 13.8 | 13.8 | 12.4 |
| Maximum tension of upper netting | 0.9 | 0.8 | 0.7 | 0.6 | 0.5 | 0.4 | 0.3 | 0.2 |
| Maximum tension of lower netting | 0.1 | 0.2 | 0.2 | 0.3 | 0.4 | 0.4 | 0.5 | 0.6 |
| Maximum rolling of upper reef | 14.2 | 13.7 | 13.3 | 13.1 | 12.9 | 12.6 | 12.4 | 11.8 |
| Maximum rolling of lower reef | 14.2 | 13.6 | 13.3 | 13.0 | 12.9 | 12.6 | 12.4 | 12.0 |
| Layered Floating Reef Tension and Movement | L1/L3 | ||||||
|---|---|---|---|---|---|---|---|
| 8/2 1 | 7/3 2 | 6/4 3 | 5/5 4 | 4/6 5 | 3/7 6 | 2/8 7 | |
| Maximum tension of connecting cable | 2.3 | 2.3 | 2.1 | 1.9 | 1.7 | 1.5 | 1.2 |
| Maximum tension of auxiliary mooring | 6.7 | 5.5 | 4.8 | 4.1 | 3.9 | 3.7 | 3.6 |
| Maximum tension of main mooring | 13.8 | 14.0 | 13.7 | 13.8 | 13.4 | 12.8 | 12.1 |
| Maximum tension of upper netting | 0.8 | 0.7 | 0.6 | 0.5 | 0.4 | 0.3 | 0.2 |
| Maximum tension of lower netting | 0.1 | 0.2 | 0.2 | 0.3 | 0.4 | 0.4 | 0.5 |
| Maximum rolling of upper reef | 14 | 13.4 | 13.1 | 12.8 | 12.5 | 12.2 | 11.7 |
| Maximum rolling of lower reef | 13.9 | 13.4 | 13.0 | 12.8 | 12.5 | 12.3 | 11.9 |
Disclaimer/Publisher’s Note: The statements, opinions and data contained in all publications are solely those of the individual author(s) and contributor(s) and not of MDPI and/or the editor(s). MDPI and/or the editor(s) disclaim responsibility for any injury to people or property resulting from any ideas, methods, instructions or products referred to in the content. |
© 2023 by the authors. Licensee MDPI, Basel, Switzerland. This article is an open access article distributed under the terms and conditions of the Creative Commons Attribution (CC BY) license (https://creativecommons.org/licenses/by/4.0/).
Share and Cite
Pan, Y.; Yang, L.; Xue, D.; Luo, L. Numerical Simulation of Hydrodynamic Characteristics of Layered Floating Reefs under Tidal Currents and Waves. Water 2023, 15, 3892. https://doi.org/10.3390/w15223892
Pan Y, Yang L, Xue D, Luo L. Numerical Simulation of Hydrodynamic Characteristics of Layered Floating Reefs under Tidal Currents and Waves. Water. 2023; 15(22):3892. https://doi.org/10.3390/w15223892
Chicago/Turabian StylePan, Yun, Lijing Yang, Dawen Xue, and Lu Luo. 2023. "Numerical Simulation of Hydrodynamic Characteristics of Layered Floating Reefs under Tidal Currents and Waves" Water 15, no. 22: 3892. https://doi.org/10.3390/w15223892
APA StylePan, Y., Yang, L., Xue, D., & Luo, L. (2023). Numerical Simulation of Hydrodynamic Characteristics of Layered Floating Reefs under Tidal Currents and Waves. Water, 15(22), 3892. https://doi.org/10.3390/w15223892

